Biocalcifying Potential of Ureolytic Bacteria Isolated from Soil for Biocementation and Material Crack Repair
Abstract
:1. Introduction
2. Materials and Methods
2.1. Sampling Site and Sample Collection
2.2. Isolation and Screening for High-Yield Urease Producing Bacteria
2.3. Bacterial Identification
2.4. Determination of Bacterial Growth and Urease Assays
2.5. Determination of EPS Formation
2.6. Determination of Calcium Precipitation Activity
2.7. Material-Crack Filling on Sample Mortar
2.8. Accelerated Storage Testing of Freeze-Dried Bacterial Endospores
2.9. Statistical Analysis
3. Results
3.1. Bacterial Isolation and Identification
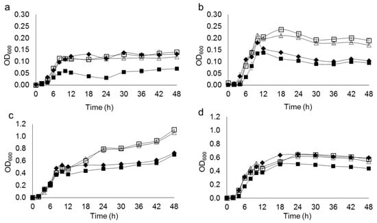
3.2. Bacterial Growth, Urease Activity and EPS Formation
3.3. CaCO3 Precipitation and Characterization
3.4. Material Crack Filling and Crystallization
3.5. Accelerated Storage Test of Bacterial Endospores
4. Discussion
5. Conclusions
Supplementary Materials
Author Contributions
Funding
Institutional Review Board Statement
Informed Consent Statement
Data Availability Statement
Conflicts of Interest
References
- Chuo, S.C.; Mohamed, S.F.; Mohd Setapar, S.H.; Ahmad, A.; Jawaid, M.; Wani, W.A.; Yaqoob, A.A.; Mohamad Ibrahim, M.N. Insights into the current trends in the utilization of bacteria for microbially induced calcium carbonate precipitation. Materials 2020, 13, 4993. [Google Scholar] [CrossRef] [PubMed]
- Dhami, N.K.; Reddy, M.S.; Mukherjee, A. Biomineralization of calcium carbonate polymorphs by the bacterial strains isolated from calcareous sites. J. Microbiol. Biotechnol. 2013, 23, 707–714. [Google Scholar] [CrossRef] [PubMed] [Green Version]
- Van Mullem, T.; Gruyaert, E.; Caspeele, R.; De Belie, N. First large scale application with self-healing concrete in Belgium: Analysis of the laboratory control tests. Materials 2020, 13, 997. [Google Scholar] [CrossRef] [PubMed] [Green Version]
- Zheng, T.; Su, Y.; Zhang, X.; Zhou, H.; Qian, C. Effect and mechanism of encapsulation-based spores on self-healing concrete at different curing ages. ACS Appl. Mater. Interfaces 2020, 12, 52415–52432. [Google Scholar] [CrossRef] [PubMed]
- Gorospe, C.M. Effects of different calcium salts on calcium carbonate crystal formation by Sporosarcina pasteurii KCTC 3558. Biotechnol. Bioprocess. Eng. 2013, 18, 903–908. [Google Scholar] [CrossRef]
- Vijay, K.; Murmu, M.; Deo, S.V. Bacteria based self-healing concrete—A review. Constr. Build. Mater. 2017, 152, 1008–1014. [Google Scholar] [CrossRef]
- Wang, J.; Ersan, Y.C.; Boon, N.; De Belie, N. Application of microorganisms in concrete: A promising sustainable strategy to improve concrete durability. Appl. Microbiol. Biotechnol. 2016, 100, 2993–3007. [Google Scholar] [CrossRef]
- Jiang, L.; Jia, G.; Wang, Y.; Li, Z. Optimization of sporulation and germination conditions of functional bacteria for concrete crack-healing and evaluation of their repair capacity. ACS Appl. Mater. Interfaces. 2020, 12, 10938–10948. [Google Scholar] [CrossRef]
- Pungrasmi, W.; Intarasoontron, J.; Jongvivatsakul, P.; Likitlersuang, S. Evaluation of microencapsulation techniques for MICP bacterial spores applied in self-healing concrete. Sci. Rep. 2019, 9, 12484. [Google Scholar] [CrossRef]
- Connolly, J.; Kaufman, M.; Rothman, A.; Gupta, R.; Redden, G.; Schuster, M.; Colwell, F.; Gerlach, R. Construction of two ureolytic model organisms for the study of microbially induced calcium carbonate precipitation. J. Microbiol. Methods 2013, 94, 290–299. [Google Scholar] [CrossRef] [Green Version]
- Dhami, N.K.; Reddy, M.S.; Mukherjee, A. Biomineralization of calcium carbonates and their engineered applications: A review. Front. Microbiol. 2013, 4, 314. [Google Scholar] [CrossRef] [Green Version]
- Seifan, M.; Samani, A.K.; Berenjian, A. Bioconcrete: Next generation of self-healing concrete. Appl. Microbiol. Biotechnol. 2016, 100, 2591–2602. [Google Scholar] [CrossRef] [Green Version]
- Zhang, J.L.; Wang, C.G.; Wang, Q.L.; Feng, J.L.; Pan, W.; Zheng, X.C.; Liu, B.; Han, N.X.; Xing, F.; Deng, X. A binary concrete crack self-healing system containing oxygen-releasing tablet and bacteria and its Ca(2+)-precipitation performance. Appl. Microbiol. Biotechnol. 2016, 100, 10295–10306. [Google Scholar] [CrossRef]
- Chittoori, B.C.S.; Rahman, T.; Burbank, M. Microbial-facilitated calcium carbonate precipitation as a shallow stabilization alternative for expansive soil treatment. Geotechnics 2021, 1, 558–572. [Google Scholar] [CrossRef]
- Gomez, M.G.; Graddy, C.M.R.; DeJong, J.T.; Nelson, D.C. Biogeochemical changes during bio-cementation mediated by stimulated and augmented ureolytic microorganisms. Sci. Rep. 2019, 9, 11517. [Google Scholar] [CrossRef] [Green Version]
- Danjo, T.; Kawasaki, S. Microbially induced sand cementation method using Pararhodobacter sp. strain SO1, inspired by beachrock formation mechanism. Mater. Trans. 2016, 57, 428–437. [Google Scholar] [CrossRef] [Green Version]
- Gowthaman, S.; Iki, T.; Nakashima, K.; Ebina, K.; Kawasaki, S. Feasibility study for slope soil stabilization by microbial induced carbonate precipitation (MICP) using indigenous bacteria isolated from cold subarctic region. Appl. Sci. 2019, 1, 1480. [Google Scholar] [CrossRef] [Green Version]
- Gowthaman, S.; Mitsuyama, S.; Nakashima, K.; Komatsu, M.; Kawasaki, S. Biogeotechnical approach for slope soil stabilization using locally isolated bacteria and inexpensive low-grade chemicals: A feasibility study on Hokkaido expressway soil, Japan. Soils Found. 2019, 59, 484–499. [Google Scholar] [CrossRef]
- Arpajirakul, S.; Pungrasmi, W.; Likitlersuang, S. Efficiency of microbially-induced calcite precipitation in natural clays for ground improvement. Constr. Build. Mater. 2021, 282, 122722. [Google Scholar] [CrossRef]
- Omoregie, A.I.; Palombo, E.A.; Ong, D.E.L.; Nissom, P.M. Biocementation of sand by Sporosarcina pasteurii strain and technical-grade cementation reagents through surface percolation treatment method. Constr. Build. Mater. 2019, 228, 116828. [Google Scholar] [CrossRef]
- Vashisht, R.; Attri, S.; Sharma, D.; Shukla, A.; Goel, G. Monitoring biocalcification potential of Lysinibacillus sp. isolated from alluvial soils for improved compressive strength of concrete. Microbiol. Res. 2018, 207, 226–231. [Google Scholar] [CrossRef]
- Son, H.M.; Kim, H.Y.; Park, S.M.; Lee, H.K. Ureolytic/non-ureolytic bacteria co-cultured self-healing agent for cementitious materials crack repair materials. Materials 2018, 11, 782. [Google Scholar] [CrossRef] [Green Version]
- Kim, H.J.; Eom, H.J.; Park, C.; Jung, J.; Shin, B.; Kim, W.; Chung, N.; Choi, I.G.; Park, W. Calcium carbonate precipitation by Bacillus and Sporosarcina strains isolated from concrete and analysis of the bacterial community of concrete. J. Microbiol. Biotechnol. 2016, 26, 540–548. [Google Scholar] [CrossRef] [Green Version]
- Wang, J.; Mignon, A.; Snoeck, D.; Wiktor, V.; Van Vliergerghe, S.; Boon, N.; De Belie, N. Application of modified-alginate encapsulated carbonate producing bacteria in concrete: A promising strategy for crack self-healing. Front. Microbiol. 2015, 6, 1088. [Google Scholar] [CrossRef] [Green Version]
- Lee, Y.S.; Kim, H.J.; Park, W. Non-ureolytic calcium carbonate precipitation by Lysinibacillus sp. YS11 isolated from the rhizosphere of Miscanthus sacchariflorus. J. Microbiol. 2017, 55, 440–447. [Google Scholar] [CrossRef]
- Iamchaturapatr, J.; Piriyakul, K.; Ketklin, T.; Di Emidio, G.; Petcherdchoo, A. Sandy soil improvement using MICP-based urease enzymatic acceleration method monitored by real-time system. Adv. Mater. Sci. Eng. 2021, 2021, 6905802. [Google Scholar] [CrossRef]
- Yoon, S.H.; Ha, S.M.; Kwon, S.; Lim, J.; Kim, Y. Introducing EzBioCloud: A taxonomically united database of 16S rRNA gene sequences and whole-genome assemblies. Int. J. Syst. Evol. Microbiol. 2017, 67, 1613–1617. [Google Scholar] [CrossRef]
- Saitou, N.; Nei, M. The neighbor-joining method: A new method for reconstructing phylogenetic trees. Mol. Biol. Evol. 1987, 4, 406–425. [Google Scholar]
- Tamura, K.; Nei, M.; Kumar, S. Prospects for inferring very large phylogenies by using the neighbor-joining method. Proc. Natl. Acad. Sci. USA 2004, 101, 11030–11035. [Google Scholar] [CrossRef] [Green Version]
- Tamura, K.; Stecher, G.; Kumar, S. MEGA 11: Molecular Evolutionary Genetics Analysis Version 11. Mol. Biol. Evol. 2021, 38, 3022–3027. [Google Scholar] [CrossRef]
- Felsenstein, J. onfidence limits on phylogenies: An approach using the bootstrap. Evolution 1985, 39, 783–791. [Google Scholar] [CrossRef]
- Fukano, T.; Gomi, M.; Osaki, Y.; Morikawa, M. Isolation and characterization of an early colonizing Rhizobium sp. R8 from a household toilet bowl. Biosci. Biotechnol. Biochem. 2015, 79, 1207–1215. [Google Scholar] [CrossRef] [Green Version]
- Ahmed, I.; Yokota, A.; Yamazoe, A.; Fujiwara, T. Proposal of Lysinibacillus boronitolerans gen. nov. sp. nov., and transfer of Bacillus fusiformis to Lysinibacillus fusiformis comb. nov. and Bacillus sphaericus to Lysinibacillus sphaericus comb. nov. Int. J. Syst. Evol. Microbiol. 2007, 57, 1117–1125. [Google Scholar] [CrossRef] [Green Version]
- Desmons, S.; Krhouz, H.; Evrard, P.; Thonart, P. Improvement of lactic cell production. Appl. Biochem. Biotechnol. 1998, 70, 513–526. [Google Scholar] [CrossRef]
- Stackebrandt, E.; Ebers, J. Taxonomic parameters revisited: Tarnished gold standards. Microbiol. Today 2006, 33, 152–155. [Google Scholar]
- Zhang, J.L.; Wu, R.S.; Li, Y.M.; Zhong, J.Y.; Deng, X.; Liu, B.; Han, N.X.; Xing, F. Screening of bacteria for self-healing of concrete cracks and optimization of the microbial calcium precipitation process. Appl. Microbiol. Biotechnol. 2016, 100, 6661–6670. [Google Scholar] [CrossRef]
- Moravej, S.; Habibagahi, G.; Nikooee, E.; Niazi, A. Stabilization of dispersive soils by means of biological calcite precipitation. Geoderma 2018, 315, 130–137. [Google Scholar] [CrossRef]
- Ševčík, R.; Šašek, P.; Viani, A. Physical and nanomechanical properties of the synthetic anhydrous crystalline CaCO3 polymorphs: Vaterite, aragonite and calcite. J. Mater. Sci. 2017, 53, 4022–4033. [Google Scholar] [CrossRef]
- Siddique, R.; Chahal, N.K. Effect of ureolytic bacteria on concrete properties. Constr. Build. Mater. 2011, 25, 3791–3801. [Google Scholar] [CrossRef]
- Wang, J.Y.; Belie, N.; Verstraete, W. Diatomaceous earth as a protective vehicle for bacteria applied for self-healing concrete. J. Ind. Microbiol. Biotechnol. 2011, 39, 567–577. [Google Scholar] [CrossRef]
- Wang, J.Y.; van Tittelboom, K.; de Belie, N.; Verstraete, W. Use of silica gel or polyurethane immobilized bacteria for self-healing concrete. Constr. Build. Mater. 2012, 26, 532–540. [Google Scholar] [CrossRef]
- Wang, J.Y.; Snoeck, D.; van Vlierberghe, S.; Verstraete, W.; de Belie, N. Application of hydrogel encapsulated carbonate precipitating bacteria for approaching a realistic self-healing in concrete. Constr. Build. Mater. 2014, 68, 110–119. [Google Scholar] [CrossRef]









| Identification Result | Closest Species (%Similarity) | Source | pH Change in Stuart’s Urea Broth | Final pH |
|---|---|---|---|---|
| Lysinibacillus sp. 2.2 | Lysinibacillus fusiformis NBRC 15717T (98.35%) | Phra Chedi Klang Nam Mangrove Forest Learning Center, Rayong | +++ | 9.86 |
| Lysinibacillus fusiformis 3.7 | Lysinibacillus fusiformis NBRC 15717T (99.32%) | Phra Chedi Klang Nam Mangrove Forest Learning Center, Rayong | +++ | 10.00 |
| Lysinibacillus xylanilyticus 4.3 | Lysinibacillusxylanilyticus DSM 23493T (99.26%) | Bowin, Si Racha district, Chon Buri | + | 9.83 |
| Lysinibacillus fusiformis 5.1 | Lysinibacillus fusiformis NBRC 15717T (99.42%) | Black Sand Beach and Mangrove Forest Natural Tourism Center, Trat | +++ | 10.23 |
Publisher’s Note: MDPI stays neutral with regard to jurisdictional claims in published maps and institutional affiliations. |
© 2022 by the authors. Licensee MDPI, Basel, Switzerland. This article is an open access article distributed under the terms and conditions of the Creative Commons Attribution (CC BY) license (https://creativecommons.org/licenses/by/4.0/).
Share and Cite
Leeprasert, L.; Chonudomkul, D.; Boonmak, C. Biocalcifying Potential of Ureolytic Bacteria Isolated from Soil for Biocementation and Material Crack Repair. Microorganisms 2022, 10, 963. https://doi.org/10.3390/microorganisms10050963
Leeprasert L, Chonudomkul D, Boonmak C. Biocalcifying Potential of Ureolytic Bacteria Isolated from Soil for Biocementation and Material Crack Repair. Microorganisms. 2022; 10(5):963. https://doi.org/10.3390/microorganisms10050963
Chicago/Turabian StyleLeeprasert, Laxmi, Duenrut Chonudomkul, and Chanita Boonmak. 2022. "Biocalcifying Potential of Ureolytic Bacteria Isolated from Soil for Biocementation and Material Crack Repair" Microorganisms 10, no. 5: 963. https://doi.org/10.3390/microorganisms10050963
APA StyleLeeprasert, L., Chonudomkul, D., & Boonmak, C. (2022). Biocalcifying Potential of Ureolytic Bacteria Isolated from Soil for Biocementation and Material Crack Repair. Microorganisms, 10(5), 963. https://doi.org/10.3390/microorganisms10050963
