The Isolation of Lead-Tolerant PGPR from Red Clover Soil and Its Role in Promoting the Growth of Alfalfa
Abstract
1. Introduction
2. Materials and Methods
2.1. Experimental Material
2.2. Isolation and Identification of Lead-Resistant PGPR Strains
2.3. Characteristics of Lead-Resistant PGPR Strains
2.4. Growth Analysis of Strains Under Lead Stress
2.5. Pot Experiment
2.6. Plant Sample Analysis
2.7. Soil Sample Analysis
2.8. Calculation of Biological Concentration Coefficient and Transport Coefficient
2.9. Data Analysis
3. Results
3.1. Preliminary Identification of Lead-Resistant PGPR Strains
3.2. Growth-Promoting Properties of Lead-Resistant PGPR Strains Containing ACC Deaminase
3.3. Morphological Characteristics of Lead-Resistant PGPR Strains
3.4. 16Sr DNA Sequence Analysis of Lead-Resistant PGPR Strains
3.5. Effects of Lead Stress on the Growth of PGPR Strains
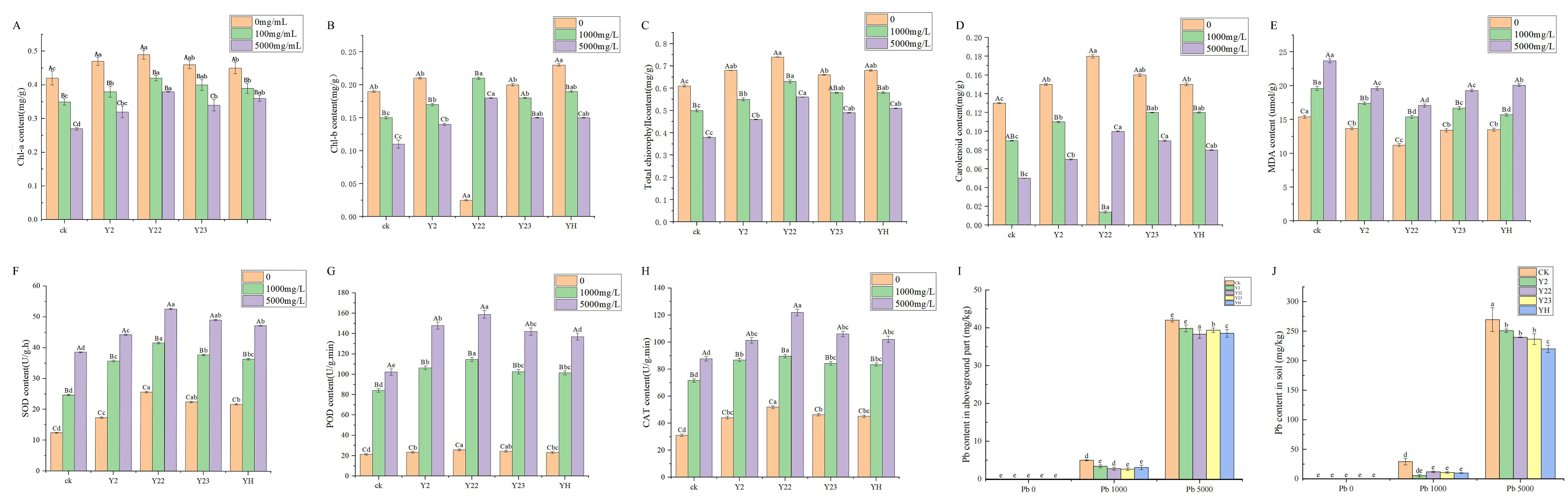
3.6. Effect of Lead-Resistant PGPR Strain Containing ACC Deaminase on Growth of Alfalfa Seedlings
3.7. Effect of Lead-Resistant PGPR Strain on Antioxidant Enzyme Activity of Alfalfa Seedlings
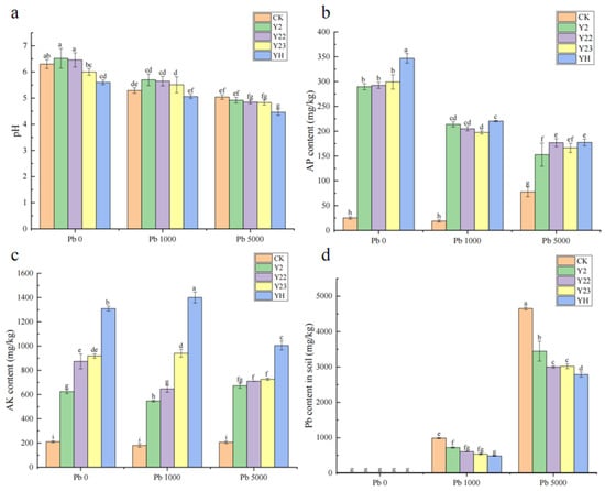
3.8. Effects of Lead-Resistant PGPR Strains on Physicochemical Properties of Soil Samples
4. Discussion
5. Conclusions
Supplementary Materials
Author Contributions
Funding
Institutional Review Board Statement
Informed Consent Statement
Data Availability Statement
Acknowledgments
Conflicts of Interest
References
- Zhang, L.; Zhu, Y.; Gu, H.; Lam, S.S.; Chen, X.; Sonne, C.; Peng, W. A review of phytoremediation of environmental lead (pb) contamination. Chemosphere 2024, 362, 142691. [Google Scholar] [CrossRef]
- Yildiz, U.; Ozkul, C. Heavy metals contamination and ecological risks in agricultural soils of Uşak, western Türkiye: A geostatistical and multivariate analysis. Environ. Geochem. Health 2024, 46, 58. [Google Scholar] [CrossRef]
- Sansinenea, E. Bacillus spp.: As Plant Growth-Promoting Bacteria. In Secondary Metabolites of Plant Growth Promoting Rhizomicroorganisms: Discovery and Applications, Singh, H.B., Keswani, C., Reddy, M.S., Sansinenea, E., García-Estrada, C., Eds.; Springer: Singapore, 2019; pp. 225–237. [Google Scholar]
- Pourrut, B.; Shahid, M.; Dumat, C.; Winterton, P.; Pinelli, E. Lead Uptake, Toxicity, and Detoxification in Plants. In Reviews of Environmental Contamination and Toxicology, Whitacre, D.M., Ed.; Springer: New York, NY, USA, 2011; Volume 213, pp. 113–136. [Google Scholar]
- Wang, F.; Jin, F.; Lin, X.; Jia, F.; Song, K.; Liang, J.; Zhang, J.; Zhang, J. Priestia aryabhattai Improves Soil Environment and Promotes Alfalfa Growth by Enhancing Rhizosphere Microbial Carbon Sequestration Capacity Under Greenhouse Conditions. Curr. Microbiol. 2024, 81, 420. [Google Scholar] [CrossRef] [PubMed]
- Patel, S.; Jinal, H.N.; Amaresan, N. Isolation and characterization of drought resistance bacteria for plant growth promoting properties and their effect on chilli (Capsicum annuum) seedling under salt stress. Biocatal. Agric. Biotechnol. 2017, 12, 85–89. [Google Scholar] [CrossRef]
- Etesami, H.; Beattie, G.A. Mining Halophytes for Plant Growth-Promoting Halotolerant Bacteria to Enhance the Salinity Tolerance of Non-halophytic Crops. Front. Microbiol. 2018, 9, 148. [Google Scholar] [CrossRef] [PubMed]
- Bukhat, S.; Imran, A.; Javaid, S.; Shahid, M.; Majeed, A.; Naqqash, T. Communication of plants with microbial world: Exploring the regulatory networks for PGPR mediated defense signaling. Microbiol. Res. 2020, 238, 126486. [Google Scholar] [CrossRef] [PubMed]
- Gupta, G.; Parihar, S.; Ahirwar, N.; Snehi, D.S.K.; Singh, V. Plant Growth Promoting Rhizobacteria (PGPR): Current and Future Prospects for Development of Sustainable Agriculture. Microb. Biochem. Technol. 2015, 7, 96–102. [Google Scholar]
- Etesami, H.; Glick, B.R. Halotolerant plant growth–promoting bacteria: Prospects for alleviating salinity stress in plants. Environ. Exp. Bot. 2020, 178, 104124. [Google Scholar] [CrossRef]
- Mirzaei, M.; Moghadam, A.L.; Hakimi, L.; Danaee, E. Plant growth promoting rhizobacteria (PGPR) improve plant growth, antioxidant capacity, and essential oil properties of lemongrass (Cymbopogon citratus) under water stress. Iran. J. Plant Physiol. 2020, 10, 3155–3166. [Google Scholar] [CrossRef]
- Perruzza, L.; Zagaglia, C.; Vitiello, L.; Sarshar, M.; Strati, F.; Pasqua, M.; Grassi, F.; Nicoletti, M.; Palamara Anna, T.; Ambrosi, C.; et al. The Shigella flexneri virulence factor apyrase is released inside eukaryotic cells to hijack host cell fate. Microbiol. Spectr. 2023, 11, e00775-23. [Google Scholar] [CrossRef]
- Crowley, D.E.; Wang, Y.C.; Reid, C.P.P.; Szaniszlo, P.J. Mechanisms of iron acquisition from siderophores by microorganisms and plants. In Proceedings of the Iron Nutrition and Interactions in Plants: “Proceedings of the Fifth International Symposium on Iron Nutrition and Interactions in Plants”, Jerusalem, Israel, 11–17 June 1989; Chen, Y., Hadar, Y., Eds.; Springer: Dordrecht, The Netherlands, 1991; pp. 213–232. [Google Scholar]
- Kashyap, B.K.; Solanki, M.K.; Pandey, A.K.; Prabha, S.; Kumari, B. Bacillus as Plant Growth Promoting Rhizobacteria (PGPR): A Promising Green Agriculture Technology. In Plant Health Under Biotic Stress; Springer: Berlin/Heidelberg, Germany, 2019; pp. 219–236. [Google Scholar]
- Bhanse, P.; Kumar, M.; Singh, L.; Awasthi, M.K.; Qureshi, A. Role of plant growth-promoting rhizobacteria in boosting the phytoremediation of stressed soils: Opportunities, challenges, and prospects. Chemosphere 2022, 303, 134954. [Google Scholar] [CrossRef] [PubMed]
- Meyer, L.; Guyot, S.; Chalot, M.; Capelli, N. The potential of microorganisms as biomonitoring and bioremediation tools for mercury-contaminated soils. Ecotoxicol. Environ. Saf. 2023, 262, 115185. [Google Scholar] [CrossRef] [PubMed]
- Ding, C.; Ding, Z.; Liu, Q.; Liu, W.; Chai, L. Advances in mechanism for the microbial transformation of heavy metals: Implications for bioremediation strategies. Chem. Commun. 2024, 60, 12315–12332. [Google Scholar] [CrossRef]
- Harun, F.A.; Yakasai, H.M.; Jagaba, A.H.; Usman, S.; Umar, H.A.; Shukor, M.Y. Bioremediation potential of Bacillus sp. and Paenebacillus sp. novel lead-resistant isolates: Identification, characterization, and optimization studies. Microbe 2024, 3, 100087. [Google Scholar] [CrossRef]
- Elizabeth George, S.; Wan, Y. Microbial functionalities and immobilization of environmental lead: Biogeochemical and molecular mechanisms and implications for bioremediation. J. Hazard. Mater. 2023, 457, 131738. [Google Scholar] [CrossRef]
- Mandal, D.; Das, S.K.; Adhikari, J.; Chatterjee, D.; Bandyopadhyay, T.K.; Basu, A. Genome sequencing, annotation and application of a strain of Microbacterium paraoxydans—A bacterium with arsenic bioremediation and plant growth promoting potential. Microbe 2024, 4, 100132. [Google Scholar] [CrossRef]
- Wang, B.; Liu, Q.; Xu, W.; Yuan, Y.; Tuluhong, M.; Yu, J.; Cui, G. Genome-Wide Identification of MsICE Gene Family in Medicago sativa and Expression Analysis of the Response to Abiotic Stress. Agronomy 2024, 14, 2064. [Google Scholar] [CrossRef]
- Meng, L.; Wu, Y.; Mu, M.; Wang, Z.; Chen, Z.; Wang, L.; Ma, Z.; Cui, G.; Yin, X. Effects of different concentrations of biochar amendments and Pb toxicity on rhizosphere soil characteristics and bacterial community of red clover (Trifolium pretense L.). Front. Plant Sci. 2023, 14, 1112002. [Google Scholar] [CrossRef]
- GB 15618-2018; Soil Environment Quality Risk Control Standard for Soil Contamination of Agriculture Land. Nanjing Institute of Environmental Science, Ministry of Environmental Protection: Nanjing, China, 2018.
- Thakuria, D.; Talukdar, N.C.; Goswami, C.; Hazarika, S.; Boro, R.C.; Khan, M.R. Characterization and screening of bacteria from rhizosphere of rice grown in acidic soils of Assam. Curr. Sci. 2004, 86, 978–985. [Google Scholar]
- De Marco, J.L.; Felix, C.R. Characterization of a protease produced by a Trichoderma harzianum isolate which controls cocoa plant witches’ broom disease. BMC Biochem. 2002, 3, 3. [Google Scholar] [CrossRef]
- Devau, N.; Hinsinger, P.; Cadre, E.L.; Colomb, B.; Gérard, F. Fertilization and pH effects on processes and mechanisms controlling dissolved inorganic phosphorus in soils. Geochim. Cosmochim. Acta 2011, 75, 2980–2996. [Google Scholar] [CrossRef]
- Penrose, D.M.; Glick, B.R. Methods for isolating and characterizing ACC deaminase-containing plant growth-promoting rhizobacteria. Physiol. Plant. 2003, 118, 10–15. [Google Scholar] [CrossRef] [PubMed]
- Ferreira, C.; Boas, A.V.; Sousa, C.A.; Soares, H.M.; Soares, E.V.J.A.E. Comparison of five bacterial strains producing siderophores with ability to chelate iron under alkaline conditions. AMB Express 2019, 9, 78. [Google Scholar] [CrossRef] [PubMed]
- Bhadrecha, P.; Bala, M.; Khasa, Y.P.; Arshi, A.; Singh, J.; Kumar, M. Hippophae rhamnoides L. rhizobacteria exhibit diversified cellulase and pectinase activities. Physiol. Mol. Biol. Plants 2020, 26, 1075–1085. [Google Scholar] [CrossRef] [PubMed]
- Cui, Y.; Zhu, Y.; Dong, G.; Li, Y.; Xu, J.; Cheng, Z.; Li, L.; Gong, G.; Yu, X. Evaluation of the control efficacy of antagonistic bacteria from V-Ti magnetite mine tailings on kiwifruit brown spots in pot and field experiments. Front. Microbiol. 2024, 15, 1280333. [Google Scholar] [CrossRef]
- Schillaci, M.; Raio, A.; Sillo, F.; Zampieri, E.; Mahmood, S.; Anjum, M.; Khalid, A.; Centritto, M. Pseudomonas and Curtobacterium Strains from Olive Rhizosphere Characterized and Evaluated for Plant Growth Promoting Traits. Plants 2022, 11, 2245. [Google Scholar] [CrossRef] [PubMed]
- Datt, B. Remote Sensing of Chlorophyll a, Chlorophyll b, Chlorophyll a+b, and Total Carotenoid Content in Eucalyptus Leaves. Remote Sens. Environ. 1998, 66, 111–121. [Google Scholar] [CrossRef]
- Draper, H.H.; Squires, E.J.; Mahmoodi, H.; Wu, J.; Agarwal, S.; Hadley, M. A comparative evaluation of thiobarbituric acid methods for the determination of malondialdehyde in biological materials. Free Radic. Biol. Med. 1993, 15, 353–363. [Google Scholar] [CrossRef]
- Li, Z.-X.; Lan, J.-B.; Liu, Y.-Q.; Qi, L.-W.; Tang, J.-M. Investigation of the role of AcTPR2 in kiwifruit and its response to Botrytis cinerea infection. BMC Plant Biol. 2020, 20, 557. [Google Scholar] [CrossRef] [PubMed]
- Wang, J.; Zhang, H.; Zhang, T.; Zhang, R.; Liu, R.; Chen, Y. Molecular mechanism on cadmium-induced activity changes of catalase and superoxide dismutase. Int. J. Biol. Macromol. 2015, 77, 59–67. [Google Scholar] [CrossRef] [PubMed]
- Du, H.Y.; Zhang, Z.Q.; Zhang, Y.N.; Li, M.Q. Study on colour reaction of xylenol orange with Pb(II) complex and its application. J. Baoji Univ. Arts Sci. (Nat. Sci.) 2009, 29, 35–40. [Google Scholar]
- Zhao, Y.; Yao, J.; Li, H.; Sunahara, G.; Li, M.; Tang, C.; Duran, R.; Ma, B.; Liu, H.; Feng, L.; et al. Effects of three plant growth-promoting bacterial symbiosis with ryegrass for remediation of Cd, Pb, and Zn soil in a mining area. J. Environ. Manag. 2024, 353, 120167. [Google Scholar] [CrossRef]
- Yang, Y.; Xiao, C.; Wang, F.; Peng, L.; Zeng, Q.; Luo, S. Assessment of the potential for phytoremediation of cadmium polluted soils by various crop rotation patterns based on the annual input and output fluxes. J. Hazard. Mater. 2022, 423, 127183. [Google Scholar] [CrossRef]
- Sindhu, S.; Singh, P.; Phour, M.; Kumari, K. Rhizosphrere microorganisms for improvement in soil fertility and plant growth. In Microbes in the Service of Mankind: Tiny Bugs with Huge Impact; JBC Press: New Delhi, India, 2014; pp. 32–94. [Google Scholar]
- Azizoglu, U.; Yilmaz, N.; Simsek, O.; Ibal, J.C.; Shin, J.H. The fate of plant growth-promoting rhizobacteria in soilless agriculture: Future perspectives. 3 Biotech 2021, 11, 382. [Google Scholar] [CrossRef] [PubMed]
- Shi, Z.; Guo, X.; Lei, Z.; Wang, Y.; Yang, Z.; Niu, J.; Liang, J. Screening of high-efficiency nitrogen-fixing bacteria from the traditional Chinese medicine plant Astragalus mongolicus and its effect on plant growth promotion and bacterial communities in the rhizosphere. BMC Microbiol. 2023, 23, 292. [Google Scholar] [CrossRef] [PubMed]
- Ortíz-Castro, R.; Contreras-Cornejo, H.A.; Macías-Rodríguez, L.; López-Bucio, J. The role of microbial signals in plant growth and development. Plant Signal. Behav. 2009, 4, 701–712. [Google Scholar] [CrossRef] [PubMed]
- Tak, H.I.; Ahmad, F.; Babalola, O.O. Advances in the Application of Plant Growth-Promoting Rhizobacteria in Phytoremediation of Heavy Metals. In Reviews of Environmental Contamination and Toxicology, Whitacre, D.M., Ed.; Springer: New York, NY, USA, 2013; Volume 223, pp. 33–52. [Google Scholar]
- Malik, K.A.; Bilal, R.; Mehnaz, S.; Rasul, G.; Mirza, M.S.; Ali, S. Association of nitrogen-fixing, plant-growth-promoting rhizobacteria (PGPR) with kallar grass and rice. In Opportunities for Biological Nitrogen Fixation in Rice and Other Non-Legumes: Papers Presented at the Second Working Group Meeting of the Frontier Project on Nitrogen Fixation in Rice Held at the National Institute for Biotechnology and Genetic Engineering (NIBGE), Faisalabad, Pakistan, 13–15 October 1996; Springer: Dordrecht, The Netherlands, 1997; Volume 194, pp. 37–44. [Google Scholar]
- Afridi, M.S.; Mahmood, T.; Salam, A.; Mukhtar, T.; Mehmood, S.; Ali, J.; Khatoon, Z.; Bibi, M.; Javed, M.T.; Sultan, T.; et al. Induction of tolerance to salinity in wheat genotypes by plant growth promoting endophytes: Involvement of ACC deaminase and antioxidant enzymes. Plant Physiol. Biochem. 2019, 139, 569–577. [Google Scholar] [CrossRef]
- Ali, S.; Charles, T.C.; Glick, B.R. Amelioration of high salinity stress damage by plant growth-promoting bacterial endophytes that contain ACC deaminase. Plant Physiol. Biochem. 2014, 80, 160–167. [Google Scholar] [CrossRef] [PubMed]
- Ashrafuzzaman, M.; Hossen, F.A.; Ismail, M.R.; Hoque, A.; Islam, M.Z.; Shahidullah, S.M.; Meon, S. Efficiency of plant growth-promoting rhizobacteria (PGPR) for the enhancement of rice growth. Afr. J. Biotechnol. 2009, 8, 1247–1252. [Google Scholar]
- Karaca, A.; Cetin, S.C.; Turgay, O.C.; Kizilkaya, R. Soil Enzymes as Indication of Soil Quality. In Soil Enzymology, Shukla, G., Varma, A., Eds.; Springer: Berlin/Heidelberg, Germany, 2011; pp. 119–148. [Google Scholar]
- Qi, R.; Li, J.; Lin, Z.; Li, Z.; Li, Y.; Yang, X.; Zhang, J.; Zhao, B. Temperature effects on soil organic carbon, soil labile organic carbon fractions, and soil enzyme activities under long-term fertilization regimes. Appl. Soil Ecol. 2016, 102, 36–45. [Google Scholar] [CrossRef]
- Puissant, J.; Cécillon, L.; Mills, R.T.E.; Robroek, B.J.M.; Gavazov, K.; De Danieli, S.; Spiegelberger, T.; Buttler, A.; Brun, J.J. Biochemistry. Seasonal influence of climate manipulation on microbial community structure and function in mountain soils. Soil Biol. Biochem. 2015, 80, 296–305. [Google Scholar] [CrossRef]
- Deng, B.; Yang, K.; Zhang, Y.; Li, Z. Can heavy metal pollution defend seed germination against heat stress? Effect of heavy metals (Cu2+, Cd2+ and Hg2+) on maize seed germination under high temperature. Environ. Pollut. 2016, 216, 46–52. [Google Scholar] [CrossRef] [PubMed]
- Peralta-Videa, J.R.; Rosa, G.D.L.; Gonzalez, J.H.; Gardea-Torresdey, J.L. Effects of the growth stage on the heavy metal tolerance of alfalfa plants. Adv. Environ. Res. 2004, 8, 679–685. [Google Scholar] [CrossRef]
- Li, Y.; Wei, M.; Wei, W.; Zhang, W.; Liu, L. Feasibility of soil oxidation-reduction potential in judging shear behaviour of hydrocarbon-contaminated soil. J. Environ. Manag. 2023, 342, 118303. [Google Scholar] [CrossRef] [PubMed]
- Narayanan, M.; Ma, Y. Mitigation of heavy metal stress in the soil through optimized interaction between plants and microbes. J. Environ. Manag. 2023, 345, 118732. [Google Scholar] [CrossRef]
- Rasool, A.; Imran Mir, M.; Zulfajri, M.; Hanafiah, M.M.; Azeem Unnisa, S.; Mahboob, M. Plant growth promoting and antifungal asset of indigenous rhizobacteria secluded from saffron (Crocus sativus L.) rhizosphere. Microb. Pathog. 2021, 150, 104734. [Google Scholar] [CrossRef]
- Ali, Q.; Ayaz, M.; Yu, C.; Wang, Y.; Gu, Q.; Wu, H.; Gao, X. Cadmium tolerant microbial strains possess different mechanisms for cadmium biosorption and immobilization in rice seedlings. Chemosphere 2022, 303, 135206. [Google Scholar] [CrossRef] [PubMed]
- Kalaji, H.M.; Bąba, W.; Gediga, K.; Goltsev, V.; Samborska, I.A.; Cetner, M.D.; Dimitrova, S.; Piszcz, U.; Bielecki, K.; Karmowska, K.; et al. Chlorophyll fluorescence as a tool for nutrient status identification in rapeseed plants. Photosynth. Res. 2018, 136, 329–343. [Google Scholar] [CrossRef] [PubMed]
- Šimonová, E.; Henselová, M.; Masarovičová, E.; Kohanová, J. Comparison of tolerance of Brassica juncea and Vigna radiata to cadmium. Biol. Plant. 2007, 51, 488–492. [Google Scholar] [CrossRef]
- Rai, R.; Agrawal, M.; Agrawal, S.B. Impact of Heavy Metals on Physiological Processes of Plants: With Special Reference to Photosynthetic System. In Plant Responses Xenobiotics; Springer: Berlin/Heidelberg, Germany, 2016; pp. 127–140. [Google Scholar]
- Montes-Osuna, N.; Gómez-Lama Cabanás, C.; Valverde-Corredor, A.; Legarda, G.; Prieto, P.; Mercado-Blanco, J. Evaluation of Indigenous Olive Biocontrol Rhizobacteria as Protectants against Drought and Salt Stress. Microorganisms 2021, 9, 1209. [Google Scholar] [CrossRef]
- Zerrouk, I.Z.; Rahmoune, B.; Khelifi, L.; Mounir, K.; Plantarum, J. Algerian Sahara PGPR confers maize root tolerance to salt and aluminum toxicity via ACC deaminase and IAA. Acta Physiol. Plant. 2019, 41, 91. [Google Scholar] [CrossRef]
- Bhattacharjee, S. Membrane lipid peroxidation and its conflict of interest: The two faces of oxidative stress. Curr. Sci. 2014, 107, 1811–1823. [Google Scholar]
- Møller, I.M.; Jensen, P.E.; Hansson, A. Oxidative Modifications to Cellular Components in Plants. Annu. Rev. Plant Biol. 2007, 58, 459–481. [Google Scholar] [CrossRef] [PubMed]
- Ranf, S.; Gisch, N.; Schäffer, M.; Illig, T.; Westphal, L.; Knirel, Y.A.; Sánchez-Carballo, P.M.; Zähringer, U.; Hückelhoven, R.; Lee, J.; et al. A lectin S-domain receptor kinase mediates lipopolysaccharide sensing in Arabidopsis thaliana. Nat. Immunol. 2015, 16, 426–433. [Google Scholar] [CrossRef]
- Molinaro, A.; Newman, M.-A.; Lanzetta, R.; Parrilli, M. The Structures of Lipopolysaccharides from Plant-Associated Gram-Negative Bacteria. Eur. J. Org. Chem. 2009, 2009, 5887–5896. [Google Scholar] [CrossRef]
- Shang-Guan, K.; Wang, M.; Nang, M.P.S.H.; Li, P.; Li, Y.; Qi, F.; Zhang, D.; Cao, M.; Kim, C.; Weng, H.; et al. Lipopolysaccharides Trigger Two Successive Bursts of Reactive Oxygen Species at Distinct Cellular Locations. Plant Physiol. 2018, 176, 2543–2556. [Google Scholar] [CrossRef]
- Kumar, V.; Umrao, P.D.; Kaistha, S.D. Chapter12—Beneficial plant microbiome assisted chromium phytoremediation. In Advances in Microbe-Assisted Phytoremediation of Polluted Sites; Bauddh, K., Ma, Y., Eds.; Elsevier: Amsterdam, The Netherlands, 2022; pp. 301–346. [Google Scholar]
- Badr, N.; Fawzy, M.; Al-Qahtani, K.M. Phytoremediation: An Ecological Solution to Heavy-Metal-Polluted Soil and Evaluation of Plant Removal Ability. World Appl. Sci. J. 2012, 16, 1292–1301. [Google Scholar]






| Strain Number | Auxin Content (μg/mL) | ACC Deaminase Content (U/mg) |
|---|---|---|
| Y2 | 27.55 ± 0.12 a | — |
| Y10 | 24.86 ± 0.13 b | — |
| Y12 | 21.06 ± 0.83 d | — |
| Y13 | 18.02 ± 0.13 f | — |
| Y19 | 20.86 ± 0.21 d | — |
| Y22 | 4.80 ± 0.10 g | 0.29 ± 0.02 c |
| Y24 | — | 0.19 ± 0.00 d |
| Y25 | 18.88 ± 0.49 e | 0.45 ± 0.00 a |
| Y39 | 21.61 ± 0.11 c | — |
| Y46 | — | 0.31 ± 0.02 b |
| Y50 | — | 0.29 ± 0.01 c |
| Parameters | CK | Y2 | Y22 | Y23 | YH | |
|---|---|---|---|---|---|---|
| Pb0 | BCF | 0 | 0 | 0 | 0 | 0 |
| TF | 0 | 0 | 0 | 0 | 0 | |
| Pb1000 | BCF | 0.0250 | 0.0249 | 0.0245 | 0.0250 | 0.0266 |
| TF | 0.2468 | 0.2322 | 0.2306 | 0.2434 | 0.3145 | |
| Pb5000 | BCF | 0.0669 | 0.0843 | 0.0926 | 0.0193 | 0.0928 |
| TF | 0.1559 | 0.1588 | 0.1599 | 0.1664 | 0.1752 |
Disclaimer/Publisher’s Note: The statements, opinions and data contained in all publications are solely those of the individual author(s) and contributor(s) and not of MDPI and/or the editor(s). MDPI and/or the editor(s) disclaim responsibility for any injury to people or property resulting from any ideas, methods, instructions or products referred to in the content. |
© 2025 by the authors. Licensee MDPI, Basel, Switzerland. This article is an open access article distributed under the terms and conditions of the Creative Commons Attribution (CC BY) license (https://creativecommons.org/licenses/by/4.0/).
Share and Cite
Nie, W.; Wu, Y.; Jiang, J.; Wang, Z.; Mu, M.; Zhao, S.; Yang, M.; Long, X.; Yin, X.; Teng, X. The Isolation of Lead-Tolerant PGPR from Red Clover Soil and Its Role in Promoting the Growth of Alfalfa. Microorganisms 2025, 13, 210. https://doi.org/10.3390/microorganisms13010210
Nie W, Wu Y, Jiang J, Wang Z, Mu M, Zhao S, Yang M, Long X, Yin X, Teng X. The Isolation of Lead-Tolerant PGPR from Red Clover Soil and Its Role in Promoting the Growth of Alfalfa. Microorganisms. 2025; 13(1):210. https://doi.org/10.3390/microorganisms13010210
Chicago/Turabian StyleNie, Wanting, Yuchen Wu, Jingwen Jiang, Zicheng Wang, Meiqi Mu, Siwen Zhao, Minghao Yang, Xi Long, Xiujie Yin, and Xiaohua Teng. 2025. "The Isolation of Lead-Tolerant PGPR from Red Clover Soil and Its Role in Promoting the Growth of Alfalfa" Microorganisms 13, no. 1: 210. https://doi.org/10.3390/microorganisms13010210
APA StyleNie, W., Wu, Y., Jiang, J., Wang, Z., Mu, M., Zhao, S., Yang, M., Long, X., Yin, X., & Teng, X. (2025). The Isolation of Lead-Tolerant PGPR from Red Clover Soil and Its Role in Promoting the Growth of Alfalfa. Microorganisms, 13(1), 210. https://doi.org/10.3390/microorganisms13010210

