Inulin and Freeze-Dried Blueberry Intervention Lead to Changes in the Microbiota and Metabolites within In Vitro Studies and in Cognitive Function within a Small Pilot Trial on Healthy Children
Abstract
1. Introduction
2. Materials and Methods
2.1. Pre-Digestion
2.2. Three-Stage Continuous Culture Gut-Model System
2.3. Bacterial Enumerations by FISH-FCM (Fluorescence In Situ Hybridisation with Flow Cytometry)
2.4. SCFA Analysis
2.5. Neurotransmitter Analysis
2.6. Human Intervention Study
2.7. Cognitive Tests
2.8. Faecal Microbial Analysis
2.9. Statistical Analysis
2.9.1. In Vitro Continuous Culture
2.9.2. Human Cognitive Data
2.9.3. Human Microbiota Data
3. Results
3.1. In Vitro
3.1.1. Bacterial Enumeration
3.1.2. Short-Chain Fatty Acids (SCFA)
3.1.3. Neurotransmitters
3.2. In Vivo Pilot Study
3.2.1. Cognitive Changes
3.2.2. Microbiota Changes
4. Discussion
5. Conclusions
Author Contributions
Funding
Data Availability Statement
Acknowledgments
Conflicts of Interest
References
- Carabotti, M.; Scirocco, A.; Maselli, M.A.; Severi, C. The gut-brain axis: Interactions between enteric microbiota, central and enteric nervous systems. Ann. Gastroenterol. 2015, 28, 203–209. [Google Scholar] [PubMed]
- Asano, Y.; Hiramoto, T.; Nishino, R.; Aiba, Y.; Kimura, T.; Yoshihara, K.; Koga, Y.; Sudo, N. Critical role of gut microbiota in the production of biologically active, free catecholamines in the gut lumen of mice. Am. J. Physiol.-Gastrointest. Liver Physiol. 2012, 303, G1288–G1295. [Google Scholar] [CrossRef]
- Oriach, C.; Robertson, R.; Stanton, C.; Cryan, J.; Dinan, T. Food for thought: The role of nutrition in the microbiota-gut–brain axis. Clin. Nutr. Exp. 2016, 6, 25–38. [Google Scholar] [CrossRef]
- Sarkar, A.; Harty, S.; Lehto, S.M.; Moeller, A.H.; Dinan, T.G.; Dunbar, R.I.; Cryan, J.F.; Burnet, P.W.J. The Microbiome in Psychology and Cognitive Neuroscience. Trends Cogn. Sci. 2018, 22, 611–636. [Google Scholar] [CrossRef] [PubMed]
- Gibson, G.R.; Hutkins, R.; Sanders, M.E.; Prescott, S.L.; Reimer, R.A.; Salminen, S.J.; Scott, K.; Stanton, C.; Swanson, K.S.; Cani, P.D.; et al. Expert consensus document: The International Scientific Association for Probiotics and Prebiotics (ISAPP) consensus statement on the definition and scope of prebiotics. Nat. Rev. Gastroenterol. Hepatol. 2017, 14, 491–502. [Google Scholar] [CrossRef] [PubMed]
- Jackson, P.P.; Wijeyesekera, A.; Williams, C.M.; Theis, S.; van Harsselaar, J.; Rastall, R.A. Inulin-type fructans and 2′fucosyllactose alter both microbial composition and appear to alleviate stress-induced mood state in a working population compared to placebo (maltodextrin): The EFFICAD Trial, a randomized, controlled trial. Am. J. Clin. Nutr. 2023, 118, 938–955. [Google Scholar] [CrossRef] [PubMed]
- Bell, L.; Lamport, D.J.; Butler, L.T.; Williams, C.M. A Review of the Cognitive Effects Observed in Humans Following Acute Supplementation with Flavonoids, and Their Associated Mechanisms of Action. Nutrients 2015, 7, 10290–10306. [Google Scholar] [CrossRef] [PubMed]
- Rodríguez-Daza, M.C.; Roquim, M.; Dudonné, S.; Pilon, G.; Levy, E.; Marette, A.; Roy, D.; Desjardins, Y. Berry Polyphenols and Fibers Modulate Distinct Microbial Metabolic Functions and Gut Microbiota Enterotype-Like Clustering in Obese Mice. Front. Microbiol. 2020, 11, 2032. [Google Scholar] [CrossRef]
- Whyte, A.R.; Williams, C.M. Effects of a single dose of a flavonoid-rich blueberry drink on memory in 8 to 10 y old children. Nutrition 2015, 31, 531–534. [Google Scholar] [CrossRef]
- Miller, M.G.; Shukitt-Hale, B. Berry fruit enhances beneficial signaling in the brain. J. Agric. Food Chem. 2012, 60, 5709–5715. [Google Scholar] [CrossRef]
- Rendeiro, C.; Rhodes, J.S.; Spencer, J.P. The mechanisms of action of flavonoids in the brain: Direct versus indirect effects. Neurochem. Int. 2015, 89, 126–139. [Google Scholar] [CrossRef]
- Khalid, S.; Barfoot, K.L.; May, G.; Lamport, D.J.; Reynolds, S.A.; Williams, C.M. Effects of Acute Blueberry Flavonoids on Mood in Children and Young Adults. Nutrients 2017, 9, 158. [Google Scholar] [CrossRef]
- Cueva, C.; Gil-Sánchez, I.; Ayuda-Durán, B.; González-Manzano, S.; González-Paramás, A.M.; Santos-Buelga, C.; Bartolomé, B.; Moreno-Arribas, M.V. An Integrated View of the Effects of Wine Polyphenols and Their Relevant Metabolites on Gut and Host Health. Molecules 2017, 22, 99. [Google Scholar] [CrossRef] [PubMed]
- Vendrame, S.; Guglielmetti, S.; Riso, P.; Arioli, S.; Klimis-Zacas, D.; Porrini, M. Six-week consumption of a wild blueberry powder drink increases bifidobacteria in the human gut. J. Agric. Food Chem. 2011, 59, 12815–12820. [Google Scholar] [CrossRef]
- Berding, K.; Long-Smith, C.M.; Carbia, C.; Bastiaanssen, T.F.S.; van de Wouw, M.; Wiley, N.; Strain, C.R.; Fouhy, F.; Stanton, C.; Cryan, J.F.; et al. A specific dietary fibre supplementation improves cognitive performance-an exploratory randomised, placebo-controlled, crossover study. Psychopharmacology 2021, 238, 149–163. [Google Scholar] [CrossRef] [PubMed]
- Guglielmetti, S.; Fracassetti, D.; Taverniti, V.; Del Bo’, C.; Vendrame, S.; Klimis-Zacas, D.; Arioli, S.; Riso, P.; Porrini, M. Differential modulation of human intestinal bifidobacterium populations after consumption of a wild blueberry (Vaccinium angustifolium) drink. J. Agric. Food Chem. 2013, 61, 8134–8140. [Google Scholar] [CrossRef]
- Hair, R.; Sakaki, J.R.; Chun, O.K. Microbiome and Health Benefits in Aging. Molecules 2021, 26, 537. [Google Scholar] [CrossRef] [PubMed]
- Tan, J.; Li, Y.; Hou, D.X.; Wu, S. The Effects and Mechanisms of Cyanidin-3-Glucoside and Its Phenolic Metabolites in Maintaining Intestinal Integrity. Antioxidants 2019, 8, 479. [Google Scholar] [CrossRef]
- Hanske, L.; Engst, W.; Loh, G.; Sczesny, S.; Blaut, M.; Braune, A. Contribution of gut bacteria to the metabolism of cyanidin 3-glucoside in human microbiota-associated rats. Br. J. Nutr. 2013, 109, 1433–1441. [Google Scholar] [CrossRef]
- Kim, C.S.; Cha, L.; Sim, M.; Jung, S.; Chun, W.Y.; Baik, H.W.; Shin, D.M. Probiotic Supplementation Improves Cognitive Function and Mood with Changes in Gut Microbiota in Community-Dwelling Older Adults: A Randomized, Double-Blind, Placebo-Controlled, Multicenter Trial. J. Gerontol. A Biol. Sci. Med. Sci. 2021, 76, 32–40. [Google Scholar] [CrossRef]
- Whyte, A.R.; Schafer, G.; Williams, C.M. The effect of cognitive demand on performance of an executive function task following wild blueberry supplementation in 7 to 10 years old children. Food Funct. 2017, 8, 4129–4138. [Google Scholar] [CrossRef] [PubMed]
- Goddings, A.L.; Roalf, D.; Lebel, C.; Tamnes, C.K. Development of white matter microstructure and executive functions during childhood and adolescence: A review of diffusion MRI studies. Dev. Cogn. Neurosci. 2021, 51, 101008. [Google Scholar] [CrossRef] [PubMed]
- Best, J.R.; Miller, P.H. A developmental perspective on executive function. Child. Dev. 2010, 81, 1641–1660. [Google Scholar] [CrossRef] [PubMed]
- Mills, D.J.; Tuohy, K.M.; Booth, J.; Buck, M.; Crabbe, M.J.; Gibson, G.R.; Ames, J.M. Dietary glycated protein modulates the colonic microbiota towards a more detrimental composition in ulcerative colitis patients and non-ulcerative colitis subjects. J. Appl. Microbiol. 2008, 105, 706–714. [Google Scholar] [CrossRef] [PubMed]
- Macfarlane, G.T.; Macfarlane, S.; Gibson, G.R. Validation of a Three-Stage Compound Continuous Culture System for Investigating the Effect of Retention Time on the Ecology and Metabolism of Bacteria in the Human Colon. Microb. Ecol. 1998, 35, 180–187. [Google Scholar] [CrossRef] [PubMed]
- Hedsund, C.; Joensson, I.M.; Gregersen, T.; Fynne, L.; Schlageter, V.; Krogh, K. Magnet tracking allows assessment of regional gastrointestinal transit times in children. Clin. Exp. Gastroenterol. 2013, 6, 201–208. [Google Scholar] [CrossRef] [PubMed]
- Smith, A.P.; Sutherland, D.; Hewlett, P. An Investigation of the Acute Effects of Oligofructose-Enriched Inulin on Subjective Wellbeing, Mood and Cognitive Performance. Nutrients 2015, 7, 8887–8896. [Google Scholar] [CrossRef]
- Barfoot, K.L.; Istas, G.; Feliciano, R.P.; Lamport, D.J.; Riddell, P.; Rodriguez-Mateos, A.; Williams, C.M. Effects of daily consumption of wild blueberry on cognition and urinary metabolites in school-aged children: A pilot study. Eur. J. Nutr. 2021, 60, 4263–4278. [Google Scholar] [CrossRef]
- Liu, L.; Poveda, C.; Jenkins, P.E.; Walton, G.E. An In Vitro Approach to Studying the Microbial Community and Impact of Pre and Probiotics under Anorexia Nervosa Related Dietary Restrictions. Nutrients 2021, 13, 4447. [Google Scholar] [CrossRef]
- Wallner, G.; Amann, R.; Beisker, W. Optimizing fluorescent in situ hybridization with rRNA-targeted oligonucleotide probes for flow cytometric identification of microorganisms. Cytometry 1993, 14, 136–143. [Google Scholar] [CrossRef]
- Daims, H.; Brühl, A.; Amann, R.; Schleifer, K.H.; Wagner, M. The domain-specific probe EUB338 is insufficient for the detection of all Bacteria: Development and evaluation of a more comprehensive probe set. Syst. Appl. Microbiol. 1999, 22, 434–444. [Google Scholar] [CrossRef]
- Langendijk, P.S.; Schut, F.; Jansen, G.J.; Raangs, G.C.; Kamphuis, G.R.; Wilkinson, M.H.; Welling, G.W. Quantitative fluorescence in situ hybridization of Bifidobacterium spp. with genus-specific 16S rRNA-targeted probes and its application in fecal samples. Appl. Environ. Microbiol. 1995, 61, 3069–3075. [Google Scholar] [CrossRef] [PubMed]
- Harmsen, H.J.; Raangs, G.C.; He, T.; Degener, J.E.; Welling, G.W. Extensive set of 16S rRNA-based probes for detection of bacteria in human feces. Appl. Environ. Microbiol. 2002, 68, 2982–2990. [Google Scholar] [CrossRef] [PubMed]
- Manz, W.; Amann, R.; Ludwig, W.; Vancanneyt, M.; Schleifer, K.H. Application of a suite of 16S rRNA-specific oligonucleotide probes designed to investigate bacteria of the phylum cytophaga-flavobacter-bacteroides in the natural environment. Microbiology 1996, 142 Pt 5, 1097–1106. [Google Scholar] [CrossRef]
- Franks, A.H.; Harmsen, H.J.; Raangs, G.C.; Jansen, G.J.; Schut, F.; Welling, G.W. Variations of bacterial populations in human feces measured by fluorescent in situ hybridization with group-specific 16S rRNA-targeted oligonucleotide probes. Appl. Environ. Microbiol. 1998, 64, 3336–3345. [Google Scholar] [CrossRef] [PubMed]
- Walker, A.W.; Duncan, S.H.; McWilliam Leitch, E.C.; Child, M.W.; Flint, H.J. pH and peptide supply can radically alter bacterial populations and short-chain fatty acid ratios within microbial communities from the human colon. Appl. Environ. Microbiol. 2005, 71, 3692–3700. [Google Scholar] [CrossRef] [PubMed]
- Harmsen, H.J.; Wildeboer-Veloo, A.C.; Grijpstra, J.; Knol, J.; Degener, J.E.; Welling, G.W. Development of 16S rRNA-based probes for the Coriobacterium group and the Atopobium cluster and their application for enumeration of Coriobacteriaceae in human feces from volunteers of different age groups. Appl. Environ. Microbiol. 2000, 66, 4523–4527. [Google Scholar] [CrossRef]
- Hold, G.L.; Schwiertz, A.; Aminov, R.I.; Blaut, M.; Flint, H.J. Oligonucleotide probes that detect quantitatively significant groups of butyrate-producing bacteria in human feces. Appl. Environ. Microbiol. 2003, 69, 4320–4324. [Google Scholar] [CrossRef]
- Devereux, R.; Kane, M.D.; Winfrey, J.; Stahl, D.A. Genus- and group-specific hybridisation probes for determinative and environmental studies of sulphate-reducing bacteria. Syst. Appl. Microbiol. 1992, 15, 601–609. [Google Scholar] [CrossRef]
- Richardson, A.; Calder, A.; Stewart, C.; Smith, A. Simultaneous determination of volatile and non-volatile acidic fermentation products of anaerobes by capillary gas chromatography. Lett. Appl. Microbiol. 1989, 9, 5–8. [Google Scholar] [CrossRef]
- Liu, Y.; Gibson, G.R.; Walton, G.E. A three-stage continuous culture approach to study the impact of probiotics, prebiotics and fat intake on faecal microbiota relevant to an over 60 s population. J. Funct. Foods 2017, 32, 238–247. [Google Scholar] [CrossRef]
- Zhai, X.J.; Chen, F.; Zhu, C.R.; Lu, Y.N. A simple LC-MS/MS method for quantitative analysis of underivatized neurotransmitters in rats urine: Assay development, validation and application in the CUMS rat model. Biomed. Chromatogr. 2015, 29, 1737–1743. [Google Scholar] [CrossRef]
- Swinson, J. British Ability Scales 3. Educ. Psychol. Pract. 2013, 29, 434–435. [Google Scholar] [CrossRef]
- Lezak, M.D.; Howieson, D.B.; Bigler, E.D.; Tranel, D. Neuropsychological Assessment, 5th ed.; Oxford University Press: Cary, NC, USA, 2012. [Google Scholar]
- Whyte, A.R.; Schafer, G.; Williams, C.M. Cognitive effects following acute wild blueberry supplementation in 7- to 10-year-old children. Eur. J. Nutr. 2016, 55, 2151–2162. [Google Scholar] [CrossRef]
- Barfoot, K.L.; May, G.; Lamport, D.J.; Ricketts, J.; Riddell, P.M.; Williams, C.M. The effects of acute wild blueberry supplementation on the cognition of 7–10-year-old schoolchildren. Eur. J. Nutr. 2019, 58, 2911–2920. [Google Scholar] [CrossRef]
- Wood, E.; Hein, S.; Mesnage, R.; Fernandes, F.; Abhayaratne, N.; Xu, Y.; Zhang, Z.; Bell, L.; Williams, C.; Rodriguez-Mateos, A. Wild blueberry (poly)phenols can improve vascular function and cognitive performance in healthy older individuals: A double-blind randomized controlled trial. Am. J. Clin. Nut. 2023, 117, 1306–1319. [Google Scholar] [CrossRef]
- Ramirez-Farias, C.; Slezak, K.; Fuller, Z.; Duncan, A.; Holtrop, G.; Louis, P. Effect of inulin on the human gut microbiota: Stimulation of Bifidobacterium adolescentis and Faecalibacterium prausnitzii. Br. J. Nutr. 2009, 101, 541–550. [Google Scholar] [CrossRef]
- Ueda, A.; Shinkai, S.; Shiroma, H.; Taniguchi, Y.; Tsuchida, S.; Kariya, T.; Kawahara, T.; Kobayashi, Y.; Kohda, N.; Ushida, K.; et al. Identification of Faecalibacterium prausnitzii strains for gut microbiome-based intervention in Alzheimer’s-type dementia. Cell Rep. Med. 2021, 2, 100398. [Google Scholar] [CrossRef]
- Flint, H.J.; Duncan, S.H.; Scott, K.P.; Louis, P. Links between diet, gut microbiota composition and gut metabolism. Proc. Nutr. Soc. 2015, 74, 13–22. [Google Scholar] [CrossRef]
- Stilling, R.M.; van de Wouw, M.; Clarke, G.; Stanton, C.; Dinan, T.G.; Cryan, J.F. The neuropharmacology of butyrate: The bread and butter of the microbiota-gut-brain axis? Neurochem. Int. 2016, 99, 110–132. [Google Scholar] [CrossRef]
- Tomova, A.; Husarova, V.; Lakatosova, S.; Bakos, J.; Vlkova, B.; Babinska, K.; Ostatnikova, D. Gastrointestinal microbiota in children with autism in Slovakia. Physiol. Behav. 2015, 138, 179–187. [Google Scholar] [CrossRef] [PubMed]
- Moorthy, M.; Sundralingam, U.; Palanisamy, U.D. Polyphenols as Prebiotics in the Management of High-Fat Diet-Induced Obesity: A Systematic Review of Animal Studies. Foods 2021, 10, 299. [Google Scholar] [CrossRef] [PubMed]
- Tamana, S.K.; Tun, H.M.; Konya, T.; Chari, R.S.; Field, C.J.; Guttman, D.S.; Becker, A.B.; Moraes, T.J.; Turvey, S.E.; Subbarao, P.; et al. Bacteroides-dominant gut microbiome of late infancy is associated with enhanced neurodevelopment. Gut Microbes 2021, 13, 1930875. [Google Scholar] [CrossRef] [PubMed]
- Grimaldi, R.; Gibson, G.R.; Vulevic, J.; Giallourou, N.; Castro-Mejía, J.L.; Hansen, L.H.; Leigh Gibson, E.; Nielsen, D.S.; Costabile, A. A prebiotic intervention study in children with autism spectrum disorders (ASDs). Microbiome 2018, 6, 133. [Google Scholar] [CrossRef]
- Willemsen, Y.; Beijers, R.; Gu, F.; Vasquez, A.A.; Schols, H.A.; de Weerth, C. Fucosylated Human Milk Oligosaccharides during the First 12 Postnatal Weeks Are Associated with Better Executive Functions in Toddlers. Nutrients 2023, 15, 1463. [Google Scholar] [CrossRef] [PubMed]
- Duranti, S.; Ruiz, L.; Lugli, G.A.; Tames, H.; Milani, C.; Mancabelli, L.; Mancino, W.; Longhi, G.; Carnevali, L.; Sgoifo, A.; et al. Bifidobacterium adolescentis as a key member of the human gut microbiota in the production of GABA. Sci. Rep. 2020, 10, 14112. [Google Scholar] [CrossRef] [PubMed]
- Matta, T.; Bhatia, R.; Joshi, S.R.; Bishnoi, M.; Chopra, K.; Kondepudi, K.K. GABA synthesizing lactic acid bacteria and genomic analysis of Levilactobacillus brevis LAB6. 3 Biotech 2024, 14, 62. [Google Scholar] [CrossRef]
- Leonte, A.; Colzato, L.S.; Steenbergen, L.; Hommel, B.; Akyürek, E.G. Supplementation of gamma-aminobutyric acid (GABA) affects temporal, but not spatial visual attention. Brain Cogn. 2018, 120, 8–16. [Google Scholar] [CrossRef]
- Hyland, N.P.; Cavanaugh, C.R.; Hornby, P.J. Emerging effects of tryptophan pathway metabolites and intestinal microbiota on metabolism and intestinal function. Amino Acids 2022, 54, 57–70. [Google Scholar] [CrossRef]
- Eastwood, J.; van Hemert, S.; Poveda, C.; Elmore, S.; Williams, C.; Lamport, D.; Walton, G. The effect of probiotic bacteria on composition and metabolite production of faecal microbiota using in vitro batch cultures. Nutrients 2023, 15, 2563. [Google Scholar] [CrossRef]
- Berger, M.; Gray, J.A.; Roth, B.L. The expanded biology of serotonin. Annu. Rev. Med. 2009, 60, 355–366. [Google Scholar] [CrossRef]
- Cowen, P.; Sherwood, A.C. The role of serotonin in cognitive function: Evidence from recent studies and implications for understanding depression. J. Psychopharmacol. 2013, 27, 575–583. [Google Scholar] [CrossRef] [PubMed]
- Andrade, R.M.S.; Silva, S.; Costa, C.M.D.S.F.; Veiga, M.; Costa, E.; Ferreira, M.S.L.; Gonçalves, E.C.B.A.; Pintado, M.E. Potential prebiotic effect of fruit and vegetable byproducts flour using in vitro gastrointestinal digestion. Food Res. Int. 2020, 137, 109354. [Google Scholar] [CrossRef] [PubMed]
- Parkar, S.G.; Trower, T.M.; Stevenson, D.E. Fecal microbial metabolism of polyphenols and its effects on human gut microbiota. Anaerobe 2013, 23, 12–19. [Google Scholar] [CrossRef] [PubMed]
- Cueva, C.; Sánchez-Patán, F.; Monagas, M.; Walton, G.E.; Gibson, G.R.; Martín-Álvarez, P.J.; Bartolomé, B.; Moreno-Arribas, M.V. In vitro fermentation of grape seed flavan-3-ol fractions by human faecal microbiota: Changes in microbial groups and phenolic metabolites. FEMS Microbiol. Ecol. 2013, 83, 792–805. [Google Scholar] [CrossRef] [PubMed]
- Rios-Covian, D.; Gueimonde, M.; Duncan, S.H.; Flint, H.J.; de los Reyes-Gavilan, C.G. Enhanced butyrate formation by cross-feeding between Faecalibacterium prausnitzii and Bifidobacterium adolescentis. FEMS Microbiol. Lett. 2015, 362, fnv176. [Google Scholar] [CrossRef]
- Rinninella, E.; Cintoni, M.; Raoul, P.; Lopetuso, L.R.; Scaldaferri, F.; Pulcini, G.; Miggiano, G.A.D.; Gasbarrini, A.; Mele, M.C. Food Components and Dietary Habits: Keys for a Healthy Gut Microbiota Composition. Nutrients 2019, 11, 2393. [Google Scholar] [CrossRef] [PubMed]
- van De Sande, M.M.; van Buul, V.J.; Brouns, F.J. Autism and nutrition: The role of the gut-brain axis. Nutr. Res. Rev. 2014, 27, 199–214. [Google Scholar] [CrossRef] [PubMed]
- Perillo, F.; Amoroso, C.; Strati, F.; Giuffrè, M.R.; Díaz-Basabe, A.; Lattanzi, G.; Facciotti, F. Gut Microbiota Manipulation as a Tool for Colorectal Cancer Management: Recent Advances in Its Use for Therapeutic Purposes. Int. J. Mol. Sci. 2020, 21, 5389. [Google Scholar] [CrossRef]
- Sánchez-Patán, F.; Cueva, C.; Monagas, M.; Walton, G.E.; Gibson, G.R.; Martín-Álvarez, P.J.; Moreno-Arribas, M.V.; Bartolomé, B. Gut microbial catabolism of grape seed flavan-3-ols by human faecal microbiota. Targetted analysis of precursor compounds, intermediate metabolites and end-products. Food Chem. 2012, 131, 337–347. [Google Scholar] [CrossRef]

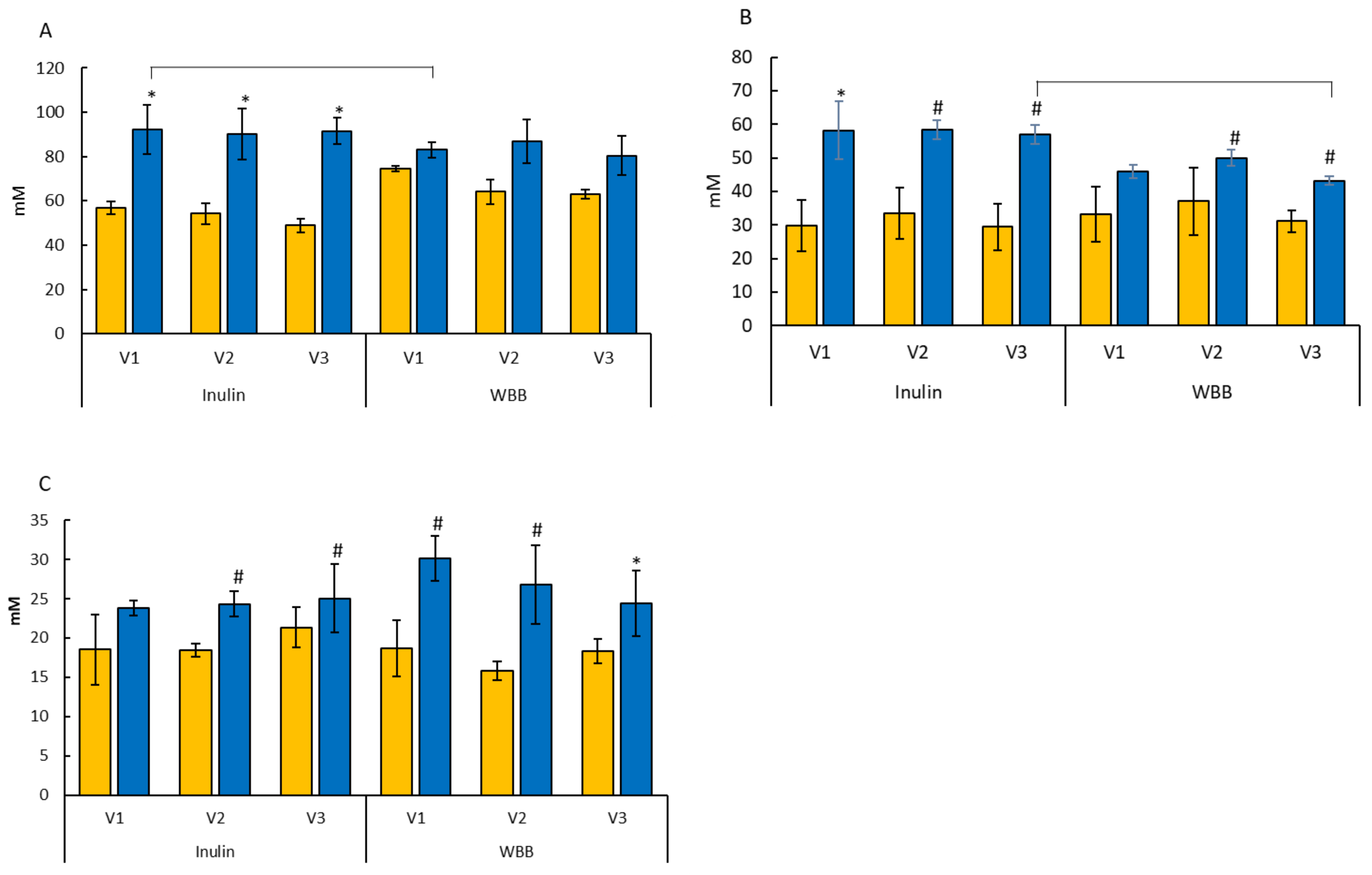
) and after (SS2
) administration of inulin (INU, 0.6 g/d) and freeze-dried blueberries (WBB, 1 g/d). (n = 3): healthy child faecal donors. Values are mean ± SD (mM). Significant difference in each vessel: * p < 0.05; # denotes a trend p < 0.1; brackets indicate a significant difference compared to other treatment.
) and after (SS2
) administration of inulin (INU, 0.6 g/d) and freeze-dried blueberries (WBB, 1 g/d). (n = 3): healthy child faecal donors. Values are mean ± SD (mM). Significant difference in each vessel: * p < 0.05; # denotes a trend p < 0.1; brackets indicate a significant difference compared to other treatment.
) and after (SS2
).
) and after (SS2
).

, WBB
, and placebo
(maltodextrin) at baseline, post-consumption, and post-washout. Results are reported as means (% abundance) of the data ± SD (n = 5 (inulin), n = 4 (WBB), n = 4 (placebo)). Significant differences in each group * p < 0.05; significantly different compared to post-intervention.
, WBB
, and placebo
(maltodextrin) at baseline, post-consumption, and post-washout. Results are reported as means (% abundance) of the data ± SD (n = 5 (inulin), n = 4 (WBB), n = 4 (placebo)). Significant differences in each group * p < 0.05; significantly different compared to post-intervention.
| Compound | Composition |
|---|---|
| Total polyphenols | 2900 mg/100 g |
| Anthocyanins | 1900 mg/100 g |
| Procyanidins | Not quantified |
| Vitamin C | 335 mg/100 g |
| Total sugars | 70 g/100 g |
| Fructose | 36 g/100 g |
| Glucose | 34 g/100 g |
| Dietary fibre | 16 g/100 g |
| Insoluble | 18 g/100 g [14] |
| Soluble | 15.2 g/100 g [14] |
| Probe Name | Sequence (3′–5′) | Target Group | Reference |
|---|---|---|---|
| Non Eub | ACTCCTACGGGAGGCAGC | Negative control | [30] |
| Eub338 I + | GCT GCC TCC CGT AGG AGT | Most bacteria | [31] |
| Eub338 II + | GCA GCC ACC CGT AGG TGT | Planctomycetales | [31] |
| Eub338 III + | GCT GCC ACC CGT AGG TGT | Verrucomicrobiales | [31] |
| Bif164 | CAT CCG GCA TTA CCA CCC | Most Bifidobacterium spp. and Parascardovia denticolens | [32] |
| Lab158 | GGTATTAGCAYCTGTTTCCA | Most Lactobacillus, Leuconostoc, and Weissella spp., Lactococcus lactis, all Vagococcus, Enterococcus, Melisococcus, Tetragenococcus, Catellicoccus, Pediococcus, and Paralactobacillus spp. | [33] |
| Bac303 | CCA ATG TGG GGG ACC TT | Most Bacteroidaceae and Prevotellaceae, some Porphyromonadaceae | [34] |
| Erec482 | GCT TCT TAG TCA RGT ACCG | Most of the Clostridium coccoides-Eubacterium rectale group (Clostridium clusters XIVa and XIVb) | [35] |
| Rrec584 | TCA GAC TTG CCG YAC CGC | Roseburia subcluster | [36] |
| Prop853 | ATT GCG TTA ACT CCG GCAC | Clostridial cluster IX | [36] |
| Chis150 | TTATGCGGTATTAATCTYCCTTT | Most of the Clostridium histolyticum group (Clostridium clusters I and II) | [35] |
| Ato291 | GGT CGG TCT CTC AAC CC | Atopobium, Colinsella, Olsenella and Eggerthella spp., Cryptobacterium curtum, Mycoplasma equigenitalium, and Mycoplasma elephantis | [37] |
| Fprau655 | CGCCTACCTCTGCACTAC | Faecalibacterium prausnitzii and related sequences | [38] |
| DSV687 | TAC GGA TTT CAC TCC T | Most Desulfovibrionales (excluding Lawsonia) and many Desulfuromonales | [39] |
| Inulin (n = 5) | WBB (n = 4) | Placebo (n = 4) | |||||||
|---|---|---|---|---|---|---|---|---|---|
| Mean | SD | Range | Mean | SD | Range | Mean | SD | Range | |
| Age | 9.20 | 1.30 | 7–10 | 8.00 | 1.41 | 7–10 | 8.50 | 1.29 | 7–10 |
| BAS 3 a | 50.40 | 2.41 | 48–53 | 49.75 | 1.71 | 48–52 | 49.25 | 0.50 | 49–50 |
| Gender (M: F) | 3:2 | - | - | 3:1 | - | - | 1:3 | - | - |
| Vessel | Steady State | Total Bacteria | Bifidobacterium spp. | Lactobacillus spp. and Enterococcus spp. | Bacteroides spp. and Prevotella spp. | Clostridium Clusters XIVa and XIVb | Roseburia Subcluster | |||||||||||||
|---|---|---|---|---|---|---|---|---|---|---|---|---|---|---|---|---|---|---|---|---|
| Inulin | 1 | 1 | 8.95 | ±0.18 | 8.53 | ±0.35 | 7.36 | ±0.16 | 7.59 | ±0.58 | 8.36 | ±0.61 | 6.64 | ±0.24 | ||||||
| 2 | 1 | 8.86 | ±0.31 | 8.42 | ±0.30 | 7.31 | ±0.09 | 7.72 | ±0.57 | 7.86 | ±0.56 | 6.62 | ±0.09 | |||||||
| 3 | 1 | 8.83 | ±0.14 | 8.08 | ±0.08 | 7.34 | ±0.31 | 7.72 | ±0.54 | 8.31 | ±0.56 | 7.05 | ±0.06 | |||||||
| 1 | 2 | 9.06 | ±0.23 | 8.90 | ±0.19 | * a | 7.94 | ±0.49 | * a | 7.48 | ±0.69 | 7.28 | ±0.65 | 5.97 | ±0.16 | |||||
| 2 | 2 | 9.08 | ±0.08 | 8.88 | ±0.13 | 7.86 | ±0.40 | 7.70 | ±0.57 | 7.26 | ±0.54 | 5.96 | ±0.21 | |||||||
| 3 | 2 | 8.96 | ±0.04 | 8.62 | ±0.38 | * a | 7.80 | ±0.36 | 7.34 | ±0.56 | 7.17 | ±0.55 | 6.29 | ±0.16 | ||||||
| WBB | 1 | 1 | 8.65 | ±0.37 | 8.35 | ±0.67 | 7.25 | ±0.07 | 7.44 | ±0.28 | 7.62 | ±0.74 | 6.52 | ±0.71 | ||||||
| 2 | 1 | 8.73 | ±0.43 | 8.34 | ±0.86 | 7.19 | ±0.03 | 7.57 | ±0.06 | 8.00 | ±0.65 | 5.90 | ±0.34 | |||||||
| 3 | 1 | 8.49 | ±0.35 | 8.14 | ±0.14 | 7.02 | ±0.09 | 7.25 | ±0.22 | 7.26 | ±0.39 | 5.88 | ±0.76 | |||||||
| 1 | 2 | 8.77 | ±0.44 | 8.48 | ±0.56 | * a | 7.75 | ±0.20 | * a | 7.39 | ±0.27 | 7.60 | ±0.37 | 6.34 | ±0.62 | |||||
| 2 | 2 | 8.66 | ±0.45 | 8.41 | ±0.61 | 7.48 | ±0.17 | 7.58 | ±0.40 | 7.80 | ±0.61 | 5.89 | ±0.48 | |||||||
| 3 | 2 | 8.63 | ±0.26 | 8.26 | ±0.28 | a | 7.45 | ±0.15 | 7.38 | ±0.35 | 7.37 | ±0.17 | 5.84 | ±0.36 | ||||||
| Vessel | Steady State | Atopobium Cluster | Clostridium Cluster IX | Faecalibacterium prausnitzii | Desulfovibrionales and Desulfuromonales | Clostridium Clusters I and II | |||||||||||
|---|---|---|---|---|---|---|---|---|---|---|---|---|---|---|---|---|---|
| Inulin | 1 | 1 | 8.34 | ±0.78 | 6.70 | ±0.28 | 6.38 | ±0.57 | 6.53 | ±0.11 | 6.23 | ±0.60 | |||||
| 2 | 1 | 8.25 | ±0.64 | 6.67 | ±0.22 | 6.43 | ±0.59 | 6.73 | ±0.07 | 6.05 | ±0.43 | ||||||
| 3 | 1 | 8.29 | ±0.60 | 6.66 | ±0.16 | 6.85 | ±0.59 | 6.78 | ±0.10 | 6.19 | ±0.62 | ||||||
| 1 | 2 | 8.16 | ±0.80 | 6.39 | ±0.45 | 6.19 | ±0.61 | 6.20 | ±0.16 | 5.49 | ±0.44 | ||||||
| 2 | 2 | 7.82 | ±0.76 | 5.99 | ±0.06 | 5.97 | ±0.21 | 6.18 | ±0.19 | 5.67 | ±0.57 | ||||||
| 3 | 2 | 8.02 | ±0.88 | 6.45 | ±0.47 | 6.18 | ±0.38 | 6.32 | ±0.34 | 6.03 | ±0.04 | ||||||
| WBB | 1 | 1 | 7.93 | ±0.75 | 6.93 | ±0.14 | 6.75 | ±0.99 | 6.37 | ±0.23 | 6.40 | ±0.56 | |||||
| 2 | 1 | 8.04 | ±0.57 | 6.80 | ±0.27 | 6.57 | ±0.83 | 6.47 | ±0.55 | 6.20 | ±0.40 | ||||||
| 3 | 1 | 7.66 | ±0.43 | 6.41 | ±0.18 | 6.16 | ±0.99 | 6.38 | ±0.19 | 6.01 | ±0.32 | ||||||
| 1 | 2 | 7.77 | ±0.43 | 6.61 | ±0.52 | 6.81 | ±0.69 | 6.53 | ±0.41 | 5.96 | ±0.80 | ||||||
| 2 | 2 | 7.99 | ±0.39 | 6.51 | ±0.31 | 6.70 | ±0.48 | 6.34 | ±0.20 | 5.84 | ±0.58 | ||||||
| 3 | 2 | 7.66 | ±0.14 | 6.57 | ±0.30 | 6.67 | ±0.56 | 6.26 | ±0.42 | 5.92 | ±0.52 | ||||||
| Baseline | Post-Intervention | Post-Washout | |||||||
|---|---|---|---|---|---|---|---|---|---|
| Inulin (n = 5) | WBB (n = 4) | Placebo (n = 4) | Inulin (n = 5) | WBB (n = 4) | Placebo (n = 4) | Inulin (n = 5) | WBB (n = 4) | Placebo (n = 4) | |
| RAVLT | |||||||||
| Word Span | 5.2 (1.10) | 4.5 (1.00) | 3.75 (0.96) | 6.4 (1.69) | 5.25 (0.96) | 4.75 (1.50) | 7.2 (2.49) | 5.25 (0.50) | 4.75 (0.96) |
| Total Acquisition | 42.6 (8.44) | 36.25 (7.23) | 35.5 (5.51) | 48.8 (10.89) * | 40.25 (7.23) | 31.25 (5.56) | 52.21 (8.15) * | 38.5 (3.70) | 29.25 (3.40) |
| Final Acquisition | 9.4 (2.88) | 9.25 (1.50) | 6.75 (1.26) | 10.22 (2.95) * | 10.57 (1.41) * | 5.75 (0.96) | 12.16 (1.41) * | 9.25 (0.50) * | 6.25 (0.96) |
| Total Amount Learned | 4.2 (1.92) | 4.75 (2.06) | 3.07 (1.83) | 3.8 (2.17) | 4.75 (0.96) | 2 (0.82) | 4.8 (2.17) | 4 (0.01) | 1.5 (1.00) |
| Delayed Recall | 6.4 (2.61) | 5.16 (3.27) | 5.03 (0.82) | 9.61 (1.82) * | 9.53 (1.29) * | 4.17(0.82) | 9.26 (1.58) | 7.33 (0.82) | 5.48 (0.82) |
| Word Recognition | |||||||||
| Yes Trials | 10 (2.92) | 14.5 (2.08) | 9.25 (3.30) | 17.6 (6.66) | 20 (6.06) | 19.25 (4.99) | 17.2 (5.76) | 11 (4.08) | 20.25 (6.18) |
| No Trials | 39 (13.73) | 36.5 (20.95) | 29.5 (5.80) | 86.4 (5.98) | 98.25 (2.22) | 94.25 (5.74) | 77.2 (22.35) | 86.5 (17.82) | 80.75 (16.52) |
| MANT | |||||||||
| Accuracy | |||||||||
| Congruent High Load | 0.55 (0.28) | 0.44 (0.42) | 0.25 (0.06) | 0.73 (0.10) | 0.81 (0.13) | 0.59 (0.14) | 0.67 (0.12) | 0.81 (0.06) * | 0.59 (0.11) |
| Congruent medium Load | 0.59 (0.29) | 0.45 (0.39) | 0.22 (0.14) | 0.68 (0.19) * | 0.56 (0.12) | 0.41 (0.11) | 0.75 (0.07) | 0.77 (0.09) | 0.73 (0.04) |
| Incongruent High Load | 0.48 (0.31) | 0.41 (0.05) | 0.34 (0.19) | 0.32 (0.10) | 0.47 (0.14) | 0.43 (0.10) | 0.36 (0.19) | 0.40 (0.13) | 0.51 (0.19) |
| Incongruent Medium Load | 0.48 (0.29) | 0.35 (0.18) | 0.37 (0.10) | 0.26 (0.22) | 0.24 (0.16) | 0.26 (0.11) | 0.27 (0.18) | 0.34 (0.11) | 0.41 (0.13) |
| Neutral Low Load | 0.58 (0.27) | 0.24 (0.22) | 0.19 (0.26) | 0.31 (0.05) | 0.41 (0.10) | 0.66 (0.33) | 0.44 (0.14) | 0.40 (0.04) | 0.31 (0.03) |
| Reaction Time (RT) | |||||||||
| Congruent High Load | 701.65 (102.81) | 577.09 (162.95) | 708.42 (117.42) | 743.09 (61.84) | 644.17 (186.71) | 755.97 (63.19) | 768.22 (104.02) | 686.97 (87.05) | 791.82 (103.49) |
| Congruent medium Load | 702.88 (105.53) | 560.86 (171.07) | 711.75 (119.68) | 752.84 (68.62) | 677.86 (126.32) | 769.95 (65.78) | 830.37 (91.58) | 654.56 (116.85) | 863.37 (62.67) |
| Incongruent High Load | 674.19 (57.82) | 666.57 (130.91) | 687.55 (57.17) | 772.12 (124.59) | 708.57 (145.81) | 805.72 (114.77) | 759.51 (64.04) | 709.80 (143.64) | 782.98 (42.37) |
| Incongruent Medium Load | 726.26 (85.54) | 694.69 (172.72) | 716.21 (95.31) | 830 (117.55) | 736.69 (153.39) | 841.64 (132.37) | 790.62 (110.35) | 704.56 (128.19) | 828.16 (82.72) |
| Neutral Low Load | 686.77 (125.49) | 584.74 (162.76) | 693.47 (143.87) | 767.56 (91.84) | 676.74 (82.76) | 790.21 (88.47) | 782.06 (141.02) | 665.18 (104.35) | 843.75 (33.91) |
Disclaimer/Publisher’s Note: The statements, opinions and data contained in all publications are solely those of the individual author(s) and contributor(s) and not of MDPI and/or the editor(s). MDPI and/or the editor(s) disclaim responsibility for any injury to people or property resulting from any ideas, methods, instructions or products referred to in the content. |
© 2024 by the authors. Licensee MDPI, Basel, Switzerland. This article is an open access article distributed under the terms and conditions of the Creative Commons Attribution (CC BY) license (https://creativecommons.org/licenses/by/4.0/).
Share and Cite
Horasan Sagbasan, B.; Williams, C.M.; Bell, L.; Barfoot, K.L.; Poveda, C.; Walton, G.E. Inulin and Freeze-Dried Blueberry Intervention Lead to Changes in the Microbiota and Metabolites within In Vitro Studies and in Cognitive Function within a Small Pilot Trial on Healthy Children. Microorganisms 2024, 12, 1501. https://doi.org/10.3390/microorganisms12071501
Horasan Sagbasan B, Williams CM, Bell L, Barfoot KL, Poveda C, Walton GE. Inulin and Freeze-Dried Blueberry Intervention Lead to Changes in the Microbiota and Metabolites within In Vitro Studies and in Cognitive Function within a Small Pilot Trial on Healthy Children. Microorganisms. 2024; 12(7):1501. https://doi.org/10.3390/microorganisms12071501
Chicago/Turabian StyleHorasan Sagbasan, Buket, Claire M. Williams, Lynne Bell, Katie L. Barfoot, Carlos Poveda, and Gemma E. Walton. 2024. "Inulin and Freeze-Dried Blueberry Intervention Lead to Changes in the Microbiota and Metabolites within In Vitro Studies and in Cognitive Function within a Small Pilot Trial on Healthy Children" Microorganisms 12, no. 7: 1501. https://doi.org/10.3390/microorganisms12071501
APA StyleHorasan Sagbasan, B., Williams, C. M., Bell, L., Barfoot, K. L., Poveda, C., & Walton, G. E. (2024). Inulin and Freeze-Dried Blueberry Intervention Lead to Changes in the Microbiota and Metabolites within In Vitro Studies and in Cognitive Function within a Small Pilot Trial on Healthy Children. Microorganisms, 12(7), 1501. https://doi.org/10.3390/microorganisms12071501

