Cellular Cytotoxicity and Oxidative Potential of Recurrent Molds of the Genus Aspergillus Series Versicolores
Abstract
1. Introduction
2. Materials and Methods
2.1. Isolates Collection
2.2. Molecular Identification
2.3. Preparation of Calibrated Spore Suspensions
2.4. Preparation of Fungal Extracts
2.5. Oxydative Potential Measurement
2.6. Cell Culture
2.7. Statistical Analyses
3. Results
3.1. Isolates Identification
3.2. Oxidative Potential of Spores
3.3. Oxidative Potential of Fungal Extracts
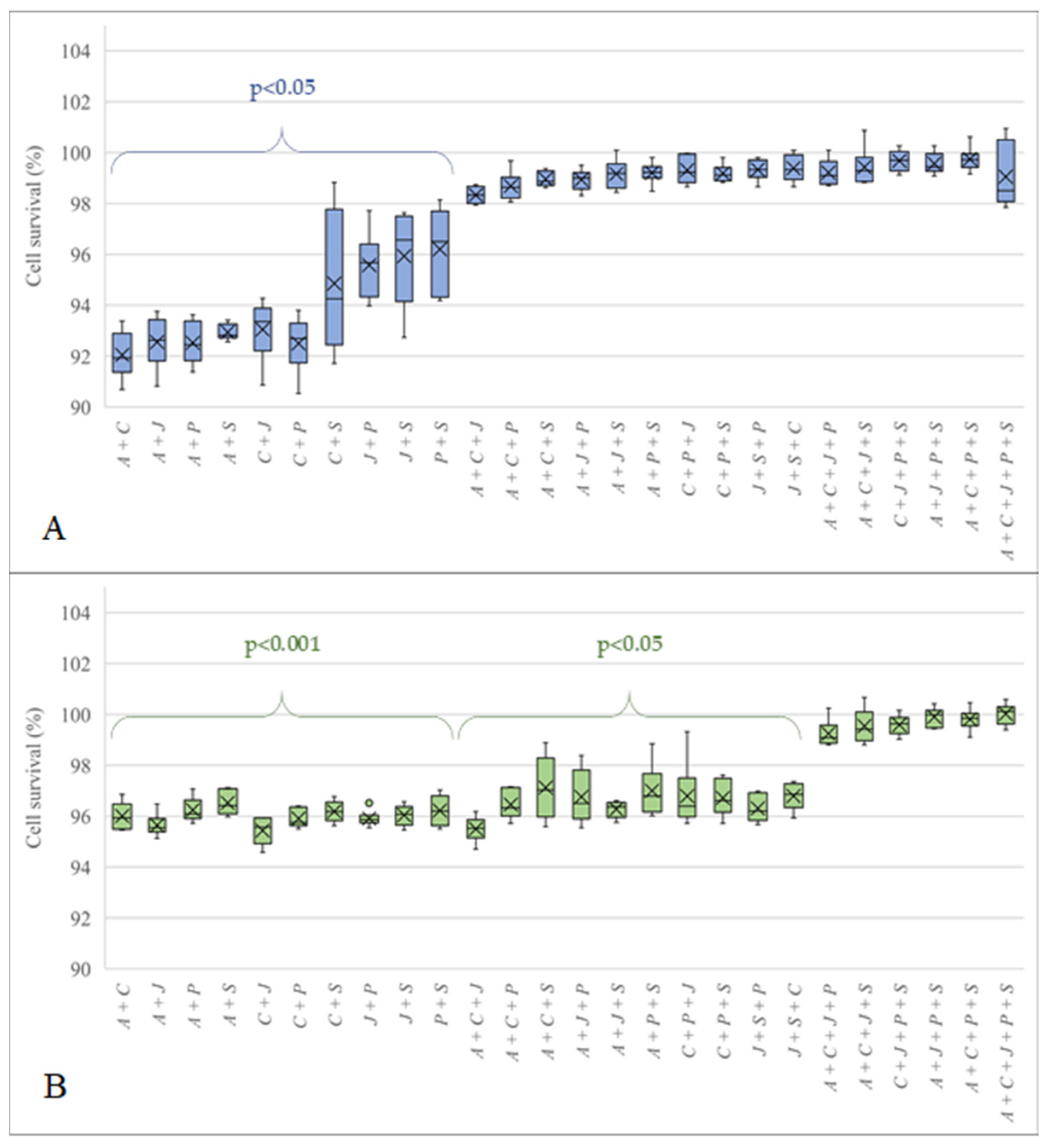
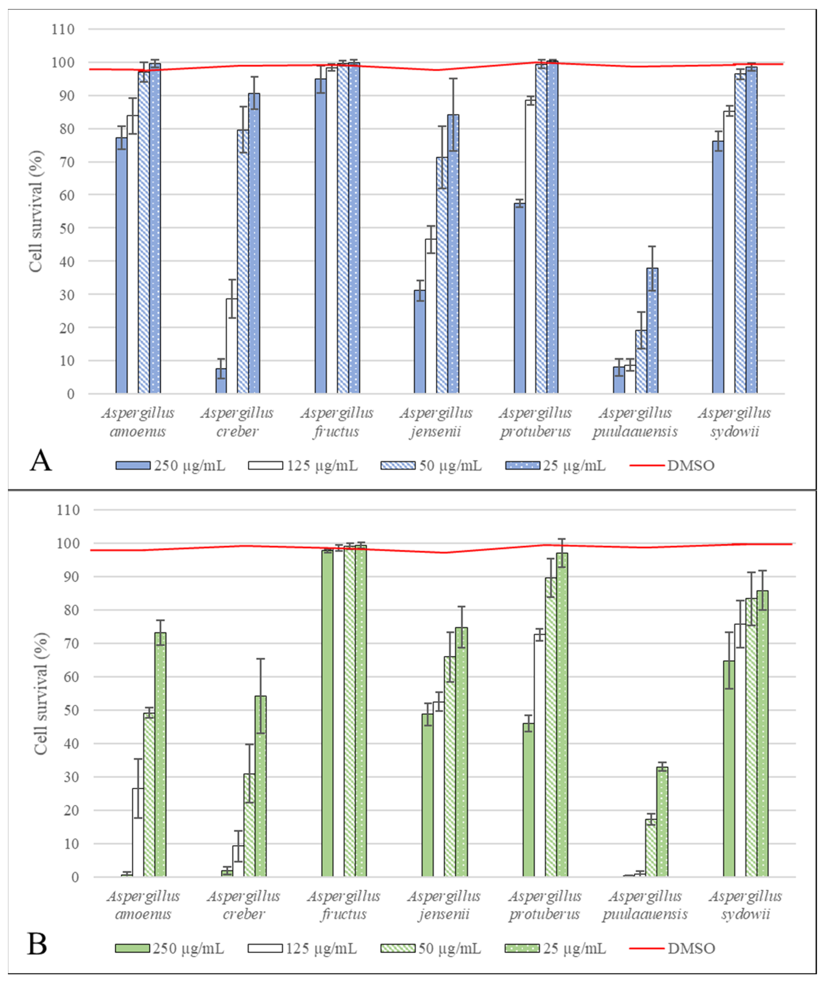
3.4. Cell Survival after Exposure to Spore Suspensions
3.5. Cell Survival after Exposure to Fungal Extracts
4. Discussion
4.1. Isolates Identification
4.2. Oxidative Potential
4.3. Cell Survival
4.4. A Link between Oxidative Potential and Cell Survival?
4.5. Are Clinical Isolates More Dangerous Than Environmental Isolates?
4.6. Limitations
5. Conclusions
Supplementary Materials
Author Contributions
Funding
Institutional Review Board Statement
Informed Consent Statement
Data Availability Statement
Acknowledgments
Conflicts of Interest
References
- Klepeis, N.E.; Nelson, W.C.; Ott, W.R.; Robinson, J.P.; Tsang, A.M.; Switzer, P.; Behar, J.V.; Hern, S.C.; Engelmann, W.H. The National Human Activity Pattern Survey (NHAPS): A Resource for Assessing Exposure to Environmental Pollutants. J. Expo. Sci. Environ. Epidemiol. 2001, 11, 231–252. [Google Scholar] [CrossRef]
- World Health Organization (Ed.) Indoor Air Pollutants: Exposure and Health Effects: Report on a WHO Meeting, Nördlingen, 8–11 June 1982; EURO reports and studies; World Health Organization, Regional Office for Europe: Copenhagen, Denmark, 1983; ISBN 978-92-890-1244-7. [Google Scholar]
- World Health Organization (Ed.) Who Guidelines for Indoor Air Quality: Selected Pollutants; WHO: Copenhagen, Denmark, 2010; ISBN 978-92-890-0213-4. [Google Scholar]
- World Health Organization. Ambient Air Pollution: A Global Assessment of Exposure and Burden of Disease; World Health Organization: Geneva, Switzerland, 2016; ISBN 978-92-4-151135-3. [Google Scholar]
- World Health Organization. Health Effects of Particulate Matter-Policy Implications for Countries in Eastern Europe, Caucasus and Central Asia; World Health Organization: Geneva, Switzerland, 2013; ISBN 978-92-890-0001-7. [Google Scholar]
- Fröhlich-Nowoisky, J.; Kampf, C.J.; Weber, B.; Huffman, J.A.; Pöhlker, C.; Andreae, M.O.; Lang-Yona, N.; Burrows, S.M.; Gunthe, S.S.; Elbert, W.; et al. Bioaerosols in the Earth System: Climate, Health, and Ecosystem Interactions. Atmos. Res. 2016, 182, 346–376. [Google Scholar] [CrossRef]
- Jaenicke, R. Abundance of Cellular Material and Proteins in the Atmosphere. Science 2005, 308, 73. [Google Scholar] [CrossRef]
- Samake, A.; Uzu, G.; Martins, J.M.F.; Calas, A.; Vince, E.; Parat, S.; Jaffrezo, J.L. The Unexpected Role of Bioaerosols in the Oxidative Potential of PM. Sci. Rep. 2017, 7, 10978. [Google Scholar] [CrossRef] [PubMed]
- Hyde, P.; Mahalov, A. Contribution of Bioaerosols to Airborne Particulate Matter. J. Air Waste Manag. Assoc. 2020, 70, 71–77. [Google Scholar] [CrossRef] [PubMed]
- WhO Regional Office For Europe. WHO Guidelines for Indoor Air Quality: Dampness and Mould; WHO Guidelines Approved by the Guidelines Review Committee; World Health Organization: Geneva, Switzerland, 2009; ISBN 978-92-890-4168-3. [Google Scholar]
- Delanoë, A.; Seguin, V.; Andre, V.; Gente, S.; Verite, P.; Votier, E.; Richard, E.; Bouchart, V.; Delfour, M.; Heutte, N.; et al. Bioaerosols Exposure Assessment in Mold-Damaged Houses in Normandy, France. WIT Trans. Ecol. Environ. 2018, 230, 313–320. [Google Scholar] [CrossRef]
- Martínez-Herrera, E.O.; Frías De-León, M.G.; Duarte-Escalante, E.; Calderón-Ezquerro, M.D.C.; Jiménez-Martínez, M.D.C.; Acosta-Altamirano, G.; Rivera-Becerril, F.; Toriello, C.; Reyes Montes, M.D.R. Fungal Diversity and Aspergillus Species in Hospital Environments. Ann. Agric. Environ. Med. 2016, 23, 264–269. [Google Scholar] [CrossRef]
- Delanoë, A.; Heutte, N.; Gente, S.; Séguin, V.; Garon, D. Relationships between Exposure to Bioaerosols, Moldy Surface and Symptoms in French Mold-Damaged Homes. Atmosphere 2020, 11, 223. [Google Scholar] [CrossRef]
- Heutte, N.; André, V.; Bonhomme, J.; Dubos Arvis, C.; Kientz-Bouchart, V.; Lemarié, F.; Legendre, P.; Louis, M.-Y.; Madelaine, S.; Gente, S.; et al. Suivi de la Qualité de l’air Dans un Centre de Lutte Contre le Cancer: Évaluation et Caractérisation de L’exposition aux Contaminants Fongiques (Biohospitalair). Available online: https://www.hygienes.net/boutique/hygienes-2/suivi-de-qualite-de-lair-centre-de-lutte-contre-cancer-evaluation-caracterisation-de-lexposition-aux-contaminants-fongiques-biohospitalair/ (accessed on 24 June 2021).
- Houbraken, J.; Kocsubé, S.; Visagie, C.M.; Yilmaz, N.; Wang, X.-C.; Meijer, M.; Kraak, B.; Hubka, V.; Bensch, K.; Samson, R.A.; et al. Classification of Aspergillus, Penicillium, Talaromyces and Related Genera (Eurotiales): An Overview of Families, Genera, Subgenera, Sections, Series and Species. Stud. Mycol. 2020, 95, 5–169. [Google Scholar] [CrossRef]
- Jakšić, D.; Sertić, M.; Kifer, D.; Kocsubè, S.; Mornar Turk, A.; Nigović, B.; Šarkanj, B.; Krska, R.; Sulyok, M.; Šegvić Klarić, M. Fungi and Their Secondary Metabolites in Water-damaged Indoors after a Major Flood Event in Eastern Croatia. Indoor Air 2021, 31, 730–744. [Google Scholar] [CrossRef]
- Jurjevic, Z.; Peterson, S.W.; Horn, B.W. Aspergillus Section Versicolores: Nine New Species and Multilocus DNA Sequence Based Phylogeny. IMA Fungus 2012, 3, 59–79. [Google Scholar] [CrossRef]
- Tsang, C.-C.; Hui, T.W.S.; Lee, K.-C.; Chen, J.H.K.; Ngan, A.H.Y.; Tam, E.W.T.; Chan, J.F.W.; Wu, A.L.; Cheung, M.; Tse, B.P.H.; et al. Genetic Diversity of Aspergillus Species Isolated from Onychomycosis and Aspergillus Hongkongensis Sp. Nov., with Implications to Antifungal Susceptibility Testing. Diagn. Microbiol. Infect. Dis. 2016, 84, 125–134. [Google Scholar] [CrossRef]
- Géry, A.; Chosson, E.; Séguin, V.; Rioult, J.-P.; Bonhomme, J.; Garon, D. Characterization of airborne Aspergillus series Versicolores collected in french bioaerosols. WIT Trans. Ecol. Environ. 2021, 252, 67–75. [Google Scholar]
- Géry, A.; Rioult, J.-P.; Heutte, N.; Séguin, V.; Bonhomme, J.; Garon, D. First Characterization and Description of Aspergillus Series Versicolores in French Bioaerosols. J. Fungi 2021, 7, 676. [Google Scholar] [CrossRef] [PubMed]
- Godinho, V.M.; de Paula, M.T.R.; Silva, D.A.S.; Paresque, K.; Martins, A.P.; Colepicolo, P.; Rosa, C.A.; Rosa, L.H. Diversity and Distribution of Hidden Cultivable Fungi Associated with Marine Animals of Antarctica. Fungal Biol. 2019, 123, 507–516. [Google Scholar] [CrossRef] [PubMed]
- Kobayashi, N.; Kubosaki, A.; Takahashi, Y.; Yanai, M.; Konuma, R.; Uehara, S.; Chiba, T.; Watanabe, M.; Terajima, J.; Sugita-Konishi, Y. Distribution of Sterigmatocystin-Producing Aspergilli in Japan. Food Saf. 2018, 6, 67–73. [Google Scholar] [CrossRef] [PubMed][Green Version]
- Visagie, C.M.; Houbraken, J. Updating the Taxonomy of Aspergillus in South Africa. Stud. Mycol. 2020, 95, 253–292. [Google Scholar] [CrossRef] [PubMed]
- Abd Alla, E.A.M.; Metwally, M.M.; Mehriz, A.M.; Abu Sree, Y.H. Sterigmatocystin: Incidence, fate and production by Aspergillus versicolor in Ras cheese. Nahrung 1996, 40, 310–313. [Google Scholar] [CrossRef] [PubMed]
- Gashgari, R.; Gherbawy, Y.; Ameen, F.; Alsharari, S. Molecular Characterization and Analysis of Antimicrobial Activity of Endophytic Fungi from Medicinal Plants in Saudi Arabia. Jundishapur J. Microbiol. 2016, 9, e26157. [Google Scholar] [CrossRef]
- Jakšić Despot, D.; Šegvić Klarić, M. A Year-Round Investigation of Indoor Airborne Fungi in Croatia. Arch. Ind. Hyg. Toxicol. 2014, 65, 209–218. [Google Scholar] [CrossRef] [PubMed]
- Yu, G.; Wu, G.; Sun, Z.; Zhang, X.; Che, Q.; Gu, Q.; Zhu, T.; Li, D.; Zhang, G. Cytotoxic Tetrahydroxanthone Dimers from the Mangrove-Associated Fungus Aspergillus Versicolor HDN1009. Mar. Drugs 2018, 16, 335. [Google Scholar] [CrossRef]
- IARC Working Group on the Evaluation of Carcinogenic Risks to Humans. Overall Evaluations of Carcinogenicity: An Updating of IARC Monographs Volumes 1 to 42: This Publication Represents the Views and Expert Opinions of an IARC Ad-Hoc Working Group on the Evaluation of Carcinogenic Risks to Humans, Which Met in Lyon, 10–18 March 1987; IARC monographs on the evaluation of carcinogenic risks to humans; World Health Organization, Ed.; International Agency for Research on Cancer: Geneva, Switzerland, 1987; ISBN 978-92-832-1411-3. [Google Scholar]
- Piontek, M.; Łuszczyńska, K.; Lechów, H. Occurrence of the Toxin-Producing Aspergillus Versicolor Tiraboschi in Residential Buildings. Int. J. Environ. Res. Public Health 2016, 13, 862. [Google Scholar] [CrossRef]
- Norbäck, D.; Hashim, J.H.; Cai, G.-H.; Hashim, Z.; Ali, F.; Bloom, E.; Larsson, L. Rhinitis, Ocular, Throat and Dermal Symptoms, Headache and Tiredness among Students in Schools from Johor Bahru, Malaysia: Associations with Fungal DNA and Mycotoxins in Classroom Dust. PLoS ONE 2016, 11, e0147996. [Google Scholar] [CrossRef]
- Vance, P.H.; Weissfeld, A.S. The Controversies Surrounding Sick Building Syndrome. Clin. Microbiol. Newsl. 2007, 29, 73–76. [Google Scholar] [CrossRef]
- Charles, M.P. Invasive Pulmonary Aspergillosis Caused by Aspergillus Versicolor in a Patient on Mechanical Ventilation. Australas. Med. J. 2011, 4, 632–634. [Google Scholar] [CrossRef]
- Gletsou, E.; Ioannou, M.; Liakopoulos, V.; Tsiambas, E.; Ragos, V.; Stefanidis, I. Aspergillosis in Immunocompromised Patients with Haematological Malignancies. J. BUON 2018, 23, 7–10. [Google Scholar] [PubMed]
- Kane, S.; Pinto, J.M.; Dadzie, C.K.; Dawis, M.A.C. Aspergilloma Caused by Aspergillus versicolor. Pediatr. Infect. Dis. J. 2014, 33, 891. [Google Scholar] [CrossRef] [PubMed]
- Bifrare, Y.-D.; Wolfensberger, T. Protracted Aspergillus versicolor Endophthalmitis Caused by Corneal Microperforation. Klin. Monatsbl. Augenheilkd 2007, 224, 314–316. [Google Scholar] [CrossRef] [PubMed]
- Borsa, B.A.; Özgün, G.; Houbraken, J.; Ökmen, F. The first case of persistent vaginitis due to Aspergillus protuberus in an immunocompetent patient. Mikrobiyoloji Bulteni 2015, 49, 130–134. [Google Scholar] [CrossRef][Green Version]
- Jia, J.; Chen, M.; Mo, X.; Liu, J.; Yan, F.; Li, Z.; Xie, S.; Chen, D. The First Case Report of Kerion-Type Scalp Mycosis Caused by Aspergillus protuberus. BMC Infect. Dis. 2019, 19, 506. [Google Scholar] [CrossRef]
- Bongomin, F.; Batac, C.R.; Richardson, M.D.; Denning, D.W. A Review of Onychomycosis Due to Aspergillus Species. Mycopathologia 2018, 183, 485–493. [Google Scholar] [CrossRef] [PubMed]
- Desjardins, P.; Conklin, D. NanoDrop Microvolume Quantitation of Nucleic Acids. JoVE 2010, 45, 2565. [Google Scholar] [CrossRef] [PubMed]
- Charrier, J.G.; Anastasio, C. On Dithiothreitol (DTT) as a Measure of Oxidative Potential for Ambient Particles: Evidence for the Importance of Soluble Transition Metals; Aerosols/Laboratory Studies/Troposphere/Chemistry (chemical composition and reactions); European Geophysical Society: Katlenburg-Lindau, Germany, 2012. [Google Scholar]
- Micheluz, A.; Manente, S.; Rovea, M.; Slanzi, D.; Varese, G.C.; Ravagnan, G.; Formenton, G. Detection of Volatile Metabolites of Moulds Isolated from a Contaminated Library. J. Microbiol. Methods 2016, 128, 34–41. [Google Scholar] [CrossRef] [PubMed]
- Siqueira, J.P.Z.; Sutton, D.A.; García, D.; Gené, J.; Thomson, P.; Wiederhold, N.; Guarro, J. Species Diversity of Aspergillus Section Versicolores in Clinical Samples and Antifungal Susceptibility. Fungal Biol. 2016, 120, 1458–1467. [Google Scholar] [CrossRef] [PubMed]
- Roberg, M. Zwei Bisher Unbekannte Aspergillen. Hedwigia. 1930, 70, 137–139. [Google Scholar]
- Barran, L.R.; Schneider, E.F. Effect of Thiols on Macroconidia of Fusarium sulphureum. Can. J. Microbiol. 1979, 25, 618–627. [Google Scholar] [CrossRef] [PubMed]
- Klich, M.A. Morphological Studies of Aspergillus Section Versicolores and Related Species. Mycologia 1993, 85, 100–107. [Google Scholar] [CrossRef]
- Miao, F.-P.; Li, X.-D.; Liu, X.-H.; Cichewicz, R.H.; Ji, N.-Y. Secondary Metabolites from an Algicolous Aspergillus versicolor Strain. Mar. Drugs 2012, 10, 131–139. [Google Scholar] [CrossRef]
- Rotondo, C.M.; Sychantha, D.; Koteva, K.; Wright, G.D. Suppression of β-Lactam Resistance by Aspergillomarasmine A Is Influenced by Both the Metallo-β-Lactamase Target and the Antibiotic Partner. Antimicrob. Agents Chemother. 2020, 64, e01386-19. [Google Scholar] [CrossRef]
- Kim, E.; Panzella, L.; Napolitano, A.; Payne, G.F. Redox Activities of Melanins Investigated by Electrochemical Reverse Engineering: Implications for Their Roles in Oxidative Stress. J. Investig. Dermatol. 2020, 140, 537–543. [Google Scholar] [CrossRef]
- Li, X.Q.; Guo, B.L.; Cai, W.Y.; Zhang, J.M.; Huang, H.Q.; Zhan, P.; Xi, L.Y.; Vicente, V.A.; Stielow, B.; Sun, J.F.; et al. The Role of Melanin Pathways in Extremotolerance and Virulence of Fonsecaea Revealed by de Novo Assembly Transcriptomics Using Illumina Paired-End Sequencing. Stud. Mycol. 2016, 83, 1–18. [Google Scholar] [CrossRef]
- Soliman, S.S.M.; Hamdy, R.; Elseginy, S.A.; Gebremariam, T.; Hamoda, A.M.; Madkour, M.; Venkatachalam, T.; Ershaid, M.N.; Mohammad, M.G.; Chamilos, G.; et al. Selective Inhibition of Rhizopus Eumelanin Biosynthesis by Novel Natural Product Scaffold-Based Designs Caused Significant Inhibition of Fungal Pathogenesis. Biochem. J. 2020, 477, 2489–2507. [Google Scholar] [CrossRef]
- Boddy, L.; Hiscox, J. Fungal Ecology: Principles and Mechanisms of Colonization and Competition by Saprotrophic Fungi. Microbiol. Spectr. 2016, 4, 4–6. [Google Scholar] [CrossRef]
- Jakšić, D.; Puel, O.; Canlet, C.; Kopjar, N.; Kosalec, I.; Klarić, M.Š. Cytotoxicity and Genotoxicity of Versicolorins and 5-Methoxysterigmatocystin in A549 Cells. Arch. Toxicol. 2012, 86, 1583–1591. [Google Scholar] [CrossRef] [PubMed]
- Jakšić, D.; Ćurtović, I.; Kifer, D.; Rašić, D.; Kopjar, N.; Micek, V.; Peraica, M.; Klarić, M.Š. Single-Dose Toxicity of Individual and Combined Sterigmatocystin and 5-Methoxysterigmatocistin in Rat Lungs. Toxins 2020, 12, 734. [Google Scholar] [CrossRef] [PubMed]
- Zingales, V.; Fernández-Franzón, M.; Ruiz, M.-J. Sterigmatocystin: Occurrence, Toxicity and Molecular Mechanisms of Action—A Review. Food Chem. Toxicol. 2020, 146, 111802. [Google Scholar] [CrossRef] [PubMed]
- Cui, J.; Wang, J.; Huang, S.; Jiang, X.; Li, Y.; Wu, W.; Zhang, X. Sterigmatocystin Induced Apoptosis in Human Pulmonary Cells in Vitro. Exp. Toxicol. Pathol. 2017, 69, 695–699. [Google Scholar] [CrossRef]



| Species | Strain | Origin |
|---|---|---|
| Aspergillus amoenus | CBS 245.65 | Cellophane gas mask |
| HAB06 | Mold-damaged home | |
| Aspergillus creber | HOSP150313_5_98 | Cancer treatment center |
| HOSP050413_5_135 | Cancer treatment center | |
| 08FM2_A49 | Serpula lacrymans-damaged home | |
| HAB02 | Mold-damaged home | |
| HAB07 | Mold-damaged home | |
| HAB32 | Mold-damaged home | |
| HAB64 | Mold-damaged home | |
| Aspergillus fructus | 3030204738_C1 | Nail of big toe |
| Aspergillus jensenii | HAB01 | Mold-damaged home |
| 9041799386_C4 | Scalp | |
| 4070377575_C6 | Bronchoalveolar lavage fluid | |
| Aspergillus protuberus | HOSP050413_4_129 | Cancer treatment center |
| Aspergillus puulaauensis | 0102634450_C10 | Armpit skin |
| Aspergillus sydowii | 4040348777_C2 | Bronchoalveolar lavage fluid |
| 8051266672_C3 | Bronchoalveolar lavage fluid | |
| 9071870945_C5 | Auditory canal | |
| 0062415698_C7 | Bronchoalveolar lavage fluid | |
| 0062445522_C8 | Bronchoalveolar lavage fluid | |
| 0062445523_C9 | Bronchoalveolar lavage fluid | |
| 0112723999_C11 | Bronchoalveolar lavage fluid |
Publisher’s Note: MDPI stays neutral with regard to jurisdictional claims in published maps and institutional affiliations. |
© 2022 by the authors. Licensee MDPI, Basel, Switzerland. This article is an open access article distributed under the terms and conditions of the Creative Commons Attribution (CC BY) license (https://creativecommons.org/licenses/by/4.0/).
Share and Cite
Géry, A.; Lepetit, C.; Heutte, N.; Séguin, V.; Bonhomme, J.; Garon, D. Cellular Cytotoxicity and Oxidative Potential of Recurrent Molds of the Genus Aspergillus Series Versicolores. Microorganisms 2022, 10, 228. https://doi.org/10.3390/microorganisms10020228
Géry A, Lepetit C, Heutte N, Séguin V, Bonhomme J, Garon D. Cellular Cytotoxicity and Oxidative Potential of Recurrent Molds of the Genus Aspergillus Series Versicolores. Microorganisms. 2022; 10(2):228. https://doi.org/10.3390/microorganisms10020228
Chicago/Turabian StyleGéry, Antoine, Charlie Lepetit, Natacha Heutte, Virginie Séguin, Julie Bonhomme, and David Garon. 2022. "Cellular Cytotoxicity and Oxidative Potential of Recurrent Molds of the Genus Aspergillus Series Versicolores" Microorganisms 10, no. 2: 228. https://doi.org/10.3390/microorganisms10020228
APA StyleGéry, A., Lepetit, C., Heutte, N., Séguin, V., Bonhomme, J., & Garon, D. (2022). Cellular Cytotoxicity and Oxidative Potential of Recurrent Molds of the Genus Aspergillus Series Versicolores. Microorganisms, 10(2), 228. https://doi.org/10.3390/microorganisms10020228

