Guanethidine Enhances the Antibacterial Activity of Rifampicin Against Multidrug-Resistant Bacteria
Abstract
1. Introduction
2. Result
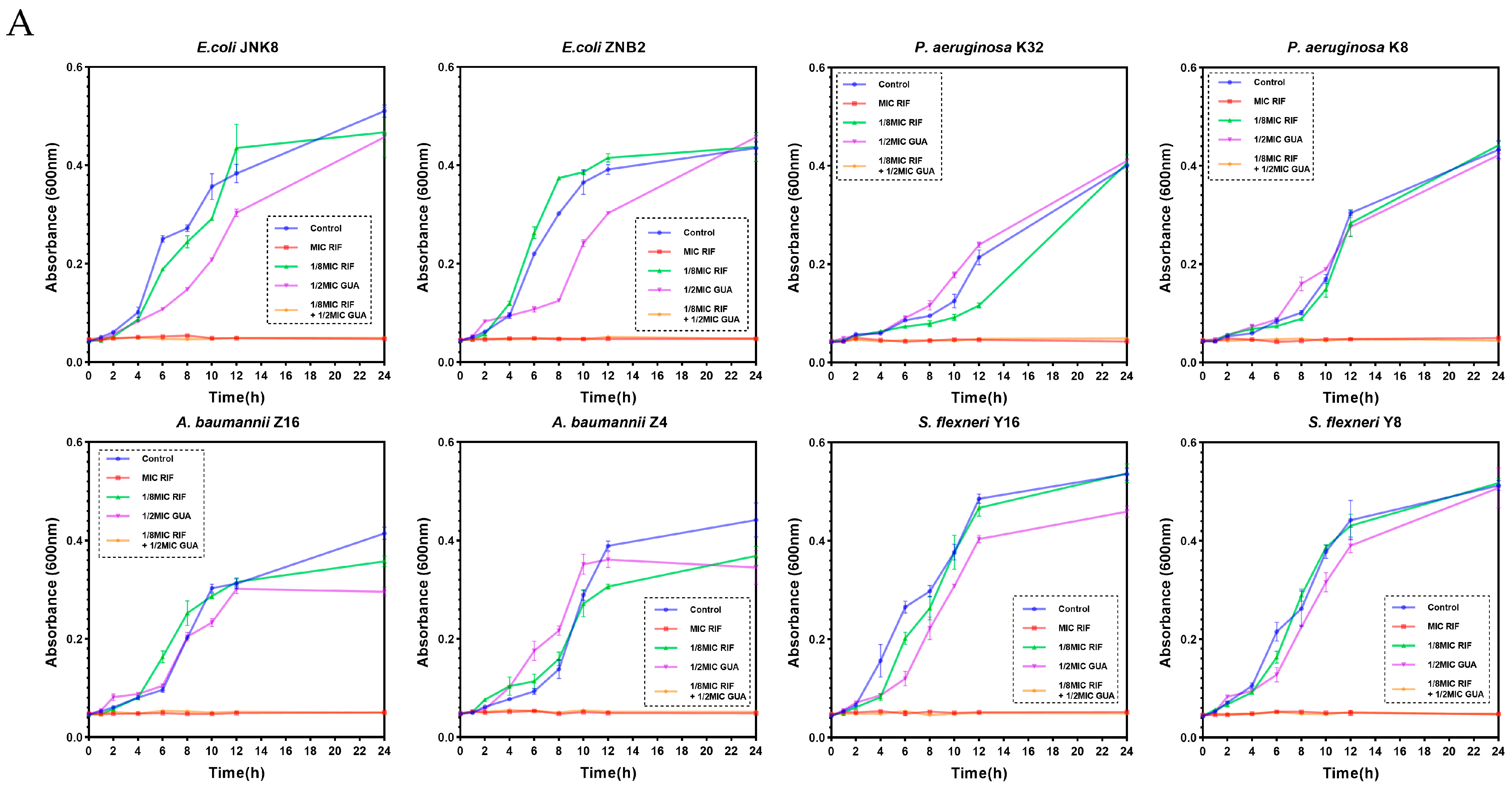
2.1. Guanethidine Synergistically Enhances the Antimicrobial Efficacy of Rifampicin Against Multidrug-Resistant Gram-Negative Bacteria
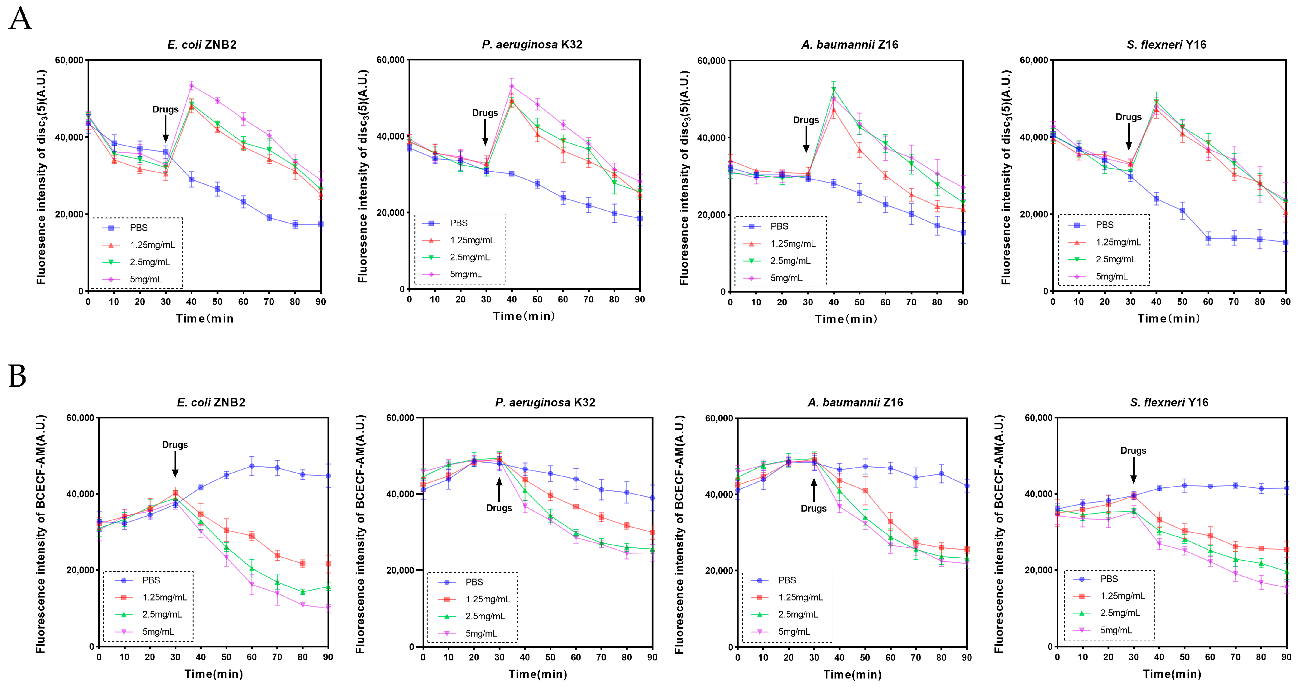
2.2. Guanethidine Affects the Integrity of Bacterial Cell Membranes
2.3. Mg2+ Affects the Synergistic Effect of Guanethidine and Rifampicin
2.4. Guanethidine Affects PMF
2.5. Guanethidine Leads to Increased Intracellular ROS Accumulation and Reduced ATP Levels in Bacteria
2.6. The Extracellular pH Affects the Synergistic Effect of Guanethidine with Rifampicin
2.7. Synergistic Action of Guanethidine and Rifampicin as Independent Molecules Without Complex Formation
2.8. The Combination of Guanethidine and Rifampicin Increased Survival and Decreased Bacterial Burden in Infected Animals
3. Discussion
4. Materials and Methods
4.1. Bacteria and Reagents
4.2. MIC Measurements
4.3. FIC Index Determination
4.4. Determination of Growth Curve and Time-Kill Curve
4.5. Fluorescence Assay
4.5.1. Outer Membrane Permeability Assay
4.5.2. Inner Membrane Permeability Assay
4.5.3. Membrane Potential Gradient Assay
4.5.4. pH Gradient Assay
4.5.5. Total ROS Measurement
4.6. ATP Determination
4.7. Mouse Intraperitoneal Infection Model
4.8. Measurement of Bacterial Load in the Organs of the Infected Mouse Model
4.9. Statistical Analysis
5. Conclusions
Author Contributions
Funding
Institutional Review Board Statement
Data Availability Statement
Conflicts of Interest
References
- Chinemerem, N.D.; Ugwu, M.C.; Oliseloke, A.C.; Al-Ouqaili, M.; Chinedu, I.J.; Victor, C.U.; Saki, M. Antibiotic resistance: The challenges and some emerging strategies for tackling a global menace. J. Clin. Lab. Anal. 2022, 36, e24655. [Google Scholar] [CrossRef] [PubMed]
- Mancuso, G.; Midiri, A.; Gerace, E.; Biondo, C. Bacterial Antibiotic Resistance: The Most Critical Pathogens. Pathogens 2021, 10, 1310. [Google Scholar] [CrossRef] [PubMed]
- Ardal, C.; Balasegaram, M.; Laxminarayan, R.; McAdams, D.; Outterson, K.; Rex, J.H.; Sumpradit, N. Antibiotic development —Economic, regulatory and societal challenges. Nat. Rev. Microbiol. 2020, 18, 267–274. [Google Scholar] [CrossRef]
- Poulikakos, P.; Tansarli, G.S.; Falagas, M.E. Combination antibiotic treatment versus monotherapy for multidrug-resistant, extensively drug-resistant, and pandrug-resistant Acinetobacter infections: A systematic review. Eur. J. Clin. Microbiol. Infect. Dis. 2014, 33, 1675–1685. [Google Scholar] [CrossRef]
- Bos, M.P.; Robert, V.; Tommassen, J. Biogenesis of the gram-negative bacterial outer membrane. Annu. Rev. Microbiol. 2007, 61, 191–214. [Google Scholar] [CrossRef]
- Olaitan, A.O.; Morand, S.; Rolain, J.-M. Mechanisms of polymyxin resistance: Acquired and intrinsic resistance in bacteria. Front. Microbiol. 2014, 5, 643. [Google Scholar] [CrossRef]
- Wang, Y.; Zhang, R.; Li, J.; Wu, Z.; Yin, W.; Schwarz, S.; Tyrrell, J.M.; Zheng, Y.; Wang, S.; Shen, Z.; et al. Comprehensive resistome analysis reveals the prevalence of NDM and MCR-1 in Chinese poultry production. Nat. Microbiol. 2017, 2, 16260. [Google Scholar] [CrossRef]
- Yin, W.; Ling, Z.; Dong, Y.; Qiao, L.; Shen, Y.; Liu, Z.; Wu, Y.; Li, W.; Zhang, R.; Walsh, T.R.; et al. Mobile Colistin Resistance Enzyme MCR-3 Facilitates Bacterial Evasion of Host Phagocytosis. Adv. Sci. 2021, 8, e2101336. [Google Scholar] [CrossRef]
- Durand, G.A.; Raoult, D.; Dubourg, G. Antibiotic discovery: History, methods and perspectives. Int. J. Antimicrob. Agents. 2018, 53, 371–382. [Google Scholar] [CrossRef]
- Shore, C. A Scientific Roadmap for Antibiotic Discovery. Pew Charit. Trust. 2016. Available online: https://www.researchgate.net/publication/316046787 (accessed on 4 September 2024).
- Dhanda, G.; Acharya, Y.; Haldar, J. Antibiotic Adjuvants: A Versatile Approach to Combat Antibiotic Resistance. ACS Omega 2023, 8, 10757–10783. [Google Scholar] [CrossRef] [PubMed]
- Douafer, H.; Andrieu, V.; Phanstiel, O.; Brunel, J.M. Antibiotic adjuvants: Make antibiotics great again! J. Med. Chem. 2019, 62, 8665–8681. Available online: https://pubs.acs.org/doi/10.1021/acs.jmedchem.8b01781 (accessed on 4 September 2024). [CrossRef] [PubMed]
- Kumar, V.; Yasmeen, N.; Pandey, A.; Chaudhary, A.A.; Alawam, A.S.; Rudayni, H.A.; Islam, A.; Lakhawat, S.S.; Sharma, P.K.; Shahid, M. Antibiotic adjuvants: Synergistic tool to combat multi-drug resistant pathogens. Front. Cell. Infect. Microbiol. 2023, 13, 1293633. [Google Scholar] [CrossRef] [PubMed]
- Zhu, M.; Tse, M.W.; Weller, J.; Chen, J.; Blainey, P.C. The future of antibiotics begins with discovering new combinations. Ann. N. Y. Acad. Sci. 2021, 1496, 82–96. [Google Scholar] [CrossRef]
- Tyers, M.; Wright, G.D. Drug combinations: A strategy to extend the life of antibiotics in the 21st century. Nat. Rev. Microbiol. 2019, 17, 141–155. [Google Scholar] [CrossRef]
- Perry, C.M.; Markham, A. Piperacillin/tazobactam: An updated review of its use in the treatment of bacterial infections. Drugs 1999, 57, 805–843. [Google Scholar] [CrossRef]
- Fusier, I.; de Curzon, O.P.; Touratier, S.; Escaut, L.; Lafaurie, M.; Fournier, S.; Sinègre, M.; Lechat, P.; Vittecoq, D. Amoxicillin–clavulanic acid prescriptions at the Greater Paris University Hospitals (AP–HP). Med. Mal. Infect. 2017, 47, 42–49. [Google Scholar] [CrossRef]
- Liu, Y.; Jia, Y.; Yang, K.; Li, R.; Xiao, X.; Zhu, K.; Wang, Z. Metformin Restores Tetracyclines Susceptibility against Multidrug Resistant Bacteria. Adv. Sci. 2020, 7, 1902227. [Google Scholar] [CrossRef]
- Masadeh, M.M.; Alzoubi, K.H.; Aburashed, Z.O. Metformin as a Potential Adjuvant Antimicrobial Agent Against Multidrug Resistant Bacteria. Clin. Pharmacol. Adv. Appl. 2021, 13, 83–90. [Google Scholar] [CrossRef]
- Sun, H.; Zhang, Q.; Wang, R.; Wang, H.; Wong, Y.-T.; Wang, M.; Hao, Q.; Yan, A.; Kao, R.Y.-T.; Ho, P.-L.; et al. Resensitizing carbapenem- and colistin-resistant bacteria to antibiotics using auranofin. Nat. Commun. 2020, 11, 5263. [Google Scholar] [CrossRef]
- Kim, H.-R.; Eom, Y.-B. Auranofin promotes antibacterial effect of doripenem against carbapenem-resistant Acinetobacter baumannii. J. Appl. Microbiol. 2022, 133, 1422–1433. [Google Scholar] [CrossRef] [PubMed]
- Schonell, M.; Dorken, E.; Grzybowski, S. Rifampin. Can. Med. Assoc. J. 1972, 106, 783–786. [Google Scholar] [PubMed]
- Alsayyed, B.; Adam, H.M. Rifampin. Pediatr. Rev. 2004, 25, 216–217. [Google Scholar] [CrossRef]
- Hardie, K.R.; Fenn, S.J. JMM profile: Rifampicin: A broad-spectrum antibiotic. J. Med. Microbiol. 2022, 71, 1–5. [Google Scholar] [CrossRef]
- Belay, W.Y.; Getachew, M.; Tegegne, B.A.; Teffera, Z.H.; Dagne, A.; Zeleke, T.K.; Abebe, R.B.; Gedif, A.A.; Fenta, A.; Yirdaw, G.; et al. Mechanism of antibacterial resistance, strategies and next-generation antimicrobials to contain antimicrobial resistance: A review. Front. Pharmacol. 2024, 15, 1444781. [Google Scholar] [CrossRef]
- Adams, R.A.; Leon, G.; Miller, N.M.; Reyes, S.P.; Thantrong, C.H.; Thokkadam, A.M.; Lemma, A.S.; Sivaloganathan, D.M.; Wan, X.; Brynildsen, M.P. Rifamycin antibiotics and the mechanisms of their failure. J. Antibiot. 2021, 74, 786–798. [Google Scholar] [CrossRef]
- Goldstein, B.P. Resistance to rifampicin: A review. J. Antibiot. 2014, 67, 625–630. [Google Scholar] [CrossRef]
- Zhang, M.-N.; Zhao, X.-O.; Cui, Q.; Zhu, D.-M.; Wisal, M.A.; Yu, H.-D.; Kong, L.-C.; Ma, H.-X. Famotidine Enhances Rifampicin Activity against Acinetobacter baumannii by Affecting OmpA. J. Bacteriol. 2023, 205, 1–13. [Google Scholar] [CrossRef]
- Koch-Weser, J.; Woosley, R.L.; Nies, A.S. Guanethidine. N. Engl. J. Med. 1976, 295, 1053–1057. [Google Scholar] [CrossRef]
- Horrevorts, A.M.; Michel, M.F.; Kerrebijn, K.F. Antibiotic interaction: Interpretation of fractional inhibitory and fractional bactericidal concentration indices. Eur. J. Clin. Microbiol. Infect. Dis. 1987, 6, 502–503. [Google Scholar] [CrossRef]
- M100-S11, Performance standards for antimicrobial susceptibility testing. Clin. Microbiol. Newsl. 2011, 23, 49. [CrossRef]
- Lepe, J.A.; García-Cabrera, E.; Gil-Navarro, M.V.; Aznar, J. Rifampin breakpoint for Acinetobacter baumannii based on pharmacokinetic-pharmacodynamic models with Monte Carlo simulation. Rev. Esp. Quimioter. 2012, 25, 134–138. [Google Scholar]
- Dias, C.; Rauter, A.P. Membrane-targeting antibiotics: Recent developments outside the peptide space. Futur. Med. Chem. 2019, 11, 211–228. [Google Scholar] [CrossRef]
- Epand, R.M.; Walker, C.; Epand, R.F.; Magarvey, N.A. Molecular mechanisms of membrane targeting antibiotics. Biochim. Biophys. Acta Biomembr. 2016, 1858, 980–987. [Google Scholar] [CrossRef]
- Clifton, L.A.; Skoda, M.W.A.; Le Brun, A.P.; Ciesielski, F.; Kuzmenko, I.; Holt, S.A.; Lakey, J.H. Effect of divalent cation removal on the structure of gram-negative bacterial outer membrane models. Langmuir 2015, 31, 404–412. [Google Scholar] [CrossRef]
- Lam, N.H.; Ma, Z.; Ha, B.-Y. Electrostatic modification of the lipopolysaccharide layer: Competing effects of divalent cations and polycationic or polyanionic molecules. Soft Matter 2014, 10, 7528–7544. [Google Scholar] [CrossRef]
- Ghai, I. A Barrier to Entry: Examining the Bacterial Outer Membrane and Antibiotic Resistance. Appl. Sci. 2023, 13, 4238. [Google Scholar] [CrossRef]
- Mitchell, A.M.; Silhavy, T.J. Envelope stress responses: Balancing damage repair and toxicity. Nat. Rev. Microbiol. 2019, 17, 417–428. [Google Scholar] [CrossRef]
- Biquet-Bisquert, A.; Carrio, B.; Meyer, N.; Fernandes, T.F.D.; Abkarian, M.; Seduk, F.; Magalon, A.; Nord, A.L.; Pedaci, F. Spatiotemporal dynamics of the proton motive force on single bacterial cells. Sci. Adv. 2024, 10, eadl5849. [Google Scholar] [CrossRef] [PubMed]
- Kaila, V.R.I.; Wikström, M. Architecture of bacterial respiratory chains. Nat. Rev. Microbiol. 2021, 19, 319–330. [Google Scholar] [CrossRef] [PubMed]
- Berry, B.J.; Trewin, A.J.; Amitrano, A.M.; Kim, M.; Wojtovich, A.P. Use the Protonmotive Force: Mitochondrial Uncoupling and Reactive Oxygen Species. J. Mol. Biol. 2018, 430, 3873–3891. [Google Scholar] [CrossRef] [PubMed]
- Russell, J.B. Effect of extracellular pH on growth and proton motive force of Bacteroides succinogenes, a cellulolytic ruminal bacterium. Appl. Environ. Microbiol. 1987, 53, 2379–2383. [Google Scholar] [CrossRef] [PubMed]
- Woosley, R.L.; Nies, A.S. Guanethidine. J. Tenn. Med. Assoc. 1977, 70, 26–28. [Google Scholar] [PubMed]
- Sharma, N.; Chhillar, A.K.; Dahiya, S.; Choudhary, P.; Punia, A.; Gulia, P. Antibiotic Adjuvants: A Promising Approach to Combat Multidrug Resistant Bacteria. Curr. Drug Targets 2021, 22, 1334–1345. [Google Scholar] [CrossRef]
- Yang, X.; Li, X.; Qiu, S.; Liu, C.; Chen, S.; Xia, H.; Zeng, Y.; Shi, L.; Chen, J.; Zheng, J.; et al. Global antimicrobial resistance and antibiotic use in COVID-19 patients within health facilities: A systematic review and meta-analysis of aggregated participant data. J. Infect. 2024, 89, 106183. [Google Scholar] [CrossRef]
- Langford, B.J.; Soucy, J.-P.R.; Leung, V.; So, M.; Kwan, A.T.; Portnoff, J.S.; Bertagnolio, S.; Raybardhan, S.; MacFadden, D.R.; Daneman, N. Antibiotic resistance associated with the COVID-19 pandemic: A systematic review and meta-analysis. Clin. Microbiol. Infect. 2023, 29, 302–309. [Google Scholar] [CrossRef]
- Sousa, M.C. New antibiotics target the outer membrane of bacteria. Nature 2019, 576, 389–390. [Google Scholar] [CrossRef]
- May, K.L.; Grabowicz, M. The bacterial outer membrane is an evolving antibiotic barrier. Proc. Natl. Acad. Sci. USA 2018, 115, 8852–8854. [Google Scholar] [CrossRef]
- MacNair, C.R.; Brown, E.D. Outer Membrane Disruption Overcomes Intrinsic, Acquired, and Spontaneous Antibiotic Resistance. mBio 2020, 11, e01615–e01620. [Google Scholar] [CrossRef]
- Nang, S.C.; Azad, M.A.K.; Velkov, T.; Zhou, Q.; Li, J. Rescuing the Last-Line Polymyxins: Achievements and Challenges. Pharmacol. Rev. 2021, 73, 679–728. [Google Scholar] [CrossRef]
- Liu, Y.; Li, R.; Xiao, X.; Wang, Z. Antibiotic adjuvants: An alternative approach to overcome multi-drug resistant Gram-negative bacteria. Crit. Rev. Microbiol. 2019, 45, 301–314. [Google Scholar] [CrossRef] [PubMed]
- Kim, S.-H.; Semenya, D.; Castagnolo, D. Antimicrobial drugs bearing guanidine moieties: A review. Eur. J. Med. Chem. 2021, 216, 113293. [Google Scholar] [CrossRef] [PubMed]
- Zamperini, C.; Maccari, G.; Deodato, D.; Pasero, C.; D’agostino, I.; Orofino, F.; De Luca, F.; Dreassi, E.; Docquier, J.D.; Botta, M. Identification, synthesis and biological activity of alkyl-guanidine oligomers as potent antibacterial agents. Sci. Rep. 2017, 7, 8251. [Google Scholar] [CrossRef] [PubMed]
- Moussa, A. Two Functional Guanidine Groups Are Responsible for the Biological Activity of Streptomycin and Functionally Equivalent Molecules. J. Chromatogr. Sep. Tech. 2014, 5, 1–3. Available online: https://www.longdom.org/open-access/two-functional-guanidine-groups-are-responsible-for-the-biological-activity-of-streptomycin-and-functionally-equivalent-molecules-2157-7064.1000e126.pdf (accessed on 4 September 2024). [CrossRef]
- Saxena, D.; Maitra, R.; Bormon, R.; Czekanska, M.; Meiers, J.; Titz, A.; Verma, S.; Chopra, S. Tackling the outer membrane: Facilitating compound entry into Gram-negative bacterial pathogens. NPJ Antimicrob. Resist. 2023, 1, 17. [Google Scholar] [CrossRef]
- Ding, X.; Yang, C.; Moreira, W.; Yuan, P.; Periaswamy, B.; de Sessions, P.F.; Zhao, H.; Tan, J.; Lee, A.; Ong, K.X.; et al. A Macromolecule Reversing Antibiotic Resistance Phenotype and Repurposing Drugs as Potent Antibiotics. Adv. Sci. 2020, 7, 1–12. [Google Scholar] [CrossRef]
- Ramirez, D.M.; Ramirez, D.; Arthur, G.; Zhanel, G.; Schweizer, F. Guanidinylated Polymyxins as Outer Membrane Permeabilizers Capable of Potentiating Rifampicin, Erythromycin, Ceftazidime and Aztreonam against Gram-Negative Bacteria. Antibiotics 2022, 11, 1277. [Google Scholar] [CrossRef]
- Song, M.; Liu, Y.; Huang, X.; Ding, S.; Wang, Y.; Shen, J.; Zhu, K. A broad-spectrum antibiotic adjuvant reverses multidrug-resistant Gram-negative pathogens. Nat. Microbiol. 2020, 5, 1040–1050. [Google Scholar] [CrossRef]
- Ejim, L.; A Farha, M.; Falconer, S.B.; Wildenhain, J.; Coombes, B.K.; Tyers, M.; Brown, E.D.; Wright, G.D. Combinations of antibiotics and nonantibiotic drugs enhance antimicrobial efficacy. Nat. Chem. Biol. 2011, 7, 348–350. [Google Scholar] [CrossRef]
- Lohner, K.; Blondelle, S.E. Molecular mechanisms of membrane perturbation by antimicrobial peptides and the use of biophysical studies in the design of novel peptide antibiotics. Comb. Chem. High Throughput Screen. 2005, 8, 241–256. [Google Scholar] [CrossRef]
- Hall, M.J.; Middleton, R.F.; Westmacott, D. The fractional inhibitory concentration (FIC) index as a measure of synergy. J. Antimicrob. Chemother. 1983, 11, 427–433. [Google Scholar] [CrossRef] [PubMed]
- Liu, Y.; Jia, Y.; Yang, K.; Li, R.; Xiao, X.; Wang, Z. Anti-HIV agent azidothymidine decreases Tet(X)-mediated bacterial resistance to tigecycline in Escherichia coli. Commun. Biol. 2020, 3, 162. [Google Scholar] [CrossRef] [PubMed]
- Zhao, X.; Zhang, M.; Muhammad, I.; Cui, Q.; Zhang, H.; Jia, Y.; Xu, Q.; Kong, L.; Ma, H. An Antibacterial Peptide with High Resistance to Trypsin Obtained by Substituting d-Amino Acids for Trypsin Cleavage Sites. Antibiotics 2021, 10, 1465. [Google Scholar] [CrossRef] [PubMed]












| Strains | Source | Antibiotics (MIC μg/mL) | |||||||||
|---|---|---|---|---|---|---|---|---|---|---|---|
| Rifampicin | Tetracycline | Ampicillin | Vancomycin | Colistin | Enrofloxacin | Azithromycin | Florfenicol | Gentamicin | Sulfamonomethoxine Sodium | ||
| E. coli JNB2 | Pig | 8/R | 64/R | 256/R | 16/R | 1/S | 8/R | 0.5/S | 16/R | 4/I | 256/R |
| E. coli ZNB2 | Faeces | 128/R | 128/R | 128/R | 16/R | 8/R | 1/S | 1/S | 128/R | 2/S | 256/R |
| P. aeruginosa K32 | Chicken | 32/R | 8/R | 128/R | 8/R | 1/S | 2/I | 0.5/S | 4/I | 4/I | 64/R |
| P. aeruginosa K8 | Water | 8/R | 16/R | 128/R | 8/R | 0.5/S | 2/I | 1/S | 4/I | 8/R | 128/R |
| A. baumannii Z16 | Chicken | 16/R | 128/R | 128/R | 8/R | 0.5/S | 4/I | 0.5/S | 16/R | 4/I | 256/R |
| A. baumannii Z4 | Dog | 8/R | 32/R | 128/R | 8/R | 1/S | 2/I | 0.5/S | 4/I | 16/R | 64/R |
| S. flexneri Y16 | Water | 16/R | 256/R | 256/R | 16/R | 4/R | 1/S | 1/S | 32/R | 4/I | 128/R |
| S. flexneri Y8 | Faeces | 8/R | 128/R | 128/R | 8/R | 0.5/S | 1/S | 0.5/S | 2/S | 4/I | 128/R |
Disclaimer/Publisher’s Note: The statements, opinions and data contained in all publications are solely those of the individual author(s) and contributor(s) and not of MDPI and/or the editor(s). MDPI and/or the editor(s) disclaim responsibility for any injury to people or property resulting from any ideas, methods, instructions or products referred to in the content. |
© 2024 by the authors. Licensee MDPI, Basel, Switzerland. This article is an open access article distributed under the terms and conditions of the Creative Commons Attribution (CC BY) license (https://creativecommons.org/licenses/by/4.0/).
Share and Cite
Zhao, X.; Zhang, Z.; Liu, L.; Wang, D.; Zhang, X.; Zhao, L.; Zhao, Y.; Jin, X.; Wang, L.; Liu, X. Guanethidine Enhances the Antibacterial Activity of Rifampicin Against Multidrug-Resistant Bacteria. Microorganisms 2024, 12, 2207. https://doi.org/10.3390/microorganisms12112207
Zhao X, Zhang Z, Liu L, Wang D, Zhang X, Zhao L, Zhao Y, Jin X, Wang L, Liu X. Guanethidine Enhances the Antibacterial Activity of Rifampicin Against Multidrug-Resistant Bacteria. Microorganisms. 2024; 12(11):2207. https://doi.org/10.3390/microorganisms12112207
Chicago/Turabian StyleZhao, Xiaoou, Zhendu Zhang, Lizai Liu, Duojia Wang, Xin Zhang, Luobing Zhao, Yunhui Zhao, Xiangshu Jin, Lei Wang, and Xiaoxiao Liu. 2024. "Guanethidine Enhances the Antibacterial Activity of Rifampicin Against Multidrug-Resistant Bacteria" Microorganisms 12, no. 11: 2207. https://doi.org/10.3390/microorganisms12112207
APA StyleZhao, X., Zhang, Z., Liu, L., Wang, D., Zhang, X., Zhao, L., Zhao, Y., Jin, X., Wang, L., & Liu, X. (2024). Guanethidine Enhances the Antibacterial Activity of Rifampicin Against Multidrug-Resistant Bacteria. Microorganisms, 12(11), 2207. https://doi.org/10.3390/microorganisms12112207

