Abstract
A human gait recognition method based on the PSO-ELM algorithm is proposed in order to achieve coordinated movement between humans and lower limb exoskeletons. Ground reaction force (GRF) from the foot, and motion capture data (MCD) from two joints were collected through the exoskeleton device. The sample data were obtained through multiple experiments in different action scenarios, including standing still, walking on the flat, climbing up and down stairs, traveling up and down slopes, in addition to squatting down and standing up. The algorithm utilizes short-term posture data to recognize different posture movement patterns, with two advantages: (1) A user-friendly wearable device was constructed based on multi-source sensors distributed throughout the body, addressing multiple subjects with varying weights and heights, while being cost-effective and reliably and easily collecting data. (2) The PSO-ELM algorithm identifies key features of gait data, achieving a higher recognition accuracy than other advanced recognition methods, especially during arbitrary gait transition duration.
1. Introduction
Gait recognition is a significant research importance in many fields. In biometric technology, gait, as a unique movement pattern of individuals, has biological characteristics that can be used for identity recognition and verification. Compared to fingerprint and facial recognition technologies, the non-contact and discreet nature of gait recognition makes it particularly valuable for security monitoring and crime investigation [1]. In health monitoring, analyzing gait can help assess an individual’s health status, as abnormal gait patterns may indicate potential health issues, such as neurological disorders or movement impairments. Early detection of symptoms can facilitate timely intervention and treatment, improving the quality of life for patients [2]. In human–machine interaction, gait recognition plays an important role in fields such as robotics and exoskeletons, enabling natural interaction between humans and machines. This allows devices to better understand and adapt to the user’s movements, thus enhancing comfort and efficiency [3]. The lower-limb exoskeleton is a typical wearable robot widely used for high-risk tasks, such as live work on power distribution lines [4]. In such high-altitude work, human–machine collaboration between the lower-limb exoskeleton and workers is especially important, and the study of gait recognition for workers holds significant value.
AI methods for the rehabilitation of different lower-limb exoskeleton systems have been previously studied [5], including reinforcement learning and neural networks. For example, Ceng et al. [6] proposed an adaptive control method that combines policy iteration, reinforcement learning, and event-triggered mechanisms to achieve online learning and reduce control updates. This method was validated through numerical simulations and actual lower-limb exoskeleton tests, with a final error of 0.1 rad, providing a new direction for adaptive control in lower-limb rehabilitation robots. Yingxu et al. [7] proposed a biomimetic control method based on Central Pattern Generators (CPG) for lower-limb exoskeleton rehabilitation. The method improves the Hopf oscillator and creates a CPG oscillator network to generate gait signals for exoskeleton control, enhancing performance and adaptability. Experimental results show that the system effectively controls the exoskeleton, providing valuable insights into hip and knee joint movements, with a final angle error of 0.90 rad. Zhan et al. [8] proposed a three-level control strategy of human–exoskeleton cooperative motion to handle multimodal wearable motion by RBFNN and fixed-time convergent control. Then, Kou et al. [9] presented a central pattern generator to optimize the gait planning of a human–exoskeleton system. Moreover, a variable admittance controller [10] was designed to improve the stable performance of a lower limb rehabilitation exoskeleton.
Nakano [11] identified patients from gait data, using four types of SVM classifiers (Linear, Quadratic, Cubic, and Gaussian) based on six features extracted from the raw data. However, SVM parameter tuning is complex, and kernel functions may vary in performance across datasets. Limited sample size or diversity may cause overfitting and poor generalization. Sardini, Emilio, and Serpelloni [12] developed two wireless instrumented crutches to offer clinicians quantitative data on the role of the upper limbs during walking. However, the method may be limited by the accuracy and reliability of the sensor measurements, as well as potential discomfort for users due to the added weight and complexity of the instrumented crutches. The primary approaches for gait acquisition currently involve motion analysis systems [13], pressure plate platforms, and image-based measurement systems [14]. While these devices effectively capture the gait characteristics of human lower limbs, they face limitations such as being confined to specific spaces and times, high costs, and lack of portability. And these gait analysis systems require operation and analysis by trained professionals, which increases the complexity and barrier to use. Video images and sensors are frequently utilized to explore gait recognition methods. Choi [15] introduced gait partial similarity matching, which is based on the assumption that a 3D object exhibits common view surfaces across slightly different perspectives. That is to say, there is viewpoint dependency and limitations under specific conditions, e.g., if there is a significant change in viewpoint or if the data quality is poor, the accuracy of similarity matching may be affected, leading to a decline in recognition performance. Techniques for sensor-based gait recognition focus on capturing precise gait sensing data instead of relying on images [16], which are commonly employed in exoskeleton control. Kim [17] developed a k-NN classifier and an SVM classifier was built to classify the abnormal gait of a walking person. But both the k-NN and SVM methods suffer from overfitting with small sample sizes and high computational complexity, especially as dataset size increases. Ashwin and Raina [18] proposed a model to identify individuals based on their unique gait style, and we constructed this model without using any sensors to capture the movement. However, the lack of sensor data could not provide sufficient detail and precision. Mekni [19] employed a random forest method to recognize gait data under the same two training methods. It suffered from high computational costs and slow training speeds. Jung [20] combined long short-term memory networks with convolutional neural networks to recognize four types of pedestrian gait data with variable mobile phone carrying positions. The model might overly rely on data preprocessing and feature selection when handling variations in different positions.
Most gait recognition studies focus on classifying broad motion patterns (such as standing still, walking up and down stairs, walking up and down slopes, etc.) [21], often overlooking the recognition performance during motion pattern transitions [22]. This study introduces a high-precision gait recognition algorithm designed to accurately recognize motion pattern transitions and enhance recognition performance during gait transitions. The recognition performance is improved through the PSO-ELM algorithm, which combines the global optimization capabilities of Particle Swarm Optimization (PSO) with the fast training and high generalization ability of Extreme Learning Machine (ELM), within a gait acquisition lower limb exoskeleton.
2. Materials and Methods
2.1. Data Collection
Two healthy young male subjects were recruited to participate in the data collection experiment. On a flat surface, the subjects were asked to perform multiple motion pattern tests, including walking, standing still, and squatting, at a speed of 0.8 m/s over a 5 m distance. On stairs and slopes, the subjects were asked to perform upward and downward movements at a speed of 0.5 m/s. Ground reaction force (GRF) and motion capture data (MCD) were collected simultaneously. Data from complete gait cycles for each subject were collected.
2.1.1. Gait Acquisition Device Construction
The lower limb-powered exoskeleton is a wearable robot designed to enhance human movement capabilities, as shown in Figure 1, particularly for power line work. Its design focuses on selecting lightweight, high-strength materials, designing multi-directional joints that mimic human joints, integrating an electric drive system, and incorporating various sensors to monitor the wearer’s movements and environmental conditions.
Figure 1.
Exoskeleton device.
The structural design of the exoskeleton must incorporate ergonomic principles to ensure comfort and safety for the wearer, while also being adjustable to fit different body sizes. The climbing foot buckle, a critical component of the exoskeleton, must ensure stability and safety during high-altitude work, possess self-locking capabilities, and strike a balance between practicality and safety. Material selection and cost-effectiveness are also key considerations in the design process.
In terms of hardware and software design, the hardware of the exoskeleton robot requires the precise integration of mechanical, electronic, and software systems, including communication, servo systems, and sensor linkage. The software design focuses on developing control algorithms, data processing, user interfaces, and communication protocols. The entire design and manufacturing process, from demand analysis to system integration, and finally to testing, optimization, and user feedback, ensures the performance, safety, and user-friendliness of the exoskeleton robot.
2.1.2. Ground Reaction Force (GRF) Data Collection
At the bottom of the Config interface, there are 16 small white blocks on each side representing the foot pressure sensors for the robot’s left and right feet, and the pressure values next to the points will change according to the variations in pressure, as show in Figure 2. On the right side of the Config interface, you can select the lengths of the thigh and calf, and the model’s leg length will adjust accordingly.
Figure 2.
Config interface.
2.1.3. Position of the Knee and Hip Joints of the Left and Right Leg Data Collection
The left and right sides of the IK interface display real-time data related to the robot. When the robot’s mode is set to joint network position mode, dragging the arrows on both sides of the bottom of the 3D robot model will cause the model’s hip and knee joints (MCD) to move in accordance with the arrow positions, as shown in Figure 3 and Figure 4. At the same time, the positions of the model’s hip and knee joints will be sent to the robot in real time, causing the robot to move in alignment with the model’s movement, thereby maintaining consistency between the robot and the 3D model on the IK interface.
Figure 3.
IK interface.
Figure 4.
Motion capture.
2.1.4. Experiments and Data Collection
Before the data acquisition experiment, two subjects were allowed to wear the device for a period of adaptive exercise to collect more accurate data. These two subjects have different physiological characteristics, as shown in Table 1. The gait sensor signals include four patterns: standing still, walking on flat ground, walking up and down stairs, traveling up and down slopes, and squatting and standing. To relieve muscle fatigue, the operators took a 5 min break after each experiment. The experiments are shown in Figure 5 and the partly collected data are shown in Figure 6.
Table 1.
The age, height, and weight of the subjects.
Figure 5.
The gait acquisitions experiments under different motion patterns.
Figure 6.
The position of the left and right legs, knees, hips, and the soles of the left and right feet during walking.
2.2. Data Processing
2.2.1. Data Classification and Preprocessing
Before applying deep learning algorithms for gait recognition, the collected data had to be labeled and segmented. The data were divided into seven motion patterns. This study focused on labeling gait information using video recordings and sensor data, with walking on level ground as a primary example. The labeling process mainly consisted of two parts: gait data feature analysis and key point labeling. This phase analysis facilitates effective data labeling.
Low sampling rates contribute to low-frequency chatter in the GRF (ground reaction force) signal, which requires smoothing. A Gaussian low-pass filter with a smoothing factor of 0.05 was used, as illustrated in Figure 7.
Figure 7.
The smoothing effect of the left heel GRF signal: (a) original GRF signal; (b) processed GRF signal.
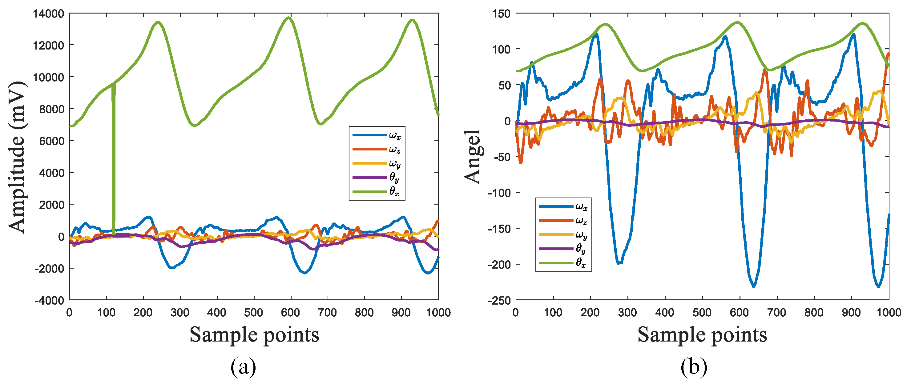
Some abnormal disturbance was found in the original MCD signal, which had to be filtered such that the abnormal data were replaced by the mean value or the previous moment value. Of note, the original angle and angular velocity data needed to be processed from the voltage signal to a real physical value, which is shown in Figure 8.
Figure 8.
The MCD before and after processing: (a) the original MCD signal; (b) the processed MCD signal.
The processed data were validated using the “Leave One Subject Out” (LOSO) method, a commonly used cross-validation technique in which each individual (or subject) in the dataset is alternately used as the test set, while the data from the remaining individuals are used to train the model. In the first iteration, the data from the first subject served as the test set, while the data from the second subject were used for training. In the second iteration, the second subject’s data were selected as the test set, and the first subject’s data were used for training.
2.2.2. Valuation Indicator
To assess the performance of the gait recognition network, evaluation metrics such as [23], - [24], [25], and [26] were computed using the following formulas.
The proportion of correct predictions denotes both true positives and true negatives out of all predictions, which is given by
where is the true positive (correctly identified gait pixels), is the true negative (correctly identified non-gait pixels), is the false positive (incorrectly identified gait pixels), and is the false negative (incorrectly missed gait pixels).
Moreover, an indicator - was used to measure the accuracy of a classification model, which was particularly useful when both false positives and false negatives were equally important to minimize, such that
Then, refers to the proportion of correctly predicted positive samples out of all the samples predicted as positive, such that
where a high precision denotes when the model predicts gait.
The symbol refers to the proportion of correctly predicted positive samples out of all the actual positive samples.
where a high recall means that the model correctly identified most of the actual gait pixels, but this may also have involved a lot of false positives.
Four multi-classification metrics—Kappa coefficient (), Hamming loss (), Jaccard similarity (), and Hinge loss () [27]—were used for a comprehensive performance evaluation.
The Kappa coefficient is a method used to measure the consistency between classification models or evaluators. It evaluates the accuracy of classification by comparing the observed classification consistency with the expected random consistency, which is given by
where is the observed agreement and is the expected agreement.
In addition, the Hamming loss() is a commonly used evaluation metric in multi-class classification problems. It measures the proportion of incorrect label predictions to the total number of labels between the predicted and true labels as follows:
where N is the number of samples, M is the number of classes, and is 1 if the predicted label differs from the true label, and 0 otherwise.
Moreover, the Jaccard similarity () is a statistic used to measure the similarity and diversity of sample sets such that
where A and B are two sets of predicted and true labels.
Furthermore, the Hinge loss () is used to penalize misclassifications in a way that encourages correct classifications with a margin of confidence like
where is the true label for the i-th sample and is the predicted label for the i-th sample.
During gait recognition, errors frequently occur during the transitions between different gait patterns. To address this, two new metrics were introduced to evaluate gait switching miscalculations.
Firstly, the average number of gait switching miscalculations is given by
where represents the number of miscalculations for the i-th transition and N is the total number of transitions.
Then, the average gait switching miscalculation rate is described as
where Len is the length of each sample.
2.3. ELM-PSO Algorithm
2.3.1. ELM Algorithm
ELM (Extreme Learning Machine) is a type of single-hidden-layer feedforward neural network [28,29]. It initializes the input weights and biases randomly and aims to minimize the training error through computation and training, thereby obtaining the corresponding output weights for data classification. This algorithm is characterized by having few training parameters, a fast learning speed, and strong generalization ability, addressing issues related to the long training time and high cost of traditional neural networks. The structure of ELM is shown in Figure 9.
Figure 9.
The structure of ELM.
The classification principle of ELM is as follows: Assuming the input data are represented as , and the expected output is represented as , where n is the total amount of data, the ELM model can be expressed as follow
where k represents the number of hidden layer nodes in the ELM (Extreme Learning Machine); is the input weight connecting the i-th hidden layer node to the input layer nodes; is the input bias for the i-th hidden layer node; is the output weight connecting the i-th hidden layer node to the output layer nodes; and is the activation function, with the sigmoid function being used as the activation function in this paper.
The matrix formed by for the hidden layer output is denoted as H, which is given by
where H is the hidden layer output matrix with each element representing the activation of a hidden node, H is an matrix, and is the output weight vector. After calculating the input weights and biases , the output weight vector is solved. After calculating the input weight matrix and the input bias matrix , the output weight matrix can be determined. To further improve the generalization ability and robustness of the ELM, the training process was combined with regularization. A regularization term (where I is the identity matrix and C is the penalty coefficient) was added to the optimization.
These results in the final output weight matrix incorporate the regularization as follows:
2.3.2. PSO Algorithm
The PSO (Particle Swarm Optimization) algorithm is a population-based collaborative random search optimization method that offers advantages such as easy implementation, fast convergence, and high accuracy, allowing it to quickly and precisely find the global optimum [30,31,32]. Its working principle is as follows:
Based on the regularity of bird flock foraging behavior, each solution to the optimization problem is treated as a “particle” in the search space. Each particle starts from a random solution and updates its velocity and position according to Equations (15) and (16). Through iteration, it seeks the optimal fitness, tracking both the best solution found by the particle itself and the best solution found by the entire swarm.
The equations you provided are part of the Particle Swarm Optimization (PSO) algorithm, which describes how the velocity and position of each particle are updated during the search process. The translation and explanation of the equations are as follows:
where is the new velocity of particle i at iteration ; is the current velocity of particle i at iteration t; is the inertia weight that controls the influence of the previous velocity; are the cognitive and social learning factors, respectively; are random values between 0 and 1; is the best position found by particle i (personal best); is the best position found by the entire swarm (global best); is the current position of particle i at iteration t.
This equation updates the velocity of each particle by considering the following:
- (a)
- Its previous velocity ;
- (b)
- The distance between its current position and its personal best position ;
- (c)
- The distance between its current position and the global best position .
Of note, the parameters and control the influence of the personal best and global best on the particle’s movement, while controls the balance between the particle’s exploration and exploitation behavior.
Then, the iterative method is given by
where is the new position of particle i at iteration , is the current position of particle i at iteration t, and is the new velocity of particle i at iteration .
To improve the robustness of ELM (Extreme Learning Machine) recognition, the PSO (Particle Swarm Optimization) algorithm was used to optimize the input weights W and input biases B in the ELM module. This led to the development of the Particle Swarm Optimization-based Extreme Learning Machine (PSO-ELM) classification algorithm, which aims to find the optimal result. The specific process is shown in Figure 10.
Figure 10.
The flow of the PSO-ELM model.
3. Results
Gait Recognition Results Analysis
After performing noise reduction, smoothing, and feature extraction, the processed data were fed into the PSO-ELM network for deep learning. To validate the effectiveness of the proposed approach, data from two different subjects were used. By fine-tuning the network’s hyperparameters, the model achieved the minimum loss function on the training dataset and the highest classification accuracy on the test dataset. The ELM architecture was configured with three hidden layers, containing 60, 40, and 20 nodes in each layer, respectively. In the optimization of the ELM module using PSO, the classification accuracy was utilized as the fitness criterion for the particles. Other parameters were set according to reference [20]. After several experiments, the following settings were adopted: , , , , , and .
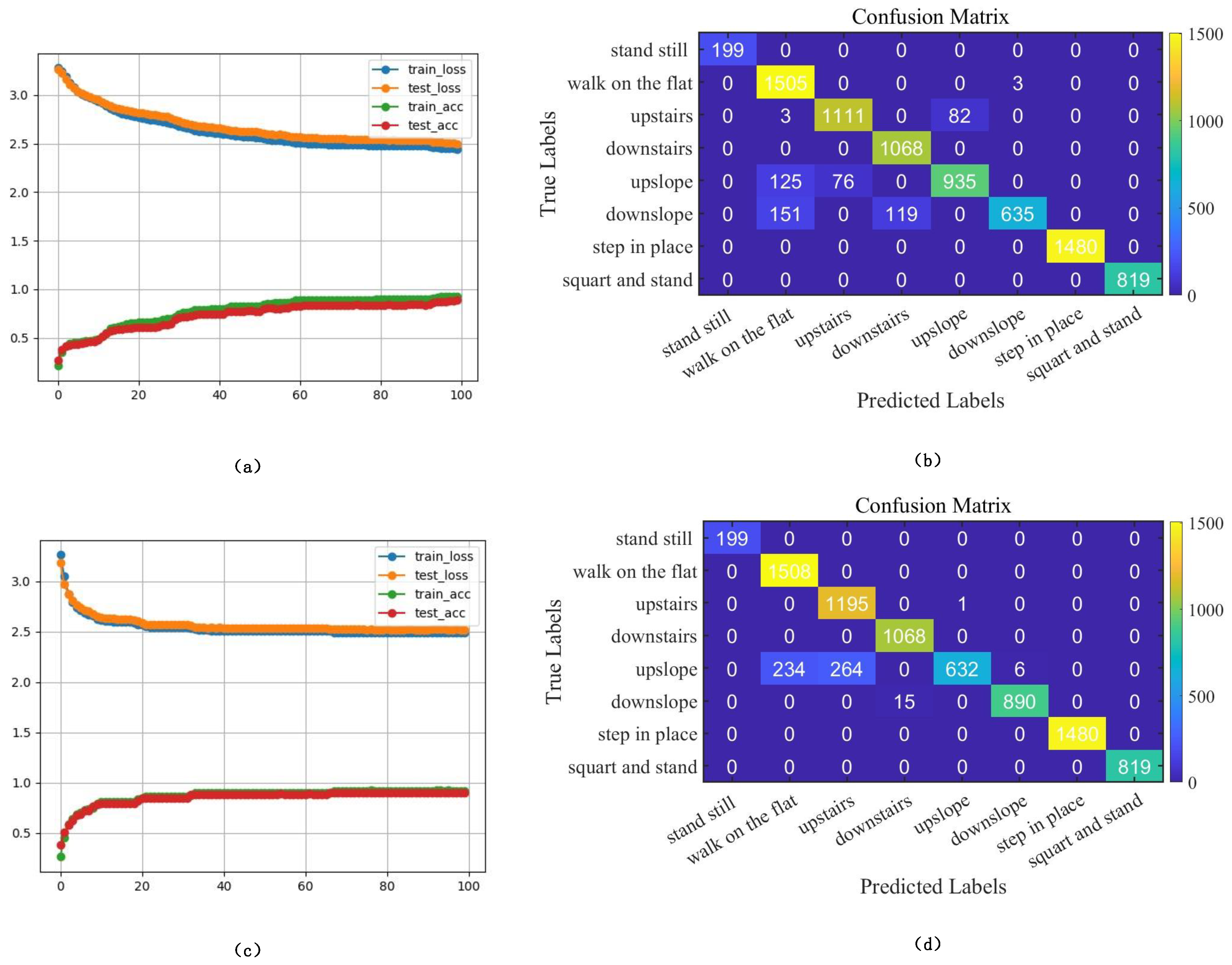
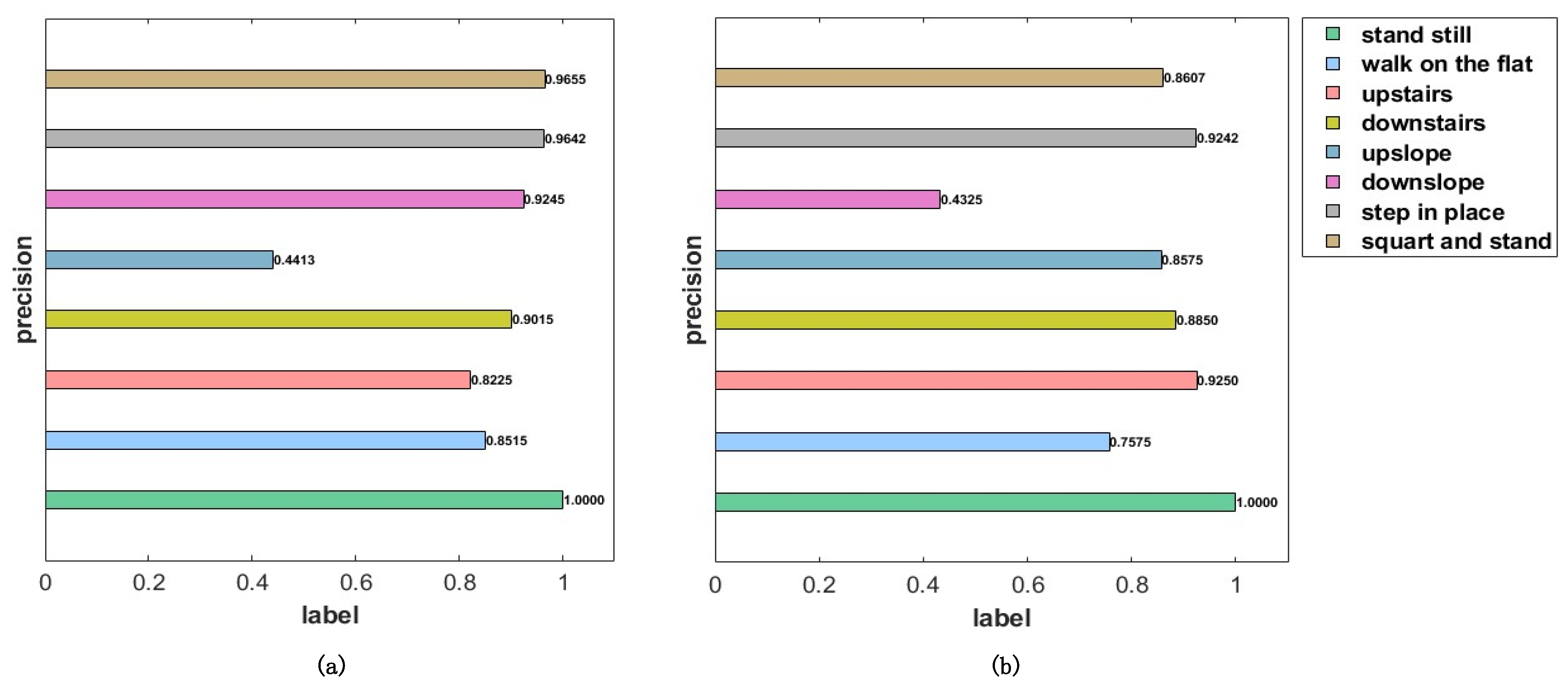
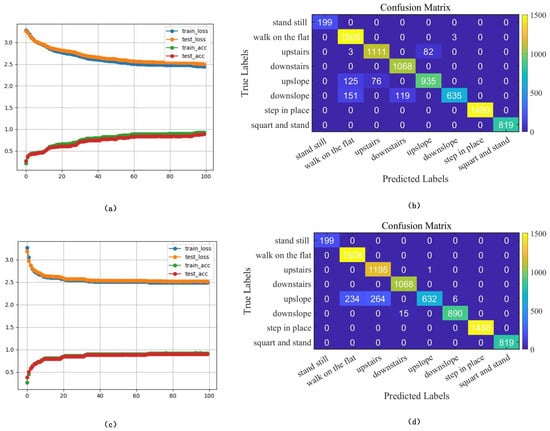
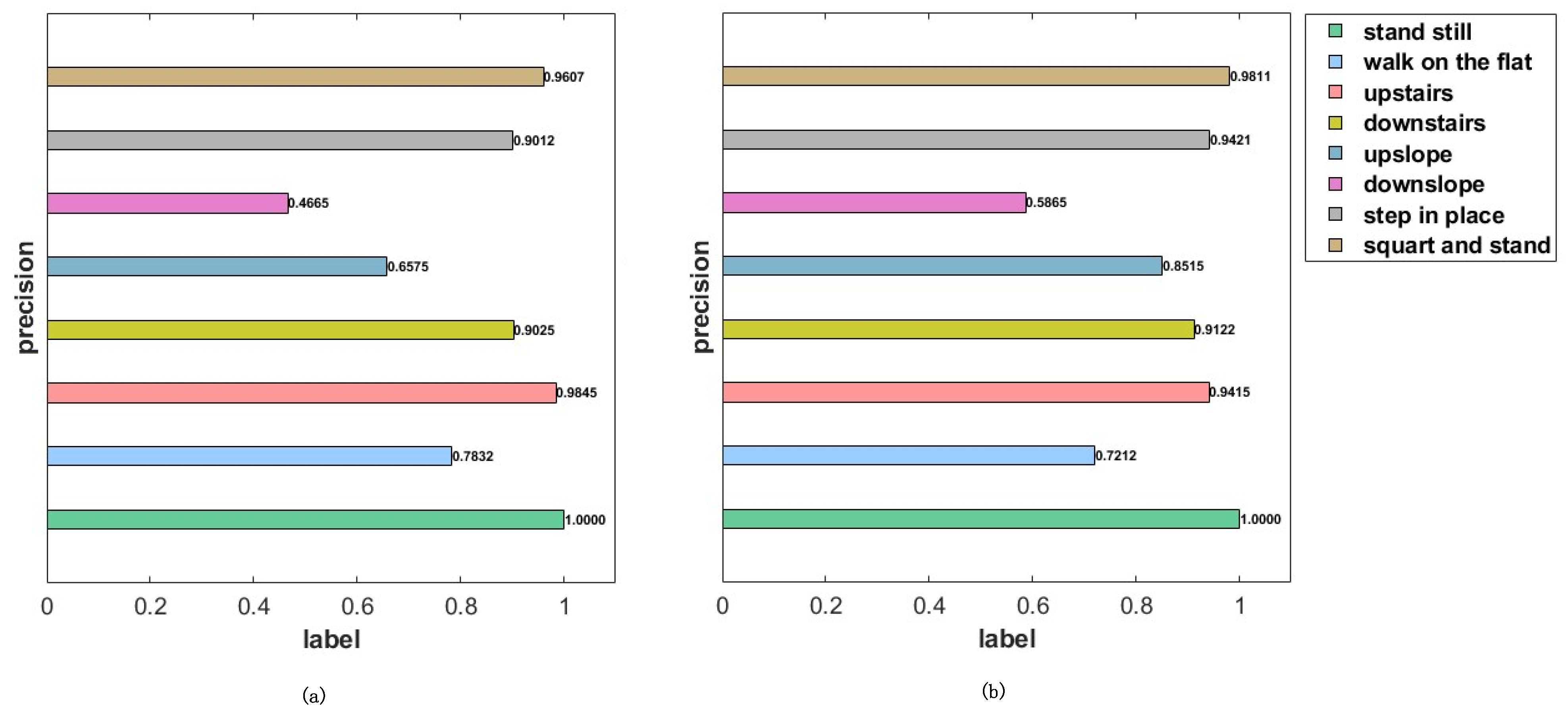
Table 2 presents a comparison of the performance between the proposed PSO-ELM, FNN, and LSTM models, all evaluated under identical experimental conditions. As shown in the loss function and accuracy curves for both training and test sets in Figure 11a, the PSO-ELM model achieved the highest accuracy on the test set, reaching 0.945 (S1) and 0.915 (S2). In contrast, the FNN and LSTM models attained maximum test accuracies of 0.860 (S1) and 0.870 (S2), and 0.900 (S1) and 0.900 (S2), respectively, as summarized in Table 2. The associated training progress and confusion matrices for these models are depicted in Figure 12. Notably, the PSO-ELM model demonstrated a faster and more stable convergence of the loss function compared to the FNN and LSTM models. The confusion matrix further highlights that the PSO-ELM model achieved a higher recognition precision for smaller gaits, distinguishing it from the FNN and LSTM models. The gait recognition precision for each phase is illustrated in Figure 13, Figure 14, Figure 15 and Figure 16. The multi-classification metrics (, , , , , and ) for various network models are summarized in Table 2. The results show that the PSO-ELM model with an attention mechanism achieved the highest values for and , while also yielding the lowest values for and when compared to both the FNN and LSTM models.
Table 2.
The network evaluation metrics.
Figure 11.
The training process and results of the PSO-ELM model of Subject 1: (a) the training process; (b) the confusion matrix.
Figure 12.
The training process and results of the FNN and the LSTM models of Subject 1: (a) the training process of the FNN; (b) the confusion matrix of the FNN; (c) the training process of the LSTM model; (d) the confusion matrix of the LSTM model.
Figure 13.
The recognition precision of the PSO-ELM model for each gait phase of Subject 1.
Figure 14.
The recognition precision for each gait phase of Subject 1: (a) the FNN; (b) the LSTM model.
Figure 15.
The recognition precision of the PSO-ELM model for each gait phase of Subject 1.
Figure 16.
The recognition precision for each gait phase of Subject 1: (a) the FNN; (b) the LSTM model.
A feedforward neural network (FNN) is a type of artificial neural network where connections between the nodes do not form cycles. It consists of an input layer, one or more hidden layers, and an output layer. Data flows in one direction—from input to output—without looping back. FNNs are often used for tasks like classification and regression.
Long short-term memory (LSTM) is a type of recurrent neural network (RNN) designed to model sequences and time-series data. It can remember information for long periods, thus addressing the vanishing gradient problem often encountered in traditional RNNs. LSTM models are commonly used in applications such as speech recognition, language modeling, and other tasks where context from previous inputs is important.
4. Conclusions and Future Work
This study confirms the effectiveness of the PSO-ELM model in gait recognition. When compared to the FNN and LSTM models, the PSO-ELM model demonstrated superior performance in several key evaluation metrics, particularly in classification accuracy, convergence speed during training, and the ability to recognize small gaits with higher precision. By fine-tuning the network’s hyperparameters and utilizing Particle Swarm Optimization (PSO) to enhance the ELM module, the PSO-ELM model achieved reduced classification errors and improved accuracy, showcasing its potential in the domain of gait recognition.
The PSO-ELM algorithm demonstrated significant improvements in gait recognition performance through the integration of Particle Swarm Optimization (PSO) and Extreme Learning Machine (ELM) methodologies. The global optimization capabilities of PSO facilitated effective parameter exploration, leading to enhanced model performance. ELM contributed by offering a rapid training process and high generalization ability, ensuring robust accuracy across various datasets. These advancements are particularly noteworthy in recognizing motion pattern transitions in gait analysis, resulting in improved recognition accuracy and efficiency in dynamic contexts.
For future work, a larger and more diverse set of subjects could be included in the data collection process such as the CAMARGO dataset, and transfer learning techniques could be explored to predict gait data for new individuals. Moreover, integrating the gait recognition algorithm into real-world exoskeleton systems for collaborative motion applications could be a promising direction for further development.
Author Contributions
Conceptualization, Q.G.; methodology, W.L. and H.Z.; software, J.K.; validation, W.L. and H.Z.; formal analysis, W.L.; investigation, G.Y.; resources, G.Y.; data curation, W.L.; writing-original draft preparation, T.L. and K.L.; writing-review and editing, T.L. and K.L.; visualization, H.Z.; supervision, Q.G. and Y.S.; project administration, Y.S. and G.Y.; funding acquisition, G.Y. All authors have read and agreed to the published version of the manuscript.
Funding
This work was supported by Science and Technology Project of SGCC (No. 5400-202318197A-1-1-ZN).
Data Availability Statement
Data is available upon reasonable request.
Conflicts of Interest
The authors declare no conflicts of interest.
References
- Shand, S.; Rahul. Importance of Human Gait Analysis in Biometric Recognition using Machine Learning: A Review. In Proceedings of the 2022 6th International Conference on Trends in Electronics and Informatics (ICOEI), Tirunelveli, India, 28–30 April 2022; pp. 1431–1436. [Google Scholar] [CrossRef]
- Hahm, K.S.; Chase, A.S.; Dwyer, B.; Anthony, B.W. Indoor Human Localization and Gait Analysis using Machine Learning for In-home Health Monitoring. In Proceedings of the 2021 43rd Annual International Conference of the IEEE Engineering in Medicine Biology Society (EMBC), Mexico, 1–5 November 2021; pp. 6859–6862. [Google Scholar] [CrossRef]
- Xing, H.; Zhang, R. Gait recognition for exoskeleton robots based on improved KNN-DAGSVM fusion algorithm. In Proceedings of the 2022 37th Youth Academic Annual Conference of Chinese Association of Automation (YAC), Beijing, China, 19–20 November 2022; pp. 364–369. [Google Scholar] [CrossRef]
- Véronneau, C.; Lucking Bigué, J.P.; Lussier-Desbiens, A.; Plante, J.S. A High-Bandwidth Back-Drivable Hydrostatic Power Distribution System for Exoskeletons Based on Magnetorheological Clutches. IEEE Robot. Autom. Lett. 2018, 3, 2592–2599. [Google Scholar] [CrossRef]
- Coser, O.; Tamantini, C.; Soda, P.; Zollo, L. AI-based methodologies for exoskeleton-assisted rehabilitation of the lower limb: A review. Front. Robot. AI 2024, 11, 1341580. [Google Scholar] [CrossRef] [PubMed]
- Chen, Y.; Wang, L.; Wang, G.; Yang, S.; Wang, Y.; Xiang, M.; Zhang, X.; Chen, H.; Hu, D.; Cheng, H. Spatio-temporal features for fast early warning of unplanned self-extubation in ICU. Eng. Appl. Artif. Intell. 2024, 127, 107294. [Google Scholar] [CrossRef]
- Wang, Y.; Zhu, A.; Wu, H.; Zhu, P.; Cao, G. Control of Lower Limb Rehabilitation Exoskeleton Robot Based on CPG Neural Network. In Proceedings of the 2019 16th International Conference On Ubiquitous Robots (UR), Jeju, Republic of Korea, 24–27 June 2019; pp. 678–682. [Google Scholar]
- Zhan, H.; Kou, J.; Guo, Q.; Wang, C.; Chen, Z.; Shi, Y.; Li, T. Multilevel control strategy of human-exoskeleton cooperative motion with multimodal wearable training evaluation. IEEE Trans. Control Syst. Technol. 2024, 33, 434–448. [Google Scholar] [CrossRef]
- Kou, J.; Wang, Y.; Chen, Z.; Shi, Y.; Guo, Q. Gait planning and multimodal human-exoskeleton cooperative control based on central pattern generator. IEEE/ASME Trans. Mechatron. 2024, 1–11. [Google Scholar] [CrossRef]
- Kou, J.; Wang, Y.; Chen, Z.; Shi, Y.; Guo, Q. Flexible assistance strategy of lower limb rehabilitation exoskeleton based on admittance model. Sci. China Technol. Sci. 2024, 67, 823–834. [Google Scholar] [CrossRef]
- Nakano, T.; Nukala, B.; Zupancic, S.; Rodriguez, A.; Lie, D.; Lopez, J.; Nguyen, T.Q. Gaits classification of normal vs. patients by wireless gait sensor and Support Vector Machine (SVM) classifier. In Proceedings of the 2016 IEEE/ACIS 15th International Conference on Computer and Information Science (ICIS), Okayama, Japan, 26–29 June 2016; pp. 1–6. [Google Scholar] [CrossRef]
- Sardini, E.; Serpelloni, M.; Lancini, M. Wireless Instrumented Crutches for Force and Movement Measurements for Gait Monitoring. IEEE Trans. Instrum. Meas. 2015, 64, 3369–3379. [Google Scholar] [CrossRef]
- Li, W.; Wang, S.; Lei, J.; Wang, X.; Wang, L.; Chen, K.; Zhang, T.; Guan, Y.; Zhao, Z.; Yin, L.; et al. A Multimode Markerless Gait Motion Analysis System Based on Lightweight Pose Estimation Networks. In Proceedings of the 2022 IEEE Biomedical Circuits and Systems Conference (BioCAS), Taipei, Taiwan, 13–15 October 2022; pp. 694–698. [Google Scholar] [CrossRef]
- Lin, H.Y.; Ho, C.Y. Adaptive Speed Bump With Vehicle Identification for Intelligent Traffic Flow Control. IEEE Access 2022, 10, 68009–68016. [Google Scholar] [CrossRef]
- Choi, S.; Kim, J.; Kim, W.; Kim, C. Skeleton-Based Gait Recognition via Robust Frame-Level Matching. IEEE Trans. Inf. Forensics Secur. 2019, 14, 2577–2592. [Google Scholar] [CrossRef]
- Al Kork, S.K.; Gowthami, I.; Savatier, X.; Beyrouthy, T.; Korbane, J.A.; Roshdi, S. Biometric database for human gait recognition using wearable sensors and a smartphone. In Proceedings of the 2017 2nd International Conference on Bio-Engineering for Smart Technologies (BioSMART), Paris, France, 30 August–1 September 2017; pp. 1–4. [Google Scholar] [CrossRef]
- Kim, W.; Kim, Y. Abnormal Gait Recognition based on Integrated Gait Features in Machine Learning. In Proceedings of the 2021 IEEE 45th Annual Computers, Software, and Applications Conference (COMPSAC), Madrid, Spain, 12–16 July 2021; pp. 1683–1688. [Google Scholar] [CrossRef]
- K, A.; Raina, D.; S, T.Y.; Raj, V.; Singh, D. Gait Recognition and Analysis for Person Identification. In Proceedings of the 2023 International Conference on Advances in Electronics, Communication, Computing and Intelligent Information Systems (ICAECIS), Bangalore, India, 19–21 April 2023; pp. 228–232. [Google Scholar] [CrossRef]
- Mekni, A.; Narayan, J.; Gritli, H. Multi-Class Gait Phase Recognition using Machine Learning Models with Two Training Methods. In Proceedings of the 2024 15th International Conference on Computing Communication and Networking Technologies (ICCCNT), Kamand, India, 24–28 June 2024; pp. 1–6. [Google Scholar] [CrossRef]
- Jung, D.; Kim, J.; Kim, M.; Won, C.W.; Mun, K.R. Frailty Assessment Using Temporal Gait Characteristics and a Long Short-Term Memory Network. IEEE J. Biomed. Health Inform. 2021, 25, 3649–3658. [Google Scholar] [CrossRef] [PubMed]
- Zou, W.; Kamata, S.I. Frontal Gait Recognition from Incomplete RGB-D Streams Using Gait Cycle Analysis. In Proceedings of the 2018 Joint 7th International Conference on Informatics, Electronics Vision (ICIEV) and 2018 2nd International Conference on Imaging, Vision Pattern Recognition (icIVPR), Kitakyushu, Japan, 25–29 June 2018; pp. 453–458. [Google Scholar] [CrossRef]
- Urvashi; Kumar, D.; Verma, R. Optimized Recognition of Gait Swing Phases with Convolutional and Recurrent Neural Networks. In Proceedings of the 2024 International Conference on Cybernation and Computation (CYBERCOM), Dehradun, India, 15–16 November 2024; pp. 535–539. [Google Scholar] [CrossRef]
- Domagk, M.; Meyer, J.; Schegner, P. Identification of consumer topologies in low voltage grids by time series analysis of harmonic currents. In Proceedings of the 11th International Conference on Electrical Power Quality and Utilisation, Lisbon, Portugal, 17–19 October 2011; pp. 1–6. [Google Scholar] [CrossRef]
- Li, Y.; Guo, L.; Liu, Y.; Liu, J.; Meng, F. A Temporal-Spectral-Based Squeeze-and- Excitation Feature Fusion Network for Motor Imagery EEG Decoding. IEEE Trans. Neural Syst. Rehabil. Eng. 2021, 29, 1534–1545. [Google Scholar] [CrossRef] [PubMed]
- Zhang, M.; Liu, D.; Wang, Q.; Zhao, B.; Bai, O.; Sun, J. Gait Pattern Recognition Based on Plantar Pressure Signals and Acceleration Signals. IEEE Trans. Instrum. Meas. 2022, 71, 4008415. [Google Scholar] [CrossRef]
- Li, Y.; Zhang, Y.; Cui, W.; Lei, B.; Kuang, X.; Zhang, T. Dual Encoder-Based Dynamic-Channel Graph Convolutional Network With Edge Enhancement for Retinal Vessel Segmentation. IEEE Trans. Med. Imaging 2022, 41, 1975–1989. [Google Scholar] [CrossRef] [PubMed]
- Raadt, A.D.; Warrens, M.J.; Bosker, R.J.; Kiers, H.A.L. A Comparison of Reliability Coefficients for Ordinal Rating Scales. J. Classif. 2021, 38, 519–543. [Google Scholar] [CrossRef]
- Huang, G.B.; Zhu, Q.Y.; Siew, C.K. Extreme learning machine: A new learning scheme of feedforward neural networks. In Proceedings of the 2004 IEEE International Joint Conference on Neural Networks (IEEE Cat. No.04CH37541), Budapest, Hungary, 25–29 July 2004; IEEE: New York, NY, USA, 2005. [Google Scholar]
- Huang, G.B.; Zhu, Q.Y.; Siew, C.K. Extreme learning machine: Theory and applications. Neurocomputing 2006, 70, 489–501. [Google Scholar] [CrossRef]
- Wang, T.; Wang, C.; Liang, J.; Chen, Y.; Zhang, Y. Vision-Aided Inertial Navigation for Small Unmanned Aerial Vehicles in GPS-Denied Environments Regular Paper. Int. J. Adv. Robot. Syst. 2013, 10, 276. [Google Scholar] [CrossRef]
- Lv, P.; Zhang, C.; Yi, F.; Yuan, T.; Li, S.; Zhang, M. A Novel F-SVM based on PSO for Gait Phase Recognition in Lower Limb Exoskeleton. In Proceedings of the 2023 IEEE 18th Conference on Industrial Electronics and Applications (ICIEA), Ningbo, China, 18–22 August 2023; pp. 1378–1383. [Google Scholar] [CrossRef]
- Batool, M.; Jalal, A.; Kim, K. Sensors Technologies for Human Activity Analysis Based on SVM Optimized by PSO Algorithm. In Proceedings of the 2019 International Conference on Applied and Engineering Mathematics (ICAEM), Taxila, Pakistan, 27–29 August 2019; pp. 145–150. [Google Scholar] [CrossRef]
Disclaimer/Publisher’s Note: The statements, opinions and data contained in all publications are solely those of the individual author(s) and contributor(s) and not of MDPI and/or the editor(s). MDPI and/or the editor(s) disclaim responsibility for any injury to people or property resulting from any ideas, methods, instructions or products referred to in the content. |
© 2025 by the authors. Licensee MDPI, Basel, Switzerland. This article is an open access article distributed under the terms and conditions of the Creative Commons Attribution (CC BY) license (https://creativecommons.org/licenses/by/4.0/).















