Abstract
The coupling of topology transition with flexible deformation and rigid motion presents significant challenges in the dynamic modeling of flexible variable topology mechanisms. Existing dynamics models are mostly special-purpose models for their particular cases and thus struggle to completely depict the general topology transition characteristics. To address this gap, this paper proposes an analytical framework for the global dynamic modeling of flexible variable topology mechanisms, focusing on general cases. Initially, the flexible variable topology mechanisms are rigorously defined by the ordered triples and the general topology transition approaches are presented. A novel concept, the “basic flexible kinematic chain set”, is suggested, which can easily transform into the topology of each submechanism by slightly extending. Based on this concept, basic and conditional constraints are established. The continuous dynamic modeling method for each topology is developed using Jourdain’s principle and the Lagrange multiplier method. Additionally, three classes of constraints related to topology transition are identified, and their equations are formulated, elucidating the topology transition nature. Compatibility equations are proposed to define the new coordinate system for describing the deformation of flexible components after the topology transition. An impact dynamic equation is established to describe abrupt velocity change. Integrating compatibility and impact equations, a discontinuous dynamic modeling method for topology transition is developed. Finally, a flexible variable topology mechanism example is studied, and simulations and experiments are conducted to validate the proposed framework. This analytical framework is general-purpose and efficient, guiding the global dynamic modeling of various flexible variable topology mechanisms and the development of sophisticated control techniques.
1. Introduction
Due to their good ability to perform various tasks and strong environmental adaptability, the new type of mechanisms capable of transforming topology, i.e., the variable topology mechanisms, play increasingly important roles in aerospace, national defense, high-end manufacturing and other engineering fields [1,2,3,4]. It should be noted that metamorphic mechanisms, characterized by both variable topology and variable degrees of freedom (DoFs), belong to the variable topology mechanisms from the point of view of variable topology [5]. With their development skewed towards lightweight and large-scale approaches, variable topology mechanisms inevitably exhibit such structural characteristics as large dimensions and large flexibility. As a result, these mechanisms are usually referred to as flexible variable topology mechanisms (FVTMs).
The interaction between topology transition and structural flexibility brings great challenges to the dynamic analyzing modeling of FVTMs. Thus, it is essential to establish a unified dynamic modeling method for better studying the complicated dynamic behaviors of the various FVTMs.
Many researchers have conducted topology description and kinematic analysis for the rigid variable topology mechanisms without structural flexibility. Dai [6], Ding [7] and Li [8] et al., respectively, established the EU-elementary matrix, bicolor topological graph and constraint graph to describe topology. Yang [9] proposed an equivalent resistance matrix for the metamorphic joints according to the equivalent resistance gradient model and the constraint status matrix. Tian [10] presented a method for the configuration synthesis of metamorphic mechanisms based on the source-metamorphic mechanism. Zhang [11] established a novelty configuration scheme based on constraint variation features using the solution of the constraint relationship of metamorphic elements. Rosyid [12] and Wang [13] proposed the kinematic analysis methods for the reconfigurable mechanism based on the screw theory and geometric method, respectively. Kang [14] proposed a metamorphic mechanism by adding a link to the parallelogram mechanism and analyzing the kinematic properties. D’Imperio [15] proposed a topology optimization procedure based on the Equivalent Static Load (ESL) method for industrial robots, which requires the integration of several sub-assemblies. Based on topology description and kinematic analysis, some researchers have investigated dynamic modeling methods for their research examples. Chang [16] suggested a dynamic modeling method for the metamorphic mechanisms based on the fully Cartesian coordinate method. Coppola [17] established a forward dynamic model of the parallel robot using the connection method. Malak [18] developed a dynamic model for the crank–crank to slider–crank variable topology mechanism using the Lagrange method. Li [19] proposed a method for the constraint force analysis of metamorphic joints, providing the basis for the dynamic analysis of the metamorphic mechanism. Müller [20] used the projected motion equations in terms of redundant coordinates and Voronets equations in terms of minimal coordinates to anticipate the dynamic behavior of variable topology mechanisms. Song [21] presented a method for the dynamic modeling of the planar constrained metamorphic mechanism considering impact motions. Wang [22] established the internal impact dynamic model of a controllable metamorphic palletizing robot mechanism using the momentum theorem. Zhou [23] proposed a dynamic analytical method for the full configuration of metamorphic mechanisms based on the classical collision theory and the Newton–Euler equation. Hu [24] built the configuration-complete dynamic equations of the metamorphic mechanism in a cutting machine based on the screw theory and the Kane method. Rong [25] developed an inverse dynamic model of the 3-PUPS-type metamorphic parallel mechanism based on the virtual work principle. Gao [26] established a dynamic model of the three-fingered deployable metamorphic robotic grasper using the Lagrange method. Zare [27] presented a novel rigid origami mechanism and studied its kinematics and dynamics. Gan [28] presented a dynamic model of a metamorphic parallel mechanism with pure rotation and pure translation through the Newton method.
Compared with the rigid variable topological mechanisms, the dynamic modeling methods of FVTMs have not been sufficiently researched. The coupling of topology transition with flexible deformation and the large range of rigid motion brings great challenges for the dynamic modeling of FVTMs. Kövecses [29] proposed a dynamic framework of the flexible mechanism using Jourdain’s principle from the perspective of constraint, providing a good suggestion for the dynamic modeling of the flexible variable topological mechanism. Chang [30] presented a set of spatial interface conditions of the flexible component to guarantee a smooth transition from one topology to another, which guided the transient dynamic modeling of the flexible topology mechanism. Zhang [31] investigated the dynamic deployment of the foldable plate structures based on Lagrange’s equations and the finite element method. Liu [32] built a dynamic model of the missile ejection mechanism using the Lagrange method. Xu [33] established a rigid–flexible coupling multi-body dynamic model of the metamorphic manipulating mechanism of the molded case circuit breaker using the Lagrange method. Liu [34] derived the dynamic equations of the variable topology 3-RRS parallel mechanism by Lagrange’s equation. Wang [35] established a dynamic model of the controllable metamorphic palletizing robot and proposed a method of reliability analysis. Wu [36] investigated the dynamic deployment of foldable plate structures in terms of the generalized nodal coordinates based on Lagrange’s equations of the first kind.
Although these researchers have established their own dynamic models for their research examples, these models are special-purpose and struggle to completely depict general characteristics of the FVTMs. Thus, their models do not apply to FVTMs undergoing multiple complex topologies. Moreover, in terms of modeling processes for FVTMs, the traditional modeling method requires repeatedly establishing the dynamic model for each topology, which is a very time-consuming task. Moreover, most of the modeling approaches for FVTMs in the references use the energy methods applied in traditional unchanged topology mechanisms, such as the Lagrange method. However, unlike traditional flexible unchanged topology mechanisms, the dynamic modeling of FVTMs focuses on explicitly revealing the various discontinuous dynamic behaviors due to the topology transition. In contrast, these energy methods are inappropriate for this. In view of this, this paper aims to put forward an analytical framework for the global dynamic modeling of FVTMs. Emphasis is given to the general case of the FVTMs characterized by topology transition caused by constraints. The rest of the paper is organized as follows: In Section 2, FVTMs are rigorously defined, and three frequently used ways to transform topology are explained. In Section 3, the basic flexible kinematic chain set is proposed to facilitate deriving the dynamic model for each topology. In Section 4, global dynamic modeling for FVTMs is elaborated. In Section 5 and Section 6, a continuous dynamic modeling method for each topology and a discontinuous dynamic modeling method for topology transition are put forward. In Section 7, an example of an FVTM possessing two topologies is studied, and simulations and experiments are conducted to verify the correctness of the proposed methods. Section 8 summarizes the conclusions of this work.
2. Definition of FVTM
To rigorously depict FVTMs and the general topology transition approaches, a series of definitions are proposed.
Definition 1.
The topology of a flexible mechanism. From the point of view of topology transition, the topology of a flexible mechanism is defined by the ordered triples as follows:
where denotes the component sets; denotes the rigid component sets, e.g., a group of rigid links without structural flexibility; denotes the flexible component sets, e.g., a group of flexible links capable of deforming; denotes the connection sets; denotes the rigid connection sets used to connect components without any degrees of freedoms (DoFs); denotes the rigid joint sets, e.g., a group of rigid kinematic pairs; denotes the flexible joint sets, e.g., a group of flexible kinematic pairs; denotes the correlation function sets that are a group of unordered pairs, unordered triples, etc. from to , used to describe the correlation relationships between components; & denotes the unordered product; and represents the quantity of elements in a set.
Equation (1) indicates that the topology of a flexible mechanism is determined by the component sets , the connection sets and the correlation function sets . Equation (2) indicates that a flexible mechanism contains at least one correlation relationship between at least two components and at least one rigid or flexible joint. Equation (3) indicates that a flexible mechanism contains at least one flexible component or flexible joint.
Definition 2.
The ideal flexible mechanism. For the convenience of studying the topology of a flexible mechanism, a “clean” mechanism is needed. To this end, a flexible mechanism from which all of the local DoFs, inactive DoFs and virtual constraints are removed is referred to as an ideal flexible mechanism.
Definition 3.
The flexible variable topology mechanism. Suppose that the topology of an ideal flexible mechanism is in time and in time , where and denote the time before and after , which are infinitely close . An ideal flexible mechanism is referred to as a flexible variable topology mechanism if it can satisfy the following conditions within :
where , , , and “” denote the operational symbol for computing the relative complement set; contains the components that are in but not in ; contains the components that are in but not in ; contains the connections that are in but not in ; contains the connections that are in but not in ; contains the correlation functions that are in but not in ; and contains the correlation functions that are in but not in .
From Equation (4), it can be concluded that if any one of the component sets, the connection sets or the correlation function sets of the flexible mechanism is different before and after the topology transition, the flexible mechanism is viewed as the FVTM.
According to Definition 3, there are three frequently used ways to transform the topology of an FVTM, which are defined as follows:
- (1)
- Changing the quantity or property (e.g., rigid or flexible) of components;
- (2)
- Changing the quantity or property (e.g., rigid or flexible) of connections;
- (3)
- Changing the correlation functions.
3. Basic Flexible Kinematic Chain Set
Usually, an FVTM possesses different topologies in different phases of a working cycle. For convenience, the FVTM depicted by each topology is referred to as a submechanism. Obviously, a submechanism is the embodiment of an FVTM in a working-phase. Each submechanism corresponds to each topology.
Since an FVTM possesses multiple topologies and multiple submechanisms in a working cycle, we must establish the dynamic model for each submechanism. Compared with a conventional mechanism possessing only one topology, these tasks are tedious and time-consuming. For this reason, the concept of “the basic flexible kinematic chain set” is proposed. By slightly extending the dynamic model of the basic flexible kinematic chain set, the dynamic model of each submechanism can be easily obtained.
Definition 4.
The basic flexible kinematic chain set. The basic flexible kinematic chain set (BFKCS) is defined as follows:
where denotes all unduplicated components in all submechanisms, all of which are treated as flexible components (if contains the base, the base is considered a rigid component); denotes all unduplicated joints in all submechanisms; and denotes the basic correlation functions that exert basic constraints on the connected components; the basic constraint is a constraint that is present in all topologies.
According to Definition 4, the topology of a submechanism can be evolved from the topology of the BFKCS in two ways: converting the component from flexible to rigid or adding new correlation relationships. That is to say, the evolution process is unidirectional, i.e., the component can only be converted from flexible to rigid and the correlation relationships can only be added. This unidirectional evolution process facilitates deriving the dynamic model of each submechanism from the dynamic model of the BFKCS.
4. Overview of Global Dynamic Modeling
As shown in Figure 1, an FVTM can transform its topology in different phases of a working cycle. Within each working-phase, the topology of an FVTM possesses unchanged DoFs, unchanged constraints and unchanged topology. As a result, its dynamic behavior within each working-phase is in a steady state and can be described by a continuous dynamic model. When an FVTM transforms its topology between two adjacent working-phases, its constraints will change accordingly, resulting in sudden changes in the boundary conditions, the kinematic parameters and so on. As a result, its dynamic behavior during topology transition is in a transient state and should be described by a discontinuous dynamic model. Based on the above analysis, it can be concluded that the global dynamic model of an FVTM consists of the continuous dynamic models describing each working-phase and the discontinuous dynamic models describing each topology transition.
Figure 1.
Global dynamic modeling of an FVTM.
In order to establish the global dynamic model of an FVTM, the following steps are adopted: First, based on the analysis of each submechanism, the BFKCS is abstracted and constructed. Second, the dynamic model of the BFKCS is established. Third, the continuous dynamic model of each submechanism is established by slightly extending the dynamic model of the BFKCS. Finally, the discontinuous dynamic model describing each topology transition is established.
5. Continuous Dynamic Modeling
As mentioned in Section 4, the dynamic behavior of an FVTM within a working-phase should be described by a continuous dynamic model. For each submechanism, it is actually a flexible multi-body system subjected to various constraints. Regarding these constraints, some of them are present in all topologies, and thus are referred to as basic constraints; the others can appear or disappear under certain conditions, and thus are referred to as conditional constraints. These conditional constraints are the basis for realizing topology transition. According to Definition 4, only conditional constraints are not included in a BFKCS. Thus, a BFKCS can be used as the basis for establishing the dynamic models of all submechanisms. In view of this, we further establish a dynamic model of each submechanism through adding the conditional constraint equations to the dynamic model of the BFKCS. This approach can significantly improve modeling efficiency.
Recently, joint flexibility has been greatly decreased due to the widespread use of high-stiffness transmission systems, whereas structural flexibility still exerts a significant adverse influence on mechanical systems, especially those used in aerospace, national defense and high-end manufacturing. Based on this, only structural flexibility is considered in this research. In FVTMs, the topology transition will lead to multiple changes in the constraints, boundary conditions, mode shape and generalized coordinates of the mechanism. Additionally, these transitions are accompanied by numerous impacts and discontinuous motions. Therefore, the combined coupling of joint flexibility, structural flexibility and topology transitions increases the difficulty of the research. In view of this, the potential solution begins with analyzing the dynamic behavior of the simplest such mechanism, comprising one flexible joint, one flexible component, and one topology transition. Subsequently, the research will extend to more complex FVTMs.
As shown in Figure 2, the continuous dynamic modeling process of each submechanism is explained as follows: First, based on the analysis of each submechanism, the unduplicated components, the basic constraints, the conditional constraints and the property factor are extracted. Second, a BFKCS is constructed based on all basic constraints. Third, supposing all components in the BFKCS are unconstrained, a dynamic model of all unconstrained components is established. Fourth, through adding the basic constraint equations to the dynamic model of all unconstrained components using the Lagrange multiplier method, a dynamic model of the BFKCS is established. Finally, through adding both the conditional constraint equations and the property factor to the dynamic model of the BFKCS, a continuous dynamic model of each submechanism is established.
Figure 2.
Continuous dynamic modeling process of each submechanism.
5.1. Dynamic Modeling of BFKCS
5.1.1. Kinematic Analysis of Unconstrained Component
As shown in Figure 3, is the inertial coordinate system and is the floating coordinate system of the unconstrained component . denotes the rotation transformation matrix of the floating coordinate with respect to the inertial coordinate system . When subjected to an external force , an arbitrary mass element of is supposed to move from point to point after deformation. denotes the position vector of point with respect to the inertial coordinate system. denotes the position vector of origin of the floating coordinate system with respect to origin of the inertial coordinate system. denotes the position vector of point with respect to the floating coordinate system. denotes the deformation vector of point with respect to point in the floating coordinate system. denotes the vector sum of and in the floating coordinate system.
Figure 3.
A kinematic analysis of the unconstrained component.
The deformation vector is represented by the modal coordinates vector as follows:
where denotes the modal coordinate vector, while denotes the quantity of the modal coordinates. denotes the modal matrix of the mass element in the floating coordinate system, while denotes the mode vectors.
Based on Equation (6), the position vector , velocity vector and acceleration vector of the -th mass element in the inertial coordinate system can be derived in the form of a generalized coordinate vector as follows:
where , , , , , and denote the generalized coordinate vector; denotes the description of in the inertial coordinate system; denotes the angular velocity vector of the floating coordinate system with respect to the inertial coordinate system; and denote the antisymmetric matrixes of and ; and denotes the property factor used to decide the property of component . If is a flexible component, then ; otherwise, .
5.1.2. Dynamic Modeling of the Unconstrained Component
The topology transformation in an FVTM is often accompanied by the impact motion. The Jourdain principle is especially well suited for the analysis of complex impulsive motion. Thus, the Jourdain principle is employed to establish the dynamic modeling of the FVTM. Based on the Jourdain principle, the dynamic equations of the unconstrained component can be expressed as
where denotes summation over the mass elements of ; denotes the variation in ; denotes the mass of the mass element; and denote the strain and stress of the -th mass elements; and , and denote the modal damping matrix and modal stiffness matrix.
By substituting Equations (8) and (9) into Equation (10), Equation (10) is rewritten in the form of generalized coordinate vectors as follows:
where
Equation (11) is the dynamic equation of an unconstrained component. It is suitable for both rigid and flexible components through modifying the property factor .
5.1.3. Constraint Equations in Continuous Dynamic Modeling
In a submechanism, the position vector of an arbitrary mass element with respect to the inertial coordinate system can be expressed as
where are generalized coordinates of the components, is the quantity of the components, and is the quantity of the mass element.
From Equation (15), the velocity vector of can be obtained as
Generally, the constraints in FVTMs are bilateral holonomic. Supposing the submechanism has bilateral holonomic constraints including basic constraints and conditional constraints (), they can be expressed as
where denotes the -th submechanism and denotes the time.
The time derivatives of these constraint equations can be written as
Substituting Equation (16) into Equations (19) and (20), the basic and conditional constraint equations shown in Equations (17) and (18) are expressed in the form of generalized coordinates vector as follows:
where , , , .
5.1.4. Dynamic Equations of BFKCS
The dynamic equations of a BFKCS can be obtained by adding the basis constraint equations to the dynamic equations of the unconstrained components. The Lagrange multiplier method is well suited for handling such changing constraints through introducing or removing Lagrange multipliers. Thus, the dynamic equations of the BFKCS are established by the Lagrange multiplier method.
Supposing that there are components in the BFKCS, the dynamic model of all unconstrained components is
where , , , .
Suppose the BFKCS contains basic constraints. Introducing the basic constraint equation (21) into Equation (23) using the Lagrange multiplier method, the dynamic equations of the BFKCS can be written as
where
Each element of is obtained from of Equation (21); and denote the Lagrange multiplier vector of the basic constraint equations.
5.2. Dynamic Modeling for Submechanisms
The dynamic equations of a submechanism can be obtained by adding the conditional constraint equations to the dynamic equations of a BFKCS.
Suppose that there are submechanisms in an FVTM and there are conditional constraints in a -th submechanism. Using the Lagrange multiplier method, the conditional constraint equations shown in Equation (22) can be added to Equation (24). Thus, the dynamic equations of each submechanism can be obtained:
where
Each element of is obtained from of Equation (22) in the -th submechanism; and denote the Lagrange multiplier vector of the conditional constraint equations.
Equation (26) is the continuous dynamic model of each submechanism of the FVTM. Through modifying the conditional constraint equations and the property factor, the continuous dynamic model of all submechanisms can be established. Compared with traditional methods, this method is more procedural and can be implemented by programming, which can significantly improve modeling efficiency and be suitable for an FVTM with multiple complex topologies.
6. Discontinuous Dynamic Modeling
As mentioned in Section 4, the dynamic behavior during topology transition should be described by a discontinuous dynamic model. It provides the initial conditions and the boundary conditions for the analysis of the continuous dynamic model. Since topology transition is always accompanied by sudden changes in constraints, the constraint equations during topology transition should be established for deriving the discontinuous dynamic model of the FVTM.
6.1. Constraint Equations During Topology Transition
As shown in Figure 4, suppose an FVTM transforms its topology at the time point within a time interval . and its small vicinity describe the topology transition process, where and denote the infinitesimal time before and after . As mentioned in Section 5, there are basic constraints and conditional constraints in an FVTM. In this section, these constraints are further divided into the following three classes from the perspective of topology transition:
Figure 4.
Classification of constraints.
Class I: Basic constraints, which exist in the entire time interval. These constraints can be expressed by Equation (21), where and are continuous. If an FVTM has Class I constraints, their constraint equations during topology transition can be expressed as
where and denote the constant matrices of the and in Equation (21) at , denotes the generalized coordinate value at , denotes the generalized coordinate value at and denotes the quantity of the components.
Class II: Conditional constraints, which persist until the time point and are suddenly removed afterwards. A practical example is when a joint is suddenly disconnected. These constraints can be expressed by Equation (22), where and exist in topology and disappear in topology . From an engineering point of view, canceling constraints increases the DoFs of the mechanism but does not generate an impulse.
If an FVTM has Class II constraints, these constraint equations during topology transition can be expressed as
where and denote the constant matrices of and in Equation (22) at of topology .
Class III: Conditional constraints, which suddenly appear at the time point and persist after it. A practical example is when two components are suddenly connected by a joint. These constraints can be expressed by Equation (22), where and do not exist in topology and appear in topology . Adding constraints decreases the DoFs of the mechanism. From an engineering point of view, these constraints are impulsive and the velocity vector of the mechanism will change discontinuously, meaning that these constraints can introduce impacts to the mechanism.
If an FVTM has Class III constraints, these constraint equations during topology transition can be expressed as
where and denote the constant matrices of the and in Equation (22) at of topology .
From the above analysis, it can be seen that the Class II and Class III constraints play important roles in investigating the transient dynamic behavior of topology transition. When the Class II constraints vanish, the boundary conditions of the related flexible components will change but no impact occurs. When the Class III constraints appear, the boundary conditions of the related flexible components will change and impact will occur at the same time. As a result, the floating coordinate system before topology transition will no longer be suitable for depicting the motion of a flexible component after topology transition. In view of this, compatibility equations are proposed to solve this problem.
6.2. Compatibility Equations
As we know, the deformation of a flexible component can be described by modal coordinates and modal shapes. After topology transition, the constraints of a flexible component may change, and thus the deformation of a flexible component needs to be determined by new modal coordinates and new modal shapes. In this case, the floating coordinate system before topology transition will not be suitable for depicting the deformation of a flexible component after topology transition. Thus, a new floating coordinate system suitable for new constraints should be established to accurately describe the deformation of a flexible component after topology transition. It is selected and defined from the compatibility equations.
According to Definition 3, topology transition occurs within an infinitesimal time interval . In this time vicinity, the configuration of the mechanism does not change. As a result, the position vector of point shown in Figure 3 does not change before and after topology transition, which is expressed as
where
and denote the values of the variables at and in Equation (7).
Since the position vector before topology transition is known, can be expressed as
In Equation (34), , , and are unknown. and define the new floating coordinate system of a flexible component after topology transition.
In order to solve the above unknown parameters, additional kinematic equations are needed. To this end, suppose that there is a vector on the point in the floating coordinate system shown in Figure 3. This vector can be expressed in the inertial system as
where denotes the description of in the inertial coordinate system, denotes the antisymmetric matrix of and denotes the small rotational angle of vector at point with respect to the floating coordinate system.
Since the vector does not change before and after topology transition, one has
In Equation (36), since the vector is artificially given, , and are known; only and are unknown.
After the topology, since the constraint equations after topology transition are known, a set of conditions that constrain the deformation vector and rotational angle of the constrained points are
where and denote the known constant vectors.
Substituting Equation (37) into Equations (34) and (36) yields the compatibility equation, which can be expressed as
According to Equation (38), the equations of and satisfying the conditions Equation (37) can be obtained. Thus, the floating coordinate system can be selected and defined after topology transition.
6.3. Impact Dynamic Equations of Topology Transition
When the Class III constraints are activated, the impact will occur at the related flexible components, resulting in abrupt velocity change. In this case, the kinematic parameters before topology transition cannot be directly used as the initial values of the next topology. Thus, the impact equations associated with the Class III constraints should be established for obtaining the initial values of the next topology.
Integrating Equation (26) within and combining Equations (28) and (30), the impact dynamic equations of the mechanism can be obtained as
where denotes the velocity change before and after topology transition; and denote the velocity at and ; , , and denote the constant matrices in Equation (25) at ; and , and denote the constant matrices in Equation (27) at and .
According to the impact dynamic equations shown in Equation (39), the velocity vector after topology transition of the FVTM can be obtained if the impact time interval and the velocity vector before topology transition are given.
6.4. Summary
In summary, the flow chart for analyzing dynamic behavior during topology transition is shown in Figure 5.
Figure 5.
A kinematic analysis of the unconstrained component.
First, the constraints associated with topology transition are classified and their constraint equations are established. The Class I constraints persist in the entire topology transition process and thus do not cause abrupt changes in dynamic behavior during topology transition. In contrast, the Class II and the Class III constraints are conditional constraints, which may disappear or appear during topology transition and thus may influence the dynamic behavior during topology transition. Thus, Class II and Class III constraints are our concern when analyzing the dynamic behavior during topology transition.
Second, if there are Class II constraints during topology transition, no impact will occur, no matter whether they are applied to the rigid or flexible components. As a result, it is not necessary to establish the impact equations. Subsequently, we determine whether the Class II constraints are applied to the flexible components. If the Class II constraints are suddenly removed from the flexible components during topology transition, the boundary conditions of these flexible components will change. In this case, it is necessary to establish the compatibility equations (i.e., Equation (38)) to obtain new floating coordinate systems of the flexible components after topology transition.
Third, if there are Class III constraints during topology transition, the impact will occur no matter whether they are applied to the rigid or flexible components. As a result, it is necessary to establish the impact dynamic equations (i.e., Equation (39)) to obtain the abrupt change in kinematic parameters during topology transition. Subsequently, we determine whether the Class III constraints are applied to the flexible components. If the Class III constraints are suddenly applied to the flexible components during topology transition, it is necessary to establish the compatibility equations (i.e., Equation (38)), so as to obtain new floating coordinate systems for the flexible components in the submechanism .
7. Example
In this section, an FVTM possessing two topologies is used as an example to demonstrate our proposed analytical framework for the global dynamic modeling of FVTMs.
7.1. Theoretical Analysis
7.1.1. The BFKCS of the FVTM
As shown in Figure 6a, the FVTM consists of the base, the rigid arm with length , the flexible arm with length and the slider with mass . The rigid arm is hinged to the base by joint . The flexible arm is hinged to the rigid arm on point A by joint . The slider is hinged to the flexible arm on the point B by joint . The slider can move along the linear guideway through translational joint . The flexible arm is regarded as an Euler–Bernoulli beam due to the large span-to-height ratio. is the inertial coordinate system fixed on the base. , and are the floating coordinate systems attached to the rigid arm, the flexible arm and the slider. denotes the deformation vector of the point on the flexible arm in . and are rotational angles of the rigid arm and the flexible arm, whose positive rotational direction is counterclockwise. In this case, the FVTM is a crank–slider mechanism (indicating topology 1 and submechanism 1). If the flexible arm is disconnected from the slider, the FVTM becomes a two-link serial mechanism (indicating topology 2 and submechanism 2), as shown in Figure 6b. After topology transition, is the new floating coordinate system attached to the flexible arm.
Figure 6.
An FVTM possessing two topologies.
According to Definition 4, the BFKCS of the FVTM is constructed as follows:
where ; ; ; and
,
, and denote the base, the rigid arm, the flexible arm and the slider. , and are treated as flexible components.
Since the rigid or flexible property of each component does not change, the property factors of components , and in different topologies are
7.1.2. Constraint Equations
In this example, the FVTM is planar and only the first-order mode is considered. The generalized coordinates of the components in BFKCS are expressed as
where , and denote the generalized coordinates of the components , and ; denotes the translational coordinates of relative to along and axes; denotes the rotational coordinate along the axis; denotes the translational coordinates of relative to along the and axes; denotes the rotational coordinates along the axis; , and denote the first-order mode coordinates of the components , and ; denotes the translational coordinates of relative to along the and axes; and denotes the rotational coordinates along the axis.
The constraint equations of the FVTM are established.
(1) Class I constraints:
where denotes the deformation vector of the point in the floating coordinate system; and denote deformation along the axis and axis; and denotes the first-order mode shape at point of the flexible arm in the floating coordinate system.
Equations (43)–(45) denote the constraint equations of joints , and .
(2) Class II constraints:
where denotes the deformation vector of point in the floating coordinate system, while and denote deformation along the axis and axis.
Equation (46) denotes the constraint equations of joint .
(3) Class III constraints
where denotes the rotational speed after topology transition, while denotes the rotation angle of the cross-section at point of the flexible arm around the axis.
Equation (47) denotes the constraint equations of joint .
7.1.3. Continuous Dynamic Modeling of the Example
(1) Dynamic equations of submechanism 1 (topology 1)
where , , , , , , , , , , and denote the constraint force along the axis; denotes modal damping; denotes the friction force from the slider and guide; denotes the friction factor; and denote the density and the cross-section area of the rigid arm; and denote the density and the cross-section area of the rigid arm; denotes the torque of ; denotes the flexural rigidity of the flexible arm; denotes the distance between point and point along the axis; denotes the natural damping of the flexible arm; and denote Lagrange multipliers, i.e., the constraint forces along the and axes provided by joint ; and denotes the first-order mode shape of the simply supported beam at point of the flexible arm in the floating coordinate system.
Equations (52) and (53) are the Class II conditional constraint equations, which are introduced into the dynamic equations shown in Equations (48)–(51) by the Lagrange multiplier method.
(2) Dynamic equations of the submechanism 2 (topology 2):
where denotes the Lagrange multiplier, i.e., the torque of joint , while denotes the first-order mode shape of the cantilever beam at point of the flexible arm in the floating coordinate system.
Equation (57) is the Class III conditional constraint equation, which is introduced into the dynamic equations shown in Equation (55) by the Lagrange multiplier method.
7.1.4. Discontinuous Dynamic Modeling of the Example
As exhibited in Section 7.1.2, there are Class II constraints and Class III constraints, which are exerted on the flexible components of the FVTM. Thus, the compatibility equations and the impact dynamic equations are established in this section.
(1) Compatibility equations:
Assume that topology transition occurs within a time interval . Substituting the constraint Equation (47) into Equation (36), we can obtain
where , denotes the rotational transformation matrix of the floating coordinate system at , while denotes the rotational transformation matrix of the floating coordinate system at , which is known.
According to constraint Equations (44) and (47), it is reasonable to describe the deformation of the flexible arm using the mode shape of a cantilever beam after topology transition. This requires that the origin of the floating coordinate system is rigidly attached to point ; thus, the translational coordinates of at can be set as
Equations (58) and (59) determine the coordinate system after topology transition.
(2) Impact dynamic equations:
During topology transition, the rotational speed of joint changes abruptly, resulting in the occurrence of internal impact. In order to obtain the initial values of the kinematic parameters of submechanism 2 after topology transition, the impact dynamic equations need to be established.
According to Equations (39) and (57), the impact dynamic equations of the flexible arm can be obtained by integrating Equation (56) as follows:
where and and denote the modal velocities of the flexible arm before and after topology transition; and and denote the velocities of joint before and after topology transition; and and and denote the velocities of joint before and after topology transition.
In Equation (60), the modal velocity of the flexible arm before topology transition, the rotational speed of joint and the rotational speed of joint can be determined based on the continuous dynamic model of submechanism 1. Thus, if the rotational speeds and of joint and joint after topology transition are known, the modal velocity of the flexible arm after topology transition can be obtained.
7.2. Numerical Simulation
The continuous and discontinuous dynamic models are simulated by the Runge–Kutta method. Within a working cycle, the FVTM has two working-phases. In the first working-phase, i.e., 0 s to 50 s, joint rotates at a constant speed of rad/s. The FVTM works as a crank–slider mechanism. At 50 s, the FVTM starts to transform its topology. Within a very short time period, i.e., 0.052 s, joint is disconnected from the slider and joint starts to rotate at a constant speed of rad/s. After this, the FVTM works as a two-link serial mechanism. The other structural parameters are shown in Table 1.
Table 1.
The structural parameters of the FVTM.
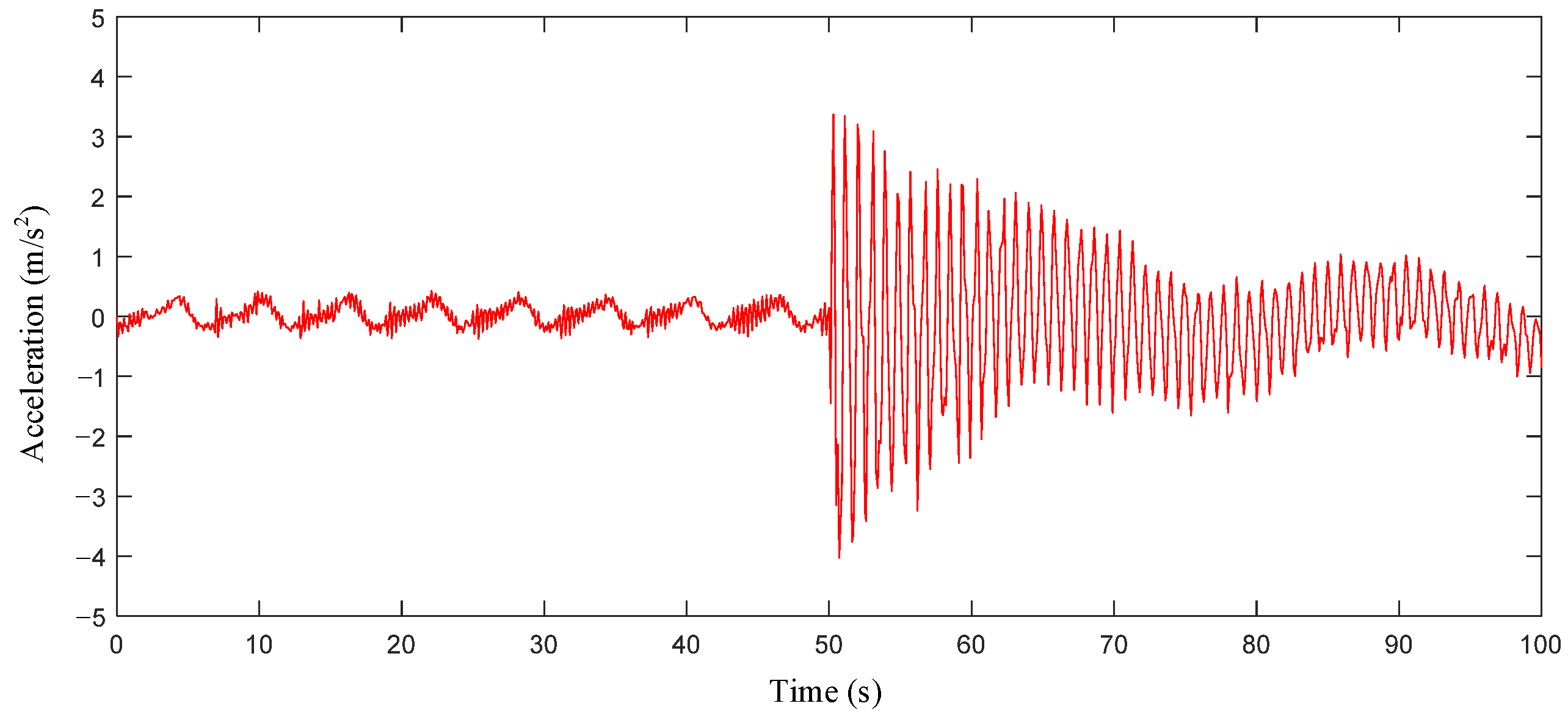
The midpoint response of the flexible arm in the whole working cycle is shown in Figure 7. It can be seen that the vibration response of the first working-phase is different from that of the second working-phase. Moreover, it undergoes a notable impact during topology transition, resulting in a sudden change in amplitude.
Figure 7.
The midpoint response of the flexible arm in a working cycle.
As shown in Figure 8a, the midpoint response of the flexible arm within the first working-phase is characterized by the vibration superimposed on the periodic rigid motion. It has the eight largest amplitudes (i.e., 0.33 m/s2, 0.37 m/s2, 0.38 m/s2, 0.38 m/s2, 0.37 m/s2, 0.36 m/s2, 0.36 m/s2 and 0.36 m/s2) and seven smallest amplitudes (i.e., −0.37 m/s2, −0.39 m/s2, −0.39 m/s2, −0.38 m/s2, −0.37 m/s2, −0.36 m/s2 and −0.36 m/s2). As shown in Figure 8b, the midpoint response of the flexible arm within the second working-phase is characterized by the damped vibration. The peak-to-peak values are 7.28 m/s2, 4.90 m/s2, 3.14 m/s2, 2.03 m/s2, 1.37 m/s2 and 0.89 m/s2 at around 50 s, 60 s, 70 s, 80 s, 90 s and 100 s, respectively.
Figure 8.
The midpoint response of the flexible arm within the first and second working-phases: (a) the first working-phase; (b) the second working-phase.
As shown in Figure 9a, the midpoint response of the flexible arm within the first working-phase has two main frequencies, 0.16 Hz and 3.5 Hz, corresponding to the rigid motion frequency and the first-order flexible vibration frequency. As shown in Figure 9b, the midpoint response of the flexible arm within the second working-phase has two main frequencies, 0.04 Hz and 1.22 Hz, corresponding to the rigid motion frequency and the first-order flexible vibration frequency.
Figure 9.
The frequency spectra of the first and second working-phases: (a) the first working-phase; (b) the second working-phase.
7.3. Experiment Verification
To verify the correctness of the proposed analytical framework for the global dynamic modeling of the FVTMs, the experimental setup is developed, as shown in Figure 10, which consists of the mechanical system, the control system and the detecting system. Its structural and kinematic parameters are the same as those of the theoretical simulation model.
Figure 10.
An experimental setup possessing two topologies.
The mechanical system is composed of a base, the joint , the rigid arm, the joint , the flexible arm, the linear guideway, the rail bracket, the variable topology joint , and the slider. Since the flexible arm has a large length-to-height ratio, it is regarded as an Euler–Bernoulli beam. The variable topology joint is installed on the slider and used to implement topology transition. As shown in Figure 11, it consists of an electromagnet, a bracket and bearing. When the electromagnet is switched on, the flexible arm and the slider are connected by the variable topology joint . In this case, the experimental setup works as a crank–slider mechanism (as shown in Figure 6a), where the flexible arm can rotate with respect to the slider. When the electromagnet is switched off, the variable topology joint will disconnect the flexible arm from the slider. In this case, the experimental setup works as a two-link serial mechanism (as shown in Figure 6b).
Figure 11.
Variable topology joint .
The control system is composed of a GTS-400-PV-PCIE motion controller, the servomotor driver 1, the servomotor driver 2 and a relay. The motion controller controls the motion of the joint and the joint via the servomotor driver 1 and the servomotor driver 2. Moreover, the motion controller enables the connection and disconnection of the variable topology joint by controlling the relay.
The detecting system includes a gyroscope and the servomotor encoders and . The servomotor encoders measure the rotational velocities of and , then transmit these velocity signals to the control system through the servomotor driver 1 and the servomotor driver 2. The gyroscope attached to the middle of the flexible arm collects acceleration data and then transmits these signals to the control system.
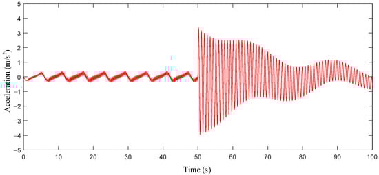
The midpoint response of the flexible arm in the whole working cycle is shown in Figure 12, which shows that the vibration response of the experimental setup is close to the simulation.
Figure 12.
The midpoint response of the flexible arm in a working cycle.
As shown in Figure 13a, the midpoint response of the flexible arm within the first working-phase also has the eight largest amplitudes and seven smallest amplitudes. By comparing the theoretical simulation results (shown in Figure 8a) and the experimental results, it can be seen that their vibration responses are very close, characterized by the same quantity of the largest amplitudes and smallest amplitudes. The mean relative error (i.e., the average of the absolute values of the errors) of the eight largest amplitudes is 6.65%, and the mean relative error of the seven smallest amplitudes is 4.50%. As shown in Figure 13b, the midpoint response of the flexible arm within the second working-phase is also characterized by the damped vibration. By comparing the theoretical simulation results (shown in Figure 8b) and the experimental results, it can be seen that their vibration responses are very close. The errors of the peak-to-peak value around 60 s, 70 s, 80 s, 90 s and 100 s are 5.19%, 3.26%, 0.83%, −3.34% and −1.23%. The mean relative error is 2.77%.
Figure 13.
The midpoint response of the flexible arm within the first and second working-phases: (a) the first working-phase; (b) the second working-phase.
As shown in Figure 14a, the midpoint response of the flexible arm within the first working-phase has two main frequencies, 0.16 Hz and 3.46 Hz, corresponding to the rigid motion frequency and the first-order flexible vibration frequency. By comparing the theoretical simulation results (shown in Figure 9a) and the experimental results, it can be seen that their main frequencies are very close. The error of the first frequency is 0, and the error of the second frequency is 1.16%. As shown in Figure 14b, the midpoint response of the flexible arm within the second working-phase has two main frequencies, 0.04 Hz and 1.2 Hz, corresponding to the rigid motion frequency and the first-order flexible vibration frequency. By comparing the theoretical simulation results (shown in Figure 9b) and the experimental results, it can be seen that their main frequencies are very close. The error of the first frequency is 0, and the error of the second frequency is 1.67%.
Figure 14.
The frequency spectra of the first and second working-phases: (a) the first working-phase; (b) the second working-phase.
Although the numerical simulation results are very close to experimental results, there are still some errors between them. The main reason is the discrepancies between the theoretical model and the experimental setup, including the following: (1) the structural parameters and the kinematic parameters of the theoretical model struggle to be identical to those of the experimental setup; (2) it is difficult for the experimental setup to perfectly realize the ideal boundary conditions of the flexible arm in the theoretical model; (3) the friction between the slider and the linear guideway in the experimental setup is complicated and time-varying, and thus the theoretical model struggles to accurately simulate it. Even so, the experimental results have verified the correctness of the proposed analytical framework for global dynamic modeling of the FVTM.
8. Conclusions
In this paper, an analytical framework is put forward for the global dynamic modeling of an FVTM. Based on a rigorous definition of an FVTM, a BFKCS is proposed to facilitate deriving the dynamic model for each topology. Employing a BFKCS and constraints, the continuous dynamic modeling method for each topology is put forward by Jourdain’s principle and the Lagrange multiplier method. The unnecessary task of repeatedly modeling the dynamics for different topologies is avoided. Since topology transition is accompanied by constraint changes, we focus our attention on constraints. All constraints of topology transition are classified and the related constraint equations are established. Based on the constraints, the natures of various discontinuous dynamic behaviors due to the topology transition are revealed explicitly. A discontinuous dynamic modeling method incorporating compatibility and impact dynamic equations is proposed to define the new coordinate system and describe the abrupt velocity change. This analytical framework is general-purpose and procedural, and it can be used as an effective guide for modeling the global dynamic behavior of a large variety of FVTMs and for developing sophisticated control techniques.
With the development of space exploration, more and more FVTMs are being applied in the fields of solar arrays, satellite antennas, folding mechanisms and space robots. The proposed modeling method provides an effective analytical framework for the dynamic modeling of the above robots and spacecraft, establishing a foundation for subsequent design and simulation.
Author Contributions
Methodology, R.G.; formal analysis, P.L.; investigation, R.G.; writing—original draft preparation, Y.B.; writing—review and editing, Z.G. and Y.Z. All authors have read and agreed to the published version of the manuscript.
Funding
This research was funded by the National Natural Science Foundation of China (No. 52075014).
Informed Consent Statement
Informed consent was obtained from all subjects involved in this study.
Data Availability Statement
Dataset available on request from the authors.
Conflicts of Interest
Author Peng Liu was employed by the company China State Shipbuilding Corporation. The remaining authors declare that the research was conducted in the absence of any commercial or financial relationships that could be construed as a potential conflict of interest.
References
- He, J.; Gao, F.; Sun, Q. Design and Kinematic Analysis of a Novel Hybrid Kinematic Mechanism with Seven-Degrees-of-Freedom and Variable Topology for Operation in Space. J. Mech. Robot. 2019, 11, 011003. [Google Scholar] [CrossRef]
- Slaboch, B.J.; Hobbs, B.W. Novel Classification of Planar Four-Bar Mechanisms with Variable Topology. In Proceedings of the ASME 2018 International Design Engineering Technical Conferences and Computers and Information in Engineering Conference, Quebec City, QC, Canada, 26 August 2018; p. V05BT07A006. [Google Scholar]
- Tang, Z.; Qi, P.; Dai, J. Mechanism Design of a Biomimetic Quadruped Robot. Ind. Robot. Int. J. Robot. Res. Appl. 2017, 44, 512–520. [Google Scholar] [CrossRef]
- Habashneh, M.; Rad, M.M. Plastic-limit probabilistic structural topology optimization of steel beams. Appl. Math. Model. 2024, 128, 347–369. [Google Scholar] [CrossRef]
- Dai, J.S.; Jones, J.R. Mobility in Metamorphic Mechanisms of Foldable/Erectable Kinds. J. Mech. Des. 1999, 121, 375–382. [Google Scholar] [CrossRef]
- Dai, J.S.; Jones, J.R. Matrix Representation of Topological Changes in Metamorphic Mechanisms. J. Mech. Des. 2005, 127, 837–840. [Google Scholar] [CrossRef]
- Ding, H.; Zhao, J.; Huang, Z. Unified Topological Representation Models of Planar Kinematic Chains. J. Mech. Des. 2009, 131, 114503. [Google Scholar] [CrossRef]
- Li, D.; Zhang, Z.; McCarthy, J.M. A Constraint Graph Representation of Metamorphic Linkages. Mech. Mach. Theory 2011, 46, 228–238. [Google Scholar] [CrossRef]
- Yang, Q.; Hao, G.; Li, S.; Wang, H.; Li, H. Practical Structural Design Approach of Multiconfiguration Planar Single-Loop Metamorphic Mechanism with a Single Actuator. Chin. J. Mech. Eng. 2020, 33, 77. [Google Scholar] [CrossRef]
- Tian, H.; Ma, H.; Ma, K. Method for Configuration Synthesis of Metamorphic Mechanisms Based on Functional Analyses. Mech. Mach. Theory 2018, 123, 27–39. [Google Scholar] [CrossRef]
- Zhang, L.; Liu, Y.; Zhang, Y. An Improved Metamorphosis-Based Scheme of Feed Mechanism Using Configuration Synthesis. Processes 2022, 10, 2487. [Google Scholar] [CrossRef]
- Rosyid, A.; Stefanini, C.; El-Khasawneh, B. A Novel Reconfigurable 3-DOF Parallel Kinematics Machine. J. Mech. Robot. 2024, 16, 021005. [Google Scholar] [CrossRef]
- Wang, F.; Li, D.; Li, H. Mechanism Design and Kinematic Analysis of a Robotic Modular Finger and Reconfigurable Hand. In Proceedings of the 2021 IEEE International Conference on Robotics and Biomimetics (ROBIO), Sanya, China, 27–31 December 2021; pp. 1923–1928. [Google Scholar]
- Kang, X.; Lei, H.; Li, B. Multiple bifurcated reconfiguration of double-loop metamorphic mechanisms with prismatic joints. Mech. Mach. Theory 2022, 178, 105081. [Google Scholar] [CrossRef]
- D’Imperio, S.; Berruti, T.M.; Gastaldi, C.; Soccio, P. Practical Design Guidelines for Topology Optimization of Flexible Mechanisms: A Comparison between Weakly Coupled Methods. Robotics 2024, 13, 55. [Google Scholar] [CrossRef]
- Chang, B.Y.; Jin, G.G.; Dai, J.S.; Yun, J.T. The Dynamics Analysis of Metamorphic Mechanisms Based on Fully Cartesian Coordinates Method. Adv. Mater. Res. 2010, 139–141, 2391–2396. [Google Scholar] [CrossRef]
- Coppola, G.; Zhang, D.; Liu, K.; Gao, Z. Design of Parallel Mechanisms for Flexible Manufacturing with Reconfigurable Dynamics. J. Mech. Des. 2013, 135, 071011. [Google Scholar] [CrossRef]
- Malak, P.W.; Voglewede, P.A. Dynamic Analysis of a Planar Mechanism with Variable Topology. In Proceedings of the ASME 2015 International Design Engineering Technical Conferences and Computers and Information in Engineering Conference, Boston, MA, USA, 2 August 2015; p. V05CT08A018. [Google Scholar]
- Li, S.; Wang, H.; Yang, Q. Constraint Force Analysis of Metamorphic Joints Based on the Augmented Assur Groups. Chin. J. Mech. Eng. 2015, 28, 747–755. [Google Scholar] [CrossRef]
- Müller, A. Forward Dynamics of Variable Topology Mechanisms—The Case of Constraint Activation. Proc. Inst. Mech. Eng. Part K J. Multi-Body Dyn. 2016, 230, 442–454. [Google Scholar] [CrossRef]
- Song, Y.; Chang, B.; Jin, G.; Wei, Z.; Li, B. An Approach for the Impact Dynamic Modeling and Simulation of Planar Constrained Metamorphic Mechanism. Shock Vib. 2020, 2020, 8837838. [Google Scholar] [CrossRef]
- Wang, R.G.; Chen, H.Q.; Li, Y.X.; Zou, Q.M.; Yuan, H.Q. Internal Impact Analysis of a Novel Controllable Metamorphic Palletizing Robot Mechanism. Appl. Mech. Mater. 2014, 551, 481–486. [Google Scholar] [CrossRef]
- Zhou, Y.; Chang, B.; Jin, G.; Wang, Z. Dynamic Analysis of Metamorphic Mechanisms with Impact Effects During Configuration Transformation. Chin. J. Mech. Eng. 2024, 37, 120. [Google Scholar] [CrossRef]
- Hu, S.H.; Wang, H.G.; Liu, X.L.; Zhang, X.D. Research on Configuration-Complete Dynamic Modeling of Metamorphic Mechanism Based on Screw Theory. Adv. Mater. Res. 2013, 655–657, 531–536. [Google Scholar] [CrossRef]
- Rong, Y.; Zhang, X.C.; Qu, M.K. Unified Inverse Dynamics for a Novel Class of Meta-morphic Parallel Mechanisms. Appl. Math. Model. 2019, 74, 280–300. [Google Scholar] [CrossRef]
- Gao, C.; Zhang, Y.; Kang, X.; Xu, P.; Li, B. Dynamic Analysis of a Three-Fingered Deployable Metamorphic Robotic Grasper. Mech. Mach. Theory 2023, 180, 105140. [Google Scholar] [CrossRef]
- Zare, S.; Spaeth, A.; Suresh, S.; Teodorescu, M. Modular Self-Lock Origami: Design, Modeling, and Simulation to Improve the Performance of a Rotational Joint. Proc. Inst. Mech. Eng. Part K J. Multi-Body Dyn. 2024, 238, 64–79. [Google Scholar] [CrossRef]
- Gan, D.; Dai, J.S.; Dias, J.; Seneviratne, L. Joint Force Decomposition and Variation in Unified Inverse Dynamics Analysis of a Metamorphic Parallel Mechanism. Meccanica 2016, 51, 1583–1593. [Google Scholar] [CrossRef]
- Kövecses, J.; Cleghorn, W.L. Finite and Impulsive Motion of Constrained Mechanical Systems via Jourdain’s Principle: Discrete and Hybrid Parameter Models. Int. J. Non-Linear Mech. 2003, 38, 935–956. [Google Scholar] [CrossRef]
- Chang, C.W.; Shabana, A.A. Spatial Dynamics of Deformable Multibody Systems with Variable Kinematic Structure: Part 1—Dynamic Model. J. Mech. Des. 1990, 112, 153–159. [Google Scholar] [CrossRef]
- Zhang, Q.; Liu, Y.; Li, M.; Han, Y.; Cai, J.; Feng, J. Simulation of Dynamics During Deployment of Foldable Origami Structures. Int. J. Struct. Stab. Dyn. 2020, 20, 2050058. [Google Scholar] [CrossRef]
- Liu, H.; Zhou, J.; Mo, Z.; Zhang, S. A Novel Variable Topology Design for a Mul-ti-Flexible Ejection Mechanism. Def. Technol. 2020, 16, 432–438. [Google Scholar] [CrossRef]
- Xu, J.; Zhang, S.; Zhao, Z.; Lin, X. Metamorphic Manipulating Mechanism Design for MCCB Using Index Reduced Iteration. Chin. J. Mech. Eng. 2013, 26, 232–241. [Google Scholar] [CrossRef]
- Liu, S.; Dai, J.; Shen, G.; Li, A.; Cao, G.; Feng, S.; Meng, D. Dynamic Analysis of Spatial Parallel Manipulator with Rigid and Flexible Couplings. J. Cent. South Univ. 2017, 24, 840–853. [Google Scholar] [CrossRef]
- Wang, R.; Chen, H.; Dong, Y.; He, S. Reliability analysis and optimization of dynamics of metamorphic mechanisms with multiple failure modes. Appl. Math. Model. 2023, 117, 431–450. [Google Scholar] [CrossRef]
- Wu, F.; Yu, Y.; Zhao, Y.; Yuan, X. Nonlinear Dynamics Analysis of Flexible Deployable Linkage Mechanisms Using the Finite Particle Method, Int. J. Struct. Stab. Dyn. 2021, 21, 2150184. [Google Scholar] [CrossRef]
Disclaimer/Publisher’s Note: The statements, opinions and data contained in all publications are solely those of the individual author(s) and contributor(s) and not of MDPI and/or the editor(s). MDPI and/or the editor(s) disclaim responsibility for any injury to people or property resulting from any ideas, methods, instructions or products referred to in the content. |
© 2024 by the authors. Licensee MDPI, Basel, Switzerland. This article is an open access article distributed under the terms and conditions of the Creative Commons Attribution (CC BY) license (https://creativecommons.org/licenses/by/4.0/).













