Odontites linkii subsp. cyprius Ethanolic Extract Indicated In Vitro Anti-Acanthamoeba Effect
Abstract
1. Introduction
Acanthamoeba Infection
2. Materials and Methods
2.1. Cyprus Phytogeography
2.2. Collection of Plant Materials and Preparation of Ethanolic Plant Extracts
2.3. DPPH (2,2-Diphenyl-1-picrylhydrazyl) Radical Scavenging Activity
2.4. ABTS (2,2′-Azino-Bis(3-ethylbenzothiazoline-6-sulfonic Acid) Radical Scavenging Activity
2.5. Determination of Total Phenolic Content (TPC)
2.6. Total Flavonoid Content (TFC)
2.7. Antibacterial-Susceptibility Test (AST)—Broth Microdilution Assay
2.8. Anti-Acanthamoeba Assay
2.8.1. In Vitro Culture of Acanthamoeba
2.8.2. Determination of the Anti-Acanthamoeba Activity In Vitro
2.9. In Vitro Human Hepatocarcinoma Cell Line (HepG2) Resazurin Cell Viability Assay
2.10. Liquid Chromatography–Mass Spectrometry (LC-MS) Analysis of the Ethanol Extract of O. linkii subsp. cyprius—Extract with the Highest Anti-Acanthamoeba Activity
2.11. Chemicals, Reagents, and Organisms
2.12. Data Analysis
3. Results
3.1. Radical Scavenging Activity, Total Phenolic Content, and Total Flavonoid Content of the Ethanolic Leaf Extracts
3.2. Antibacterial Activity of O. linkii subsp. cyprius, P. cham. subsp. cyprius, and Q. alnifolia Ethanolic Leaf Extracts
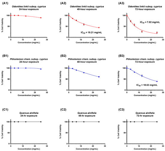
3.3. Anti-Acanthamoeba Activity
3.4. HepG2 Cell Viability Using Ethanolic Plant Extracts
3.5. Extract Characterization of O. linkii subsp. cyprius
4. Discussion
4.1. Need for New Pharmaceutical Discoveries for the Treatment of Acanthamoeba spp. Infections
4.2. Antioxidant Capacity of the Ethanol Leaf Extracts
4.3. Broth Microdilution Antibacterial-Susceptibility Test of O. linkii subsp. cyprius, P. cham. subsp. cyprius, and Q. alnifolia
4.4. Anti-Acanthamoeba % Cell Viability Assay
4.5. Safety and Efficacy of the Ethanolic Leaf Extracts
4.6. LC-MS Screening for Known Bioactive Compounds in O. linkii subsp. cyprius
5. Conclusions
Author Contributions
Funding
Data Availability Statement
Acknowledgments
Conflicts of Interest
References
- Lorenzo-Morales, J.; Khan, N.A.; Walochnik, J. An update on Acanthamoeba keratitis: Diagnosis, pathogenesis and treatment. Parasite 2015, 22, 10. [Google Scholar] [CrossRef] [PubMed]
- Siddiqui, R.; Khan, N.A. Biology and pathogenesis of Acanthamoeba. Parasites Vectors 2012, 5, 6. [Google Scholar] [CrossRef] [PubMed]
- Visvesvara, G.S.; Moura, H.; Schuster, F.L. Pathogenic and opportunistic free-living amoebae: Acanthamoeba spp., Balamuthia mandrillaris, Naegleria fowleri, and Sappinia diploidea. FEMS Immunol. Med. Microbiol. 2007, 50, 1–26. [Google Scholar] [CrossRef] [PubMed]
- Rayamajhee, B.; Willcox, M.D.; Henriquez, F.L.; Petsoglou, C.; Subedi, D.; Carnt, N. Acanthamoeba, an environmental phagocyte enhancing survival and transmission of human pathogens. Trends Parasitol. 2022, 38, 975–990. [Google Scholar] [CrossRef]
- Schuster, F.L.; Visvesvara, G.S. Free-living amoebae as opportunistic and non-opportunistic pathogens of humans and animals. Int. J. Parasitol. 2004, 34, 1001–1027. [Google Scholar] [CrossRef]
- Chaúque, B.J.M.; Dos Santos, D.L.; Anvari, D.; Rott, M.B. Prevalence of free-living amoebae in swimming pools and recreational waters, a systematic review and meta-analysis. Parasitol. Res. 2022, 121, 3033–3050. [Google Scholar] [CrossRef]
- Garcia, A.; Goñi, P.; Cieloszyk, J.; Fernandez, M.T.; Calvo-Beguería, L.; Rubio, E.; Fillat, M.F.; Peleato, M.L.; Clavel, A. Identification of free-living amoebae and amoeba-associated bacteria from reservoirs and water treatment plants by molecular techniques. Environ. Sci. Technol. 2013, 47, 3132–3140. [Google Scholar] [CrossRef]
- Damhorst, G.L.; Watts, A.; Hernandez-Romieu, A.; Mel, N.; Palmore, M.; Ali, I.K.M.; Neill, S.G.; Kalapila, A.; Cope, J.R. Acanthamoeba castellanii encephalitis in a patient with AIDS: A case report and literature review. Lancet Infect. Dis. 2022, 22, e59–e65. [Google Scholar] [CrossRef]
- Duma, R.J.; Helwig, W.B.; Martinez, A.J. Meningoencephalitis and brain abscess due to a free-living amoeba. Ann. Intern. Med. 1978, 88, 468–473. [Google Scholar] [CrossRef]
- Guimaraes, A.J.; Gomes, K.X.; Cortines, J.R.; Peralta, J.M.; Peralta, R.H.S. Acanthamoeba spp. as a universal host for pathogenic microorganisms: One bridge from environment to host virulence. Microbiol. Res. 2016, 193, 30–38. [Google Scholar] [CrossRef]
- Scheid, P.; Schwarzenberger, R. Acanthamoeba spp. as vehicle and reservoir of adenoviruses. Parasitol. Res. 2012, 111, 479–485. [Google Scholar] [CrossRef] [PubMed]
- Coulon, C.; Collignon, A.; McDonnell, G.; Thomas, V. Resistance of Acanthamoeba cysts to disinfection treatments used in health care settings. J. Clin. Microbiol. 2010, 48, 2689–2697. [Google Scholar] [CrossRef] [PubMed]
- Maschio, V.J.; Chies, F.; Carlesso, A.M.; Carvalho, A.; Rosa, S.P.; Van Der Sand, S.T.; Rott, M.B. Acanthamoeba T4, T5 and T11 isolated from mineral water bottles in southern Brazil. Curr. Microbiol. 2015, 70, 6–9. [Google Scholar] [CrossRef] [PubMed]
- Booton, G.C.; Kelly, D.J.; Chu, Y.; Seal, D.V.; Houang, E.; Lam, D.; Byers, T.J.; Fuerst, P. 18S ribosomal DNA typing and tracking of Acanthamoeba species isolates from corneal scrape specimens, contact lenses, lens cases, and home water supplies of Acanthamoeba keratitis patients in Hong Kong. J. Clin. Microbiol. 2002, 40, 1621–1625. [Google Scholar] [CrossRef]
- Visvesvara, G.S. Amebic meningoencephalitides and keratitis: Challenges in diagnosis and treatment. Curr. Opin. Infect. Dis. 2010, 23, 590–594. [Google Scholar] [CrossRef]
- Lorenzo-Morales, J.; Kliescikova, J.; Martinez-Carretero, E.; De Pablos, L.M.; Profotova, B.; Nohynkova, E.; Osuna, A.; Valladares, B. Glycogen phosphorylase in Acanthamoeba spp.: Determining the role of the enzyme during the encystment process using RNA interference. Eukaryot. Cell 2008, 7, 509–517. [Google Scholar] [CrossRef]
- Hirabayashi, K.E.; Lin, C.C.; Ta, C.N. Oral miltefosine for refractory Acanthamoeba keratitis. Am. J. Ophthalmol. Case Rep. 2019, 16, 100555. [Google Scholar] [CrossRef]
- Tavassoli, S.; Buckle, M.; Tole, D.; Chiodini, P.; Darcy, K. The use of miltefosine in the management of refractory Acanthamoeba keratitis. Contact Lens Anterior Eye 2018, 41, 400–402. [Google Scholar] [CrossRef]
- Walochnik, J.; Obwaller, A.; Gruber, F.; Mildner, M.; Tschachler, E.; Suchomel, M.; Duchêne, M.; Auer, H. Anti-Acanthamoeba efficacy and toxicity of miltefosine in an organotypic skin equivalent. J. Antimicrob. Chemother. 2009, 64, 539–545. [Google Scholar] [CrossRef]
- Jha, T.K.; Sundar, S.; Thakur, C.P.; Bachmann, P.; Karbwang, J.; Fischer, C.; Voss, A.; Berman, J. Miltefosine, an oral agent, for the treatment of Indian visceral leishmaniasis. N. Engl. J. Med. 1999, 341, 1795–1800. [Google Scholar] [CrossRef]
- Hand, R.; Hadjikyriakou, G.N.; Christodoulou, C.S. 2011—(Continuously Updated): Flora of Cyprus—A Dynamic Checklist. Available online: https://www.flora-of-cyprus.eu/cdm_dataportal/taxon/3be6f877-7028-4158-b641-0b433477cee3 (accessed on 15 June 2024).
- Shimamura, T.; Sumikura, Y.; Yamazaki, T.; Tada, A.; Kashiwagi, T.; Ishikawa, H.; Matsui, T.; Sugimoto, N.; Akiyama, H.; Ukeda, H. Applicability of the DPPH assay for evaluating the antioxidant capacity of food additives-inter-laboratory evaluation study. Anal. Sci. 2014, 30, 717–721. [Google Scholar] [CrossRef] [PubMed]
- Re, R.; Pellegrini, N.; Proteggente, A.; Pannala, A.; Yang, M.; Rice-Evans, C. Antioxidant activity applying an improved ABTS radical cation decolorization assay. Free Radic. Biol. Med. 1999, 26, 1231–1237. [Google Scholar] [CrossRef] [PubMed]
- Singleton, V.L.; Orthofer, R.; Lamuela-Raventós, R.M. [14] Analysis of total phenols and other oxidation substrates and antioxidants by means of folin-ciocalteu reagent. In Methods in Enzymology; Elsevier: Amsterdam, The Netherlands, 1999; Volume 299, pp. 152–178. [Google Scholar] [CrossRef]
- Chang, C.; Yang, M.; Wen, H.; Chern, J. Estimation of total flavonoid content in propolis by two complementary colorimetric methods. J. Food Drug Anal. 2002, 10, 3. [Google Scholar] [CrossRef]
- Eloff, J.N. A sensitive and quick microplate method to determine the minimal inhibitory concentration of plant extracts for bacteria. Planta Med. 1998, 64, 711–713. [Google Scholar] [CrossRef]
- Kolören, O.; Kolören, Z.; Şekeroğlu, Z.A.; Çolayvaz, M.; Karanis, P. Amoebicidal and amoebistatic effects of Artemisia argyi methanolic extracts on Acanthamoeba castellanii trophozoites and cysts. Acta Parasitol. 2019, 64, 63–70. [Google Scholar] [CrossRef]
- Venditti, A.; Frezza, C.; Foddai, S.; Serafini, M.; Nicoletti, M.; Bianco, A. Chemical traits of hemiparasitism in Odontites luteus. Chem. Biodivers. 2017, 14, e1600416. [Google Scholar] [CrossRef]
- Wang, Y.; Jiang, L.; Zhao, Y.; Ju, X.; Wang, L.; Jin, L.; Fine, R.D.; Li, M. Biological characteristics and pathogenicity of Acanthamoeba. Front. Microbiol. 2023, 14, 1147077. [Google Scholar] [CrossRef]
- Ji, M.; Wang, C.; Yang, T.; Meng, X.; Wang, X.; Li, M. Integrated phytochemical analysis based on UPLC–MS/MS and network pharmacology approaches to explore the effect of Odontites vulgaris Moench on rheumatoid arthritis. Front. Pharmacol. 2021, 12, 707687. [Google Scholar] [CrossRef] [PubMed]
- Frezza, C.; De Vita, D.; Venditti, A.; Baldani, C.; Giampaoli, O.; Sciubba, F.; Dal Bosco, C.; Franceschin, M.; Beccaccioli, M.; Reverberi, M. Phytochemical analysis and biological activities of the aerial parts of Odontites vulgaris Moench. Fitoterapia 2024, 175, 105936. [Google Scholar] [CrossRef]
- mzCloud—Advanced Mass Spectral Database. Available online: https://mzcloud.org (accessed on 8 July 2024).
- Ashbolt, N.J. Microbial contamination of drinking water and human health from community water systems. Curr. Environ. Health Rep. 2015, 2, 95–106. [Google Scholar] [CrossRef]
- Wang, C.; Zang, E.; Zhang, C.; Bo, A.; Gong, X.; Li, M. Chemical constituents of Odontites serotina (Lam.) Dumort. (Orobanchaceae). Biochem. Syst. Ecol. 2020, 90, 104039. [Google Scholar] [CrossRef]
- Muflihah, Y.M.; Gollavelli, G.; Ling, Y. Correlation study of antioxidant activity with phenolic and flavonoid compounds in 12 Indonesian indigenous herbs. Antioxidants 2021, 10, 1530. [Google Scholar] [CrossRef]
- Gu, C.; Howell, K.; Dunshea, F.R.; Suleria, H.A. LC-ESI-QTOF/MS characterisation of phenolic acids and flavonoids in polyphenol-rich fruits and vegetables and their potential antioxidant activities. Antioxidants 2019, 8, 405. [Google Scholar] [CrossRef] [PubMed]
- Lardos, A.; Heinrich, M. Continuity and change in medicinal plant use: The example of monasteries on Cyprus and historical iatrosophia texts. J. Ethnopharmacol. 2013, 150, 202–214. [Google Scholar] [CrossRef]
- Burlacu, E.; Nisca, A.; Tanase, C. A comprehensive review of phytochemistry and biological activities of Quercus species. Forests 2020, 11, 904. [Google Scholar] [CrossRef]
- Şöhretoğlu, D.; Renda, G. The polyphenolic profile of Oak (Quercus) species: A phytochemical and pharmacological overview. Phytochem. Rev. 2020, 19, 1379–1426. [Google Scholar] [CrossRef]
- Taib, M.; Rezzak, Y.; Bouyazza, L.; Lyoussi, B. Medicinal uses, phytochemistry, and pharmacological activities of Quercus species. Evid. Based Complement Altern. Med. 2020, 2020, 1920683. [Google Scholar] [CrossRef]
- Kuete, V. Potential of Cameroonian plants and derived products against microbial infections: A review. Planta Med. 2010, 76, 1479–1491. [Google Scholar] [CrossRef]
- Sawangjaroen, N.; Sawangjaroen, K.; Poonpanang, P. Effects of Piper longum fruit, Piper sarmentosum root and Quercus infectoria nut gall on caecal amoebiasis in mice. J. Ethnopharmacol. 2004, 91, 357–360. [Google Scholar] [CrossRef]
- Aydoğdu, G.; Kolören, Z.; Kolören, O.; Karanis, P. Amoebicidial effect of Hypericum perforatum extract on Acanthamoeba castellani trophozoites. Biologia 2024, 79, 3151–3157. [Google Scholar] [CrossRef]
- Hamad, A.A. In vitro Evaluation the efficacy of some new plant extracts and biocides on the viability of Acanthamoeba castellanii. Protist 2023, 174, 125966. [Google Scholar] [CrossRef] [PubMed]
- Siddiqui, R.; Akbar, N.; Khatoon, B.; Kawish, M.; Ali, M.S.; Shah, M.R.; Khan, N.A. Novel plant-based metabolites as disinfectants against Acanthamoeba castellanii. Antibiotics 2022, 11, 248. [Google Scholar] [CrossRef] [PubMed]
- Tepe, B.; Malatyali, E.; Degerli, S.; Berk, S. In Vitro amoebicidal activities of Teucrium polium and T. chamaedrys on Acanthamoeba castellanii trophozoites and cysts. Parasitol. Res. 2012, 110, 1773–1778. [Google Scholar] [CrossRef]
- Polat, Z.A.; Obwaller, A.; Vural, A.; Walochnik, J. Efficacy of miltefosine for topical treatment of Acanthamoeba keratitis in Syrian hamsters. Parasitol. Res. 2012, 110, 515–520. [Google Scholar] [CrossRef] [PubMed]
- Liu, L.; Chang, X.; Dai, Q.; Wang, H.; Chen, J.; Zhang, X. Bioactivity-guided isolation of anti-acetylcholinesterase compounds from Odontites vulgaris Moench. Med. Chem. Res. 2023, 32, 2349–2355. [Google Scholar] [CrossRef]
- Şenol, H.; Tulay, P.; Ergören, M.C.; Hanoğlu, A.; Çaliş, İ.; Mocan, G. Cytotoxic effects of verbascoside on MCF-7 and MDA-MB-231. Turk. J. Pharm. Sci 2021, 18, 637. [Google Scholar] [CrossRef] [PubMed]
- Zhou, L.; Feng, Y.; Jin, Y.; Liu, X.; Sui, H.; Chai, N.; Chen, X.; Liu, N.; Ji, Q.; Wang, Y. Verbascoside promotes apoptosis by regulating HIPK2–p53 signaling in human colorectal cancer. BMC Cancer 2014, 14, 747. [Google Scholar] [CrossRef]
- Gui, Q.; Zheng, J. Simultaneous determination of eight components in Angelica sinensis based on UHPLC-ESI-MS/MS method for quality evaluation. Biomed. Chromatogr. 2019, 33, e4326. [Google Scholar] [CrossRef]
- Newman, D.J.; Cragg, G.M. Natural products as sources of new drugs over the nearly four decades from 01/1981 to 09/2019. J. Nat. Prod. 2020, 83, 770–803. [Google Scholar] [CrossRef]
- Dias, D.A.; Jones, O.A.; Beale, D.J.; Boughton, B.A.; Benheim, D.; Kouremenos, K.A.; Wolfender, J.; Wishart, D.S. Current and future perspectives on the structural identification of small molecules in biological systems. Metabolites 2016, 6, 46. [Google Scholar] [CrossRef]









| Plant Name | Family | Status | Collection Site | Voucher No. | Month/Year |
|---|---|---|---|---|---|
| Odontites linkii subsp. cyprius (Boiss.) Bolliger | Orobanchaceae | Endemic | Kampos | MS20 | June 2022 |
| Ptilostemon chamaepeuce subsp. cyprius (Greuter) Chrtek & B. Slavík | Asteraceae | Endemic | Kalopanayiotis, roadside | MS21 | June 2022 |
| Quercus alnifolia Poech | Fagaceae | Endemic | Vavatsinia | MS13 | June 2022 |
| Plant Name | Extraction Yield (%) | DPPH IC50 (mg/mL) | ABTS IC50 (mg/mL) | * TPC (mg GAE/g) | ** TFC (mg QE/g) |
|---|---|---|---|---|---|
| O. linkii subsp. cyprius | 17.3 | 9.889 ± 2.545 | 3.235 ± 0.655 | 10.20 ± 0.24 | 64.26 ± 1.48 |
| P. cham. subsp. cyprius | 15.2 | 0.629 ± 0.022 | 0.596 ± 0.262 | 64.58 ± 0.24 | 195.32 ± 1.09 |
| Q. alnifolia | 30.3 | 0.155 ± 0.002 | 0.164 ± 0.017 | 61.30 ± 1.80 | 51.34 ± 1.09 |
| Ascorbic acid | - | 0.036 ± 0.000 | - | - | - |
| Trolox | - | 0.047 ± 0.001 | 0.076 ± 0.001 | - | - |
| Quercetin | - | - | 0.217 ± 0.005 | - | - |
| No | tR/min | m/z | Ion | Formula | Err/mDa | mΣ | Assignment |
|---|---|---|---|---|---|---|---|
| 4a | 2.38 | 399.1265 215.0908 | [M+Na]+ | C16H24O10 | 0.3 | 46.7 | Adoxosidic acid a |
| 4b | 2.38 | 405.1396 243.0877 | [M+H]+ | C17H24O11 | −0.4 | 7.3 | Methyloleoside a |
| 5 | 2.76 | 377.1443 215.0919 | [M+H]+ | C16H24O10 | 0.1 | 17.9 | Unknown C10-Iridoidglucoside |
| 6 | 2.80 | 394.1714 215.0919 | [M+NH4]+ | C16H24O10 | 0.6 | 36.6 | Unknown C10-Iridoidglucoside |
| 7a | 3.08 | 377.1456 215.0919 | [M+H]+ | C16H24O10 | 1.4 | 18.5 | 8-Epi-loganic acid a,b |
| 7b | 3.08 | 407.1562 227.0932 | [M+H]+ | C17H26O11 | −1.4 | 21 | Caryoptoside a |
| 10 | 3.53 | 389.1441 227.0924 | [M+H]+ | C17H24O10 | −0.1 | 31.5 | Gardoside methyl ester a,b |
| 12 | 3.87 | 407.1546 227.0920 | [M+H]+ | C17H26O11 | 0.1 | 21.9 | Shanzhiside methyl ester a |
| 13 | 3.95 | 331.1361 151.0764 | [M+H]+ | C15H22O8 | −2.7 | 35.3 | Bartsioside a,b |
| 15 | 4.21 | 429.1336 227.0915 | [M+Na]+ | C17H26O11 | 3.1 | 31.3 | 8-O-Acetylharpagide |
| 19 | 4.41 | 391.1568 229.1082 | [M+H]+ | C17H26O10 | −3.1 | 22.4 | 8-Epiloganine a,b |
| 20 | 4.5 | 391.1567 229.1071 | [M+H]+ | C17H26O10 | 3.1 | – | Mussaenoside a |
| 21 | 4.63 | 408.1874 211.0962 | [M+NH4]+ | C17H26O10 | −1 | 37.9 | Unkown C10-Iridoidglucoside |
| 28 | 5.19 | 625.2168 | [M+H]+ | C29H36O15 | −4.1 | 36.2 | (Iso)acteoside a |
| 29 | 5.21 | 449.1064 287.0535 | [M+H]+ | C21H20O11 | −1.4 | 53.1 | Cynaroside a,b |
| 35 | 5.64 | 468.1865 271.0953 | [M+NH4]+ | C22H26O10 | −0.1 | 29.0 | Melampyroside |
Disclaimer/Publisher’s Note: The statements, opinions and data contained in all publications are solely those of the individual author(s) and contributor(s) and not of MDPI and/or the editor(s). MDPI and/or the editor(s) disclaim responsibility for any injury to people or property resulting from any ideas, methods, instructions or products referred to in the content. |
© 2024 by the authors. Licensee MDPI, Basel, Switzerland. This article is an open access article distributed under the terms and conditions of the Creative Commons Attribution (CC BY) license (https://creativecommons.org/licenses/by/4.0/).
Share and Cite
Schou, C.; Kolören, Z.; Sendker, J.; Sarigiannis, Y.; Jovanovic, A.; Karanis, P. Odontites linkii subsp. cyprius Ethanolic Extract Indicated In Vitro Anti-Acanthamoeba Effect. Microorganisms 2024, 12, 2303. https://doi.org/10.3390/microorganisms12112303
Schou C, Kolören Z, Sendker J, Sarigiannis Y, Jovanovic A, Karanis P. Odontites linkii subsp. cyprius Ethanolic Extract Indicated In Vitro Anti-Acanthamoeba Effect. Microorganisms. 2024; 12(11):2303. https://doi.org/10.3390/microorganisms12112303
Chicago/Turabian StyleSchou, Chad, Zeynep Kolören, Jandirk Sendker, Yiannis Sarigiannis, Aleksandar Jovanovic, and Panagiotis Karanis. 2024. "Odontites linkii subsp. cyprius Ethanolic Extract Indicated In Vitro Anti-Acanthamoeba Effect" Microorganisms 12, no. 11: 2303. https://doi.org/10.3390/microorganisms12112303
APA StyleSchou, C., Kolören, Z., Sendker, J., Sarigiannis, Y., Jovanovic, A., & Karanis, P. (2024). Odontites linkii subsp. cyprius Ethanolic Extract Indicated In Vitro Anti-Acanthamoeba Effect. Microorganisms, 12(11), 2303. https://doi.org/10.3390/microorganisms12112303

