Phycocyanin Additives Regulate Bacterial Community Structure and Antioxidant Activity of Alfalfa Silage
Abstract
1. Introduction
2. Materials and Methods
2.1. Source of Experimental Materials
2.2. Silage Preparation
2.3. Component Analysis
2.4. Microbial Sequencing
2.5. Statistical Analysis
3. Results
3.1. Fresh Characteristics
3.2. Effects of Phycocyanin Additives on Chemical Composition
3.3. Effects of Phycocyanin Additives on Fermentation Composition
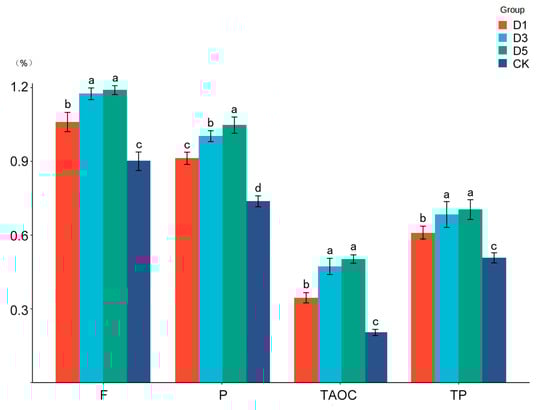
3.4. Effects of Phycocyanin Additives on Antioxidant Activity
3.5. Effects of Phycocyanin Additives on Microbial Community
3.6. Functional Prediction of Bacterial Communities
3.7. Correlation Between Silage Quality and Bacteria at Genus Level
4. Discussion
4.1. Effects of Phycocyanin Additive on Chemical Composition of Silages
4.2. Effects of Phycocyanin Additive on Fermentation Quality of Silages
4.3. Effects of Phycocyanin Additive on Antioxidant Properties of Silages
4.4. Effect of Phycocyanin Additive on Microorganisms of Silage
4.5. Correlation Analysis of Effects of Phycocyanin Additives on Silage Quality and Bacterial Genus Level
4.6. Functional Prediction of Phycocyanin Additive’s Effect on Silage Microorganisms
5. Conclusions
Author Contributions
Funding
Data Availability Statement
Conflicts of Interest
References
- Jiang, H.; Wang, H.; Bao, B.; Qu, H.; Wang, J.; Sun, L.; Liu, B.; Gao, F. Effect of Compound Additives on Nutritional Composition, Fermentation Quality, and Bacterial Community of High-Moisture Alfalfa Silage. Fermentation 2023, 9, 453. [Google Scholar] [CrossRef]
- Li, R.; Zheng, M.; Jiang, D.; Tian, P.; Zheng, M.; Xu, C. Replacing Alfalfa with Paper Mulberry in Total Mixed Ration Silages: Effects on Ensiling Characteristics, Protein Degradation, and In Vitro Digestibility. Animals 2021, 11, 1273. [Google Scholar] [CrossRef]
- Wang, Y.; Ke, W.; Lu, Q.; Zhang, G. Effects of Bacillus coagulans and Lactobacillus plantarum on the Fermentation Characteristics, Microbial Community, and Functional Shifts during Alfalfa Silage Fermentation. Animals 2023, 13, 932. [Google Scholar] [CrossRef]
- Fink-Gremmels, J. 68 ASAS-EAAP Exchange Speaker Talk: Natural feed additives enhancing innate immunity: The gateway to sustainable animal health. J. Anim. Sci. 2019, 97, 100. [Google Scholar] [CrossRef]
- Tawfeek, S.S.; Hassanin, K.M.A.; Youssef, I.M.I. The effect of dietary supplementation of some antioxidants on performance, oxidative stress, and blood parameters in broilers under natural summer conditions. J. World’s Poult. Res. 2014, 4, 10–19. [Google Scholar]
- Desbruslais, A.; Wealleans, A.L. Oxidation in poultry feed: Impact on the bird and the efficacy of dietary antioxidant mitigation strategies. Poultry 2022, 1, 246–277. [Google Scholar] [CrossRef]
- Petcu, C.D.; Tăpăloagă, D.; Mihai, O.D.; Gheorghe-Irimia, R.A.; Negoiță, C.; Georgescu, I.M.; Tăpăloagă, P.R.; Borda, C.; Ghimpețeanu, O.M. Harnessing natural antioxidants for enhancing food shelf life: Exploring sources and applications in the food industry. Foods 2023, 12, 3176. [Google Scholar] [CrossRef] [PubMed]
- Ponnampalam, E.N.; Kiani, A.; Santhiravel, S.; Holman, B.W.; Lauridsen, C.; Dunshea, F.R. The importance of dietary antioxidants on oxidative stress, meat and milk production, and their preservative aspects in farm animals: Antioxidant action, animal health, and product quality—Invited review. Animals 2022, 12, 3279. [Google Scholar] [CrossRef]
- Awuchi, C.G.; Ondari, E.N.; Ogbonna, C.U.; Upadhyay, A.K.; Baran, K.; Okpala, C.O.R.; Korzeniowska, M.; Guiné, R.P. Mycotoxins affecting animals, foods, humans, and plants: Types, occurrence, toxicities, action mechanisms, prevention, and detoxification strategies—A revisit. Foods 2021, 10, 1279. [Google Scholar] [CrossRef]
- He, L.; Zhou, W.; Wang, C.; Yang, F.; Chen, X.; Zhang, Q. Effect of Cellulase and Lactobacillus casei on ensiling characteristics, chemical composition, antioxidant activity, and digestibility of mulberry leaf silage. J. Dairy Sci. 2019, 102, 9919–9931. [Google Scholar] [CrossRef]
- Renugadevi, K.; Nachiyar, C.V.; Sowmiya, P.; Sunkar, S. Antioxidant activity of phycocyanin pigment extracted from marine filamentous cyanobacteria Geitlerinema sp. TRV57. Biocatal. Agric. Biotechnol. 2018, 16, 237–242. [Google Scholar] [CrossRef]
- Agrawal, M.; Bansal, S.; Chopra, K. Evaluation of the in vitro and in vivo antioxidant potentials of food grade Phycocyanin. J. Food Sci. Technol. 2021, 58, 4382–4390. [Google Scholar] [CrossRef] [PubMed]
- Zhuang, D.; Tang, D.Y.; Chew, K.W.; Ling, T.C. Phycocyanin: A natural antioxidant to combat free radicals. Curr. Nutr. Food Sci. 2022, 18, 338–344. [Google Scholar] [CrossRef]
- Wu, Q.; Xiao, Y.; Shao, T.; Zong, C.; Li, M.; Liu, Q. Effects of additives containing a novel strain on the fermentation characteristics, structural carbohydrates, and α-tocopherol content of rice straw and corn stover silages. Chem. Biol. Technol. Agric. 2023, 10, 21. [Google Scholar] [CrossRef]
- Kozloski, G.; Senger, C.; Perottoni, J.; Sanchez, L.B. Evaluation of two methods for ammonia extraction and analysis in silage samples. Anim. Feed Sci. Technol. 2006, 127, 336–342. [Google Scholar] [CrossRef]
- Singh, S.; Singh, R.P. In vitro methods of assay of antioxidants: An overview. Food Rev. Int. 2008, 24, 392–415. [Google Scholar] [CrossRef]
- Cai, Y.; Luo, Q.; Sun, M.; Corke, H. Antioxidant activity and phenolic compounds of 112 traditional Chinese medicinal plants associated with anticancer. Life Sci. 2004, 74, 2157–2184. [Google Scholar] [CrossRef]
- Yue, F.; Zhang, J.; Xu, J. Effects of monosaccharide composition on quantitative analysis of total sugar content by phenol-sulfuric acid method. Front. Nutr. 2022, 9, 963318. [Google Scholar] [CrossRef]
- Chun, O.K.; Kim, D.O.; Lee, C.Y. Superoxide radical scavenging activity of the major polyphenols in fresh plums. J. Agric. Food Chem. 2003, 51, 8067–8072. [Google Scholar] [CrossRef]
- Avershina, E.; Frisli, T.; Rudi, K. De novo semi-alignment of 16S rRNA gene sequences for deep phylogenetic characterization of next generation sequencing data. Microbes Environ. 2013, 28, 211–216. [Google Scholar] [CrossRef]
- Douglas, G.M.; Maffei, V.J.; Zaneveld, J.R.; Yurgel, S.N.; Brown, J.R.; Taylor, C.M.; Huttenhower, C.; Langille, M.G. PICRUSt2 for prediction of metagenome functions. Nat. Biotechnol. 2020, 38, 685–688. [Google Scholar] [CrossRef] [PubMed]
- Borreani, G.; Tabacco, E.; Schmidt, R.J.; Holmes, B.J.; Muck, R.E. Silage review: Factors affecting dry matter and quality losses in silages. J. Dairy Sci. 2018, 101, 3952–3979. [Google Scholar] [CrossRef]
- Shalaby, S. Quality of Novel Healthy Processed Cheese Analogue Enhanced with Marine Microalgae Chlorella vulgaris Biomass. World Appl. Sci. J. 2013, 23, 914–925. [Google Scholar]
- Bermejo-Bescós, P.; Piñero-Estrada, E.; del Fresno, Á.M.V. Neuroprotection by Spirulina platensis protean extract and phycocyanin against iron-induced toxicity in SH-SY5Y neuroblastoma cells. Toxicol. In Vitro 2008, 22, 1496–1502. [Google Scholar] [CrossRef]
- Akalin, A.S.; Ünal, G.; Dalay, M.C. Influence of Spirulina platensis biomass on microbiological viability in traditional and probiotic yogurts during refrigerated storage. Ital. J. Food Sci. 2009, 21, 357–364. [Google Scholar]
- Nowruzi, B.; Konur, O.; Anvar, S.A.A. The Stability of the Phycobiliproteins in the Adverse Environmental Conditions Relevant to the Food Storage. Food Bioprocess Technol. 2022, 15, 2646–2663. [Google Scholar] [CrossRef]
- Zhao, S.; Zhou, S.; Zhao, Y.; Yang, J.; Lv, L.; Zheng, Z.; Lu, H.; Ren, Y. Comparative Study of the Nutritional Value and Degradation Characteristics of Amaranth Hay in the Rumen of Goats at Different Growth Stages. Animals 2023, 13, 25. [Google Scholar] [CrossRef] [PubMed]
- Hashemzadeh-Cigari, F.; Khorvash, M.; Ghorbani, G.R.; Ghasemi, E.; Taghizadeh, A.; Kargar, S.; Yang, W.Z. Interactive effects of molasses by homofermentative and heterofermentative inoculants on fermentation quality, nitrogen fractionation, nutritive value and aerobic stability of wilted alfalfa (Medicago sativa L.) silage. J. Anim. Physiol. Anim. Nutr. 2014, 98, 290–299. [Google Scholar] [CrossRef]
- Albrecht, K.A.; Muck, R.E. Proteolysis in Ensiled Forage Legumes That Vary in Tannin Concentration. Crop Sci. 1991, 31, 464–469. [Google Scholar] [CrossRef]
- Lu, Y.; Foo, L.Y. The polyphenol constituents of grape pomace. Food Chem. 1999, 65, 1–8. [Google Scholar] [CrossRef]
- Garcia, Y.D.; Valles, B.S.; Lobo, A.P. Phenolic and antioxidant composition of by-products from the cider industry: Apple pomace. Food Chem. 2009, 117, 731–738. [Google Scholar] [CrossRef]
- Ke, W.C.; Yang, F.Y.; Undersander, D.J.; Guo, X.S. Fermentation characteristics, aerobic stability, proteolysis and lipid composition of alfalfa silage ensiled with apple or grape pomace. Anim. Feed. Sci. Technol. 2015, 202, 12–19. [Google Scholar] [CrossRef]
- Nishino, N. Bacterial and Fungal Microbiota of Guinea Grass Silage Shows Various Levels of Acetic Acid Fermentation. Fermentation 2021, 8, 10. [Google Scholar] [CrossRef]
- Jiang, F.G.; Cheng, H.J.; Liu, D.; Wei, C.; Song, E.L. Treatment of Whole-Plant Corn Silage with Lactic Acid Bacteria and Organic Acid Enhances Quality by Elevating Acid Content, Reducing pH, and Inhibiting Undesirable Microorganisms. Front. Microbiol. 2020, 11, 593088. [Google Scholar] [CrossRef]
- He, L.; Chen, N.A.; Lv, H.; Wang, C.; Zhou, W.; Chen, X.; Zhang, Q. Gallic acid influencing fermentation quality, nitrogen distribution and bacterial community of high-moisture mulberry leaves and stylo silage. Bioresour. Technol. Biomass Bioenergy Biowastes Convers. Technol. Biotransform. Prod. Technol. 2020, 295, 122255. [Google Scholar] [CrossRef]
- Davoodi, M.S.; Amirali, S.A.; Nowruzi, B.; Golestan, L. The Effect of Phycocyanin on the Microbial, Antioxidant, and Nutritional Properties of Iranian Cheese. Int. J. Algae 2023, 25, 181–206. [Google Scholar] [CrossRef]
- Pykhtina, L.A.; Desyatov, O.A.; Ulitko, V.E.; Voevodin, Y.E. Feed additives with sorptive and antioxidant properties for immune status correction and productivity increase of cattle in case of bulk feeding type. Vestn. Ulyanovsk. State Agric. Acad. 2021, 212, 175–182. [Google Scholar]
- Muck, R.E.; Nadeau, E.M.G.; Mcallister, T.A.; Contreras-Govea, F.E.; Kung, L., Jr. Silage review: Recent advances and future uses of silage additives. J. Dairy Sci. 2018, 101, 3980–4000. [Google Scholar] [CrossRef]
- Bermejo, P.; Piñero, E.; Villar, Á.M. Iron-chelating ability and antioxidant properties of phycocyanin isolated from a protean extract of Spirulina platensis. Food Chem. 2008, 110, 436–445. [Google Scholar] [CrossRef]
- Huyut, Z.; Beydemir, Ş.; Gülçin, İ. Antioxidant and Antiradical Properties of Selected Flavonoids and Phenolic Compounds. Biochem. Res. Int. 2017, 2017, 7616791. [Google Scholar] [CrossRef]
- Giraffa, G.; Chanishvili, N.; Widyastuti, Y. Importance of Lactobacilli in food and feed biotechnology. Res. Microbiol. 2010, 161, 480–487. [Google Scholar] [CrossRef] [PubMed]
- Liu, J.G.; Hou, C.W.; Lee, S.Y.; Chuang, Y.; Lin, C.C. Antioxidant effects and UVB protective activity of Spirulina (Arthrospira platensis) products fermented with lactic acid bacteria. Process Biochem. 2011, 46, 1405–1410. [Google Scholar] [CrossRef]
- Zhu, Y.; Xiong, H.; Wen, Z.; Tian, H.; Chen, Y.; Wu, L.; Guo, Y.; Sun, B. Effects of Different Concentrations of Lactobacillus plantarum and Bacillus licheniformis on Silage Quality, In Vitro Fermentation and Microbial Community of Hybrid Pennisetum. Animals 2022, 12, 1752. [Google Scholar] [CrossRef] [PubMed]
- Chandra, P.; Sharma, R.K.; Arora, D.S. Antioxidant compounds from microbial sources: A review. Food Res. Int. 2020, 129, 108849. [Google Scholar] [CrossRef] [PubMed]
- Mu, L.; Xie, Z.; Hu, L.; Chen, G.; Zhang, Z. Cellulase interacts with Lactobacillus plantarum to affect chemical composition, bacterial communities, and aerobic stability in mixed silage of high-moisture amaranth and rice straw. Bioresour. Technol. 2020, 315, 123772. [Google Scholar] [CrossRef]
- Sun, L.; Na, N.; Li, X.; Li, Z.; Wang, C.; Wu, X.; Xiao, Y.; Yin, G.; Liu, S.; Liu, Z.; et al. Impact of Packing Density on the Bacterial Community, Fermentation, and In Vitro Digestibility of Whole-Crop Barley Silage. Agriculture 2021, 11, 672. [Google Scholar] [CrossRef]
- Liu, B.; Huan, H.; Gu, H.; Xu, N.; Shen, Q.; Ding, C. Dynamics of a microbial community during ensiling and upon aerobic exposure in lactic acid bacteria inoculation-treated and untreated barley silages. Bioresour. Technol. Biomass Bioenergy Biowastes Convers. Technol. Biotransform. Prod. Technol. 2019, 273, 212–219. [Google Scholar] [CrossRef]
- Cai, Y.M.; Benno, Y.; Ogawa, M.; Ohmomo, S.; Nakase, T. Influence of Lactobacillus spp. from an Inoculant and of Weissella and Leuconostoc spp. from forage crops on silage fermentation. Appl. Environ. Microbiol. 1998, 64, 2982–2987. [Google Scholar] [CrossRef]
- Zhao, S.; Yang, F.; Wang, Y.; Fan, X.; Feng, C.; Wang, Y. Dynamics of Fermentation Parameters and Bacterial Community in High-Moisture Alfalfa Silage with or without Lactic Acid Bacteria. Microorganisms 2021, 9, 1225. [Google Scholar] [CrossRef]
- Zhao, M.; Wang, Z.; Du, S.; Sun, L.; Bao, J.; Hao, J.; Ge, G. Lactobacillus plantarum and propionic acid improve the fermentation quality of high-moisture amaranth silage by altering the microbial community composition. Front. Microbiol. 2022, 13, 1066641. [Google Scholar] [CrossRef]
- Wu, G. Amino acids: Metabolism, functions, and nutrition. Amino Acids 2009, 37, 1–17. [Google Scholar] [CrossRef] [PubMed]
- Kumar, V.; Ahluwalia, V.; Saran, S.; Kumar, J.; Patel, A.K.; Singhania, R.R. Recent developments on solid-state fermentation for production of microbial secondary metabolites: Challenges and solutions. Bioresour. Technol. 2021, 323, 124566. [Google Scholar] [CrossRef] [PubMed]






| Items | Alfalfa | SEM | |
|---|---|---|---|
| Chemical composition | DM (%FW) | 28.60 | 1.112 |
| CP (%DM) | 22.48 | 0.293 | |
| NDF (%DM) | 38.49 | 0.445 | |
| ADF (%DM) | 27.61 | 0.505 | |
| WSC (%DM) | 2.65 | 0.185 | |
| Antioxidant activity | TAOC (%) | 0.26 | 0.009 |
| TP (%) | 0.73 | 0.011 | |
| P (%) | 1.04 | 0.010 | |
| F (%) | 1.21 | 0.012 |
| Items | Treatment | SEM | |||
|---|---|---|---|---|---|
| CK | D1 | D3 | D5 | ||
| DM (%FW) | 37.99 b | 41.03 b | 42.98 b | 43.88 a | 0.596 |
| CP (%DM) | 20.77 d | 21.10 c | 21.69 b | 23.49 a | 0.234 |
| NDF (%DM) | 42.96 a | 40.66 b | 39.50 b | 37.28 c | 0.564 |
| ADF (%DM) | 39.41 a | 37.68 ab | 36.51 bc | 35.01 c | 0.502 |
| WSC (%DM) | 1.63 b | 2.05 ab | 2.23 a | 2.02 ab | 0.097 |
| Items | Treatment | SEM | p Value | |||
|---|---|---|---|---|---|---|
| CK | D1 | D3 | D5 | |||
| pH | 4.66 a | 4.51 b | 4.39 c | 4.27 d | 0.039 | <0.05 |
| LA (%DM) | 3.29 c | 3.78 b | 3.82 b | 4.17 a | 0.055 | <0.05 |
| AA (%DM) | 1.13 a | 0.85 b | 0.77 c | 0.75 c | 0.074 | <0.05 |
| PA (%DM) | 0.43 a | 0.35 b | 0.31 b | 0.25 c | 0.117 | <0.05 |
| BA (%DM) | 0.12 a | 0.09 b | 0.08 b | 0.06 b | 0.001 | <0.05 |
| NH3-N (%TN) | 0.48 a | 0.43 b | 0.42 b | 0.40 b | 0.017 | <0.05 |
| Items | Treatment | SEM | p Value | |||
|---|---|---|---|---|---|---|
| CK | D1 | D3 | D5 | |||
| Sobs | 192.67 d | 229.00 b | 237.00 b | 256.67 a | 0.039 | <0.05 |
| Chao | 196.77 d | 229.34 b | 239.69 b | 257.91 a | 17.616 | <0.05 |
| Shannon | 1.92 a | 1.78 b | 1.53 c | 1.48 c | 0.119 | <0.05 |
| Simpson | 0.36 c | 0.44 b | 0.59 a | 0.61 a | 0.041 | <0.05 |
| ACE | 200.23 d | 230.40 c | 242.53 b | 261.08 a | 17.636 | <0.05 |
| Coverage | 0.99 | 0.99 | 0.99 | 0.99 | - | - |
Disclaimer/Publisher’s Note: The statements, opinions and data contained in all publications are solely those of the individual author(s) and contributor(s) and not of MDPI and/or the editor(s). MDPI and/or the editor(s) disclaim responsibility for any injury to people or property resulting from any ideas, methods, instructions or products referred to in the content. |
© 2024 by the authors. Licensee MDPI, Basel, Switzerland. This article is an open access article distributed under the terms and conditions of the Creative Commons Attribution (CC BY) license (https://creativecommons.org/licenses/by/4.0/).
Share and Cite
Liu, X.; Liu, Y.; Liu, M.; Xing, J.; Wang, Y.; Sheng, P.; Ge, G.; Jia, Y.; Wang, Z. Phycocyanin Additives Regulate Bacterial Community Structure and Antioxidant Activity of Alfalfa Silage. Microorganisms 2024, 12, 2517. https://doi.org/10.3390/microorganisms12122517
Liu X, Liu Y, Liu M, Xing J, Wang Y, Sheng P, Ge G, Jia Y, Wang Z. Phycocyanin Additives Regulate Bacterial Community Structure and Antioxidant Activity of Alfalfa Silage. Microorganisms. 2024; 12(12):2517. https://doi.org/10.3390/microorganisms12122517
Chicago/Turabian StyleLiu, Xiangdong, Yichao Liu, Mingjian Liu, Jing Xing, Yuxuan Wang, Panjie Sheng, Gentu Ge, Yushan Jia, and Zhijun Wang. 2024. "Phycocyanin Additives Regulate Bacterial Community Structure and Antioxidant Activity of Alfalfa Silage" Microorganisms 12, no. 12: 2517. https://doi.org/10.3390/microorganisms12122517
APA StyleLiu, X., Liu, Y., Liu, M., Xing, J., Wang, Y., Sheng, P., Ge, G., Jia, Y., & Wang, Z. (2024). Phycocyanin Additives Regulate Bacterial Community Structure and Antioxidant Activity of Alfalfa Silage. Microorganisms, 12(12), 2517. https://doi.org/10.3390/microorganisms12122517

