Model Order Reduction for Rigid–Flexible–Thermal Coupled Viscoelastic Multibody System via the Modal Truncation with Complex Global Modes
Abstract
1. Introduction
2. Brief Description of Rigid–Flexible–Thermal Coupled System Modeling via ANCF
3. Modal Order Reduction Based on the Complex Modal Order Reduction Method
3.1. Elimination of Nonlinear Constraints
3.2. Local Linearization Applied to Dynamic and Heat Transfer Equations
3.3. Modal Order Reduction of Dynamic and Heat Transfer Equations
4. Solution Strategy
5. Numerical Example
5.1. Benchmark Numerical Example: Thermal Induced Vibration of Beam
5.2. Flexible Beam Pendulum
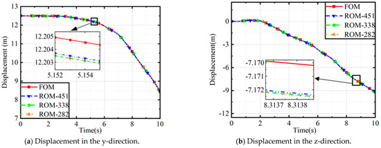
5.3. Dumbbell-Shaped Satellite Rigid–Flexible–Thermal Coupled System
6. Conclusions
Author Contributions
Funding
Data Availability Statement
Conflicts of Interest
References
- Boley, B.A. Thermally induced vibrations of beams. J. Aeronaut. Sci. 1956, 23, 179–181. [Google Scholar] [CrossRef]
- Thornton, E.A.; Kim, Y.A. Thermally induced bending vibrations of a flexible rolled-up solar array. J. Spacecr. Rocket. 1993, 30, 438–448. [Google Scholar] [CrossRef]
- Boley, B.A. Approximate Analyses of Thermally Induced Vibrations of Beams and Plates. J. Appl. Mech. 1972, 39, 787–796. [Google Scholar] [CrossRef]
- Shabana, A. Thermal analysis of viscoelastic multibody systems. Mech. Mach. Theory 1986, 21, 231–242. [Google Scholar] [CrossRef]
- Fan, W.; Liu, J.Y. Geometric nonlinear formulation for thermal-rigid-flexible coupling system. Acta Mech. Sin. 2013, 29, 728–737. [Google Scholar] [CrossRef]
- Liu, J.; Pan, K. Rigid-flexible-thermal coupling dynamic formulation for satellite and plate multibody system. Aerosp. Sci. Technol. 2016, 52, 102–114. [Google Scholar] [CrossRef]
- Otsuka, K.; Makihara, K.; Sugiyama, H. Recent advances in the absolute nodal coordinate formulation: Literature review from 2012 to 2020. J. Comput. Nonlinear Dyn. 2022, 17, 080803. [Google Scholar] [CrossRef]
- Wu, J.; Zhao, Z.H.; Ren, G.X. Dynamic Analysis of Space Structure Deployment with Transient Thermal Load. Adv. Mater. Res. 2012, 479–481, 803–807. [Google Scholar] [CrossRef]
- Čepon, G.; Starc, B.; Zupančič, B.; Boltežar, M. Coupled thermo-structural analysis of a bimetallic strip using the absolute nodal coordinate formulation. Multibody Syst. Dyn. 2017, 41, 391–402. [Google Scholar] [CrossRef]
- Shen, Z.; Hu, G. Thermally induced vibrations of solar panel and their coupling with satellite. Int. J. Appl. Mech. 2013, 05, 1350031. [Google Scholar] [CrossRef]
- Shen, Z.; Tian, Q.; Liu, X.; Hu, G. Thermally induced vibrations of flexible beams using Absolute Nodal Coordinate Formulation. Aerosp. Sci. Technol. 2013, 29, 386–393. [Google Scholar] [CrossRef]
- Cui, Y.; Lan, P.; Zhou, H.; Yu, Z. The Rigid-Flexible-Thermal Coupled Analysis for Spacecraft Carrying Large-Aperture Paraboloid Antenna. J. Comput. Nonlinear Dyn. 2020, 15, 031003. [Google Scholar] [CrossRef]
- Cui, Y.-Q.; Yu, Z.-Q.; Lan, P. A novel method of thermo-mechanical coupled analysis based on the unified description. Mech. Mach. Theory 2019, 134, 376–392. [Google Scholar] [CrossRef]
- Zhou, Z.; Xu, Y.; Cao, C.; Sheng, X. Dynamics for rigid-flexible-thermal coupled solar panel multibody system composed of composite laminated shells. Mech. Based Des. Struct. Mach. 2025, 1–26. [Google Scholar] [CrossRef]
- Li, C.; Tao, J.; Xiao, H.; Zhao, R.; Xing, S.; Guo, H.; Jiang, Y.; Xu, J.; Zhu, G.; Yang, G. Thermoelastic dynamic model for a telescopic wing system based on an absolute nodal coordinate formulation deployable thin plate element. Thin-Walled Struct. 2025, 214, 113372. [Google Scholar] [CrossRef]
- Sun, X.; Jin, J.; Chen, Z. Thermo-flexible coupled modeling and active control of thermally induced vibrations for a flexible plate. Thin-Walled Struct. 2025, 211, 113092. [Google Scholar] [CrossRef]
- Bui, T.A.; Park, J.; Kim, J.-S. A review of combining component mode synthesis and model order reductions for geometrically nonlinear analysis. J. Mech. Sci. Technol. 2025, 38, 4699–4711. [Google Scholar] [CrossRef]
- Lu, K.; Jin, Y.; Chen, Y.; Yang, Y.; Hou, L.; Zhang, Z.; Li, Z.; Fu, C. Review for order reduction based on proper orthogonal decomposition and outlooks of applications in mechanical systems. Mech. Syst. Signal Process. 2019, 123, 264–297. [Google Scholar] [CrossRef]
- Luo, K.; Hu, H.; Liu, C.; Tian, Q. Model order reduction for dynamic simulation of a flexible multibody system via absolute nodal coordinate formulation. Comput. Methods Appl. Mech. Eng. 2017, 324, 573–594. [Google Scholar] [CrossRef]
- Hou, Y.; Liu, C.; Hu, H. Component-level proper orthogonal decomposition for flexible multibody systems. Comput. Methods Appl. Mech. Eng. 2020, 361, 112690. [Google Scholar] [CrossRef]
- Marshall, M.A. Conditions for the convergence of proper orthogonal modes to linear vibration modes. J. Sound Vib. 2023, 553, 117634. [Google Scholar] [CrossRef]
- Peng, H.; Song, N.; Kan, Z. Data-driven Model Order Reduction with Proper Symplectic Decomposition for Flexible Multibody System. Nonlinear Dyn. 2022, 107, 173–203. [Google Scholar] [CrossRef]
- Song, N.; Peng, H.; Kan, Z. A Hybrid Data-driven Model Order Reduction Strategy for Flexible Mechanical System Considering Impact and Friction. Mech. Mach. Theory 2022, 169, 104649. [Google Scholar] [CrossRef]
- Carlberg, K.; Bou-Mosleh, C.; Farhat, C. Efficient Non-Linear Model Reduction via a Least-Squares Petrov-Galerkin Projection and Compressive Tensor Approximations. Int. J. Numer. Methods Eng. 2011, 86, 155–181. [Google Scholar] [CrossRef]
- Carlberg, K.; Farhat, C.; Cortial, J.; Amsallem, D. The GNAT Method for Nonlinear Model Reduction: Effective Implementation and Application to Computational Fluid Dynamics and Turbulent Flows. J. Comput. Phys. 2013, 242, 623–647. [Google Scholar] [CrossRef]
- Amsallem, D.; Zahr, M.J.; Farhat, C. Nonlinear Model Order Reduction Based on Local Reduced-Order Bases. Int. J. Numer. Methods Eng. 2012, 92, 891–916. [Google Scholar] [CrossRef]
- Bui, D.; Hamdaoui, M.; De Vuyst, F. POD-ISAT: An efficient POD-based surrogate approach with adaptive tabulation and fidelity regions for parametrized steady-state PDE discrete solutions. Int. J. Numer. Methods Eng. 2013, 94, 648–671. [Google Scholar] [CrossRef]
- Kobayashi, N.; Wago, T.; Sugawara, Y. Reduction of system matrices of planar beam in ANCF by component mode synthesis method. Multibody Syst. Dyn. 2011, 26, 265–281. [Google Scholar] [CrossRef]
- Sun, D.; Chen, G.; Shi, Y.; Wang, T.; Sun, R. Model reduction of a flexible multibody system with clearance. Mech. Mach. Theory 2015, 85, 106–115. [Google Scholar] [CrossRef]
- Tang, Y.; Hu, H.; Tian, Q. Model order reduction based on successively local linearizations for flexible multibody dynamics. Int. J. Numer. Methods Eng. 2019, 118, 159–180. [Google Scholar] [CrossRef]
- Tang, Y.; Hu, H.; Tian, Q. A condensed algorithm for adaptive component mode synthesis of viscoelastic flexible multibody dynamics. Int. J. Numer. Methods Eng. 2020, 122, 609–637. [Google Scholar] [CrossRef]
- Wu, L.; Tiso, P. Nonlinear model order reduction for flexible multibody dynamics: A modal derivatives approach. Multibody Syst. Dyn. 2016, 36, 405–425. [Google Scholar] [CrossRef]
- Wu, L.; Tiso, P.; Tatsis, K.; Chatzi, E.; van Keulen, F. A modal derivatives enhanced Rubin substructuring method for geometrically nonlinear multibody systems. Multibody Syst. Dyn. 2019, 45, 57–85. [Google Scholar] [CrossRef]
- Yuan, T.; Fan, W.; Ren, H. A general nonlinear order-reduction method based on the referenced nodal coordinate formulation for a flexible multibody system. Mech. Mach. Theory 2023, 185, 105290. [Google Scholar] [CrossRef]
- Li, M. Explicit sensitivity analysis of spectral submanifolds of mechanical systems. Nonlinear Dyn. 2024, 112, 16733–16770. [Google Scholar] [CrossRef]
- Li, M.; Thurnher, T.; Xu, Z.; Jain, S. Data-free non-intrusive model reduction for nonlinear finite element models via spectral submanifolds. Comput. Meth. Appl. Mech. Eng. 2025, 434, 117590. [Google Scholar] [CrossRef]
- Han, X.; Peng, H.; Song, N.; Li, M. Model Reduction of Multibody Systems with Large Deformations via Spectral Submanifolds. Int. J. Mech. Sci. 2025, 287, 109924. [Google Scholar] [CrossRef]
- de Lima, A.; Lambert, S.; Rade, D.; Pagnacco, E.; Khalij, L. Fatigue reliability analysis of viscoelastic structures subjected to random loads. Mech. Syst. Sig. Process. 2014, 43, 305–318. [Google Scholar] [CrossRef]
- Zhao, Y.; Zhang, Y. Improved complex mode theory and truncation and acceleration of complex mode superposition. Adv. Mech. Eng. 2016, 8. [Google Scholar] [CrossRef]
- Sun, P.; Zhang, S.; Yan, Y.; Wang, D. A complex mode superposition method based on Hysteretic damping model for mode static correction. Int. J. Appl. Mech. 2023, 15, 2350083. [Google Scholar] [CrossRef]
- Sun, P.; Yan, Y.; Yang, H. Complex mode superposition method of non-classically damped systems based on hysteretic damping model with frequency-dependent loss factors. J. Sound Vib. 2024, 571, 118122. [Google Scholar] [CrossRef]
- Nachtergaele, P.; Rixen, D.; Steenhoek, A. Efficient weakly coupled projection basis for the reduction of thermo-mechanical models. J. Comput. Appl. Math. 2010, 234, 2272–2278. [Google Scholar] [CrossRef][Green Version]
- Tian, Q.; Yu, Z.; Lan, P.; Cui, Y.; Lu, N. Model order reduction of thermo-mechanical coupling flexible multibody dynamics via free-interface component mode synthesis method. Mech. Mach. Theory 2022, 172, 104786. [Google Scholar] [CrossRef]
- Tian, Q.; Sun, H.; Yu, Z. Model order reduction of thermal-dynamic coupled flexible multibody system with multiple varying parameters. Appl. Math. Model. 2024, 136, 115634. [Google Scholar] [CrossRef]
- Yu, Z.; Liu, Z.; Wang, Y.; Tian, Q. Complex Modal Synthesis Method for Viscoelastic Flexible Multibody System Described by ANCF. J. Comput. Nonlinear Dyn. 2025, 20, 031004. [Google Scholar] [CrossRef]
- Mohamed, A.-N.A.; Shabana, A.A. A nonlinear visco-elastic constitutive model for large rotation finite element formulations. Multibody Syst. Dyn. 2011, 26, 57–79. [Google Scholar] [CrossRef]
- Shabana, A.A. ANCF reference node for multibody system analysis, Proceedings of the Institution of Mechanical Engineers. Part K J. Multi-Body Dyn. 2015, 229, 109–112. [Google Scholar] [CrossRef]
- Manolis, G.D.; Beskos, D.E. Thermally induced vibrations of beam structures. Comput. Methods Appl. Mech. Eng. 1980, 21, 337–355. [Google Scholar] [CrossRef]
















| Item | Ref. [31] | Ref. [43] | Ref. [45] | The Proposed Method |
|---|---|---|---|---|
| damping | Y | N | Y | Y |
| non-proportional damping | N | N | Y | Y |
| nonlinear constraints | Y | Y | N | Y |
| thermal effect | N | Y | N | Y |
| Name | Value |
|---|---|
| Connection beam inner/outer diameter | 0.01 m/0.1 m |
| Thickness of solar panel | 0.03 m |
| Solar panel density | 2700 kg/m3 |
| Young’s modulus of solar panel | 5 GPa |
| Thermal conductivity of solar panel | 45 W/(m·K) |
| Coefficient of thermal expansion of solar panel | 1.5 × 10−6 |
| Heat capacity of a solar panel | 30 J/(kg·K) |
| Beam density | 7850 kg/m3 |
| Young’s modulus of beam | 1 GPa |
| Thermal conductivity of beam | 45 W/(m·K) |
| Coefficient of thermal expansion of beam | 1.5 × 10−6 |
| Heat capacity of beam | 30 J/(kg·K) |
| Beam/panel positive strain damping factor | 4.5 × 10−3 |
| Beam/panel Shear Strain Damping Factor | 4.4 × 10−4 |
| Solar thermal density | 5000 W/m2 |
Disclaimer/Publisher’s Note: The statements, opinions and data contained in all publications are solely those of the individual author(s) and contributor(s) and not of MDPI and/or the editor(s). MDPI and/or the editor(s) disclaim responsibility for any injury to people or property resulting from any ideas, methods, instructions or products referred to in the content. |
© 2025 by the authors. Licensee MDPI, Basel, Switzerland. This article is an open access article distributed under the terms and conditions of the Creative Commons Attribution (CC BY) license (https://creativecommons.org/licenses/by/4.0/).
Share and Cite
Tian, Q.; Pan, C.; Liu, Z.; Chen, X. Model Order Reduction for Rigid–Flexible–Thermal Coupled Viscoelastic Multibody System via the Modal Truncation with Complex Global Modes. Actuators 2025, 14, 479. https://doi.org/10.3390/act14100479
Tian Q, Pan C, Liu Z, Chen X. Model Order Reduction for Rigid–Flexible–Thermal Coupled Viscoelastic Multibody System via the Modal Truncation with Complex Global Modes. Actuators. 2025; 14(10):479. https://doi.org/10.3390/act14100479
Chicago/Turabian StyleTian, Qinglong, Chengyu Pan, Zhuo Liu, and Xiaoming Chen. 2025. "Model Order Reduction for Rigid–Flexible–Thermal Coupled Viscoelastic Multibody System via the Modal Truncation with Complex Global Modes" Actuators 14, no. 10: 479. https://doi.org/10.3390/act14100479
APA StyleTian, Q., Pan, C., Liu, Z., & Chen, X. (2025). Model Order Reduction for Rigid–Flexible–Thermal Coupled Viscoelastic Multibody System via the Modal Truncation with Complex Global Modes. Actuators, 14(10), 479. https://doi.org/10.3390/act14100479

