Comparative Genomic Analysis of Brevibacillus brevis: Insights into Pan-Genome Diversity and Biocontrol Potential
Abstract
1. Introduction
2. Materials and Methods
2.1. Genomic Data Acquisition
2.2. Phylogenetic Analysis
2.3. Pan-Genome and Comparative Genetic Diversity of Brevibacillus Brevis Based on ANI and DDH Analysis
2.4. Pan-Genome Analysis
2.5. Functional Annotation of the Pan-Genome
2.6. Prediction of Secondary Metabolite Gene Clusters
3. Results
3.1. Genomic Characteristics of Brevibacillus brevis
| Strain | Size (Mb) | GC (%) | Assembly Level | CDS | Source | Country | Accession Number | Reference |
|---|---|---|---|---|---|---|---|---|
| 3 | 5.92 | 47.5 | Scaffold | 5735 | - | Germany | GCA_903797695.1 | - |
| Ag35 | 6.48 | 47.5 | Contig | 5905 | Alfalfa root nodule | USA | GCA_014526365.1 | [32] |
| ATCC 35690 | 6.13 | 47.5 | Contig | 5563 | Soil | Poland | GCA_002161835.1 | - |
| B011 | 6.16 | 47.5 | Complete | 5582 | Tobacco rhizosphere | China | GCA_022026395.1 | [33] |
| CCM 2050T | 6.73 | 47.5 | Contig | 6334 | - | China | GCA_042682345.1 | - |
| DSM 30T | 6.61 | 47.5 | Scaffold | 6273 | - | USA | GCA_003385915.1 | - |
| DZQ7 | 6.44 | 47.5 | Complete | 5864 | Tobacco rhizosphere soil | China | GCA_001039275.2 | [34] |
| FJAT-0809-GLX | 6.02 | 47.5 | Contig | 5541 | Watermelon rhizosphere soil | China | GCA_000346255.1 | [17] |
| G25-137 | 6.34 | 47.0 | Scaffold | 5894 | - | China | GCA_015912885.1 | - |
| GZDF3.1 | 6.43 | 47.0 | Scaffold | 5951 | Soil | China | GCA_001649505.1 | - |
| HK544 | 6.49 | 47.5 | Complete | 5918 | Soil | South Korea | GCA_007725005.1 | [35] |
| HNCS-1 | 6.35 | 47.0 | Complete | 5776 | Tea rhizosphere soil | China | GCA_030377165.1 | [36] |
| I2-B3 | 6.22 | 47.5 | Contig | 5779 | Air filter | USA | GCA_019749035.1 | - |
| LABIM17 | 5.95 | 47.5 | Chromosome | 5463 | Rainforest soil | Brazil | GCA_021401445.1 | [37] |
| MGMM11 | 6.32 | 47.0 | Complete | 5776 | Wheat rhizosphere soil | Russia | GCA_029958365.1 | - |
| NBRC 100599 | 6.30 | 47.5 | Complete | 5807 | - | Japan | GCA_000010165.1 | - |
| NBRC 110488 | 6.28 | 47.5 | Scaffold | 5868 | - | Japan | GCA_001748185.1 | - |
| NBRC 15304T | 6.52 | 47.5 | Contig | 6193 | - | Japan | GCA_006539845.1 | [38] |
| NCTC2611T | 6.73 | 47.5 | Complete | 6286 | - | - | GCA_900637055.1 | - |
| NEB573 | 6.23 | 54.0 | Complete | 5868 | - | New England | GCA_031583145.1 | - |
| NPDC077532 | 6.37 | 47.0 | Scaffold | 5948 | - | USA | GCA_044542915.1 | - |
| NRRL NRS-604T | 6.61 | 47.5 | Contig | 6255 | Soil | USA | GCA_003012835.1 | - |
| SDF0063 | 6.24 | 47.5 | Contig | 5716 | Soil | Brazil | GCA_006864225.1 | [39] |
| X23 | 6.64 | 47.0 | Complete | 6213 | Vegetable soil | China | GCA_000296715.2 | [16] |
| YSY-3.4 | 6.19 | 47.5 | Contig | 5657 | Dipterocarp forest soil | Vietnam | GCA_045866595.1 | [40] |
3.2. Phylogenetic Structure and Evolutionary Relationships Within Brevibacillus brevis
3.3. Genomic Divergence Inferred from ANI and dDDH Metrics
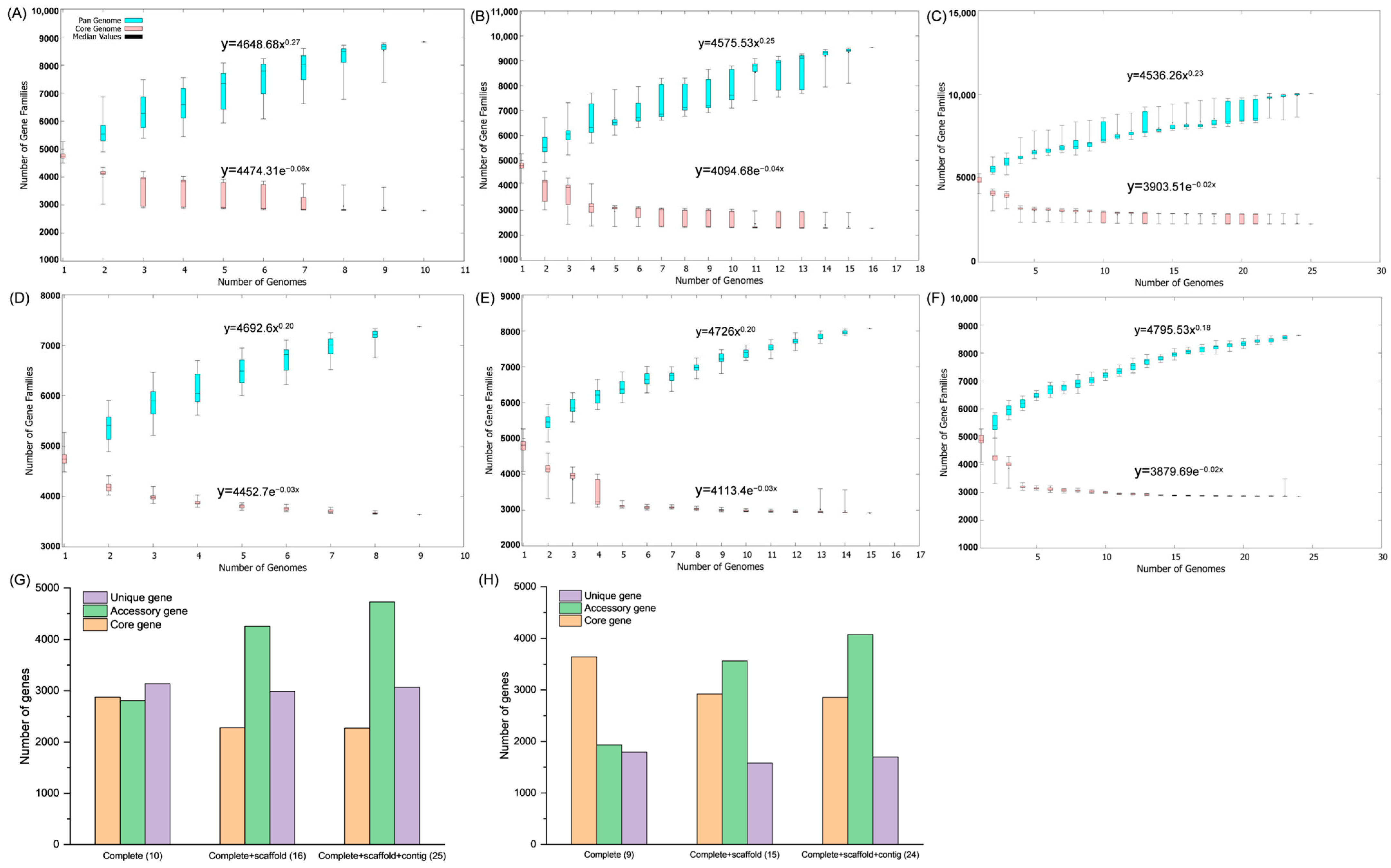
3.4. Pan-Genome Structure and Dynamics
3.5. Functional Insights from Gene Family Annotations
3.6. Diversity of Secondary Metabolite Biosynthetic Gene Clusters
4. Discussion
Supplementary Materials
Author Contributions
Funding
Institutional Review Board Statement
Informed Consent Statement
Data Availability Statement
Conflicts of Interest
References
- Ruiu, L. Brevibacillus laterosporus, a Pathogen of Invertebrates and a Broad-Spectrum Antimicrobial Species. Insects 2013, 4, 476–492. [Google Scholar] [CrossRef]
- Shida, O.; Takagi, H.; Kadowaki, K.; Komagata, K. Proposal for Two New Genera, Brevibacillus Gen. Nov. and Aneurinibacillus Gen. Nov. Int. J. Syst. Bacteriol. 1996, 46, 939–946. [Google Scholar] [CrossRef]
- Panda, A.K.; Bisht, S.S.; DeMondal, S.; Senthil Kumar, N.; Gurusubramanian, G.; Panigrahi, A.K. Brevibacillus as a Biological Tool: A Short Review. Antonie Van Leeuwenhoek 2014, 105, 623–639. [Google Scholar] [CrossRef]
- Parte, A.C.; Carbasse, J.S.; Meier-Kolthoff, J.P.; Reimer, L.C.; Göker, M. List of Prokaryotic Names with Standing in Nomenclature (LPSN) Moves to the DSMZ. Int. J. Syst. Evol. Microbiol. 2020, 70, 5607–5612. [Google Scholar] [CrossRef]
- Wang, G.; Li, X.; Wang, Z. APD3: The Antimicrobial Peptide Database as a Tool for Research and Education. Nucleic Acids Res. 2016, 44, D1087–D1093. [Google Scholar] [CrossRef]
- Song, L.; Shen, Y.; Zhang, H.; Zhang, H.; Zhang, Y.; Wang, M.; Zhang, M.; Wang, F.; Zhou, L.; Wen, C.; et al. Comprehensive Genomic Analysis of Brevibacillus brevis BF19 Reveals Its Biocontrol Potential against Bitter Gourd Wilt. BMC Microbiol. 2024, 24, 415. [Google Scholar] [CrossRef]
- Ji, C.; Li, Y.-F.; Yao, Y.; Zhu, Z.; Mao, S. Mechanism of Brevibacillus brevis Strain TR-4 against Leaf Disease of Photinia × Fraseri Dress. PeerJ 2024, 12, e17568. [Google Scholar] [CrossRef]
- Krishnan, N.; Velramar, B.; Pandiyan, R.; Velu, R.K. Anti-Pseudomonal and Anti-Endotoxic Effects of Surfactin-Stabilized Biogenic Silver Nanocubes Ameliorated Wound Repair in Streptozotocin-Induced Diabetic Mice. Artif. Cells Nanomed. Biotechnol. 2018, 46, 488–499. [Google Scholar] [CrossRef]
- Nakai, T.; Yamauchi, D.; Kubota, K. Enhancement of Linear Gramicidin Expression from Bacillus brevis ATCC 8185 by Casein Peptide. Biosci. Biotechno.l Biochem. 2005, 69, 700–704. [Google Scholar] [CrossRef]
- Westman, E.L.; Yan, M.; Waglechner, N.; Koteva, K.; Wright, G.D. Self Resistance to the Atypical Cationic Antimicrobial Peptide Edeine of Brevibacillus brevis Vm4 by the N-Acetyltransferase EdeQ. Chem. Biol. 2013, 20, 983–990. [Google Scholar] [CrossRef]
- Wang, F.; Qin, L.; Pace, C.J.; Wong, P.; Malonis, R.; Gao, J. Solubilized Gramicidin A as Potential Systemic Antibiotics. Chembiochem 2012, 13, 51–55. [Google Scholar] [CrossRef]
- Du, J.; Huang, B.; Huang, J.; Long, Q.; Zhang, C.; Guo, Z.; Wang, Y.; Chen, W.; Tan, S.; Liu, Q. Pan-Genome Analysis and Secondary Metabolic Pathway Mining of Biocontrol Bacterium Brevibacillus brevis. Agronomy 2024, 14, 1024. [Google Scholar] [CrossRef]
- Sun, Z.; Harris, H.M.B.; McCann, A.; Guo, C.; Argimón, S.; Zhang, W.; Yang, X.; Jeffery, I.B.; Cooney, J.C.; Kagawa, T.F.; et al. Expanding the Biotechnology Potential of Lactobacilli through Comparative Genomics of 213 Strains and Associated Genera. Nat. Commun. 2015, 6, 8322. [Google Scholar] [CrossRef]
- Gregory, K.; Salvador, L.A.; Akbar, S.; Adaikpoh, B.I.; Stevens, D.C. Survey of Biosynthetic Gene Clusters from Sequenced Myxobacteria Reveals Unexplored Biosynthetic Potential. Microorganisms 2019, 7, 181. [Google Scholar] [CrossRef]
- Kim, B.; Han, S.-R.; Lee, H.; Oh, T.-J. Insights into Group-Specific Pattern of Secondary Metabolite Gene Cluster in Burkholderia Genus. Front. Microbiol. 2024, 14, 1302236. [Google Scholar] [CrossRef]
- Chen, W.; Wang, Y.; Li, D.; Li, L.; Xiao, Q.; Zhou, Q. Draft Genome Sequence of Brevibacillus brevis Strain X23, a Biocontrol Agent against Bacterial Wilt. J. Bacteriol. 2012, 194, 6634–6635. [Google Scholar] [CrossRef]
- Che, J.; Lai, C.; Lai, G.; Chen, B.; He, L.; Liu, B. Complete Genome Sequence Analysis and Pks Genes Identification of Brevibacillus brevis FJAT-0809-GLX with a Broad Inhibitory Spectrum against Phytopathogens. World J. Microbiol. Biotechnol. 2024, 40, 332. [Google Scholar] [CrossRef]
- Parks, D.H.; Imelfort, M.; Skennerton, C.T.; Hugenholtz, P.; Tyson, G.W. CheckM: Assessing the Quality of Microbial Genomes Recovered from Isolates, Single Cells, and Metagenomes. Genome Res. 2015, 25, 1043–1055. [Google Scholar] [CrossRef]
- Chaumeil, P.-A.; Mussig, A.J.; Hugenholtz, P.; Parks, D.H. GTDB-Tk v2: Memory Friendly Classification with the Genome Taxonomy Database. Bioinformatics 2022, 38, 5315–5316. [Google Scholar] [CrossRef]
- Kozlov, A.M.; Darriba, D.; Flouri, T.; Morel, B.; Stamatakis, A. RAxML-NG: A Fast, Scalable and User-Friendly Tool for Maximum Likelihood Phylogenetic Inference. Bioinformatics 2019, 35, 4453–4455. [Google Scholar] [CrossRef]
- Letunic, I.; Bork, P. Interactive Tree of Life (iTOL) v6: Recent Updates to the Phylogenetic Tree Display and Annotation Tool. Nucleic Acids Res. 2024, 52, W78–W82. [Google Scholar] [CrossRef] [PubMed]
- Johnson, E.T.; Dunlap, C.A. Phylogenomic Analysis of the Brevibacillus Brevis Clade: A Proposal for Three New Brevibacillus Species, Brevibacillus fortis sp. nov., Brevibacillus porteri sp. nov. and Brevibacillus schisleri sp. nov. Antonie Van Leeuwenhoek 2019, 112, 991–999. [Google Scholar] [CrossRef]
- Jain, C.; Rodriguez-R, L.M.; Phillippy, A.M.; Konstantinidis, K.T.; Aluru, S. High Throughput ANI Analysis of 90K Prokaryotic Genomes Reveals Clear Species Boundaries. Nat. Commun. 2018, 9, 5114. [Google Scholar] [CrossRef]
- Meier-Kolthoff, J.P.; Carbasse, J.S.; Peinado-Olarte, R.L.; Göker, M. TYGS and LPSN: A Database Tandem for Fast and Reliable Genome-Based Classification and Nomenclature of Prokaryotes. Nucleic Acids Res. 2022, 50, D801–D807. [Google Scholar] [CrossRef]
- Seemann, T. Prokka: Rapid Prokaryotic Genome Annotation. Bioinformatics 2014, 30, 2068–2069. [Google Scholar] [CrossRef]
- Chaudhari, N.M.; Gupta, V.K.; Dutta, C. BPGA- an Ultra-Fast Pan-Genome Analysis Pipeline. Sci. Rep. 2016, 6, 24373. [Google Scholar] [CrossRef] [PubMed]
- De Jesus, L.C.L.; Aburjaile, F.F.; Sousa, T.D.J.; Felice, A.G.; Soares, S.D.C.; Alcantara, L.C.J.; Azevedo, V.A.D.C. Genomic Characterization of Lactobacillus delbrueckii Strains with Probiotics Properties. Front. Bioinform. 2022, 2, 912795. [Google Scholar] [CrossRef]
- Cantalapiedra, C.P.; Hernández-Plaza, A.; Letunic, I.; Bork, P.; Huerta-Cepas, J. eggNOG-Mapper v2: Functional Annotation, Orthology Assignments, and Domain Prediction at the Metagenomic Scale. Mol. Biol. Evol. 2021, 38, 5825–5829. [Google Scholar] [CrossRef]
- Kanehisa, M.; Furumichi, M.; Sato, Y.; Kawashima, M.; Ishiguro-Watanabe, M. KEGG for Taxonomy-Based Analysis of Pathways and Genomes. Nucleic Acids Res. 2023, 51, D587–D592. [Google Scholar] [CrossRef]
- Blin, K.; Shaw, S.; Augustijn, H.E.; Reitz, Z.L.; Biermann, F.; Alanjary, M.; Fetter, A.; Terlouw, B.R.; Metcalf, W.W.; Helfrich, E.J.N.; et al. antiSMASH 7.0: New and Improved Predictions for Detection, Regulation, Chemical Structures and Visualisation. Nucleic Acids Res. 2023, 51, W46–W50. [Google Scholar] [CrossRef] [PubMed]
- Navarro-Muñoz, J.C.; Selem-Mojica, N.; Mullowney, M.W.; Kautsar, S.A.; Tryon, J.H.; Parkinson, E.I.; De Los Santos, E.L.C.; Yeong, M.; Cruz-Morales, P.; Abubucker, S.; et al. A Computational Framework to Explore Large-Scale Biosynthetic Diversity. Nat. Chem. Biol. 2020, 16, 60–68. [Google Scholar] [CrossRef]
- Hansen, B.L.; Pessotti, R.D.C.; Fischer, M.S.; Collins, A.; El-Hifnawi, L.; Liu, M.D.; Traxler, M.F. Cooperation, Competition, and Specialized Metabolism in a Simplified Root Nodule Microbiome. mBio 2020, 11, e01917-20. [Google Scholar] [CrossRef] [PubMed]
- Zhou, X.; Wang, Y.; Chen, W.; Liu, T.; Wang, K.; Liu, F.; Zhou, L.; Yuan, Z. Identification and Expression Analysis of spo0E Gene Family in Brevibacillus brevis Strain B011. Chin. J. Biol. Control 2023, 39, 895–903. [Google Scholar] [CrossRef]
- Hou, Q.; Wang, C.; Hou, X.; Xia, Z.; Ye, J.; Liu, K.; Liu, H.; Wang, J.; Guo, H.; Yu, X.; et al. Draft Genome Sequence of Brevibacillus brevis DZQ7, a Plant Growth-Promoting Rhizobacterium with Broad-Spectrum Antimicrobial Activity. Genome Announc. 2015, 3, e00831-15. [Google Scholar] [CrossRef] [PubMed]
- Kim, B.; Kim, Y.S.; Han, J.W.; Choi, G.J.; Kim, H. Genome Sequence of Brevibacillus brevis HK544, an Antimicrobial Bacterium Isolated from Soil in Daejeon, South Korea. Microbiol. Resour. Announc. 2021, 10, e00417-21. [Google Scholar] [CrossRef]
- Yang, W.; Yang, H.; Bao, X.; Hussain, M.; Bao, Q.; Zeng, Z.; Xiao, C.; Zhou, L.; Qin, X. Brevibacillus brevis HNCS-1: A Biocontrol Bacterium against Tea Plant Diseases. Front. Microbiol. 2023, 14, 1198747. [Google Scholar] [CrossRef]
- Bertoglio, C.; Moura Duin, I.; Bertê, R.; Manoel Teixeira, G.; Gonçalves de Oliveira, A.; Pereira Leite, R.; Balbi-Peña, M.I. Activity of Brevibacillus brevis Strain LABIM17 against Xanthomonas euvesicatoria pv. euvesicatoria and Control of Bacterial Spot of Tomato. J. Plant Dis. Prot. 2023, 130, 921–927. [Google Scholar] [CrossRef]
- Biological Control of Potato Brown Leaf Spot Disease Caused by Alternaria alternata Using Brevibacillus formosus Strain DSM 9885 and Brevibacillus brevis Strain NBRC 15304. J. Plant Pathol. Microbiol. 2017, 8, 1000413. [CrossRef]
- De-Souza, M.T.; da Silva, W.M.C.; Raiol, T.; Brigido, M.d.M.; de Almeida, N.F.; Fuga, B.; Cavalcante, D.d.A.; De-Souza, M.T. Genome Mining Reveals Pathways for Terpene Production in Aerobic Endospore-Forming Bacteria Isolated from Brazilian Soils. Biol. Life Sci. 2025; preprints. [Google Scholar] [CrossRef]
- Tran, D.M.; Huynh, T.U. Genome Resource of the Chitinase-Producer Brevibacillus brevis YSY-3.4 Isolated from the Dipterocarp Forest Ecosystem. Microbiol. Biotechnol. Lett. 2025, 53, 121–124. [Google Scholar] [CrossRef]
- Barco, R.A.; Garrity, G.M.; Scott, J.J.; Amend, J.P.; Nealson, K.H.; Emerson, D. A Genus Definition for Bacteria and Archaea Based on a Standard Genome Relatedness Index. mBio 2020, 11, e02475-19. [Google Scholar] [CrossRef]
- Yang, X.; Yousef, A.E. Antimicrobial Peptides Produced by Brevibacillus spp.: Structure, Classification and Bioactivity: A Mini Review. World J. Microbiol. Biotechnol. 2018, 34, 57. [Google Scholar] [CrossRef] [PubMed]
- Toft, C.; Andersson, S.G.E. Evolutionary Microbial Genomics: Insights into Bacterial Host Adaptation. Nat. Rev. Genet. 2010, 11, 465–475. [Google Scholar] [CrossRef] [PubMed]
- Alcaraz, L.D.; Moreno-Hagelsieb, G.; Eguiarte, L.E.; Souza, V.; Herrera-Estrella, L.; Olmedo, G. Understanding the Evolutionary Relationships and Major Traits of Bacillus through Comparative Genomics. BMC Genom. 2010, 11, 332. [Google Scholar] [CrossRef] [PubMed]
- Thompson, C.C.; Chimetto, L.; Edwards, R.A.; Swings, J.; Stackebrandt, E.; Thompson, F.L. Microbial Genomic Taxonomy. BMC Genom. 2013, 14, 913. [Google Scholar] [CrossRef]
- Zeng, Q.; Xie, J.; Li, Y.; Gao, T.; Zhang, X.; Wang, Q. Comprehensive Genomic Analysis of the Endophytic Bacillus altitudinis Strain GLB197, a Potential Biocontrol Agent of Grape Downy Mildew. Front. Genet. 2021, 12, 729603. [Google Scholar] [CrossRef]
- Arnold, B.J.; Huang, I.-T.; Hanage, W.P. Horizontal Gene Transfer and Adaptive Evolution in Bacteria. Nat. Rev. Microbiol. 2022, 20, 206–218. [Google Scholar] [CrossRef]
- Guan, N.; Li, J.; Shin, H.; Du, G.; Chen, J.; Liu, L. Microbial Response to Environmental Stresses: From Fundamental Mechanisms to Practical Applications. Appl. Microbiol. Biotechnol. 2017, 101, 3991–4008. [Google Scholar] [CrossRef]
- Munyuki, G.; Jackson, G.E.; Venter, G.A.; Kövér, K.E.; Szilágyi, L.; Rautenbach, M.; Spathelf, B.M.; Bhattacharya, B.; Van Der Spoel, D. β-Sheet Structures and Dimer Models of the Two Major Tyrocidines, Antimicrobial Peptides from Bacillus aneurinolyticus. Biochemistry 2013, 52, 7798–7806. [Google Scholar] [CrossRef]
- Abergel, R.J.; Wilson, M.K.; Arceneaux, J.E.L.; Hoette, T.M.; Strong, R.K.; Byers, B.R.; Raymond, K.N. Anthrax Pathogen Evades the Mammalian Immune System through Stealth Siderophore Production. Proc. Natl. Acad. Sci. USA 2006, 103, 18499–18503. [Google Scholar] [CrossRef]
- Steinke, K.; Mohite, O.S.; Weber, T.; Kovács, Á.T. Phylogenetic Distribution of Secondary Metabolites in the Bacillus subtilis Species Complex. mSystems 2021, 6, e00057-21. [Google Scholar] [CrossRef] [PubMed]
- Caulier, S.; Nannan, C.; Gillis, A.; Licciardi, F.; Bragard, C.; Mahillon, J. Overview of the Antimicrobial Compounds Produced by Members of the Bacillus subtilis Group. Front. Microbiol. 2019, 10, 302. [Google Scholar] [CrossRef] [PubMed]





Disclaimer/Publisher’s Note: The statements, opinions and data contained in all publications are solely those of the individual author(s) and contributor(s) and not of MDPI and/or the editor(s). MDPI and/or the editor(s) disclaim responsibility for any injury to people or property resulting from any ideas, methods, instructions or products referred to in the content. |
© 2025 by the authors. Licensee MDPI, Basel, Switzerland. This article is an open access article distributed under the terms and conditions of the Creative Commons Attribution (CC BY) license (https://creativecommons.org/licenses/by/4.0/).
Share and Cite
Yang, W.; Bao, Q.; Wang, Y.; Xiao, L.; Zeng, Z.; Zhou, L.; Yang, H. Comparative Genomic Analysis of Brevibacillus brevis: Insights into Pan-Genome Diversity and Biocontrol Potential. Microorganisms 2025, 13, 2456. https://doi.org/10.3390/microorganisms13112456
Yang W, Bao Q, Wang Y, Xiao L, Zeng Z, Zhou L, Yang H. Comparative Genomic Analysis of Brevibacillus brevis: Insights into Pan-Genome Diversity and Biocontrol Potential. Microorganisms. 2025; 13(11):2456. https://doi.org/10.3390/microorganisms13112456
Chicago/Turabian StyleYang, Wenbo, Qiang Bao, Yuanjiang Wang, Lei Xiao, Zexuan Zeng, Lingyun Zhou, and Hui Yang. 2025. "Comparative Genomic Analysis of Brevibacillus brevis: Insights into Pan-Genome Diversity and Biocontrol Potential" Microorganisms 13, no. 11: 2456. https://doi.org/10.3390/microorganisms13112456
APA StyleYang, W., Bao, Q., Wang, Y., Xiao, L., Zeng, Z., Zhou, L., & Yang, H. (2025). Comparative Genomic Analysis of Brevibacillus brevis: Insights into Pan-Genome Diversity and Biocontrol Potential. Microorganisms, 13(11), 2456. https://doi.org/10.3390/microorganisms13112456

