Abstract
The re-emergence of the Nipah virus (NiV) in Kerala, India, following the tragic death of a 14-year-old boy, underscores the persistent threat posed by zoonotic pathogens and highlights the growing global public health challenge. With no vaccine or curative treatment available, and fatality rates as high as 94% in past outbreaks, the Nipah virus is a critical concern for health authorities worldwide. Transmitted primarily through contact with fruit bats or consumption of contaminated food, as well as direct human-to-human transmission, NiV remains a highly lethal and unpredictable pathogen. The World Health Organization has classified Nipah as a priority pathogen due to its alarming potential to cause widespread outbreaks and even trigger the next pandemic. Recent outbreaks in India and Bangladesh, occurring with seasonal regularity, have once again exposed the vulnerability of public health systems in containing this virus. This study explores the epidemiology, ecological factors driving transmission, and the public health response to NiV, emphasizing the role of zoonotic spillovers in pandemic preparedness. As the global community grapples with an increasing number of emerging infectious diseases, the Nipah virus stands as a stark reminder of the importance of coordinated surveillance, rapid containment measures, and the urgent development of novel strategies to mitigate the impact of this re-emerging threat.
1. Introduction
Nipah virus (NiV) is a highly pathogenic, zoonotic virus belonging to the family Paramyxoviridae and the genus Henipavirus []. First identified during an outbreak in Malaysia and Singapore in 1998–1999, NiV has since been associated with sporadic yet severe outbreaks in South and Southeast Asia, particularly in Bangladesh and India []. The Nipah virus genome consists of single-stranded, negative-sense RNA, approximately 18.2 kb in length, encoding six structural proteins: nucleocapsid (N), phosphoprotein (P), matrix (M), fusion (F), glycoprotein (G), and large polymerase (L) []. These proteins are essential for viral replication, host immune evasion, and the transmission process, allowing the virus to infect a broad range of mammalian hosts, with fruit bats (Pteropus species) identified as the natural reservoir [].
Epidemiologically, NiV outbreaks are seasonal in nature, with a high prevalence in regions where close contact between humans and fruit bats occurs, often through the consumption of date palm sap contaminated with bat excreta []. Human-to-human transmission is also well documented, notably in healthcare settings, further elevating the public health risks. Infected individuals typically present with a range of symptoms, from fever and respiratory distress to fatal encephalitis, with case fatality rates fluctuating between 40% and 94%.
Phylogenetic studies of NiV have revealed two genetically distinct lineages—Malaysian and Bangladeshi—with the latter exhibiting greater genetic heterogeneity []. Notably, Bangladeshi NiV genomes were found to be six nucleotides longer than their Malaysian counterparts, highlighting ongoing virus evolution. These findings underscore the importance of genomic surveillance in understanding viral diversity and tracking transmission pathways during outbreaks []. The ecological dynamics of Nipah virus are closely linked to the habitat and behavior of fruit bats, particularly Pteropus vampyrus in Southeast Asia and Pteropus medius in South Asia []. These bats, which roost in a variety of environments, have been driven closer to human populations due to urbanization, deforestation, and industrial activities, increasing the risk of zoonotic spillover [].
The World Health Organization (WHO) classified NiV as a priority pathogen in 2018 due to its high lethality, zoonotic transmission potential, and pandemic threat, stressing the need for intensified global surveillance efforts. The unpredictability of NiV outbreaks, coupled with the lack of specific antiviral treatments or vaccines, poses a significant global health challenge, as recognized by the World Health Organization (WHO), which has listed NiV among its priority pathogens due to its potential to cause widespread pandemics []. The ongoing threat of zoonotic spillover events, exemplified by the recent re-emergence of NiV in Kerala, India, underscores the critical need for robust surveillance systems []. Zoonotic infections like Nipah require integrated approaches combining ecological, epidemiological, and genomic data to better understand transmission dynamics and mitigate risks.
Genomic surveillance, in particular, offers invaluable insights into the virus’s evolution, transmission routes, and the emergence of new strains, enabling more effective outbreak responses. The aim of this study is to integrate genomic and epidemiological data to provide a comprehensive analysis of the recent Nipah virus re-emergence in India. By combining real-time genomic sequencing with detailed epidemiological investigations, this study seeks to elucidate transmission patterns, identify potential spillover events, and assess the effectiveness of current surveillance and containment strategies. Understanding these factors is crucial for developing targeted interventions and improving global preparedness for future outbreaks.
2. Geographical Distribution of NiV Outbreaks and Epidemiological Insights
The emergence of NiV as a significant public health threat can be traced back to its first documented outbreak in Peninsular Malaysia between September 1998 and May 1999. This first outbreak, which resulted in 265 cases of acute encephalitis and 105 deaths, marked the introduction of the virus to the scientific community and highlighted its devastating potential []. The outbreak mainly affected pig farmers and people in close contact with infected pigs, leading to the slaughter of over one million pigs to contain the spread. Concomitant cases in Singapore among slaughterhouse workers handling pigs imported from Malaysia further demonstrated the virus’s ability to spread geographically through the cattle trade [].
The pattern of NiV outbreaks has changed significantly since its initial identification, with Bangladesh and India becoming major hotspots for recurrent outbreaks. Since 2001, Bangladesh has experienced almost annual outbreaks, with a distinct epidemiological pattern characterized by sporadic cases and small clusters, mainly linked to the consumption of raw date palm sap contaminated by infected bats []. These outbreaks follow a clear seasonal pattern, typically occurring between December and April, coinciding with the date palm sap collection period. During these months, Pteropus bats, the primary source of zoonotic transmission, are more active near human settlements, thereby increasing the risk of contamination and infection []. The Indian state is another significant area for NiV transmission, the first documented outbreak of which occurred in Siliguri, West Bengal, in 2001, with 66 cases and a 74% mortality rate. This outbreak was particularly noteworthy for demonstrating efficient human-to-human transmission in a hospital setting []. The state of Kerala, India, has emerged as a major hotspot for NiV outbreaks, with multiple incidents reported since 2018. The initial outbreak in May 2018 was particularly severe, resulting in 17 deaths out of 18 confirmed cases, with a staggering 94.4% mortality rate. Subsequent outbreaks in 2019, 2021, and 2023 reinforced the endemic potential of NiV in the region []. The latest outbreak, in September 2023, occurred in Kozhikode district following the death of a 14-year-old boy, again underscoring the persistent threat posed by the virus and the challenges to control its spread. Recent years have seen a broadening of the understanding of the potential geographical range of NiV, with evidence of viral circulation in fruit bats in wider regions of South and Southeast Asia than previously recognized. Serological studies have detected antibodies to NiV in bat populations in Thailand, Cambodia, Indonesia, and the Philippines, suggesting a wider distribution of the virus and the possibility of future outbreaks in new areas [].
Effective outbreak control requires a multifaceted approach, including rapid case identification, contact tracing, isolation measures, and, when possible, pre-emptive vaccination of at-risk groups []. However, the unpredictable nature of spillover events and the potential for human-to-human transmission continue to pose significant challenges for outbreak control and prevention. Transmission of NiV is characterized by zoonotic spillover from animal hosts, particularly fruit bats of the genus Pteropus, and human-to-human spread, which can occur in healthcare settings and between close contacts, as shown in Figure 1. The virus circulates asymptomatically in Pteropus bats, which spread NiV through saliva, urine, and feces. NiV can then infect intermediate hosts, such as pigs, or pass directly to humans through food or environmental contamination.

Figure 1.
NiV transmission cycle.
For example, zoonotic transmission in Bangladesh is often due to the consumption of raw date palm sap contaminated by bats. This local food practice, in which date palm sap is tapped from trees into open containers, presents a high risk of contamination, as bats are known to feed on this sap and may leave saliva or other fluids on the collection vessels []. In Malaysia, pig farming was the main amplifying host of human cases, resulting in the rapid spread of the virus among pig farmers. Since then, the spread of the virus has been linked to different animals and human activities depending on local conditions, and the experience in Malaysia has prompted changes in livestock management practices to prevent similar incidents []. Human-to-human transmission has emerged as a critical route of Nipah virus spread in Bangladesh and India, particularly within healthcare settings, where hospital clusters have been documented. The 2001 outbreak in Siliguri, India, highlighted this risk, with the virus spreading extensively among patients, healthcare workers, and family members []. Similar clusters were observed during the 2018 and 2023 Kerala outbreaks, where direct contact with infected body fluids facilitated transmission.
Environmental and anthropogenically driven changes have also played a crucial role in shaping NiV epidemiology. Deforestation, agricultural expansion, and urbanization reduce natural habitats for Pteropus bats, bringing them into closer proximity to human populations. These bats adapt to human-altered environments, where they may seek food in agricultural lands or near residential areas, thus increasing the likelihood of zoonotic spillovers. For example, in Bangladesh, deforestation has decreased available habitats for bats, leading to higher interactions with people in rural settings, especially where date palm sap collection is common [,]. Climate change may also influence NiV trans-migratory patterns and seasonal behaviors. For example, changes in temperature and precipitation can affect fruit and flowering seasons, altering bat feeding habits and potentially changing the timing and location of human–bat interactions. While the exact effects of climate change on NiV transmission remain under study, it is likely that climate-related shifts in bat behavior could impact the virus’s spread across different regions and seasons [,].
Molecular studies have provided insights into NiV’s evolution and pathogenic potential. Two primary genetic strains of NiV have been identified: the Malaysian strain, which was responsible for the initial outbreak [], and the Bangladeshi strain, associated with more recent cases in Bangladesh and India. The Bangladeshi strain has demonstrated greater genetic variability and higher virulence, with mortality rates exceeding 75% in some outbreaks []. This strain’s ability to spread through human-to-human transmission in healthcare settings underscores its elevated public health risk compared to the Malaysian strain, which has shown limited human-to-human transmission []. These molecular distinctions have significant implications for NiV surveillance and diagnostic strategies. Genomic monitoring helps public health authorities track the virus’s evolution and potential changes in transmission dynamics, which may inform vaccine and therapeutic development []. For instance, the greater genetic diversity observed in the Bangladeshi strain suggests a need for diagnostics that can accurately detect both strains to enable effective outbreak response and management []. Managing NiV requires continued surveillance, especially in regions with significant bat populations and established human cases [,]. Research efforts are underway to develop monoclonal antibodies and antiviral drugs that can target NiV [,]. Additionally, experimental vaccines are being tested to confer immunity in high-risk populations, though further clinical trials are necessary to ensure efficacy and safety [,]. Integrating ecological and genetic data into epidemiological models may improve predictive capabilities for future outbreaks, enabling public health systems to allocate resources effectively and prevent spillover events [,]. In areas where the Nipah virus has spread, such as Bangladesh and Kerala, ongoing public education and culturally sensitive interventions are key to reducing human exposure and mitigating the impact of the virus. In Bangladesh, for example, culturally appropriate interventions have been developed to prevent person-to-person transmission of NiV, emphasizing the importance of community involvement and understanding of local practices []. Similarly, during the NiV outbreak in Kerala (https://gvn.org/update-on-the-nipah-virus-outbreak-in-kerala-india/?utm_source=chatgpt.com, accessed on 28 December 2024), India, experts emphasized the need for culturally sensitive educational campaigns aimed at the affected community to effectively contain the virus.
The risk of NiV spread in global regions with Pteropus bat populations, such as Australia and Africa, is an area of growing scientific interest. In Australia, Pteropus bats, known as flying foxes, occur in several regions. A study qualitatively assessed the risk of introduction and establishment of NiV in Australian populations of flying foxes through movements of these animals from neighboring regions, such as eastern Indonesia, East Timor, and Papua New Guinea. The results indicate that the probability of NiV establishment through migratory or non-migratory routes is “very low”, albeit with a high degree of uncertainty []. In addition, rapid changes in bat ecology, driven by factors such as changes in land use, could influence the dynamics of bat-borne viruses, as evidenced by studies of Hendra virus in Australia []. These dynamics could have implications for the transmission of other zoonotic viruses, including NiV. In Africa, although no cases of NiV infection in humans have been documented, the presence of Pteropus and other frugivorous bats raises concerns about the potential risk of spread. Antibodies against Nipah and Hendra viruses have been detected in frugivorous bats of the genus Eidolon in Africa, suggesting that these viruses, or related viruses, may be present in the geographic range of Pteropus bats in Africa. A critical review [] analyzed the current knowledge of African bats as reservoirs of viruses, including paramyxoviruses such as NiV, highlighting the need for further research to better understand the associated risks.
3. Phylogenetic Analysis
In order to perform an upgrade on the evolutionary pathway of all lineages, a phylogenetic reconstruction was performed on a dataset including all available whole genomes of Henipavirus nipahense from NCBI Virus (https://www.ncbi.nlm.nih.gov/labs/virus/vssi/#/, accessed on 28 December 2024). The selection of included genomes was carried out without applying arbitrary criteria, in order to avoid potential biases in sampling. The only filter applied concerned genome quality and genomic coverage relative to the reference sequence (NC_002728.1). Specifically, only high-quality genomes were included, while those with genomic coverage below 75% were excluded to prevent the introduction of an excessive number of non-informative sites that could negatively impact the analysis. After alignment and manual editing, performed using the software MAFFT v.7.505 [] and UGenePro v.35 [], respectively, the dataset of 95 whole genomes was processed for the reconstruction of the phylogenetic relationships using the software MrBayes v. 3.2.7 []. This dataset includes sequences from Bangladesh, Cambodia, India, Indonesia, Malaysia, Sri Lanka, and Thailand, as shown in Figure 2, highlighting the geographic diversity of sampling efforts critical for understanding the phylogenetic relationships and evolutionary dynamics of the virus.

Figure 2.
Geographic distribution of NiV sequences by country. This map illustrates the geographic distribution of NiV sequences, represented by circles proportional to the number of sequences collected from each country. The legend indicates the range of sequence counts for each circle size, from 0–5 to 76–125. Countries included in the dataset are Bangladesh, Cambodia, India, Indonesia, Malaysia, Sri Lanka, and Thailand. These sequences reflect the temporal and host-specific sampling efforts, emphasizing the regions most affected by NiV outbreaks and the importance of genomic surveillance to better understand transmission dynamics and risks.
Two independent runs were conducted, each employing four Metropolis-coupled Markov-chain Monte Carlo (MCMCMC) simulations, consisting of one cold chain and three heated chains. Both analyses ran concurrently for 5,000,000 generations, with trees being sampled every 1000 generations. To account for burn-in, the first 25% of the total 10,000 sampled trees were excluded. Nodes with posterior probabilities exceeding 0.95 were regarded as statistically robust. The final phylogenetic tree was visualized using FigTree version 1.4.0 [].
The phylogenetic tree shown in Figure 3 revealed a strong genetic structure, dividing the entire dataset into two main clades, both fully supported statistically. The first clade includes the oldest samples (such as the reference genome NC_002728), collected in 1999, along with two additional records from 2000 and 2003. The second clade, more represented in terms of sample size and genome prevalence, consists of more recent isolates spanning a broader collection range, from 2004 to 2023.

Figure 3.
Phylogenetic reconstruction of Henipavirus nipahense. Bayesian phylogenetic tree of n = 95 genome sequences available on NCBIVirus as of 30 November 2024. All nodes are fully supported for posterior probabilities. The branch lengths of the clades were cropped to fit the page while maintaining proportions. The image was edited using GIMP 2.8 (available at https://www.gimp.org/downloads/oldstable/, accessed on 2 December 2024).
It is interesting to note that there is no consistent host-specific structuring, as genomes isolated from humans clustered together in both clades, indicating a lack of genetic differentiation that could have driven host adaptation. The Nipah virus is primarily transmitted by fruit bats (Pteropus spp.), making the zoonotic context essential. The absence of host-specific structuring observed in the phylogeny suggests that spillover events from natural hosts (bats) to humans are likely independent and repeated occurrences. This emphasizes the need for ecological investigations into reservoirs and the factors that facilitate these transmissions. The lack of specific adaptation to human hosts in the genomes of isolated NiV strains indicates that human infection is not the result of co-evolution but rather of accidental and recent spillover events. This aligns with the current knowledge of Nipah, where outbreaks are zoonotic in origin and human-to-human transmission is limited compared to the initial zoonotic spillover. The two clades observed in the phylogenetic analysis might reflect geographic or ecological differences among bat populations, as seen in NiV strains from Bangladesh and Malaysia []. As illustrated in Figure 4, the distribution of Nipah virus isolates across different host species and countries provides further insight into the diversity of ecological contexts where spillover events occur. This figure underscores the significance of integrating genomic and ecological data to identify key reservoirs or spillover pathways, as well as to inform targeted surveillance efforts.

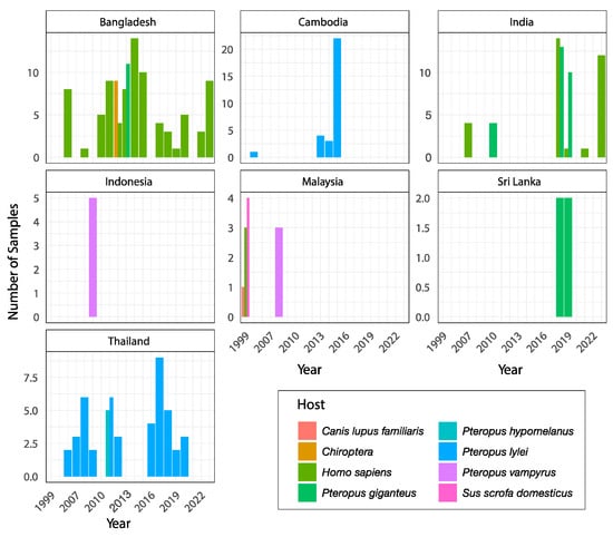
Figure 4.
Geographic and host distribution of NiV samples over time. This figure presents the temporal distribution of Nipah virus isolates across different countries (Bangladesh, Cambodia, India, Indonesia, Malaysia, Sri Lanka, and Thailand) and their associated host species. The x-axis represents the year of sampling, while the y-axis indicates the number of samples. Bars are color-coded to represent the host species, including Pteropus bats (e.g., P. vampyrus, P. giganteus, P. hypomelanus, and P. lylei), humans (Homo sapiens), and other species such as dogs (Canis lupus familiaris) and pigs (Sus scrofa domesticus). In cases where bats were not identified to the species level, the bar is labeled with Chiroptera, indicating the taxonomic order for bats. This distribution highlights the diversity of host species and geographic regions associated with Nipah virus spillover events and outbreaks, emphasizing the need for targeted genomic and ecological surveillance efforts to mitigate future risks.
This could have implications for understanding the geographic spread of the virus and the variations in lethality or transmissibility across regions. The genetic structure and distribution of isolates across clades have important implications for public health strategies. Understanding the ecological or geographic origins of the basal clade could help identify key reservoirs or spillover pathways, aiding in targeted surveillance efforts. The genetic differentiation observed between clades might reflect regions or periods where the virus evolved under distinct selective pressures, providing critical insights for predicting future outbreaks and assessing the risk of human adaptation. Additionally, the apparent lack of host adaptation in both clades highlights the importance of monitoring potential shifts in genetic structure that could indicate the emergence of human-adapted variants with pandemic potential. The older clade appears to carry ancient genetic variability, as evidenced by its long branch length and substantial distance in terms of the number of mutations. Its basal position in the phylogenetic tree suggests that this clade may represent the origin of the current genetic variability. The basal clade, with older samples, may represent the original strain responsible for early outbreaks in Malaysia, while the more recent clade could be associated with strains isolated in India and Bangladesh.
The presence of older samples, both human and animal, in the basal clade suggests that it represents an evolutionary archive of the Nipah virus from the early outbreaks. Not only is this long branch length the result of prolonged evolution in the natural reservoir, but also it reflects the ancestral position of these strains in relation to the later diversification seen in more recent clades. The coexistence of human and animal samples within this basal clade further implies that the first zoonotic transmissions likely occurred without the virus acquiring specific adaptations to human hosts. This supports the hypothesis that human infections were not the result of co-evolution but rather of sporadic spillover events, driven by ecological or behavioral factors. Moreover, the persistence of this basal clade, with genetically distinct characteristics compared to more recent clades, suggests that the strains involved in early outbreaks in Malaysia and elsewhere did not become extinct but remained confined in animal populations or ecologically isolated regions. Another consideration is the temporal representation of these strains. The fact that the basal clade only includes older samples could indicate a decline or replacement of these strains over time, possibly due to the emergence of more recent variants within the subsequent clade. This shift might have been driven by natural selection, ecological pressures, or changes in the dynamics of the natural reservoir. The basal clade might, therefore, represent a lineage that was once more prevalent but has since been overshadowed by newer, more virulent strains.
Furthermore, the inclusion of animal samples in the basal clade reinforces the need to explore the relationship between current strains and these older variants. Understanding whether the virus has remained genetically stable within the natural reservoir or whether the basal clade represents a lineage that did not undergo significant geographical expansion or adaptation is crucial. Such an analysis is important to assess whether strains similar to those in the basal clade could still pose a latent zoonotic threat, and under what conditions they might re-emerge. These findings highlight the need for continuous surveillance of the virus in both human and animal populations to monitor for potential re-emergence of older strains or the evolution of new variants with increased human-to-human transmission potential.
4. Clinical Presentation
4.1. Clinical Features
Studies report varying incubation periods for NiV, ranging from 4 to 21 days []. Some studies suggest a longer timeframe, up to two months, including late-onset encephalitis cases []. In 92% of cases, symptoms appear within the first two weeks, with an average onset of 10 days [].
Table 1 provides a comprehensive overview of the key clinical differences between NiV-M and NiV-B, aiding in understanding the distinct characteristics of each strain and their implications for patient management.

Table 1.
The key clinical differences between Malaysian and Bangladeshi NiV strains [,,,,].
Early symptoms are often nonspecific (fever, vomiting, headache, dizziness), making differentiation from other illnesses challenging. As the disease progresses, clinical features may worsen, involving neurological and/or respiratory systems. In some cases, other organs (myocardium, pancreas, kidneys) may also be affected (Figure 5) []. Following an initial phase of flu-like symptoms (fever, cough, myalgia), the disease can progress to atypical pneumonia [], characterized by breathlessness, tachypnea, and chest X-ray infiltrates []. Severe cases may develop into ARDS, requiring mechanical ventilation. Nipah–Bangladesh infections appear more likely to present with respiratory symptoms than Nipah–Malaysia infections []. Neurological signs and symptoms are common across all NiV variants. Encephalitis may develop acutely or subacutely, with potential late onset or relapses years later. Therefore, physicians should not solely focus on recent travel history when gathering patient information []. Common neurological symptoms include reduced consciousness, areflexia, brainstem dysfunction (tachycardia, hypertension, abnormal pupils, doll’s eye reflex), behavioral changes, and seizures. Patients with late-onset or relapsing encephalitis may initially present with asymptomatic NiV infection or absence of encephalitis, possibly due to less severe infection. However, minimal brain lesions characteristic of NiV might be visible on MRI. Clinical manifestations resemble acute onset, with prominent seizures and focal cortical signs []. Extensive vasculitis has been observed in various organs, most commonly affecting small arteries and arterioles in the CNS []. This can result in long-term neurological and functional morbidity. Late-onset or relapsing cases experience more frequent sequelae than acute encephalitis cases (61% vs. 22%), but with lower mortality (18% vs. 40%) [].

Figure 5.
Nipah virus infection can manifest in a range of symptoms, from mild illness to severe encephalitis, and can be fatal.
4.2. Diagnosis
Diagnosis of NiV infection can be challenging due to the nonspecific nature of early symptoms. Additionally, serological evidence may only be detectable later, as IgM antibodies typically develop approximately 15 days after infection onset []. Consequently, to control outbreaks, the Indian National Centre for Disease Control has developed guidelines to enhance case identification. A “suspected case” is defined as any individual presenting with neurological or respiratory symptoms—such as headache, altered mental status, seizures, cough, or shortness of breath—from a community experiencing an outbreak. These guidelines also define “close contacts” to facilitate identification of individuals requiring 21 days of follow-up to prevent further spread []. In Bangladesh, India, Malaysia, and Singapore, particular attention should be given to individuals with compatible symptoms who have had contact with bats, sick animals, livestock, raw date palm juice, or sap [].
Various epidemiological studies have developed mathematical models to predict NiV outbreaks. Classical mathematical models and basic fractional/fractal fractional theory have been employed to understand the disease’s epidemiology and predict/manage potential outbreaks [,].
Regarding viral isolation, NiV grows in Vero cells, exhibiting a paramyxovirus-like cytopathic effect within three days (though five days are required to rule out growth). Viral isolation can be performed on various human specimens, including nasal/throat swabs, urine, blood, and CSF. NiV has also been isolated from the kidneys, lungs, and spleen of infected animals [].
The virus can be identified through electron microscopy or immunoelectron microscopy. Common identification methods include immunostaining/fixation of infected cells, immunohistochemistry, RT-PCR, VNT (virus neutralization test), and qRT-PCR []. Recent studies highlight the potential for early diagnosis by detecting the viral N gene using a one-step RT-ddPCR assay, even at low viral loads []. Another promising approach involves detecting NiV RNA in saliva during the acute phase, offering a non-invasive and easily collected specimen [].
Regarding serological investigations, after the discovery of NiV’s similarity to Hendra virus, it was found that HeV antibody tests could also detect NiV antibodies. For example, an ELISA designed for HeV was adapted in Malaysia for pig farm surveillance by substituting NiV antigens for HeV antigens []. Studies on seroconversion kinetics in NiV infections indicate that IgM antibodies are detectable in 44–50% of cases on day 1, reaching 100% positivity by day 12, and persisting for up to three months post-infection. IgG antibodies appear later, with low positivity until day 10, reaching 100% by days 25–26, and persisting for at least eight months []. Therefore, while RT-PCR is the preferred method for early diagnosis, antibody testing is suitable for later stages, epidemiological studies, and seroprevalence surveys.
Antibody detection is performed using ELISA on blood and CSF. Early tests employed gamma-irradiated NiV antigens, but various tests have since been developed []. Specifically, ELISA using recombinant NiV-N protein has demonstrated good sensitivity and specificity, comparable to the CDC’s standardized test []. High specificity has also been observed with antigen-capture ELISA using the anti-N antibody 1a11c1 []. Microsphere suspension array assays (solid-phase blocking ELISA) offer another diagnostic option. Despite lower sensitivity and specificity compared to other ELISAs, their lower cost and multiplexing capabilities make them potentially valuable for resource-limited settings. However, this test should be considered a screening tool requiring confirmation with a serum neutralization assay [].
Regarding biosafety, NiV is classified as a Risk Group 4 pathogen, requiring handling in BSL-4 laboratories for procedures like virus propagation, isolation, quantification, and neutralization. To expedite initial laboratory protocols during suspected outbreaks, diagnostic procedures can be performed in Physical Containment Level 3 facilities until etiological confirmation. Serological tests and RT-PCR can be conducted at BSL-2 if samples are inactivated [].
4.3. Treatment and Management
Currently, no approved treatment exists for Nipah virus infection. Clinical management primarily consists of supportive care, encompassing oxygen and fluid administration, nutritional support, anticonvulsant and antipyretic medications, and empiric therapy. This care is typically provided in an intensive care unit, particularly for patients experiencing severe respiratory or neurological complications. Various therapeutic strategies have been proposed thus far, with mixed results [].
While direct antiviral treatments are lacking, some existing medications have been explored for their potential to combat NiV. Ribavirin, an antiviral drug, has shown some in vitro activity against the virus, but its effectiveness in treating human infections remains []. Research is ongoing to identify and develop more effective antiviral therapies. Monoclonal antibodies, specifically designed to target the Nipah virus, are also under investigation as a potential treatment []. These antibodies could help neutralize the virus and prevent further spread [].
The development of effective treatments for NiV infection is a critical area of research. Given the virus’s high mortality rate and potential for outbreaks, finding ways to directly target and eliminate the virus is essential. This research involves exploring various antiviral strategies, including the development of new drugs and the repurposing of existing ones. The ultimate goal is to have safe and effective treatments readily available to combat NiV infection and improve patient outcomes. Therapeutic strategies explored to date are reported in Table 2.

Table 2.
Current treatment strategies for NiV infection.
The therapeutic window for remdesivir and other antivirals is narrow, suggesting their potential use as prophylaxis or early treatment. On the other hand, m102.4, targeting the Hendra virus G glycoprotein, is the only one tested in humans (Phase 1 trial). It has been used as post-exposure prophylaxis for Hendra virus in Australia (14 patients) and NiV in India, with febrile reaction as the only observed adverse effect [].
4.4. Prevention
Nipah virus transmission occurs through several routes, with considerable attention focused on the consumption of raw date palm sap in regions where this practice is common. Bats, the natural reservoir of NiV, contaminate collection pots by licking the sap-producing surfaces of the date palms. This is considered the primary infection route in affected areas, leading to a seasonal pattern of outbreaks typically between January and May, coinciding with the sap collection period []. Informational campaigns promoting the use of bamboo skirts on date palms to prevent bat contact have been implemented to mitigate this risk []. Person-to-person transmission is another significant concern. Prevention measures include isolating infected or potentially infected individuals for 21 days and implementing robust surveillance and contact tracing systems. Healthcare workers should adhere to standard infection control protocols, including glove use, hand hygiene, and appropriate personal protective equipment. Pigs serve as intermediate hosts, and close contact with infected animals has been identified as a transmission route in past outbreaks. Pigs can contract the virus by consuming bat saliva-contaminated fruits. Other domestic animals, including sheep, goats, dogs, cats, and horses, have also tested positive for NiV. Contact with these animals, particularly during slaughter, poses a high transmission risk to humans. Precautionary measures such as wearing gloves and appropriate protective clothing are crucial [].
4.5. Vaccination
While no licensed vaccines are currently available for human use against Nipah and Hendra viruses, significant research efforts are underway, with several vaccine candidates in clinical trials []. One vaccine is currently approved for horses []. Various strategies are being explored for NiV and HeV vaccine development []. Several viral vectors have been investigated, including poxviruses, adenoviruses, rhabdoviruses, paramyxoviruses, and Venezuelan equine encephalitis virus []. Recombinant vesicular stomatitis virus vectors have shown promising results, inducing high titers of HeV G-specific antibodies, surpassing those elicited by recombinant rabies virus vectors. This approach leverages the safety and established track record of rhabdoviral vaccine vectors []. A subunit vaccine based on the HeV glycoprotein has demonstrated high immunization levels against both HeV and NiV in various animal models (cats, ferrets, African green monkeys). This is currently the only licensed HeV vaccine approved for veterinary use in Australia [].
Virus-like particles represent another promising strategy. NiV-VLPs, composed of the M, G, and F proteins, have conferred high levels of protection in Golden Syrian hamsters []. Peptide-based NiV vaccines, utilizing epitopes mimicking the N, V, and F proteins, have been developed to stimulate T-cell responses []. Epitopes for the G and M proteins, capable of binding both B-cells and T-cells, have also been synthesized []. More recently, mRNA vaccines have emerged as a potential platform due to their safety and ease of production. Table 3 highlights the key aspects of mRNA-based vaccines against Nipah virus, emphasizing their potential, challenges, and the ongoing efforts to bring them to clinical and regulatory approval. The rapid adaptability of mRNA platforms holds promise for addressing future NiV outbreaks efficiently. Currently, while an HeV-sG mRNA vaccine showed limited efficacy, another mRNA vaccine candidate, mRNA-1215, is under development, employing a similar approach to COVID-19 mRNA vaccines [].

Table 3.
mRNA-based vaccine technologies for NiV: an overview [].
5. Discussion and Conclusions
The recent re-emergence of the NiV in Kerala, India, has once again brought the world’s attention to the persistent challenge posed by zoonotic pathogens. This incident not only underscores the high lethality of NiV but also highlights systemic vulnerabilities in global public health systems []. Here, we delve into the implications of these outbreaks and explore avenues for improving pandemic preparedness and response. The transmission of NiV underscores the critical role of zoonotic spillovers in shaping the epidemiology of emerging infectious diseases. The natural reservoir of the virus, Pteropus fruit bats, serves as a continuous source of infection, with spillovers facilitated by human activities such as deforestation, agricultural expansion, and urbanization. These factors exacerbate human–wildlife contact, increasing the risk of transmission to humans either directly or via intermediate hosts such as livestock. Additionally, the seasonal nature of outbreaks observed in regions like India and Bangladesh highlights the influence of ecological cycles, such as the availability of fruiting trees or specific climatic conditions, which warrant further investigation to refine predictive models for outbreak risk. The high case fatality rate (CFR) of NiV, which can reach up to 94%, combined with its capacity for human-to-human transmission, presents a daunting challenge for public health systems, particularly in resource-limited settings []. The outbreak in Kerala exemplifies the dual burden faced by health authorities: simultaneously managing the immediate needs of infection containment and addressing systemic gaps in infrastructure and surveillance []. The absence of a vaccine or specific antiviral treatment amplifies the importance of early diagnosis and strict infection control measures, including isolation and contact tracing. However, these strategies are resource-intensive and often constrained by socioeconomic factors, emphasizing the need for equitable investment in health systems. The World Health Organization’s classification of NiV as a priority pathogen underscores its potential to cause severe outbreaks with global ramifications. Despite this recognition, global efforts to combat NiV remain limited compared to other pathogens like Ebola or influenza. The lack of market incentives for vaccine development and antiviral research highlights a recurring challenge in addressing diseases with sporadic outbreaks but high lethality. Furthermore, the COVID-19 pandemic has demonstrated how interconnected health systems are vulnerable to novel pathogens, reinforcing the necessity of integrating Nipah surveillance into broader pandemic preparedness frameworks. While significant progress has been made in understanding NiV’s transmission dynamics and ecological drivers, critical gaps remain. For instance, improved surveillance of bat populations and ecological factors could enhance early warning systems. Similarly, research into potential antivirals and monoclonal antibodies holds promise but requires sustained funding and global collaboration. Innovative approaches, such as the development of pan-Henipavirus vaccines, could provide a broader protective strategy against related pathogens.
A Call for Action
The Nipah virus serves as a stark reminder of the unpredictable nature of emerging infectious diseases and the importance of proactive measures to mitigate their impact. Strengthened global surveillance, coupled with investments in research and development, must become cornerstones of pandemic preparedness. Furthermore, fostering collaborations between governments, research institutions, and international organizations is vital to ensure a coordinated response to future outbreaks. As the global community continues to face an increasing number of zoonotic threats, the lessons from the Nipah virus emphasize the urgency of adopting a “One Health” approach, addressing the interconnectedness of human, animal, and environmental health. This integrated strategy is not only essential for combating Nipah but also for reducing the broader threat posed by emerging infectious diseases in the 21st century [].
6. Limitations and Future Directions
While this review provides a comprehensive overview of the epidemiology, ecological factors, and public health responses to NiV, there remain critical gaps that require further investigation. A One Health approach—integrating human, animal, and environmental health—will be essential for understanding the complex drivers of NiV transmission. This includes exploring the role of climate change in altering bat habitats, zoonotic spillover risks, and the involvement of reservoirs beyond Pteropus bats. Another key limitation is the potential bias in sampling, particularly the underrepresentation of genomic sequences from under-researched regions. Addressing these gaps through targeted surveillance efforts in neglected areas is essential for achieving a more complete understanding of NiV transmission dynamics. Real-time data generation through advanced genomic surveillance and environmental monitoring can help detect early warning signals of potential spillovers. Coupling this with machine learning models offers a promising strategy to predict outbreak hotspots by leveraging environmental, ecological, and genomic data. Such predictive tools can inform targeted interventions and strengthen pandemic preparedness. By adopting a One Health framework, addressing sampling biases, and harnessing real-time data, future research can bridge existing knowledge gaps and provide actionable insights for mitigating the impact of this re-emerging zoonotic threat.
Author Contributions
Conceptualization, F.B., M.C. and F.S.; investigation, F.B., G.C., M.G. and F.S.; writing—original draft preparation, F.B., G.C., M.G., M.A., E.B., M.C. and F.S.; writing—review and editing, F.B., G.C., M.G., M.A., E.B., M.C. and F.S.; validation, M.C.; supervision, M.C. All authors have read and agreed to the published version of the manuscript.
Funding
This research received no external funding.
Conflicts of Interest
The authors declare no conflicts of interest.
References
- Aditi; Shariff, M. Nipah virus infection: A review. Epidemiol. Infect. 2019, 147, e95. [Google Scholar] [CrossRef] [PubMed]
- Singh, R.K.; Dhama, K.; Chakraborty, S.; Tiwari, R.; Natesan, S.; Khandia, R.; Munjal, A.; Vora, K.S.; Latheef, S.K.; Karthik, K.; et al. Nipah virus: Epidemiology, pathology, immunobiology and advances in diagnosis, vaccine designing and control strategies—A comprehensive review. Vet. Q. 2019, 39, 26–55. [Google Scholar] [CrossRef]
- de Campos, G.M.; Cella, E.; Kashima, S.; Alcântara, L.C.J.; Sampaio, S.C.; Elias, M.C.; Giovanetti, M.; Slavov, S.N. Updated Insights into the Phylogenetics, Phylodynamics, and Genetic Diversity of Nipah Virus (NiV). Viruses 2024, 16, 171. [Google Scholar] [CrossRef] [PubMed]
- Lo Presti, A.; Cella, E.; Giovanetti, M.; Lai, A.; Angeletti, S.; Zehender, G.; Ciccozzi, M. Origin and evolution of Nipah virus. J. Med. Virol. 2016, 88, 380–388. [Google Scholar] [CrossRef]
- Garbuglia, A.R.; Lapa, D.; Pauciullo, S.; Raoul, H.; Pannetier, D. Nipah virus: An overview of the current status of diagnostics and their role in preparedness in endemic countries. Viruses 2023, 15, 2062. [Google Scholar] [CrossRef] [PubMed]
- WHO. Nipah Virus. Available online: https://www.who.int/news-room/fact-sheets/detail/nipah-virus (accessed on 20 October 2024).
- WHO. Outbreak of Nipah Virus Encephalitis in the Kerala State of India. Available online: https://www.who.int/southeastasia/outbreaks-and-emergencies/health-emergency-information-risk-assessment/surveillance-and-risk-assessment/nipah-virus-outbreak-in-kerala (accessed on 20 October 2024).
- Chua, K.; Bellini, W.; Rota, P.; Harcourt, B.; Tamin, A.; Lam, S.; Ksiazek, T.; Rollin, P.; Zaki, S.; Shieh, W.J.; et al. Nipah virus: A recently emergent deadly paramyxovirus. Science 2000, 288, 1432–1435. [Google Scholar] [CrossRef] [PubMed]
- Paton, N.I.; Leo, Y.S.; Zaki, S.R.; Auchus, A.P.; Lee, K.E.; Ling, A.E.; Chew, S.K.; Ang, B.; Rollin, P.E.; Umapathi, T.; et al. Outbreak of Nipah-virus infection among abattoir workers in Singapore. Lancet 1999, 354, 1253–1256. [Google Scholar] [CrossRef]
- Luby, S.P.; Rahman, M.; Hossain, M.J.; Blum, L.S.; Husain, M.M.; Gurley, E.; Khan, R.; Ahmed, B.-N.; Rahman, S.; Nahar, N.; et al. Food-Borne Transmission of Nipah Virus, Bangladesh. Emerg. Infect. Dis. 2006, 12, 1888–1894. [Google Scholar] [CrossRef] [PubMed]
- Rahman, M.; Chakraborty, A. Nipah virus outbreaks in Bangladesh: A deadly infectious disease. WHO S.-E. Asia J. Public Health 2012, 1, 208–212. [Google Scholar] [CrossRef] [PubMed]
- Chadha, M.S.; Comer, J.A.; Lowe, L.; Rota, P.A.; Rollin, P.E.; Bellini, W.J.; Ksiazek, T.G.; Mishra, A.C. Nipah virus-associated encephalitis outbreak, Siliguri, India. Emerg. Infect. Dis. 2006, 12, 235. [Google Scholar] [CrossRef]
- Minakshi, P.; Ghosh, M.; Kumar, R.; Brar, B.; Lambe, U.P.; Banerjee, S.; Ranjan, K.; Kumar, B.; Goel, P.; Malik, Y.S.; et al. An insight into nanomedicinal approaches to combat viral zoonoses. Curr. Top. Med. Chem. 2020, 20, 915–962. [Google Scholar] [CrossRef] [PubMed]
- Wacharapluesadee, S.; Boongird, K.; Wanghongsa, S.; Ratanasetyuth, N.; Supavonwong, P.; Saengsen, D.; Gongal, G.; Hemachudha, T. A longitudinal study of the prevalence of Nipah virus in Pteropus lylei bats in Thailand: Evidence for seasonal preference in disease transmission. Vector-Borne Zoonotic Dis. 2010, 10, 183–190. [Google Scholar] [CrossRef]
- Hossain, M.J.; Gurley, E.S.; Montgomery, J.M.; Bell, M.; Carroll, D.S.; Hsu, V.P.; Formenty, P.; Croisier, A.; Bertherat, E.; Faiz, M.; et al. Clinical presentation of nipah virus infection in Bangladesh. Clin. Infect. Dis. 2008, 46, 977–984. [Google Scholar] [CrossRef] [PubMed]
- Walsh, M.G. Mapping the risk of Nipah virus spillover into human populations in South and Southeast Asia. Trans. R. Soc. Trop. Med. Hyg. 2015, 109, 563–571. [Google Scholar] [CrossRef] [PubMed]
- Deka, M.A.; Morshed, N. Mapping disease transmission risk of Nipah virus in South and Southeast Asia. Trop. Med. Infect. Dis. 2018, 3, 57. [Google Scholar] [CrossRef] [PubMed]
- DeFries, R.; Eshleman, K.N. Land-use change and hydrologic processes: A major focus for the future. Hydrol. Process. 2004, 18, 2183–2186. [Google Scholar] [CrossRef]
- Hughes, A.C.; Satasook, C.; Bates, P.J.; Bumrungsri, S.; Jones, G. The projected effects of climatic and vegetation changes on the distribution and diversity of Southeast Asian bats. Glob. Chang. Biol. 2012, 18, 1854–1865. [Google Scholar] [CrossRef]
- Naicker, P.R. The impact of climate change and other factors on zoonotic diseases. Arch. Clin. Microbiol. 2011, 2. Available online: https://www.acmicrob.com/microbiology/the-impact-of-climate-change-and-other-factors-on-zoonotic-diseases.pdf (accessed on 6 January 2025).
- El-Sayed, A.; Kamel, M. Climatic changes and their role in emergence and re-emergence of diseases. Environ. Sci. Pollut. Res. 2020, 27, 22336–22352. [Google Scholar] [CrossRef] [PubMed]
- Lo, M.K.; Rota, P.A. The emergence of Nipah virus, a highly pathogenic paramyxovirus. J. Clin. Virol. 2008, 43, 396–400. [Google Scholar] [CrossRef]
- Hughes, J.M.; Wilson, M.E.; Luby, S.P.; Gurley, E.S.; Hossain, M.J. Transmission of human infection with Nipah virus. Clin. Infect. Dis. 2009, 49, 1743–1748. [Google Scholar]
- Satterfield, B.A.; Dawes, B.E.; Milligan, G.N. Status of vaccine research and development of vaccines for Nipah virus. Vaccine 2016, 34, 2971–2975. [Google Scholar] [CrossRef]
- Nahar, N.; Sultana, R.; Gurley, E.S.; Hossain, M.J.; Luby, S.P. Date palm sap collection: Exploring opportunities to prevent Nipah transmission. EcoHealth 2010, 7, 196–203. [Google Scholar] [CrossRef]
- Hsu, V.P.; Hossain, M.J.; Parashar, U.D.; Ali, M.M.; Ksiazek, T.G.; Kuzmin, I.; Niezgoda, M.; Rupprecht, C.; Bresee, J.; Breiman, R.F. Nipah virus encephalitis reemergence, Bangladesh. Emerg. Infect. Dis. 2004, 10, 2082. [Google Scholar] [CrossRef] [PubMed]
- Carter, G.P.; Douce, G.R.; Govind, R.; Howarth, P.M.; Mackin, K.E.; Spencer, J.; Buckley, A.M.; Antunes, A.; Kotsanas, D.; Jenkin, G.A.; et al. The anti-sigma factor TcdC modulates hypervirulence in an epidemic BI/NAP1/027 clinical isolate of Clostridium difficile. PLoS Pathog. 2011, 7, e1002317. [Google Scholar] [CrossRef]
- Lo, M.K.; Lowe, L.; Hummel, K.B.; Sazzad, H.M.; Gurley, E.S.; Hossain, M.J.; Luby, S.P.; Miller, D.M.; Comer, J.A.; Rollin, P.E.; et al. Characterization of Nipah virus from outbreaks in Bangladesh, 2008–2010. Emerg. Infect. Dis. 2012, 18, 248. [Google Scholar] [CrossRef] [PubMed]
- Williamson, M.; Torres-Velez, F. Henipavirus: A review of laboratory animal pathology. Vet. Pathol. 2010, 47, 871–880. [Google Scholar] [CrossRef] [PubMed]
- Pallister, J.; Middleton, D.; Crameri, G.; Yamada, M.; Klein, R.; Hancock, T.J.; Foord, A.; Shiell, B.; Michalski, W.; Broder, C.C.; et al. Chloroquine administration does not prevent Nipah virus infection and disease in ferrets. J. Virol. 2009, 83, 11979–11982. [Google Scholar] [CrossRef]
- Sazzad, H.M.; Hossain, M.J.; Gurley, E.S.; Ameen, K.M.; Parveen, S.; Islam, M.S.; Faruque, L.I.; Podder, G.; Banu, S.S.; Lo, M.K.; et al. Nipah virus infection outbreak with nosocomial and corpse-to-human transmission, Bangladesh. Emerg. Infect. Dis. 2013, 19, 210. [Google Scholar] [CrossRef] [PubMed]
- Islam, M.S.; Luby, S.P.; Gurley, E.S. Developing culturally appropriate interventions to prevent person-to-person transmission of Nipah virus in Bangladesh: Cultural epidemiology in action. In When Culture Impacts Health; Elsevier: Amsterdam, The Netherlands, 2013; pp. 329–337. [Google Scholar]
- Roche, S.; Costard, S.; Meers, J.; Field, H.; Breed, A. Assessing the risk of Nipah virus establishment in Australian flying-foxes. Epidemiol. Infect. 2015, 143, 2213–2226. [Google Scholar] [CrossRef]
- Eby, P.; Peel, A.J.; Hoegh, A.; Madden, W.; Giles, J.R.; Hudson, P.J.; Plowright, R.K. Pathogen spillover driven by rapid changes in bat ecology. Nature 2023, 613, 340–344. [Google Scholar] [CrossRef] [PubMed]
- Markotter, W.; Coertse, J.; De Vries, L.; Geldenhuys, M.; Mortlock, M. Bat-borne viruses in Africa: A critical review. J. Zool. 2020, 311, 77–98. [Google Scholar] [CrossRef] [PubMed]
- Katoh, K.; Standley, D.M. MAFFT multiple sequence alignment software version 7: Improvements in performance and usability. Mol. Biol. Evol. 2013, 30, 772–780. [Google Scholar] [CrossRef] [PubMed]
- Okonechnikov, K.; Golosova, O.; Fursov, M.; Team, U. Unipro UGENE: A unified bioinformatics toolkit. Bioinformatics 2012, 28, 1166–1167. [Google Scholar] [CrossRef] [PubMed]
- Ronquist, F.; Teslenko, M.; Van Der Mark, P.; Ayres, D.L.; Darling, A.; Höhna, S.; Larget, B.; Liu, L.; Suchard, M.A.; Huelsenbeck, J.P. MrBayes 3.2: Efficient Bayesian phylogenetic inference and model choice across a large model space. Syst. Biol. 2012, 61, 539–542. [Google Scholar] [CrossRef] [PubMed]
- FigTree. Software for Molecular Evolution, Phylogeny and Epidemiology. Available online: http://tree.bio.ed.ac.uk/software/figtree/ (accessed on 30 November 2024).
- Mire, C.E.; Satterfield, B.A.; Geisbert, J.B.; Agans, K.N.; Borisevich, V.; Yan, L.; Chan, Y.P.; Cross, R.W.; Fenton, K.A.; Broder, C.C.; et al. Pathogenic differences between Nipah virus Bangladesh and Malaysia strains in primates: Implications for antibody therapy. Sci. Rep. 2016, 6, 30916. [Google Scholar] [CrossRef] [PubMed]
- Abdullah, S.; Tan, C.T. Henipavirus encephalitis. Handb. Clin. Neurol. 2014, 123, 663–670. [Google Scholar]
- Chandni, R.; Renjith, T.; Fazal, A.; Yoosef, N.; Ashhar, C.; Thulaseedharan, N.; Suraj, K.; Sreejith, M.; Sajeeth Kumar, K.; Rajendran, V.; et al. Clinical manifestations of nipah virus–infected patients who presented to the emergency department during an outbreak in Kerala State in India, May 2018. Clin. Infect. Dis. 2020, 71, 152–157. [Google Scholar] [CrossRef] [PubMed]
- Clayton, B.A.; Middleton, D.; Bergfeld, J.; Haining, J.; Arkinstall, R.; Wang, L.; Marsh, G.A. Transmission routes for Nipah virus from Malaysia and Bangladesh. Emerg. Infect. Dis. 2012, 18, 1983. [Google Scholar] [CrossRef] [PubMed]
- Chan, X.H.S.; Haeusler, I.L.; Choy, B.J.; Hassan, M.Z.; Takata, J.; Hurst, T.P.; Jones, L.M.; Loganathan, S.; Harriss, E.; Dunning, J.; et al. Therapeutics for Nipah virus disease: A systematic review to support prioritisation of drug candidates for clinical trials. Lancet Microbe 2024, 101002. [Google Scholar] [CrossRef] [PubMed]
- Chattu, V.K.; Kumar, R.; Kumary, S.; Kajal, F.; David, J.K. Nipah virus epidemic in southern India and emphasizing “One Health” approach to ensure global health security. J. Fam. Med. Prim. Care 2018, 7, 275–283. [Google Scholar] [CrossRef]
- Yadav, P.D.; Sahay, R.R.; Balakrishnan, A.; Mohandas, S.; Radhakrishnan, C.; Gokhale, M.D.; Balasubramanian, R.; Abraham, P.; Gupta, N.; Sugunan, A.; et al. Nipah virus outbreak in Kerala State, India amidst of COVID-19 pandemic. Front. Public Health 2022, 10, 818545. [Google Scholar] [CrossRef] [PubMed]
- Alam, A.M. Nipah virus, an emerging zoonotic disease causing fatal encephalitis. Clin. Med. 2022, 22, 348–352. [Google Scholar] [CrossRef] [PubMed]
- Tan, C.T.; Goh, K.J.; Wong, K.T.; Sarji, S.A.; Chua, K.B.; Chew, N.K.; Murugasu, P.; Loh, Y.L.; Chong, H.T.; Tan, K.S.; et al. Relapsed and late-onset Nipah encephalitis. Ann. Neurol. Off. J. Am. Neurol. Assoc. Child Neurol. Soc. 2002, 51, 703–708. [Google Scholar] [CrossRef] [PubMed]
- Wong, K.T.; Shieh, W.J.; Kumar, S.; Norain, K.; Abdullah, W.; Guarner, J.; Goldsmith, C.S.; Chua, K.B.; Lam, S.K.; Tan, C.T.; et al. Nipah virus infection: Pathology and pathogenesis of an emerging paramyxoviral zoonosis. Am. J. Pathol. 2002, 161, 2153–2167. [Google Scholar] [CrossRef] [PubMed]
- Goh, K.J.; Tan, C.T.; Chew, N.K.; Tan, P.S.K.; Kamarulzaman, A.; Sarji, S.A.; Wong, K.T.; Abdullah, B.J.J.; Chua, K.B.; Lam, S.K. Clinical features of Nipah virus encephalitis among pig farmers in Malaysia. N. Engl. J. Med. 2000, 342, 1229–1235. [Google Scholar] [CrossRef]
- Wang, L.; Lu, D.; Yang, M.; Chai, S.; Du, H.; Jiang, H. Nipah virus: Epidemiology, pathogenesis, treatment, and prevention. Front. Med. 2024, 18, 969–987. [Google Scholar] [CrossRef] [PubMed]
- National Centre for Disease Control (NCDC). Case Definitions Suspect Nipah. Available online: https://tinyurl.com/Definitions-NIPAH-Virus (accessed on 15 November 2024).
- Stone, L. What You Need to Know about Nipah Virus. Available online: https://tinyurl.com/wabout-nipah-virus (accessed on 15 November 2024).
- Baleanu, D.; Shekari, P.; Torkzadeh, L.; Ranjbar, H.; Jajarmi, A.; Nouri, K. Stability analysis and system properties of Nipah virus transmission: A fractional calculus case study. Chaos Solitons Fractals 2023, 166, 112990. [Google Scholar] [CrossRef]
- Li, S.; Ullah, S.; Samreen, S.; Khan, I.U.; AlQahtani, S.A.; Riaz, M.B. A robust computational study for assessing the dynamics and control of emerging zoonotic viral infection with a case study: A novel epidemic modeling approach. AIP Adv. 2024, 14, 015051. [Google Scholar] [CrossRef]
- Daniels, P.; Ksiazek, T.; Eaton, B.T. Laboratory diagnosis of Nipahand Hendra virus infections. Microbes Infect. 2001, 3, 289–295. [Google Scholar] [CrossRef]
- Hyatt, A.D.; Zaki, S.R.; Goldsmith, C.S.; Wise, T.G.; Hengstberger, S.G. Ultrastructure of Hendra virus and Nipah virus within cultured cells and host animals. Microbes Infect. 2001, 3, 297–306. [Google Scholar] [CrossRef] [PubMed]
- Shuai, J.; Chen, K.; Han, X.; Zeng, R.; Song, H.; Fu, L.; Zhang, X. Development and validation of a droplet digital PCR assay for Nipah virus quantitation. BMC Vet. Res. 2024, 20, 440. [Google Scholar] [CrossRef] [PubMed]
- Ramasundpum, V.; Chong Tin, T.; Kaw Bing, C.; Chong, H.T.; Jin, K. Kinetics of IgM and IgCî seroconversion in Nipah virus infection. Malay 2000, 6, 23–28. [Google Scholar]
- Yu, F.; Khairullah, N.S.; Inoue, S.; Balasubramaniam, V.; Berendam, S.J.; Teh, L.K.; Ibrahim, N.S.W.; Abdul Rahman, S.; Hassan, S.S.; Hasebe, F.; et al. Serodiagnosis using recombinant Nipah virus nucleocapsid protein expressed in Escherichia coli. J. Clin. Microbiol. 2006, 44, 3134–3138. [Google Scholar] [CrossRef] [PubMed]
- Chiang, C.F.; Lo, M.K.; Rota, P.A.; Spiropoulou, C.F.; Rollin, P.E. Use of monoclonal antibodies against Hendra and Nipah viruses in an antigen capture ELISA. Virol. J. 2010, 7, 115. [Google Scholar] [CrossRef] [PubMed][Green Version]
- Foord, A.J.; White, J.R.; Colling, A.; Heine, H.G. Microsphere suspension array assays for detection and differentiation of Hendra and Nipah viruses. BioMed Res. Int. 2013, 2013, 289295. [Google Scholar] [CrossRef] [PubMed]
- ECDC. Factsheet on Nipah Virus Disease. Available online: https://tinyurl.com/fact-sheet-nipah-virus (accessed on 16 November 2024).
- Banerjee, S.; Gupta, N.; Kodan, P.; Mittal, A.; Ray, Y.; Nischal, N.; Soneja, M.; Biswas, A.; Wig, N. Nipah virus disease: A rare and intractable disease. Intractable Rare Dis. Res. 2019, 8, 1–8. [Google Scholar] [CrossRef]
- Rodrigue, V.; Gravagna, K.; Yao, J.; Nafade, V.; Basta, N.E. Current progress towards prevention of Nipah and Hendra disease in humans: A scoping review of vaccine and monoclonal antibody candidates being evaluated in clinical trials. Trop. Med. Int. Health 2024, 29, 354–364. [Google Scholar] [CrossRef]
- Lo, M.K.; Feldmann, F.; Gary, J.M.; Jordan, R.; Bannister, R.; Cronin, J.; Patel, N.R.; Klena, J.D.; Nichol, S.T.; Cihlar, T.; et al. Remdesivir (GS-5734) protects African green monkeys from Nipah virus challenge. Sci. Transl. Med. 2019, 11, eaau9242. [Google Scholar] [CrossRef] [PubMed]
- de Wit, E.; Williamson, B.N.; Feldmann, F.; Goldin, K.; Lo, M.K.; Okumura, A.; Lovaglio, J.; Bunyan, E.; Porter, D.P.; Cihlar, T.; et al. Late remdesivir treatment initiation partially protects African green monkeys from lethal Nipah virus infection. Antivir. Res. 2023, 216, 105658. [Google Scholar] [CrossRef] [PubMed]
- Dawes, B.E.; Kalveram, B.; Ikegami, T.; Juelich, T.; Smith, J.K.; Zhang, L.; Park, A.; Lee, B.; Komeno, T.; Furuta, Y.; et al. Favipiravir (T-705) protects against Nipah virus infection in the hamster model. Sci. Rep. 2018, 8, 7604. [Google Scholar] [CrossRef]
- Chong, H.T.; Kamarulzaman, A.; Tan, C.T.; Goh, K.J.; Thayaparan, T.; Kunjapan, S.R.; Chew, N.K.; Chua, K.B.; Lam, S.K. Treatment of acute Nipah encephalitis with ribavirin. Ann. Neurol. Off. J. Am. Neurol. Assoc. Child Neurol. Soc. 2001, 49, 810–813. [Google Scholar] [CrossRef] [PubMed]
- Warrier, A.; Wilson, A. A single case outbreak of Nipah Encephalitis from India in May–June 2019. Infect. Control. Hosp. Epidemiol. 2020, 41, s104. [Google Scholar] [CrossRef]
- Kumar, A.S.; Sohanlal, T.; Prasad, G.; Gupta, M.; Gopal, A. 1790. Single-Center Experience and Lessons Learnt from Management of Nipah Virus Outbreak in India. Proc. Open Forum Infect. Dis. 2019, 6, S659–S660. [Google Scholar] [CrossRef]
- Banerjee, S.; Niyas, V.K.M.; Soneja, M.; Shibeesh, A.P.; Basheer, M.; Sadanandan, R.; Wig, N.; Biswas, A. First experience of ribavirin postexposure prophylaxis for Nipah virus, tried during the 2018 outbreak in Kerala, India. J. Infect. 2019, 78, 491–503. [Google Scholar] [CrossRef] [PubMed]
- Porotto, M.; Orefice, G.; Yokoyama, C.C.; Mungall, B.A.; Realubit, R.; Sganga, M.L.; Aljofan, M.; Whitt, M.; Glickman, F.; Moscona, A. Simulating henipavirus multicycle replication in a screening assay leads to identification of a promising candidate for therapy. J. Virol. 2009, 83, 5148–5155. [Google Scholar] [CrossRef] [PubMed]
- Playford, E.G.; Munro, T.; Mahler, S.M.; Elliott, S.; Gerometta, M.; Hoger, K.L.; Jones, M.L.; Griffin, P.; Lynch, K.D.; Carroll, H.; et al. Safety, tolerability, pharmacokinetics, and immunogenicity of a human monoclonal antibody targeting the G glycoprotein of henipaviruses in healthy adults: A first-in-human, randomised, controlled, phase 1 study. Lancet Infect. Dis. 2020, 20, 445–454. [Google Scholar] [CrossRef]
- Geisbert, T.W.; Mire, C.E.; Geisbert, J.B.; Chan, Y.P.; Agans, K.N.; Feldmann, F.; Fenton, K.A.; Zhu, Z.; Dimitrov, D.S.; Scott, D.P.; et al. Therapeutic treatment of Nipah virus infection in nonhuman primates with a neutralizing human monoclonal antibody. Sci. Transl. Med. 2014, 6, 242ra82. [Google Scholar] [CrossRef] [PubMed]
- Bossart, K.N.; Zhu, Z.; Middleton, D.; Klippel, J.; Crameri, G.; Bingham, J.; McEachern, J.A.; Green, D.; Hancock, T.J.; Chan, Y.P.; et al. A neutralizing human monoclonal antibody protects against lethal disease in a new ferret model of acute nipah virus infection. PLoS Pathog. 2009, 5, e1000642. [Google Scholar] [CrossRef] [PubMed]
- Mire, C.E.; Chan, Y.P.; Borisevich, V.; Cross, R.W.; Yan, L.; Agans, K.N.; Dang, H.V.; Veesler, D.; Fenton, K.A.; Geisbert, T.W.; et al. A cross-reactive humanized monoclonal antibody targeting fusion glycoprotein function protects ferrets against lethal Nipah virus and Hendra virus infection. J. Infect. Dis. 2020, 221, S471–S479. [Google Scholar] [CrossRef] [PubMed]
- Zeitlin, L.; Cross, R.W.; Woolsey, C.; West, B.R.; Borisevich, V.; Agans, K.N.; Prasad, A.N.; Deer, D.J.; Stuart, L.; McCavitt-Malvido, M.; et al. Therapeutic administration of a cross-reactive mAb targeting the fusion glycoprotein of Nipah virus protects nonhuman primates. Sci. Transl. Med. 2024, 16, eadl2055. [Google Scholar] [CrossRef] [PubMed]
- Chen, L.; Sun, M.; Zhang, H.; Zhang, X.; Yao, Y.; Li, M.; Li, K.; Fan, P.; Zhang, H.; Qin, Y.; et al. Potent human neutralizing antibodies against Nipah virus derived from two ancestral antibody heavy chains. Nat. Commun. 2024, 15, 2987. [Google Scholar] [CrossRef]
- Dong, J.; Cross, R.W.; Doyle, M.P.; Kose, N.; Mousa, J.J.; Annand, E.J.; Borisevich, V.; Agans, K.N.; Sutton, R.; Nargi, R.; et al. Potent henipavirus neutralization by antibodies recognizing diverse sites on Hendra and Nipah virus receptor binding protein. Cell 2020, 183, 1536–1550. [Google Scholar] [CrossRef] [PubMed]
- Doyle, M.P.; Kose, N.; Borisevich, V.; Binshtein, E.; Amaya, M.; Nagel, M.; Annand, E.J.; Armstrong, E.; Bombardi, R.; Dong, J.; et al. Cooperativity mediated by rationally selected combinations of human monoclonal antibodies targeting the henipavirus receptor binding protein. Cell Rep. 2021, 36, 109628. [Google Scholar] [CrossRef] [PubMed]
- Georges-Courbot, M.; Contamin, H.; Faure, C.; Loth, P.; Baize, S.; Leyssen, P.; Neyts, J.; Deubel, V. Poly (I)-poly (C12U) but not ribavirin prevents death in a hamster model of Nipah virus infection. Antimicrob. Agents Chemother. 2006, 50, 1768–1772. [Google Scholar] [CrossRef]
- Freiberg, A.N.; Worthy, M.N.; Lee, B.; Holbrook, M.R. Combined chloroquine and ribavirin treatment does not prevent death in a hamster model of Nipah and Hendra virus infection. J. Gen. Virol. 2010, 91, 765–772. [Google Scholar] [CrossRef]
- Khan, S.U.; Gurley, E.S.; Hossain, M.J.; Nahar, N.; Sharker, M.Y.; Luby, S.P. A randomized controlled trial of interventions to impede date palm sap contamination by bats to prevent nipah virus transmission in Bangladesh. PLoS ONE 2012, 7, e42689. [Google Scholar] [CrossRef] [PubMed]
- Broder, C.C.; Xu, K.; Nikolov, D.B.; Zhu, Z.; Dimitrov, D.S.; Middleton, D.; Pallister, J.; Geisbert, T.W.; Bossart, K.N.; Wang, L.F. A treatment for and vaccine against the deadly Hendra and Nipah viruses. Antivir. Res. 2013, 100, 8–13. [Google Scholar] [CrossRef] [PubMed]
- Gazal, S.; Sharma, N.; Gazal, S.; Tikoo, M.; Shikha, D.; Badroo, G.A.; Rashid, M.; Lee, S.J. Nipah and Hendra viruses: Deadly zoonotic paramyxoviruses with the potential to cause the next pandemic. Pathogens 2022, 11, 1419. [Google Scholar] [CrossRef] [PubMed]
- Defang, G.N.; Khetawat, D.; Broder, C.C.; Quinnan, G.V., Jr. Induction of neutralizing antibodies to Hendra and Nipah glycoproteins using a Venezuelan equine encephalitis virus in vivo expression system. Vaccine 2010, 29, 212–220. [Google Scholar] [CrossRef] [PubMed]
- Kurup, D.; Wirblich, C.; Feldmann, H.; Marzi, A.; Schnell, M.J. Rhabdovirus-based vaccine platforms against henipaviruses. J. Virol. 2015, 89, 144–154. [Google Scholar] [CrossRef] [PubMed]
- Walpita, P.; Cong, Y.; Jahrling, P.B.; Rojas, O.; Postnikova, E.; Yu, S.; Johns, L.; Holbrook, M.R. A VLP-based vaccine provides complete protection against Nipah virus challenge following multiple-dose or single-dose vaccination schedules in a hamster model. npj Vaccines 2017, 2, 21. [Google Scholar] [CrossRef]
- Kamthania, M.; Sharma, D. Screening and structure-based modeling of T-cell epitopes of Nipah virus proteome: An immunoinformatic approach for designing peptide-based vaccine. 3 Biotech 2015, 5, 877–882. [Google Scholar] [CrossRef] [PubMed]
- Saha, C.K.; Hasan, M.M.; Hossain, M.S.; Jahan, M.A.; Azad, A.K. In silico identification and characterization of common epitope-based peptide vaccine for Nipah and Hendra viruses. Asian Pac. J. Trop. Med. 2017, 10, 529–538. [Google Scholar] [CrossRef] [PubMed]
- Verma, A.; Jain, H.; Sulaiman, S.A.; Pokhrel, P.; Goyal, A.; Dave, T. An impending public health threat: Analysis of the recent Nipah virus outbreak and future recommendations—An editorial. Ann. Med. Surg. 2024, 86, 638–642. [Google Scholar] [CrossRef] [PubMed]
- Spiropoulou, C.F. Nipah virus outbreaks: Still small but extremely lethal. J. Infect. Dis. 2019, 219, 1855–1857. [Google Scholar] [CrossRef] [PubMed]
- Arthur, R.R.; LeDuc, J.W.; Hughes, J.M. Global Surveillance for Emerging Infectious Diseases. In Tropical Infectious Diseases: Principles, Pathogens and Practice; Saunders: Rhodes, NSW, Australia, 2011; p. 105. [Google Scholar]
Disclaimer/Publisher’s Note: The statements, opinions and data contained in all publications are solely those of the individual author(s) and contributor(s) and not of MDPI and/or the editor(s). MDPI and/or the editor(s) disclaim responsibility for any injury to people or property resulting from any ideas, methods, instructions or products referred to in the content. |
© 2025 by the authors. Licensee MDPI, Basel, Switzerland. This article is an open access article distributed under the terms and conditions of the Creative Commons Attribution (CC BY) license (https://creativecommons.org/licenses/by/4.0/).