You are currently viewing a new version of our website. To view the old version click .
Microorganisms
  • Article
  • Open Access

31 July 2025

Threshold Effects of Straw Returning Amounts on Bacterial Colonization in Black Soil

,
,
,
,
,
,
and
1
Institute of Sediment Research, China Institute of Water Resources and Hydropower Research, Beijing 100038, China
2
State Key Laboratory of Water Cycle and Water Security, China Institute of Water Resources and Hydropower Research, Beijing 100038, China
3
Institute of Desertification Studies, Chinese Academy of Forestry, Beijing 100091, China
4
Jilin Provincial Bureau of Soil and Water Conservation, Changchun 130028, China
This article belongs to the Section Environmental Microbiology

Abstract

Straw returning (ST) significantly improves soil quality and profoundly impacts soil microorganisms. However, the effects of different ST application amounts on the soil bacterial community remain unclear, and more studies on optimal ST application amounts are warranted. This study aimed to investigate the bacterial diversity and composition, as well as physicochemical properties, of soil in a corn field with 5-year ST amounts of 0, 3, 4.5, 5, and 6 t/hm2, respectively. The results indicated that ST significantly reduced soil bulk density and increased soil pH and nutrients. Meanwhile, ST had a significant effect on the bacterial composition, and the bacterial diversity increased significantly after ST. The relative abundance of Proteobacteria and Acidobacteria increased dramatically, whereas that of Actinobacteria significantly decreased after ST. The amount of ST had threshold effects on soil physicochemical properties and the dominant bacterial phyla. Moreover, the co-occurrence networks indicated that bacterial stability first increased and then decreased with the increase in ST amounts. Soil organic carbon and total nitrogen concentrations were the main drivers of bacterial diversity, whereas soil pH and total nitrogen concentrations were the main drivers of bacterial composition. This study strengthens the fact that ST amounts have threshold effects on the soil physicochemical properties and soil microorganisms, and ST amounts of 3–5 t/hm2 were appropriate.

1. Introduction

Food security is crucial for both economic development and social stability [1]. The black soil area in Northeast China, one of the major black soil distribution regions in the world, serves as a key commodity grain production base and plays a significant role in China’s food security [2,3]. Recently, soil erosion and reduced fertility in black soil areas have become severe due to artificial, unreasonable land use and natural factors [4,5,6]. Straw returning (ST) is a typical protective tillage measure that can control soil erosion, improve soil fertility and soil structure, and also solve the environmental problems caused by direct burning [4,7]. The role of ST technology in improving soil quality and increasing crop yields has received widespread attention in recent years, driven by the growing demand for sustainable agricultural development [3,8].
Previous studies have demonstrated that ST can improve soil structure and nutrient concentrations, which also indirectly enhance the microbial community structure [9,10]. However, the slow decomposition rate of straw poses a significant challenge to the large-scale adoption of ST in fields, as it can reduce soil fertility and threaten both national food and ecological security [11,12]. The long-term return of large amounts of straw to the field may lead to soil health issues, including increased soil acidification, nutrient imbalance (increased nitrogen fixation and decreased available nutrients), and the enrichment of pathogenic microorganisms [4,13,14]. However, the optimal ST application rates for improving soil quality and enhancing grain production remain unclear [4].
Soil microorganisms are essential indicators for evaluating soil health and play a crucial role in soil nutrient cycling and straw decomposition [15,16]. Meanwhile, soil microbial communities are susceptible to changes in their living environment, and soil pH and nutrients may be crucial drivers of microbial colonization [17,18]. Additionally, microbial adaptability to ST may also be influenced by enzyme activity and functional microbial traits [19,20,21]. Notably, soil bacterial communities are essential for their contribution to soil biodiversity [22], and drive vital ecosystem functions, such as nutrient cycling, carbon sequestration, and degradation [23,24,25]. Moreover, compared to fungi, bacteria are more susceptible to environmental changes and have received more attention [26,27]. Previous studies indicate that bacterial diversity can increase [28,29], decrease [30,31,32], or remain unchanged with ST [33]. In addition, the bacterial composition responds differently to ST [34,35,36]. However, the patterns and drivers of soil bacterial communities under different ST amounts remain unclear [11,29]. Thus, further studies are warranted to investigate the effects of different ST amounts on soil bacterial colonization [12].
This study examined the composition and diversity of bacterial communities in corn fields with different ST amounts in Northeastern China. Additionally, the corresponding soil physical and chemical properties were simultaneously assessed. The aims of this study were as follows: (1) to elucidate the patterns of bacterial diversity and composition in corn fields with different ST application amounts, (2) to explore the effects of environmental factors on bacterial composition and diversity, and (3) to test the differences in the bacterial network topological features with different ST application amounts.

2. Methods

2.1. Site Description

The study sites were located in Xingmu, which is a small watershed in Dongliao County (125°35′–125°50′ E, 43°13′–43°36′ N), Jilin Province. The drainage basin is situated in the upper reaches of the East Liaohe River, at the margin of Paektu Mountain, which is characterized by typical low mountain and hilly landforms in the northeast black soil region. The study areas have a continental monsoon climate of cold temperate zones. The average annual precipitation is 658.1 mm, and the average annual temperature is 5.2 °C. The highest temperature is 38 °C, and the lowest temperature is −40 °C. The vegetation type belonged to the Changbai Mountain flora, comprising natural secondary forests, artificial forests, herbs, and crops. According to the Food and Agriculture Organization classification system, the soil type in the study area was classified as black soil.

2.2. Experimental Design and Soil Sampling

Conservation tillage experiments have been conducted at the Xingmu Soil and Water Conservation Experimental Base since 2011. The crops selected in this study were corn with different ST application amounts. The total ST amount selected for this study was 6 t/hm2 because it is the average and most commonly used ST amount in Dongliao County. Five different ST application amounts, which were 0 t/hm2 (0%), 3 t/hm2 (50%), 4.5 t/hm2 (75%), 5 t/hm2 (83%), and 6 t/hm2 (100%), were set in the straw mulching area to explore the appropriate ST amount. Three replicates were set for each treatment. The soil samples were collected in 2016, indicating that the ST study had been conducted for 5 years and was sufficient to test the effects on soil physicochemical properties and the soil microbiome [3,12]. Nine soil samples were randomly collected using an “S”-shaped method and blended to yield a single composite soil specimen. A total of 15 soil samples (5 ST amounts × 3 replicates) were collected. During the sampling, the topsoil was first removed, and samples were then collected from the plow layer within a root circumference of 5–20 cm. The soil bulk density (BD) was measured using a ring knife and an aluminum box. Once the mixed samples were cleared of small stones, roots, and other debris, each soil sample was divided into two parts. Some of these were air-dried and sieved through a 2 mm sieve for subsequent chemical index measurement, whereas the remaining were frozen and stored in a refrigerator at −80 °C for DNA extraction.

2.3. Analysis of Soil Chemical Index and Bacterial DNA

Potentiometry (water-to-soil ratio of 2.5:1) and a pH meter were used to measure the soil pH [37]. The external heating method of potassium dichromate was used to measure the soil organic carbon (SOC) content [37]. The contents of soil-available phosphorus (AP), total nitrogen (TN), and total phosphorus (TP) were determined using an automatic chemical analyzer. The available nitrogen (AN) was extracted with a 1:10 ratio of soil and 2 mol of KCl solution with 1 h of shaking before being measured by the Kjeldahl method. The soil-available potassium (AK) content was determined using the flame photometer method. The soil total potassium (TK) content was determined using ICP-MS (EDX4500P), which was produced by Jiangsu Skyray Instrument Company Limited in Kunshan, Jiangsu, China. The methods for soil DNA extraction, polymerase chain reaction amplification, and data processing are shown in Attachment S1 (Supplementary Materials).

2.4. Statistical Analyses

The least significant difference and one-way analysis of variance multiple comparison tests were conducted to assess soil properties, bacterial diversity, and the dominant phyla with a relative abundance >1.0% (p < 0.05). The Shapiro–Wilk test was conducted to determine the normality of data distribution. Bray–Curtis dissimilarity-based principal coordinates analysis (PCoA) was conducted to assess the soil bacterial composition [38]. PERMANOVA analysis was used to explore the effects of ST amounts on the composition of soil bacteria [38]. Linear regression analysis was utilized to explore the associations between bacterial diversity and environmental factors. Boosted regression tree (BRT) was used to assess the relative effects of environmental factors on the diversity and composition of soil bacteria [39,40]. Bacterial diversity was assessed using the Shannon–Wiener index [41,42], and bacterial community composition was represented by PCoA1. While using the BRT models, only the environmental factors that significantly influenced the bacterial diversity and composition were selected. Redundancy analysis was conducted to quantify the effects of environmental factors on bacterial-dominant phyla [42]. The co-occurrence network was applied to perform the variability analysis of the co-occurrence network in the corn fields with different ST amounts for the selected target species. The Spearman correlation analysis was performed, and data with correlation coefficients greater than 0.6 and p values less than 0.05 were selected. The Gephi version 0.92 software (https://gephi.org/, accessed on 15 May 2024) was used to visualize and analyze co-occurrence network results [43].

3. Results

3.1. The Effects of ST Treatment on the Physicochemical Characteristics of Soil

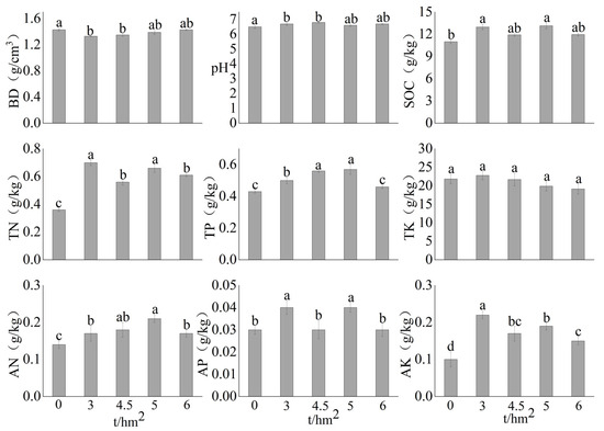
Small amounts (3 and 4.5 t/hm2) of ST significantly reduced the soil bulk density. In contrast, larger amounts (5 and 6 t/hm2) caused no significant changes (Figure 1). The soil pH and SOC, TP, and AP contents significantly increased after treating the field with a small amount of ST, whereas no significant changes were noted after treatment with a large amount of ST. The soil TN, AN, and AK contents significantly increased after ST, and the increase significantly decreased after treatment with a large amount of ST. The change in soil TK content after treating the field with ST was not significant.
Figure 1. Soil physical and chemical properties of the corn field after straw returning. BD: bulk density; SOC, TN, TP, TK, AN, AP, and AK represent soil organic carbon, total nitrogen, total phosphorus, total potassium, available nitrogen, available phosphorus, and available potassium, respectively. Lowercase letters indicate significant differences among different ST amounts (p < 0.05).

3.2. The Effects of ST Treatment on Soil Bacterial Diversity

After ST treatment, the Chao1, Shannon–Wiener index, OTU number, and ACE all significantly increased (Table 1). The Chao1, Shannon–Wiener index, and ACE first decreased and then increased with the increase in ST amounts. No significant difference was found in the OTU numbers in corn fields after treatment with different ST amounts. Simple linear regressions indicated that bacterial diversity increased significantly with the increase in SOC (R2 = 0.506, p = 0.003), soil TN (R2 = 0.829, p < 0.001), AN (R2 = 0.272, p = 0.046), and AK (R2 = 0.531, p = 0.002) contents (Figure 2). The BRT model indicated that the bacterial diversity was mostly affected by SOC (56.6%), followed by TN (35.3%), AN (4.3%), and AK (3.8%) (Figure 3).
Table 1. Soil bacterial diversity features after treatment with different ST amounts (n = 3).
Figure 2. Bivariate relationships between the bacterial alpha diversity and environmental factors (n = 15). Only the environmental factors significantly influencing bacterial diversity are shown (p < 0.05). SW, SOC, AN, and AK represent the Shannon–Wiener index of soil bacteria, soil organic carbon, available nitrogen, and available potassium, respectively.
Figure 3. The relative contributions of different environmental factors to the composition and diversity of the soil bacterial community. SOC, TN, AN, and AK represent soil organic carbon, total nitrogen, available nitrogen, and available potassium, respectively.

3.3. The Effects of ST Treatment on Soil Bacterial Composition

The PCoA and PERMANOVA analyses showed that different ST application amounts significantly influenced the soil bacterial composition (p < 0.05) (Figure 4). The main phyla were Proteobacteria (24.82–31.59%), Actinobacteria (25.3–35.6%), Acidobacteria (8.13–10.59%), Chloroflexi (8.13–11.4%), Gemmatimonadetes (6.17–8.14%), Firmicutes (2.27–2.28%), and Planctomycetes (4.78–6.29%) (Table 2). The relative abundance of Proteobacteria, Acidobacteria, Gemmatimonadetes, and Planctomycetes significantly increased after ST treatment, whereas those of Actinobacteria and Chloroflexi displayed the opposite trend. The bacterial composition was affected mostly by pH (52.7%), followed by TN (29.5%), SOC (15.7%), and AK (2.1%) contents (Figure 3). The soil bulk density, pH, and SOC, TN, and AK contents significantly affected the dominant phyla (Figure 5).
Figure 4. Principal coordinates analysis of soil bacterial composition based on the Bray–Curtis distance values. The impact of different ST amounts on the bacterial composition was assessed via a permutational multivariate analysis of variance.
Table 2. The relative abundance (%) of the dominant soil bacterial phyla (>1%) after treatment with different ST amounts.
Figure 5. Ordination plots were conducted for the redundancy analysis to quantify the effects of environmental factors (red arrows) on the dominant phyla (blue arrows). BD represents soil bulk density; SOC, TN, AN, TP, AP, TK, and AK represent soil organic carbon, total nitrogen, available nitrogen, total phosphorus, available phosphorus, total potassium, and available potassium, respectively.

3.4. Effects of ST on Soil Bacterial Co-Occurrence Network

The co-occurrence network of the bacterial community was assessed at the OTU level. Proteobacteria, Actinobacteriota, Chloroflexi, and Planctomycetota were the core phyla (Figure 6). Specifically, Planctomycetota, Actinobacteriota, and Proteobacteria were the core phyla in soils treated with ST amounts of 0, 5, and 6 t/hm2, respectively. Chloroflexi was the core phylum of soils treated with ST amounts of 3 and 4.5 t/hm2. Under a constant similarity threshold, total nodes, total links, positive links, connectedness, harmonic geodesic distance, and average path distance first increased and then decreased with the increase in ST amounts (Table 3). The high modularity values (0.856–0.938) across treatments indicated that the bacterial symbiotic networks in corn fields were highly modular. According to the Zi and Pi values from the network topology analysis, two network hubs were found under the ST 5 t/hm2 treatment, suggesting the highest connectivity in the entire network (Figure 7). The number of module hubs in corn fields treated with ST amounts of 0, 3, 4.5, 5, and 6 t/hm2 was 10, 8, 19, 3, and 0, respectively. The corresponding number of connectors in the networks was 0, 1, 2, 54, and 0. Most bacterial nodes were affiliated with Proteobacteria, Actinobacteria, Acidobacteria, and Chloroflexi.
Figure 6. Network analysis of soil bacterial communities varying with different ST amounts. The red links indicate a positive correlation (red squares represent the percentage of positively correlated line counts in the common network), and the blue links indicate a negative correlation (blue squares represent the percentage of negatively correlated line counts in the common network). The larger the circle for a species, the more connections that circle has and the more it is related to other species, highlighting the core species in the community correlation. Colored nodes represent core phyla with >1% relative abundance, and gray nodes indicate phyla with <1% relative abundance. T0, T3, T4, T5, and T6 represent corn fields with ST amounts of 0, 3, 4.5, 5, and 6 t/hm2, respectively.
Table 3. The topological features of phylogenetic molecular networks and corresponding random networks of the bacterial community after treatment with different ST amounts.
Figure 7. Topological node property analysis of soil bacterial co-occurrence networks under different ST amounts. Zi and Pi thresholds were set at 2.5 and 0.62, respectively. T0, T3, T4, T5, and T6 represent ST application rates of 0, 3, 4.5, 5, and 6 t/hm2, respectively, in corn fields. Acid, Acidobacteria; Acti, Actinobacteria; Arma, Armatimonadetes; Chlo, Chloroflexi; Gemm, Gemmatimonadetes; Plan, Planctomycetes; Prot, Proteobacteria; Thau, Thaumarchaeota.

4. Discussion

4.1. Effects of Different ST Application Amounts on Soil Physicochemical Properties

The results of this study demonstrate that treatment with ST improved the soil’s physical structure and effectively reduced the soil bulk density, which is consistent with previous findings [44]. A small amount of ST (3–4.5 t/hm2) significantly improved the soil structure by reducing the bulk density, likely due to enhanced organic matter input and microbial activity that promoted soil aggregation [35]. However, higher ST amounts (5–6 t/hm2) did not further decrease the bulk density, suggesting a saturation point where additional organic inputs no longer improved soil porosity. The results of this study also indicated that ST significantly increased the pH and SOC and improved the nitrogen, phosphorus, and potassium contents of soil, which is consistent with previous findings [4,9,10]. In addition, soil pH and nutrients (e.g., SOC, TN, TP, AN, AP, and AK) decreased with the increase in ST treatment amounts. These outcomes resulting from different ST application amounts might be explained by three possible factors. First, incorporating moderate straw into soil initially buffered acidity by releasing alkaline cations (e.g., K+ and Ca2+) during decomposition [35]. However, higher ST rates increased organic acid production and CO2 release due to the prolonged microbial decomposition of straw, exacerbating soil acidification [8,11]. Second, the initial rise in SOC was attributed to humification and the formation of a stable carbon pool [4]. However, excessive straw might accelerate microbial mineralization, leading to carbon loss through respiration. Similarly, TN and TP contents initially increased due to the retention of straw-derived nutrients but declined at higher ST application rates, possibly due to microbial immobilization (particularly of N) and P fixation by Al/Fe oxides under acidic conditions [4,7]. In addition, moderate straw input improved nutrient availability by enhancing microbial turnover (e.g., N mineralization and P solubilization) [4,11]. However, excessive straw probably induced nutrient imbalances, such as N immobilization due to a high carbon/nitrogen (C:N) ratio of straw and K+ leaching resulting from cation displacement. In summary, the results of this study indicate an apparent threshold effect of ST amounts on the physicochemical properties of black soil in Northeast China.

4.2. Effects of Different ST Application Amounts on Soil Bacterial Diversity

Significant increases in the Chao1, Shannon–Wiener index, OTU number, and ACE index following ST treatment (Table 1) indicated that organic amendments generally enhanced microbial diversity, which is consistent with previous findings in agricultural ecosystems [28,29]. The observation that OTU numbers remained stable across different ST application rates, whereas other diversity indices fluctuated, suggests that ST treatment primarily affects the relative abundance rather than the total number of bacterial taxa. This pattern may reflect the ecological succession processes where initial carbon inputs favor fast-growing r-strategists (e.g., Proteobacteria), temporarily reducing diversity metrics until K-strategists (e.g., Acidobacteria) become established [45]. In this study, the linear regression analyses identified SOC, TN, AN, and AK as key drivers of bacterial diversity (Figure 2), with the BRT model further quantifying their relative importance (Figure 3). The dominant influence of SOC aligns with the energy-diversity hypothesis, which posits that increased carbon availability promotes greater microbial niche differentiation [42]. SOC is the main energy source for soil bacteria, which obtains the energy needed for growth, reproduction, and the maintenance of life activities by decomposing SOC [42,46]. In addition, TN, AN, and AK were all crucial nutrients for the growth and survival of bacterial communities [42,46,47]. Nitrogen is a key component of bacterial cell structures such as proteins and nucleic acids, and potassium is an activator of many bacterial enzymes and participates in bacterial metabolic processes [19,28,31]. The roles of TN, AN, and AK highlight the critical balance between carbon and nutrient availability in shaping microbial communities, as high C:N ratios may lead to nutrient immobilization and competitive exclusion [45,48].

4.3. Effects of Different ST Application Amounts on Soil Bacterial Composition

The PCoA and PERMANOVA results clearly demonstrated that ST significantly restructured soil bacterial communities in Northeast China’s black soil (Figure 4, p < 0.05). The soil pH was the predominant driver of the bacterial composition, which was similar to previous findings [42,49,50]. Soil pH can not only directly affect bacterial colonization through the physiological constraints on bacterial taxa but also can affect bacterial colonization indirectly via soil properties, such as salinity, metal solubility, and nutrient content and availability [42,49,50]. Proteobacteria, Actinobacteria, and Acidobacteria were the most important bacterial phyla, which is consistent with previous results [51,52]. Actinobacteria and Proteobacteria were regarded as fast-growing copiotrophs and Acidobacteria were considered oligotrophic bacteria [53,54]. The increased relative abundance of Proteobacteria following ST aligns with their known copiotrophic characteristics, as this phylum contains many fast-growing, carbon-responsive taxa capable of rapidly utilizing fresh organic inputs [42,45]. Similarly, the enrichment of Acidobacteria (8.13–10.59%) suggests that these typically oligotrophic organisms might benefit from the gradual decomposition of more recalcitrant straw components [42,45]. The contrasting decline in Actinobacteria (25.3–35.6%) and Chloroflexi (8.13–11.4%) abundance may reflect niche displacement, as these slow-growing phyla tend to dominate in low-carbon environments [45]. The reduced abundance of Actinobacteria, despite their known capacity to degrade complex plant polymers, indicates competitive suppression under conditions of high carbon availability combined with altered pH and nutrient status [42]. The finding that pH, TN, SOC, and AK were the primary drivers of community composition (Figure 3) supports the fact that ST mediated bacterial assembly through both direct (carbon input) and indirect (soil property modification) pathways. The soil pH, TN, SOC, and AK jointly shaped the composition of soil bacterial communities through a complex interaction network. The pH value, as the most direct environmental factor, had a wide range of impacts on the physiological and chemical processes of bacteria [45,50]. The strong influence of pH likely reflects its fundamental role in shaping microbial niche spaces, as demonstrated by the increased abundance of Proteobacteria and Acidobacteria under elevated pH conditions [49,50]. TN and SOC, as important nutrients for bacterial growth, directly affected the biomass and metabolic activity of bacteria [31,42,48]. The impact of AK was relatively weak, likely because it mainly affected bacterial communities through indirect pathways, such as maintaining enzyme activity [21,50,52].

4.4. Effects of Different ST Amounts on Soil Bacterial Co-Occurrence Network

Co-occurrence network results reflected the indirect and direct competition or cooperation relationships among bacterial taxa [55,56,57,58]. Higher connective numbers among coupled bacterial taxa indicated a greater degree of network cohesion [59,60]. The number of edges, nodes, betweenness, and average degree first increased and then decreased with increasing ST amounts, illustrating the threshold effects of ST amounts on the coupling within the functional bacterial taxa. The negative and positive correlations in the co-occurrence network suggest the presence of competitive and cooperative relationships between pairwise coupling bacterial taxa, respectively [61,62]. Consistent with previous results, a positive correlation was dominant in our co-occurrence network, indicating that cooperation dominated among the bacterial taxa in the corn fields with different ST amounts [48,63]. The dominant phyla (e.g., Proteobacteria, Actinobacteria, Acidobacteria, and Chloroflexi) were closely associated with other bacterial taxa, playing crucial roles in the bacterial networks and exerting strong influences on bacterial communities. Proteobacteria and Actinobacteria are considered copiotrophic bacteria that can increase soil fertility and crop growth [53,64,65]. Acidobacteria can degrade organic matter and survive and grow well in carbon-deficient conditions [66,67]. Bacterial networks with higher structural complexity are more capable of withstanding environmental stresses [68]. The bacterial network indicated enhanced niche differentiation and a more complex topological structure after treatment with moderate ST amount, which might have resulted from the increase in SOC content and soil fertility in farmlands [65,69]. However, the SOC and soil fertility decreased with excessive ST amounts, leading to intensified competition among microorganisms and the decreased stability of microbial communities [45,68]. Thus, the results indicate that the bacterial stability first increased and then decreased with the increase in ST amounts, suggesting threshold effects of ST amounts on soil bacterial stability.

5. Conclusions

This study demonstrates that ST amounts exhibit threshold effects on both soil physicochemical properties and the soil microbiome in black soil corn fields. Although ST significantly decreased soil BD and improved soil pH and nutrient concentrations, these benefits were not linearly proportional to the ST amounts. Specifically, the findings revealed that ST amounts of 3–5 t/hm2 provided the most optimal balance, promoting soil health and microbial diversity while mitigating the potential detrimental effects associated with excessive straw application. This range fostered beneficial shifts in bacterial community composition, increasing the relative abundance of Proteobacteria and Acidobacteria while decreasing the abundance of Actinobacteria. The observed changes in soil bacterial stability, which initially increased and subsequently decreased with the increase in ST amounts, highlight the need for careful management of ST application. Furthermore, SOC and TN were identified as the key drivers of bacterial diversity, whereas soil pH and TN primarily influenced bacterial composition. These findings underscore the importance of optimizing ST application rates to maximize soil health and support sustainable agricultural practices in black soil regions. It is recommended that farmers in this region should target ST amounts of 3–5 t/hm2 to achieve optimal soil health and microbial balance.

Supplementary Materials

The following supporting information can be downloaded at https://www.mdpi.com/article/10.3390/microorganisms13081797/s1. Attachment S1: Soil DNA extraction, polymerase chain reaction amplification, and data processing; Attachment S2: The data of environmental factors, bacterial diversity and composition, and dominant phyla; Attachment S3: The OTU data.

Author Contributions

Conceptualization, G.W., Z.Y. and W.Q.; methodology, G.W. and W.Q.; software, G.W. and Z.Z.; validation, G.W.; investigation, Z.Y. and W.Q.; resources, G.W. and W.Q.; data curation, G.W., J.J., X.X., Y.Z., X.H. and W.Q.; writing—original draft preparation, G.W., Z.Y. and W.Q.; funding acquisition, W.Q. All authors have read and agreed to the published version of the manuscript.

Funding

This study was funded by the MWR Major Scientific & Technological Project (SKS-2022047), the IWHR Research & Development Support Program (SE0145B032021), and the Open Fund Project of Key Laboratory of Heilongjiang Province Hydraulic Research Institute (KY202521).

Institutional Review Board Statement

Not applicable.

Data Availability Statement

All data generated or analyzed during this study have been uploaded. The data of environmental factors, bacterial diversity and composition, and dominant phyla are shown in Attachment S2. The OTU data are shown in Attachment S3.

Acknowledgments

We would like to thank all the reviewers who participated in the review.

Conflicts of Interest

The authors declare no conflicts of interest.

Abbreviations

The following abbreviations are used in this manuscript:
SOCSoil organic carbon
BDBulk density
TNTotal nitrogen
TPTotal phosphorus
TKTotal potassium
ANAvailable nitrogen
APAvailable phosphorus
AKAvailable potassium
BRTBoosted regression tree
PCoAPrincipal coordinates analysis

References

  1. Jiang, S.; Wang, J.; Zhao, Y.; Shang, Y.; Gao, X.; Li, H. Sustainability of water resources for agriculture considering grain production, trade and consumption in China from 2004 to 2013. J. Clean. Prod. 2017, 149, 1210–1218. [Google Scholar] [CrossRef]
  2. Zhang, S.; Chen, X.; Jia, S.; Liang, A.; Zhang, X.; Yang, X.; Wei, S.; Sun, B.; Huang, D.; Zhou, G. The potential mechanism of long-term conservation tillage effects on maize yield in the black soil of Northeast China. Soil Tillage Res. 2015, 154, 84–90. [Google Scholar] [CrossRef]
  3. Qian, Y.; Zhang, Z.; Jiang, F.; Wang, J.; Dong, F.; Liu, J.; Peng, J. Impacts of tillage treatments on soil physical properties and maize growth at two sites under different climatic conditions in black soil region of Northeast China. Soil Tillage Res. 2025, 248, 106471. [Google Scholar] [CrossRef]
  4. Liu, C.; Si, B.; Zhao, Y.; Wu, Z.; Lu, X.; Chen, X.; Han, X.; Zhu, Y.; Zou, W. Drivers of soil quality and maize yield under long-term tillage and straw incorporation in mollisols. Soil Tillage Res. 2025, 246, 106360. [Google Scholar] [CrossRef]
  5. Tian, M.; Whalley, W.R.; Zhou, H.; Ren, T.; Gao, W. Does no-tillage mitigate the negative effects of harvest compaction on soil pore characteristics in Northeast China? Soil Tillage Res. 2023, 233, 105787. [Google Scholar] [CrossRef]
  6. Wang, S.; Xu, X.; Huang, L. Spatial and temporal variability of soil erosion in Northeast China from 2000 to 2020. Remote Sens. 2022, 15, 225. [Google Scholar] [CrossRef]
  7. Shan, A.Q.; Pan, J.Q.; Kang, K.J.; Pan, M.H.; Wang, G.; Wang, M.; He, Z.L.; Yang, X.E. Effects of straw return with N fertilizer reduction on crop yield, plant diseases and pests and potential heavy metal risk in a Chinese rice paddy: A field study of 2 consecutive wheat-rice cycles. Environ. Pollut. 2021, 288, 117741. [Google Scholar] [CrossRef]
  8. Dong, Y.; Liu, S.; Hu, Y.; Mulder, J.; Adingo, S.; Nie, Y.; Yin, L.; Ma, Y.; Peng, X. Effects of long-term straw application and groundwater management on acidification of paddy soils in subtropical China: Insight from a 35-year field experiment. Agric. Water Manag. 2025, 309, 109337. [Google Scholar] [CrossRef]
  9. Ai, C.; Liang, G.Q.; Sun, J.W.; Wang, X.B.; Zhou, W. Responses of extracellular enzyme activities and microbial community in both the rhizosphere and bulk soil to long-term fertilization practices in a fluvo-aquic soil. Geoderma 2012, 173–174, 330–338. [Google Scholar] [CrossRef]
  10. Navarro-Noya, Y.E.; Gomez-Acata, S.; Montoya-Ciriaco, N.; Rojas-Valdez, A.; Suarez-Arriaga, M.C.; Valenzuela-Encinas, C.; Jimenez-Bueno, N.; Verhulst, N.; Govaerts, B.; Dendooven, L. Relative impacts of tillage, residue management and crop-rotation on soil bacterial communities in a semi-arid agroecosystem. Soil Biol. Biochem. 2013, 65, 86–95. [Google Scholar] [CrossRef]
  11. Li, H.; Dai, M.; Dai, S.; Dong, X. Current status and environment impact of direct straw return in China’s cropland–A review. Ecotoxicol. Environ. Saf. 2018, 159, 293–300. [Google Scholar] [CrossRef]
  12. Li, Z.; Shen, Y.; Zhang, W.; Zhang, H.; Liu, L.; Wang, Z.; Gu, J.; Yang, J. Effects of long-term straw returning on rice yield and soil properties and bacterial community in a rice-wheat rotation system. Field Crops Res. 2023, 291, 108800. [Google Scholar] [CrossRef]
  13. Han, Z.; Xu, P.; Li, Z.; Lin, H.; Zhu, C.; Wang, J.; Zou, J. Microbial diversity and the abundance of keystone species drive the response of soil multifunctionality to organic substitution and biochar amendment in a tea plantation. Glob. Change Biol. 2022, 14, 481–495. [Google Scholar] [CrossRef]
  14. Min, J.; Sun, H.; Kronzucker, H.J.; Wang, Y.; Shi, W. Comprehensive assessment of the effects of nitrification inhibitor application on reactive nitrogen loss in intensive vegetable production systems. Agric. Ecosyst. Environ. 2021, 307, 107227. [Google Scholar] [CrossRef]
  15. Delgado-Baquerizo, M.; Eldridge, D.J.; Ochoa, V.; Gozalo, B.; Singh, B.K.; Maestre, F.T. Soil microbial communities drive the resistance of ecosystem multifunctionality to global change in drylands across the globe. Ecol. Lett. 2017, 20, 1295–1305. [Google Scholar] [CrossRef] [PubMed]
  16. Deng, L.; Peng, C.; Huang, C.; Wang, K.; Liu, Q.; Liu, Y.; Hai, X.; Shangguan, Z. Drivers of soil microbial metabolic limitation changes along a vegetation restoration gradient on the loess plateau, China. Geoderma 2019, 353, 188–200. [Google Scholar] [CrossRef]
  17. Nottingham, A.T.; Fierer, N.; Turner, B.L.; Whitaker, J.; Ostle, N.J.; McNamara, N.P.; Bardgett, R.D.; Leff, J.W.; Salinas, N.; Silman, M.; et al. Microbes follow Humboldt: Temperature drives plant and soil microbial diversity patterns from the Amazon to the Andes. Ecology 2018, 99, 2455–2466. [Google Scholar] [CrossRef]
  18. Kooch, Y.; Piri, A.S.; Tilaki, G.A.D. Tree cover mediate indices related to the content of organic matter and the size of microbial population in semi-arid ecosystems. J. Environ. Manag. 2021, 285, 112144. [Google Scholar] [CrossRef]
  19. Khan, M.F.; Hof, C.; Niemcová, P.; Murphy, C.D. Recent advances in fungal xenobiotic metabolism: Enzymes and applications. World J. Microbiol. Biotechnol. 2023, 39, 296. [Google Scholar] [CrossRef]
  20. Xia, Y.; Lin, X. Efficient biodegradation of straw and persistent organic pollutants by a novel strategy using recombinant Trichoderma reesei. Bioresour. Bioprocess. 2022, 9, 91. [Google Scholar] [CrossRef]
  21. Khan, M.F. Fungi for sustainable pharmaceutical remediation: Enzymatic innovations, challenges, and applications-a review. Processes 2025, 13, 1034. [Google Scholar] [CrossRef]
  22. Griffiths, R.I.; Thomson, B.C.; James, P.; Bell, T.; Bailey, M.; Whiteley, A.S. The bacterial biogeography of British soils. Environ. Microbiol. 2011, 13, 1642–1654. [Google Scholar] [CrossRef]
  23. Hu, H.W.; Chen, D.; He, J.Z. Microbial regulation of terrestrial nitrous oxide formation: Understanding the biological pathways for prediction of emission rates. FEMS Microbiol. Rev. 2015, 39, 729–749. [Google Scholar] [CrossRef] [PubMed]
  24. Kuypers, M.M.M.; Marchant, H.K.; Kartal, B. The microbial nitrogen-cycling network. Nat. Rev. Microbiol. 2018, 16, 263–276. [Google Scholar] [CrossRef] [PubMed]
  25. Lin, Y.; Ye, G.; Kuzyakov, Y.; Liu, D.; Fan, J.; Ding, W. Long-term manure application increases soil organic matter and aggregation, and alters microbial community structure and keystone taxa. Soil Biol. Biochem. 2019, 134, 187–196. [Google Scholar] [CrossRef]
  26. de Vries, F.T.; Griffiths, R.I.; Bailey, M.; Craig, H.; Girlanda, M.; Gweon, H.S.; Hallin, S.; Kaisermann, A.; Keith, A.M.; Kretzschmar, M.; et al. Soil bacterial networks are less stable under drought than fungal networks. Nat. Commun. 2018, 9, 3033. [Google Scholar] [CrossRef]
  27. de Vries, F.T.; Shade, A. Controls on soil microbial community stability under climate change. Front. Microbiol. 2013, 4, 265. [Google Scholar] [CrossRef]
  28. Luo, Y.; Iqbal, A.; He, L.; Zhao, Q.; Wei, S.; Ali, I.; Ullah, S.; Yan, B.; Jiang, L. Longterm no-tillage and straw retention management enhances soil bacterial community diversity and soil properties in southern China. Agronomy 2020, 10, 1233. [Google Scholar] [CrossRef]
  29. Zhang, S.; Li, M.; Cui, X.; Pan, Y. Effect of different straw retention techniques on soil microbial community structure in wheat-maize rotation system. Front. Microbiol. 2023, 13, 1069458. [Google Scholar] [CrossRef]
  30. Dong, Y.; Li, Z.; Wang, R.; Bu, X.; Fu, J.; Dong, X. Study on the problems and countermeasures of returning wheat and corn stalks into the soil in north China. Soil Fertil. Sci. China Ser. E Technol. Sci. 2018, 1, 159–163. [Google Scholar]
  31. Jin, S.; Jin, W.; Dong, C.; Bai, Y.; Jin, D.; Hu, Z.; Huang, Y. Effects of rice straw and rice straw ash on rice growth and diversity of bacterial community in rare-earth mining soils. Sci. Rep. 2020, 10, 10331. [Google Scholar] [CrossRef]
  32. Jin, W.; Hu, Z.; Bai, Y.; Dong, C.; Jin, S. Response of rice and bacterial communities to the incorporation of rice straw in areas mined for heavy rare earth elements. Bioresources 2019, 14, 9392–9409. [Google Scholar] [CrossRef]
  33. Sun, R.; Zhang, X.X.; Guo, X.; Wang, D.; Chu, H. Bacterial diversity in soils subjected to long-term chemical fertilization can be more stably maintained with the addition of livestock manure than wheat straw. Soil Biol. Biochem. 2015, 88, 9–18. [Google Scholar] [CrossRef]
  34. Li, J.; Ye, X.; An, J.; Jin, X.; Fan, Q.; Zou, H.; Zhang, Y. The more straw we deepbury, the more soil TOC will be accumulated: When soil bacteria abundance keeps growing. J. Soils Sediments 2022, 22, 162–171. [Google Scholar] [CrossRef]
  35. Li, M.; Guo, J.; Ren, T.; Luo, G.; Shen, Q.; Lu, J.; Guo, S.; Ling, N. Crop rotation history constrains soil biodiversity and multifunctionality relationships. Agric. Ecosyst. Environ. 2021, 319, 107550. [Google Scholar] [CrossRef]
  36. Lian, T.; Yu, Z.; Li, Y.; Jin, J.; Wang, G.; Liu, X.; Tang, C.; Franks, A.; Liu, J.; Liu, J. The shift of bacterial community composition magnifies over time in response to different sources of soybean residues. Appl. Soil Ecol. 2019, 136, 163–167. [Google Scholar] [CrossRef]
  37. Bao, S.D. Soil and Agrochemistry Analysis; China Agriculture Press: Beijing, China, 2000. [Google Scholar]
  38. Che, R.; Deng, Y.; Wang, W.; Rui, Y.; Zhang, J.; Tahmasbian, I.; Tang, L.; Wang, S.; Wang, Y.; Xu, Z. Long-term warming rather than grazing significantly changed total and active soil procaryotic community structures. Geoderma 2018, 316, 1–10. [Google Scholar] [CrossRef]
  39. Elith, J.; Leathwick, J.R.; Hastie, T. A working guide to boosted regression trees. J. Anim. Ecol. 2008, 77, 802–813. [Google Scholar] [CrossRef]
  40. Yuan, Z.Q.; Ali, A.; Ruiz-Benito, P.; Jucker, T.; Mori, A.; Wang, S.P.; Zhang, X.K.; Li, H.; Hao, Z.Q.; Wang, X.G.; et al. Above- and below-ground biodiversity jointly regulate temperate forest multifunctionality along a local-scale environmental gradient. J. Ecol. 2020, 108, 2012–2024. [Google Scholar] [CrossRef]
  41. Ren, C.; Zhou, Z.; Guo, Y.; Yang, Y.; Zhao, F.; Wei, G.; Han, X.; Feng, L.; Feng, Y.; Ren, G. Contrasting patterns of microbial community and enzyme activity between rhizosphere and bulk soil along an elevation gradient. Catena 2021, 196, 104921. [Google Scholar] [CrossRef]
  42. Wang, G.; Liu, Y.; Cui, M.; Zhou, Z.Y.; Zhang, Q.; Ha, W.X.; Pang, D.B.; Luo, J.F.; Zhou, J.X. Effects of secondary succession on soil fungal and bacterial compositions and diversities in a karst area. Plant Soil 2021, 475, 91–102. [Google Scholar] [CrossRef]
  43. Bastian, M.; Heymann, S.; Gephi, M.J. An open source software for exploring and manipulating networks. In Proceedings of the Third International Conference on Weblogs and Social Media, ICWSM 2009, San Jose, CA, USA, 17–20 May 2009. [Google Scholar]
  44. Glab, T.; Kulig, B. Effect of mulch and tillage system on soil porosity under wheat (Triticum aestivum). Soil Tillage Res. 2008, 99, 169–178. [Google Scholar] [CrossRef]
  45. Xiao, D.; He, X.Y.; Zhang, W.; Cheng, M.; Hu, P.L.; Sun, M.M.; Wang, K.L. Comparison of bacterial and fungal diversity and network connectivity in karst and non-karst forests in southwest China. Sci. Total Environ. 2022, 822, 153179. [Google Scholar] [CrossRef]
  46. Kooch, Y.; Mehr, M.A.; Hosseini, S.M. Soil biota and fertility along a gradient of forest degradation in a temperate ecosystem. Catena 2021, 196, 104922. [Google Scholar] [CrossRef]
  47. Peay, K.G.; Christian, V.S.; Emily, C.; Hirokazu, T.; Francis, C.A.; Chadwick, O.A.; Vitousek, P.M. Convergence and contrast in the community structure of bacteria, fungi and archaea along a tropical elevation-climate gradient. Fems Microbiol. Ecol. 2017, 93, 5. [Google Scholar] [CrossRef]
  48. Xiao, D.; He, X.Y.; Zhang, W.; Cheng, M.; Hu, P.L.; Wang, K.L. Diazotroph and arbuscular mycorrhizal fungal diversity and community composition responses to karst and non-karst soils. Appl. Soil Ecol. 2022, 170, 10477. [Google Scholar] [CrossRef]
  49. Praeg, N.; Seeber, J.; Leitinge878, G.; Tasser, E.; Newesely, C.; Tappeiner, U.; Illmer, P. The role of land management and elevation in shaping soil microbial communities: Insights from the Central European Alps. Soil Biol. Biochem. 2020, 150, 107951. [Google Scholar] [CrossRef]
  50. Zhou, Z.; Yu, M.; Ding, G.; Gao, G.; He, Y.; Wang, G. Effects of Hedysarum leguminous plants on soil bacterial communities in the Mu Us Desert, northwest China. Ecol. Evol. 2020, 10, 11423–11439. [Google Scholar] [CrossRef] [PubMed]
  51. Guo, Y.; Ren, C.; Yi, J.; Doughty, R.; Zhao, F. Contrasting responses of rhizosphere bacteria, fungi and arbuscular mycorrhizal fungi along an elevational gradient in a temperate montane forest of China. Front. Microbiol. 2020, 11, 2042. [Google Scholar] [CrossRef]
  52. Ren, C.; Liu, W.; Zhao, F.; Zhong, Z.; Deng, J.; Han, X.; Yang, G.; Feng, Y.; Ren, G. Soil bacterial and fungal diversity and compositions respond differently to forest development. Catena 2019, 181, 104071. [Google Scholar] [CrossRef]
  53. Fierer, N.; Bradford, M.A.; Jackson, R.B. Toward an ecological classification of soil bacteria. Ecology 2007, 88, 1354–1364. [Google Scholar] [CrossRef] [PubMed]
  54. Teixeira, L.C.R.S.; Peixoto, R.S.; Cury, J.C.; Sul, W.J.; Pellizari, V.H.; Tiedje, J.; Rosado, A.S. Bacterial diversity in rhizosphere soil from Antarctic vascular plants of Admiralty Bay, maritime Antarctica. ISME J. 2010, 4, 989. [Google Scholar] [CrossRef]
  55. Barberán, A.; Bates, S.T.; Casamayor, E.O.; Fierer, N. Using network analysis to explore co-occurrence patterns in soil microbial communities. ISME J. 2012, 6, 343–351. [Google Scholar] [CrossRef]
  56. Fournier, B.; Dos Santos, S.P.; Gustavsen, J.A.; Imfeld, G.; Lamy, F.; Mitchell, E.A.; Mota, M.; Noll, D.; Planchamp, C.; Heger, T.J. Impact of a synthetic fungicide (fosetyl-Al and propamocarb-hydrochloride) and a biopesticide (Clonostachys rosea) on soil bacterial, fungal, and protist communities. Sci. Total Environ. 2020, 738, 139635. [Google Scholar] [CrossRef]
  57. Xun, W.; Liu, Y.; Li, W.; Ren, Y.; Xiong, W.; Xu, Z.; Zhang, N.; Miao, Y.; Shen, Q.; Zhang, R. Specialized metabolic functions of keystone taxa sustain soil microbiome stability. Microbiome 2021, 9, 35. [Google Scholar] [CrossRef]
  58. Zhou, J.; Xue, K.; Xie, J.; Deng, Y.; Wu, L.; Cheng, X.; Fei, S.; Deng, S.; He, Z.; Van Nostrand, J.D.; et al. Microbial mediation of carbon-cycle feedbacks to climate warming. Nat. Clim. Change 2012, 2, 106–110. [Google Scholar] [CrossRef]
  59. Liu, H.; Huang, X.; Tan, W.; Di, H.; Xu, J.; Li, Y. High manure load reduces bacterial diversity and network complexity in a paddy soil under crop rotations. Soil Ecol. Lett. 2020, 2, 104–119. [Google Scholar] [CrossRef]
  60. Morriën, E.; Hannula, S.E.; Snoek, L.B.; Helmsing, N.R.; Zweers, H.; De Hollander, M.; Soto, R.L.; Bouffaud, M.L.; Buée, M.; Dimmers, W.; et al. Soil networks become more connected and take up more carbon as nature restoration progresses. Nat. Commun. 2017, 8, 14349. [Google Scholar] [CrossRef]
  61. Fu, P.L.; Zhu, S.D.; Zhang, J.L.; Finnegan, P.M.; Jiang, Y.J.; Lin, H.; Fan, Z.X.; Cao, K.F. The contrasting leaf functional traits between a karst forest and a nearby non-karst forest in south-West China. Funct. Plant Biol. 2019, 46, 907–915. [Google Scholar] [CrossRef] [PubMed]
  62. Price, G.W.; Langille, M.G.; Yurgel, S.N. Microbial co-occurrence network analysis of soils receiving short-and long-term applications of alkaline treated biosolids. Sci. Total Environ. 2021, 751, 141687. [Google Scholar] [CrossRef] [PubMed]
  63. van der Gast, C.J.; Walker, A.W.; Stressmann, F.A.; Rogers, G.B.; Scott, P.; Daniels, T.W.; Carroll, M.P.; Parkhill, J.; Bruce, K.D. Partitioning core and satellite taxa from within cystic fibrosis lung bacterial communities. ISME J. 2011, 5, 780–791. [Google Scholar] [CrossRef]
  64. Chaudhry, V.; Rehman, A.; Mishra, A.; Chauhan, P.S.; Nautiyal, C.S. Changes in bacterial community structure of agricultural land due to long-term organic and chemical amendments. Microb. Ecol. 2012, 64, 450–460. [Google Scholar] [CrossRef]
  65. Dai, Z.; Su, W.; Chen, H.; Barberán, A.; Zhao, H.; Yu, M.; Yu, L.; Brookes, P.C.; Schadt, C.W.; Chang, S.X.; et al. Long-term nitrogen fertilization decreases bacterial diversity and favors the growth of Actinobacteria and Proteobacteria in agro-ecosystems across the globe. Glob. Change Biol. 2018, 24, 3452–3461. [Google Scholar] [CrossRef]
  66. Liu, J.; Sui, Y.; Yu, Z.; Shi, Y.; Chu, H.; Jin, J.; Liu, X.; Wang, G. High throughput sequencing analysis of biogeographical distribution of bacterial communities in the black soils of northeast China. Soil Biol. Biochem. 2014, 70, 113–122. [Google Scholar] [CrossRef]
  67. Tveit, A.T.; Urich, T.; Svenning, M.M. Metatranscriptomic analysis of arctic peat soil microbiota. Appl. Environ. Microbiol. 2014, 80, 5761–5772. [Google Scholar] [CrossRef] [PubMed]
  68. Zhou, Z.; Wang, G.; Yu, M.; Gao, G.; Ding, G. The leguminous Hedysarum shrubs effectively drive the diversity and structural composition of soil bacterial community through rhizocompartments in the process of desertification reversal. Land Degrad. Dev. 2023, 34, 4833–4846. [Google Scholar] [CrossRef]
  69. Zhang, M.; Dang, P.; Haegeman, B.; Han, X.; Wang, X.; Pu, X.; Qin, X.; Siddique, K. The effects of straw return on soil bacterial diversity and functional profiles: A meta-analysis. Soil Biol. Biochem. 2024, 195, 109484. [Google Scholar] [CrossRef]
Disclaimer/Publisher’s Note: The statements, opinions and data contained in all publications are solely those of the individual author(s) and contributor(s) and not of MDPI and/or the editor(s). MDPI and/or the editor(s) disclaim responsibility for any injury to people or property resulting from any ideas, methods, instructions or products referred to in the content.

Article Metrics

Citations

Article Access Statistics

Multiple requests from the same IP address are counted as one view.