Characterization and Bioactive Metabolite Profiling of Streptomyces sp. Y009: A Mangrove-Derived Actinomycetia with Anticancer and Antioxidant Potential
Abstract
1. Introduction
2. Materials and Methods
2.1. Strain Isolation and Maintenance
2.2. Genomic and Phylogenetic Analyses
2.3. Culture and Phenotypic Properties
2.4. Preparation of Y009 Fermented Broth and Extract
2.5. Anticancer Activity
2.5.1. Cell Culture
2.5.2. MTT Assay
2.5.3. Hoechst 33342 Staining
2.6. Antioxidant Activity Assays
2.6.1. Superoxide Anion Scavenging Activity Assay
2.6.2. 2,2-Diphenyl-1-picrylhydrazyl (DPPH) Radical Scavenging Assay
2.7. Gas Chromatography–Mass Spectroscopy (GC–MS) Analysis
2.8. Molecular Docking Analysis
2.9. Statistical Analysis
3. Results
3.1. Phenotypic Analyses of Strain Y009
3.2. Phylogenetic and Genomic Analyses
3.3. Antioxidant Activity of Y009 Extract
3.4. Anticancer Activity of Y009 Extract
3.5. GC–MS Analysis of Y009 Extract
3.6. Molecular Docking and Cytotoxic Activity of the Main Constituents on Cancer Cells Detected by GC–MS
4. Discussion
5. Conclusions
Supplementary Materials
Author Contributions
Funding
Institutional Review Board Statement
Informed Consent Statement
Data Availability Statement
Acknowledgments
Conflicts of Interest
References
- Soerjomataram, I.; Bray, F. Planning for tomorrow: Global cancer incidence and the role of prevention 2020–2070. Nat. Rev. Clin. Oncol. 2021, 18, 663–672. [Google Scholar] [CrossRef] [PubMed]
- Sung, H.; Ferlay, J.; Siegel, R.L.; Laversanne, M.; Soerjomataram, I.; Jemal, A.; Bray, F. Global cancer statistics 2020: GLOBOCAN estimates of incidence and mortality worldwide for 36 cancers in 185 countries. CA-Cancer J. Clin. 2021, 71, 209–249. [Google Scholar] [CrossRef] [PubMed]
- Zheng, R.; Zhang, S.; Zeng, H.; Wang, S.; Sun, K.; Chen, R.; He, J. Cancer incidence and mortality in China, 2016. J. Natl. Cancer Cent. 2022, 2, 1–9. [Google Scholar] [CrossRef]
- Steele, T.A. Chemotherapy-induced immunosuppression and reconstitution of immune function. Leuk. Res. 2002, 26, 411–414. [Google Scholar] [CrossRef]
- Moxley, K.M.; Mcmeekin, D.S. Endometrial carcinoma: A review of chemotherapy, drug resistance, and the search for new agents. Oncologist 2010, 15, 1026–1033. [Google Scholar] [CrossRef] [PubMed]
- Agarwal, R.; Kaye, S.B. Ovarian cancer: Strategies for overcoming resistance to chemotherapy. Nat. Rev. Cancer 2003, 3, 502–516. [Google Scholar] [CrossRef]
- Hrdý, J.; Súkeníková, L.; Petrásková, P.; Novotná, O.; Kahoun, D.; Petříček, M.; Chroňáková, A.; Petříčková, K. Inhibition of Pro-Inflammatory Cytokines by Metabolites of Streptomycetes—A Potential Alternative to Current Anti-Inflammatory Drugs? Microorganisms 2020, 8, 621. [Google Scholar] [CrossRef]
- Chin, Y.W.; Balunas, M.J.; Chai, H.B.; Kinghorn, A.D. Drug discovery from natural sources. AAPS J. 2006, 8, E239–E253. [Google Scholar] [CrossRef]
- Tan, L.T.H.; Chan, C.K.; Chan, K.G.; Pusparajah, P.; Khan, T.M.; Ser, H.L.; Goh, B.H. Streptomyces sp. MUM256: A source for apoptosis inducing and cell cycle-arresting bioactive compounds against colon cancer cells. Cancers 2019, 11, 1742. [Google Scholar] [CrossRef]
- Berdy, J. Bioactive microbial metabolites. J. Antibiot. 2005, 58, 1–26. [Google Scholar] [CrossRef]
- Waksman, S.A.; Schatz, A.; Reilly, H.C. Metabolism and the chemical nature of Streptomyces griseus. J. Bacteriol. 1946, 51, 753–759. [Google Scholar] [CrossRef] [PubMed]
- Newman, D.J.; Cragg, G.M. Natural products as sources of new drugs from 1981 to 2014. J. Nat. Prod. 2016, 79, 629–661. [Google Scholar] [CrossRef]
- Sharma, S.R.; Shah, G.S. Isolation and screening of actinomycetes for bioactive compounds from the marine coast of South-Gujarat Region. Int. J. Res. Sci. Innov. 2014, 1, 345–349. [Google Scholar]
- Lee, L.H.; Chan, K.G.; Stach, J.; Wellington, E.M.; Goh, B.H. The search for biological active agent(s) from actinobacteria. Front. Microbiol. 2018, 9, 824. [Google Scholar] [CrossRef] [PubMed]
- Bérdy, J. Thoughts and facts about antibiotics: Where we are now and where we are heading. J. Antibiot. 2012, 65, 385–395. [Google Scholar] [CrossRef]
- Hopwood, D.A. Forty years of genetics with Streptomyces: From in vivo through in vitro to in silico. Microbiology 1999, 145, 2183–2202. [Google Scholar] [CrossRef]
- Nobili, S.; Lippi, D.; Witort, E.; Donnini, M.; Bausi, L.; Mini, E.; Capaccioli, S. Natural compounds for cancer treatment and prevention. Pharmacol. Res. 2009, 59, 365–378. [Google Scholar] [CrossRef]
- Song, Y.; Liu, G.; Li, J.; Huang, H.; Zhang, X.; Zhang, H.; Ju, J. Cytotoxic and antibacterial angucycline-and prodigiosin-analogues from the deep-sea derived Streptomyces sp. SCSIO 11594. Mar. Drugs 2015, 13, 1304–1316. [Google Scholar] [CrossRef]
- Zhang, Z.; Yu, X.; Wang, Z.; Wu, P.; Huang, J. Anthracyclines potentiate anti-tumor immunity: A new opportunity for chemoimmunotherapy. Cancer Lett. 2015, 369, 331–335. [Google Scholar] [CrossRef]
- Chen, C.; Ye, Y.; Wang, R.; Zhang, Y.; Wu, C.; Debnath, S.C.; Wu, M. Streptomyces nigra sp. nov. is a novel actinobacterium isolated from mangrove soil and exerts a potent antitumor activity in vitro. Front. Microbiol. 2018, 9, 1587. [Google Scholar] [CrossRef]
- Du, L.; Sánchez, C.; Chen, M.; Edwards, D.J.; Shen, B. The biosynthetic gene cluster for the antitumor drug bleomycin from Streptomyces verticillus ATCC15003 supporting functional interactions between nonribosomal peptide synthetases and a polyketide synthase. Chem. Biol. 2000, 7, 623–642. [Google Scholar] [CrossRef] [PubMed]
- Mangamuri, U.K.; Muvva, V.; Poda, S.; Kamma, S. Isolation, identification and molecular characterization of rare actinomycetes from mangrove ecosystem of Nizampatnam. Malays. J. Microbiol. 2012, 8, 83–91. [Google Scholar] [CrossRef]
- Zotchev, S.B. Marine actinomycetes as an emerging resource for the drug development pipelines. J. Biotechnol. 2012, 158, 168–175. [Google Scholar] [CrossRef] [PubMed]
- Xu, D.B.; Ye, W.W.; Han, Y.; Deng, Z.X.; Hong, K. Natural products from mangrove actinomycetes. Mar. Drugs 2014, 12, 2590–2613. [Google Scholar] [CrossRef]
- Chen, J.; Xu, L.; Zhou, Y.; Han, B. Natural products from actinomycetes associated with marine organisms. Mar. Drugs 2021, 19, 629. [Google Scholar] [CrossRef]
- Hu, H.; Lin, H.P.; Xie, Q.; Li, L.; Xie, X.Q.; Hong, K. Streptomyces qinglanensis sp. nov., isolated from mangrove sediment. Int. J. Syst. Evol. Microbiol. 2012, 62 Pt 3, 596–600. [Google Scholar] [CrossRef]
- Ser, H.L.; Palanisamy, U.D.; Yin, W.F.; Abd Malek, S.N.; Chan, K.G.; Goh, B.H.; Lee, L.H. Presence of antioxidative agent, Pyrrolo [1, 2-a] pyrazine-1, 4-dione, hexahydro-in newly isolated Streptomyces mangrovisoli sp. nov. Front. Microbiol. 2015, 6, 854. [Google Scholar] [CrossRef]
- Ser, H.L.; Palanisamy, U.D.; Yin, W.F.; Chan, K.G.; Goh, B.H.; Lee, L.H. Streptomyces malaysiense sp. nov.: A novel Malaysian mangrove soil actinobacterium with antioxidative activity and cytotoxic potential against human cancer cell lines. Sci. Rep. 2016, 6, 24247. [Google Scholar] [CrossRef]
- Shi, S.; Cui, L.; Zhang, K.; Zeng, Q.; Li, Q.; Ma, L.; Tian, X. Streptomyces marincola sp. nov., a novel marine actinomycete, and its biosynthetic potential of bioactive natural products. Front. Microbiol. 2022, 13, 860308. [Google Scholar] [CrossRef]
- Law, J.W.; Ser, H.L.; Ab Mutalib, N.S.; Saokaew, S.; Duangjai, A.; Khan, T.M.; Chan, K.G.; Goh, B.H.; Lee, L.H. Streptomyces monashensis sp. nov., a novel mangrove soil actinobacterium from East Malaysia with antioxidative potential. Sci. Rep. 2019, 9, 3056. [Google Scholar] [CrossRef]
- Zhu, P.; Xu, Y.; Fu, J.; Liao, Y. Streptomyces qinzhouensis sp. nov., a mangrove soil actinobacterium. Int. J. Syst. Evol. Microbiol. 2020, 70, 1800–1804. [Google Scholar] [CrossRef] [PubMed]
- Law, J.W.F.; Law, L.N.S.; Letchumanan, V.; Tan, L.T.H.; Wong, S.H.; Chan, K.G.; Lee, L.H. Anticancer drug discovery from microbial sources: The unique mangrove streptomycetes. Molecules 2020, 25, 5365. [Google Scholar] [CrossRef] [PubMed]
- Li, K.; Chen, S.; Pang, X.; Cai, J.; Zhang, X.; Liu, Y.; Zhu, Y.; Zhou, X. Natural products from mangrove sediments-derived microbes: Structural diversity, bioactivities, biosynthesis, and total synthesis. Eur. J. Med. Chem. 2022, 230, 114117. [Google Scholar] [CrossRef] [PubMed]
- Fu, P.; Yang, C.; Wang, Y.; Liu, P.; Ma, Y.; Xu, L.; Su, M.; Hong, K.; Zhu, W. Streptocarbazoles A and B, two novel indolocarbazoles from the marine-derived actinomycete strain Streptomyces sp. FMA. Org. Lett. 2012, 14, 2422–2425. [Google Scholar] [CrossRef]
- Han, Y.; Tian, E.; Xu, D.; Ma, M.; Deng, Z.; Hong, K. Halichoblelide D, a New Elaiophylin Derivative with Potent Cytotoxic Activity from Mangrove-Derived Streptomyces sp. 219807. Molecules 2016, 21, 970. [Google Scholar] [CrossRef] [PubMed]
- Morisaki, H.; Nagai, S.; Ohshima, H.; Ikemoto, E.; Kogure, K. The effect of motility and cell-surface polymers on bacterial attachment. Microbiology 1999, 145, 2797–2802. [Google Scholar] [CrossRef]
- Weisburg, W.G.; Barns, S.M.; Pelletier, D.A.; Lane, D.J. 16S ribosomal DNA amplification for phylogenetic study. J. Bacteriol. 1991, 173, 697–703. [Google Scholar] [CrossRef]
- Thompson, J.D.; Gibson, T.J.; Plewniak, F.; Jeanmougin, F.; Higgins, D.G. The CLUSTAL_X windows interface: Flexible strategies for multiple sequence alignment aided by quality analysis tools. Nucleic Acids Res. 1997, 25, 4876–4882. [Google Scholar] [CrossRef]
- Kumar, S.; Tamura, K.; Nei, M. MEGA: Molecular evolutionary genetics analysis software for microcomputers. Bioinformatics 1994, 10, 189–191. [Google Scholar] [CrossRef]
- Kelly, K.L.; Judd, D.B. Color: Universal Language and Dictionary of Color Names; National Bureau of Standards, U.S. Government Printing Office: Washington, DC, USA, 1976.
- Tan, L.T.H.; Ser, H.L.; Yin, W.F.; Chan, K.G.; Lee, L.H.; Goh, B.H. Investigation of antioxidative and anticancer potentials of Streptomyces sp. MUM256 isolated from Malaysia mangrove soil. Front. Microbiol. 2015, 6, 1316. [Google Scholar] [CrossRef]
- Lee, L.H.; Zainal, N.; Azman, A.S.; Mutalib, N.S.A.; Hong, K.; Chan, K.G. Mumia flava gen. nov., sp. nov., an actinobacterium of the family Nocardioidaceae. Int. J. Syst. Evol. Microbiol. 2014, 64 Pt 5, 1461–1467. [Google Scholar] [CrossRef] [PubMed]
- Selvin, J.; Shanmughapriya, S.; Gandhimathi, R.; Seghal Kiran, G.; Rajeetha Ravji, T.; Natarajaseenivasan, K.; Hema, T.A. Optimization and production of novel antimicrobial agents from sponge associated marine actinomycetes Nocardiopsis dassonvillei MAD08. Appl. Microbiol. Biotechnol. 2009, 83, 435–445. [Google Scholar] [CrossRef] [PubMed]
- Mosmann, T. Rapid colorimetric assay for cellular growth and survival: Application to proliferation and cytotoxicity assays. J. Immunol. Methods 1983, 65, 55–63. [Google Scholar] [CrossRef]
- Machado-Carvalho, L.; Martins, T.; Aires, A.; Marques, G. Optimization of Phenolic Compounds Extraction and Antioxidant Activity from Inonotus hispidus Using Ultrasound-Assisted Extraction Technology. Metabolites 2023, 13, 524. [Google Scholar] [CrossRef]
- Williams, S. Genus Streptomyces Waksman and Henrici 1943. Bergeys Man. Syst. Bacteriol. 1989, 4, 2452–2492. [Google Scholar]
- Hong, K.; Gao, A.H.; Xie, Q.Y.; Gao, H.; Zhuang, L.; Lin, H.P.; Ruan, J.S. Actinomycetes for marine drug discovery isolated from mangrove soils and plants in China. Mar. Drugs 2009, 7, 24–44. [Google Scholar] [CrossRef] [PubMed]
- Kim, M.; Oh, H.S.; Park, S.C.; Chun, J. Towards a taxonomic coherence between average nucleotide identity and 16S rRNA gene sequence similarity for species demarcation of prokaryotes. Int. J. Syst. Evol. Microbiol. 2014, 64 Pt 2, 346–351. [Google Scholar] [CrossRef] [PubMed]
- Reuter, S.; Gupta, S.C.; Chaturvedi, M.M.; Aggarwal, B.B. Oxidative stress, inflammation, and cancer: How are they linked? Free Radic. Biol. Med. 2010, 49, 1603–1616. [Google Scholar] [CrossRef]
- Ser, H.L.; Ab Mutalib, N.S.; Yin, W.F.; Chan, K.G.; Goh, B.H.; Lee, L.H. Evaluation of antioxidative and cytotoxic activities of Streptomyces pluripotens MUSC 137 isolated from mangrove soil in Malaysia. Front. Microbiol. 2015, 6, 1398. [Google Scholar] [CrossRef]
- Law, J.W.F.; Ser, H.L.; Duangjai, A.; Saokaew, S.; Bukhari, S.I.; Khan, T.M.; Lee, L.H. Streptomyces colonosanans sp. nov., a novel actinobacterium isolated from Malaysia mangrove soil exhibiting antioxidative activity and cytotoxic potential against human colon cancer cell lines. Front. Microbiol. 2017, 8, 877. [Google Scholar] [CrossRef]
- Stadtman, E.R.; Berlett, B.S. Reactive oxygen-mediated protein oxidation in aging and disease. Chem. Res. Toxicol. 1997, 10, 485–494. [Google Scholar] [CrossRef] [PubMed]
- Twentyman, P.R.; Luscombe, M. A study of some variables in a tetrazolium dye (MTT) based assay for cell growth and chemosensitivity. Br. J. Cancer 1987, 56, 279–285. [Google Scholar] [CrossRef] [PubMed]
- Ma, A.; Jiang, K.; Chen, B.; Chen, S.; Qi, X.; Lu, H.; Liu, J.; Zhou, X.; Gao, T.; Li, J.; et al. Evaluation of the anticarcinogenic potential of the endophyte, Streptomyces sp. LRE541 isolated from Lilium davidii var. unicolor (Hoog) Cotton. Microb. Cell Fact. 2021, 20, 217. [Google Scholar] [CrossRef] [PubMed]
- Almustafa, H.I.; Yehia, R.S. Antioxidant, Cytotoxic, and DNA Damage Protection Activities of Endophytic Fungus Pestalotiopsis neglecta Isolated from Ziziphus spina-christi Medicinal Plant. Microorganisms 2023, 11, 117. [Google Scholar] [CrossRef] [PubMed]
- Wang, H.; Sun, T.; Song, W.; Guo, X.; Cao, P.; Xu, X.; Shen, Y.; Zhao, J. Taxonomic Characterization and Secondary Metabolite Analysis of NEAU-wh3-1: An Embleya Strain with Antitumor and Antibacterial Activity. Microorganisms 2020, 8, 441. [Google Scholar] [CrossRef]
- Yu, S.; Dong, X.; Ji, H.; Yu, J.; Liu, A. Antitumor activity and immunomodulation mechanism of a novel polysaccharide extracted from Polygala tenuifolia Willd. evaluated by S180 cells and S180 tumor-bearing mice. Int. J. Biol. Macromol. 2021, 192, 546–556. [Google Scholar] [CrossRef]
- Manimaran, M.; Gopal, J.V.; Kannabiran, K. Antibacterial activity of Streptomyces sp. VITMK1 isolated from mangrove soil of Pichavaram, Tamil Nadu, India. Proc. Natl. Acad. Sci. Sect. B Biol. Sci. 2017, 87, 499–506. [Google Scholar] [CrossRef]
- Rhee, K.H. Isolation and characterization of Streptomyces sp. KH-614 producing anti-VRE (vancomycin-resistant enterococci) antibiotics. J. Gen. Appl. Microbiol. 2002, 48, 321–327. [Google Scholar] [CrossRef]
- Macherla, V.R.; Liu, J.; Bellows, C.; Teisan, S.; Nicholson, B.; Lam, K.S.; Potts, B.C. Glaciapyrroles A, B, and C, pyrrolosesquiterpenes from a Streptomyces sp. isolated from an Alaskan marine sediment. J. Nat. Prod. 2005, 68, 780–783. [Google Scholar] [CrossRef]
- Borthwick, A.D. 2,5-Diketopiperazines: Synthesis, reactions, medicinal chemistry, and bioactive natural products. Chem. Rev. 2012, 112, 3641–3716. [Google Scholar] [CrossRef]
- Nicholson, B.; Lloyd, G.K.; Miller, B.R.; Palladino, M.A.; Kiso, Y.; Hayashi, Y.; Neuteboom, S.T. NPI-2358 is a tubulin-depolymerizing agent: In-vitro evidence for activity as a tumor vascular-disrupting agent. Anticancer Drugs 2006, 17, 25–31. [Google Scholar] [CrossRef] [PubMed]
- Mangamuri, U.K.; Muvva, V.; Poda, S.; Manavathi, B.; Bhujangarao, C.; Yenamandra, V. Chemical characterization & bioactivity of diketopiperazine derivatives from the mangrove derived pseudonocardia endophytica. Egypt. J. Aquat. Res. 2016, 42, 169–175. [Google Scholar] [CrossRef]
- Bhattacharya, D.; Lai, T.K.; Saha, A.; Selvin, J.; Mukherjee, J. Structural elucidation and antimicrobial activity of a diketopiperazine isolated from a Bacillus sp. associated with the marine sponge Spongia officinalis. Nat. Prod. Res. 2021, 35, 2315–2323. [Google Scholar] [CrossRef] [PubMed]
- Othman, A.R.; Abdullah, N.; Ahmad, S.; Ismail, I.S.; Zakaria, M.P. Elucidation of in-vitro anti-inflammatory bioactive compounds isolated from Jatropha curcas L. plant root. BMC Complement. Altern. Med. 2015, 15, 11. [Google Scholar] [CrossRef]
- Thakur, R.S.; Ahirwar, B. A steroidal derivative from Trigonella foenum graecum L. that induces apoptosis in vitro and in vivo. J. Food Drug Anal. 2019, 27, 231–239. [Google Scholar] [CrossRef]
- Zhang, J.; Gan, Y.; Li, H.; Yin, J.; He, X.; Lin, L.; Huang, W. Inhibition of the CDK2 and Cyclin A complex leads to autophagic degradation of CDK2 in cancer cells. Nat. Commun. 2022, 13, 2835. [Google Scholar] [CrossRef]
- Goutam, J.; Sharma, G.; Tiwari, V.K.; Mishra, A.; Kharwar, R.N.; Ramaraj, V.; Koch, B. Isolation and Characterization of “Terrein” an Antimicrobial and Antitumor Compound from Endophytic Fungus Aspergillus terreus (JAS-2) Associated from Achyranthus aspera Varanasi, India. Front. Microbiol. 2018, 8, 1334. [Google Scholar] [CrossRef]
- Romano, S.; Jackson, S.A.; Patry, S.; Dobson, A.D.W. Extending the “One Strain Many Compounds” (OSMAC) Principle to Marine Microorganisms. Mar. Drugs 2018, 16, 244. [Google Scholar] [CrossRef]






| Carbon Source Utilization | Results |
|---|---|
| D-glucose | + |
| L-Rhamnose | + |
| Sucrose | + |
| D-fructose | + |
| Lactose | + |
| L-arabinose | + |
| Soluble starch | + |
| Maltose | + |
| D-mannitol | − |
| Glycerol | + |
| D-sorbitol | − |
| D-xylose | + |
| Xylitol | + |
| inulin | + |
| Biochemical | Results |
| NaCl range (%) | 0–10 |
| Starch hydrolysis | + |
| Degradation of cellulose | + |
| Gelatin liquefaction | + |
| H2S production | − |
| Production of melanoid pigment | + |
| Nitrate reduction | + |
| Concentration of Extract Streptomyces sp. Y009 (μg/mL) | Antioxidant Activities | |
|---|---|---|
| Superoxide Dismutase Activity (%) | DPPH Radical Scavenging Activity (%) | |
| 75 | 2.95 ± 0.61 | ND |
| 150 | 14.54 ± 2.48 | ND |
| 300 | 24.69 ± 3.36 | 1.76 ± 0.37 |
| 600 | 34.71 ± 4.51 | 14.72 ± 2.65 |
| 1200 | 47.48 ± 1.79 | 24.30 ± 3.34 |
| BHT (100 μg/mL) | ND | 32.16 |
| Extract | Cell Line, IC50 Values (µg/mL) | ||||||
|---|---|---|---|---|---|---|---|
| A549 | HepG2 | MCF-7 | HCT116 | CNE | HeLa | L-02 | |
| 5.61 | 8.38 | 34.99 | 40.50 | 42.45 | 72.15 | 47.95 | |
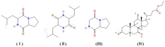
| No. | Constituents | Retention Time (min) | Molecular Formula | Molecular Weight | Similarity (%) | Area % |
|---|---|---|---|---|---|---|
| 1 | 4-Hydroxy-4-methylpentan-2-one | 4.68 | C6H12O2 | 116 | 95 | 3.93 |
| 2 | 2-Furanethanol, beta-methoxy-(S)- | 7.20 | C7H10O3 | 142 | 91 | 1.36 |
| 3 | Z,Z-2,5-Pentadecadien-1-ol | 14.06 | C15H28O | 224 | 90 | 0.85 |
| 4 | 3-Oxo-4-phenylbutyronitrile | 16.53 | C10H9NO | 159 | 95 | 7.34 |
| 5 | 1,5-dimethyl-1H-indole-3-carbaldehyde | 24.53 | C11H11NO | 173 | 90 | 1.28 |
| 6 | Hexahydropyrrolo[1,2-A]Pyrazine-1,4-Dione | 28.35 | C7H10N2O2 | 154 | 98 | 9.87 |
| 7 | 2-Methyl-1-hexadecanol | 28.7 | C17H36O | 257 | 92 | 2.96 |
| 8 | Cyclo(L-Pro-L-Val) | 29.30 | C10H16N2O2 | 196 | 87 | 1.90 |
| 9 | Hexadecanoic acid, methyl ester | 31.26 | C17H34O2 | 270 | 93 | 3.50 |
| 10 | 2,5-Piperazinedione,3,6-bis(2-methylpropyl)- | 31.60 | C12H22N2O2 | 226 | 96 | 10.35 |
| 11 | 7,10-Octadecadienoic acid methyl ester | 34.41 | C19H34O2 | 295 | 95 | 1.57 |
| 12 | 9-Hexadecenoic acid | 35.99 | C16H30O2 | 254 | 89 | 2.58 |
| 13 | 3-Isobutylhexahydropyrrolo[1,2-a]pyrazine-1,4-dione | 36.27 | C11H18N2O2 | 210 | 98 | 28.32 |
| 14 | Cyclodecasiloxane, eicosamethyl- | 42.50 | C20H60O10Si10 | 742 | 90 | 1.50 |
| 15 | Ethyl iso-allocholate | 44.15 | C26H44O5 | 437 | 91 | 9.48 |
Disclaimer/Publisher’s Note: The statements, opinions and data contained in all publications are solely those of the individual author(s) and contributor(s) and not of MDPI and/or the editor(s). MDPI and/or the editor(s) disclaim responsibility for any injury to people or property resulting from any ideas, methods, instructions or products referred to in the content. |
© 2024 by the authors. Licensee MDPI, Basel, Switzerland. This article is an open access article distributed under the terms and conditions of the Creative Commons Attribution (CC BY) license (https://creativecommons.org/licenses/by/4.0/).
Share and Cite
Yu, B.; Zeng, W.; Zhou, Y.; Li, N.; Liang, Z. Characterization and Bioactive Metabolite Profiling of Streptomyces sp. Y009: A Mangrove-Derived Actinomycetia with Anticancer and Antioxidant Potential. Microorganisms 2024, 12, 2300. https://doi.org/10.3390/microorganisms12112300
Yu B, Zeng W, Zhou Y, Li N, Liang Z. Characterization and Bioactive Metabolite Profiling of Streptomyces sp. Y009: A Mangrove-Derived Actinomycetia with Anticancer and Antioxidant Potential. Microorganisms. 2024; 12(11):2300. https://doi.org/10.3390/microorganisms12112300
Chicago/Turabian StyleYu, Bo, Wei Zeng, Yuting Zhou, Nan Li, and Zhiqun Liang. 2024. "Characterization and Bioactive Metabolite Profiling of Streptomyces sp. Y009: A Mangrove-Derived Actinomycetia with Anticancer and Antioxidant Potential" Microorganisms 12, no. 11: 2300. https://doi.org/10.3390/microorganisms12112300
APA StyleYu, B., Zeng, W., Zhou, Y., Li, N., & Liang, Z. (2024). Characterization and Bioactive Metabolite Profiling of Streptomyces sp. Y009: A Mangrove-Derived Actinomycetia with Anticancer and Antioxidant Potential. Microorganisms, 12(11), 2300. https://doi.org/10.3390/microorganisms12112300
