Next Article in Journal
Time-Delay-Based Sliding Mode Tracking Control for Cooperative Dual Marine Lifting System Subject to Sea Wave Disturbances
Previous Article in Journal
Robust Predefined Time Stability of nth-Order Systems Subject to Deterministic Matched Disturbances
 
 
Font Type:
Arial Georgia Verdana
Font Size:
Aa Aa Aa
Line Spacing:
Column Width:
Background:
Article

Research on the Cutting Control Method of a Shield-Type Cutting Robot

1
School of Mechanical Engineering, Xi’an University of Science and Technology, Xi’an 710054, China
2
Shaanxi Provincial Key Laboratory of Intelligent Testing and Control of Mine Mechanical and Electrical Equipment, Xi’an University of Science and Technology, Xi’an 710054, China
*
Author to whom correspondence should be addressed.
Actuators 2024, 13(12), 490; https://doi.org/10.3390/act13120490
Submission received: 13 October 2024 / Revised: 11 November 2024 / Accepted: 27 November 2024 / Published: 1 December 2024
(This article belongs to the Section Actuators for Robotics)

Abstract

With problems of low cutting efficiency, poor forming quality, and low control accuracy in large-section semi-coal rock roadway tunneling, comprehensive coal tunneling seriously lags behind fully mechanized mining. A fuzzy PID control method was proposed, taking the cutting robot in a shield-type tunneling system as the research object. Using mathematical analysis and other methods, a kinematic model of the cutting robot was established, and the pose transformation matrix of the cutting robot during the cutting process was obtained. A limit model for the motion space of the cutting robot cutting drum was established, and the motion relationship between the driving cylinder and the cutting drum was obtained. A fuzzy PID cutting robot control scheme was designed. The feasibility of the model was validated by simulation methods, and the correctness of the model and simulation was verified through on-site experiments. The results indicate that the established cutting robot model is correct, and the proposed fuzzy PID control method for the cutting robot is feasible. The maximum error of the center control of the cutting drum was 5.5 mm, and the average date was 0.89 mm, which was far less than the standard of 50 mm for engineering of the cross-section cutting of the roadway. This study enriches the control theory of shield-type cutting robots by improving control accuracy, enhancing the cutting efficiency of large-section semi-coal rock tunnels, ensuring the quality of section forming, and narrowing the gap between comprehensive coal tunneling and fully mechanized mining.

1. Introduction

With the continuous progress and development of technology in coal mining, the restriction of mine roadway tunneling in the development of coal mine intelligence is particularly prominent [1]. In view of the improvement of the intelligence level of roadway tunneling, the state issued the “Coal mine robot key research and development catalog,” “Guidance on accelerating the intelligent development of coal mines” [2,3,4,5], and other documents. The state also put forward clear requirements for mining robots of high quality for high safety in mining. In recent years, the mechanization and intelligence of coal mining continue to improve, and mining efficiency is gradually improving [6], which puts forward more efficient and higher-quality requirements for roadway tunneling. However, the intelligence of tunneling cutting is low, and most of the methods rely on manual operation or memory cutting and other methods of operation. The quality and efficiency of mine roadway tunneling cannot keep up with the pace [7,8,9] of coal mining.
Large-section tunneling equipment needs to be updated, and further research is needed on the theory of tunneling and cutting control methods.
Scholars have conducted extensive research on the tunneling theory and control methods of roadheaders. In terms of cutting kinematics, Li Xu [10] et al. established a kinematic model for an EBZ160-type roadheader, solved the kinematic equation, and analyzed the correlation and change law of the cutting motion when the tunnel cutting arm is yawing, the boring center rate of rotation, and the rotating table angle speed through simulation research. Li Xiaohuo [11,12] et al. built a model for the cutting motion of a short transverse axis roadheader and studied and simulated the motion characteristics of the cutting head. Huang Jiannong [13] et al. established a solid model of the cutting part of an EBH300A horizontal transverse axis roadheader and studied the changes in the rate, displacement, and acceleration of the cutting teeth during cutting. The above research on the kinematics of roadheaders, which analyzed the motion laws of various components such as the speed, rotational angular velocity, displacement, etc., of the cantilever roadheader during the cutting process, has provided a strong theoretical basis for the cutting control of cantilever roadheaders. But these studies were all focused on the structure of open roadheaders. The cutting motion law is significantly different from that of shield-type tunneling systems, and it cannot fully and accurately describe the motion of shield tunneling systems.
In terms of cutting control, Zhang Xuhui [14,15,16] et al. put forward a trajectory tracking technology based on improved sliding-mode control to solve the issues of a slow convergence rate and serious buffeting in the trajectory tracking and control of the roadheader. They introduced the longitudinal pose error and heading angle error, increased the power term, and solved the problem of fast convergence and system buffeting. Yang Wenjuan [17] et al. proposed the space trajectory planning method for the roadheader to solve the issues of the low automation degree and efficiency of the roadheader, as well as the deficiency of poor section-forming quality. Visual positioning was used as the feedback quantity of the pose to achieve dynamic control of the cutting processes for the cutting section. Wang Dongjie [18] et al. put forward a cutting control method for the cutting arm using multi-sensor information for the roadheader. It took the current of the cutting motor, the pressure of the cutting arm-driven oil cylinder, and the vibration acceleration of the cutting arm as the basis for identifying the coal-rock cutting load; the current of the cutting motor, the cutting arm-driven oil cylinder, and the vibration acceleration of the cutting arm were controlled by a controller using an optimized genetic algorithm fuzzy PID to achieve swing speed adjustment and control of the cutting arm. Mao Qinghua [19] et al., according to the analysis of the movement of the support part of the vertical axis roadheader, obtained the mathematical relationship between the elevation angle of the roadheader and the supporting part, and the transfer function of the oil cylinder from the support part was established. A fuzzy controlling theory was combined with the neural network to form PID control parameters, and a fuzzy PID controlling model with a neural network for the pitch angle of the vertical axis of the roadheader was established to achieve accurate control of the pitch motion of the vertical axis of the roadheader. The extensive research above enriched the control theories of coal mine roadway section cutting, accelerated the convergence speed of control, and greatly improved the accuracy of cutting control. These control methods using more complex algorithms or control strategies could cause problems such as frequent controller updates, excessive resource occupation, and heavy controller burden. And there have been no reports on the widespread application of relevant control methods in engineering practice.
In summary, the research at present on the cutting control of tunnel sections is focused on cantilever roadheaders, which are suitable for open-tunneling machine structures. On one hand, they are highly unsuitable for the shield-type tunneling system that supports the roof and floor of the roadway and effectively stabilizes the cutting system. This necessitates in-depth research on the motion law of the shield-type structure cutting system. On the other hand, more complex control methods applicable to open structures have many limitations in shield structures. In view of this, the shield-type tunneling robot system was developed. This study took the shield-type cutting robot as the research object, established the kinematics model of the cutting robot, determined the relationship model between the swinging cylinder of the cutting arm and the expansion of the sliding cylinder and the cutting trajectory of cutting drum, proposed the fuzzy PID cutting control method, and then verified the models and control method by designing a simulation and on-site test. This study improved cutting efficiency and forming quality, which is quite important in large-section semi-coal rock roadway sections.
The main research contributions of this study are as shown below:
(1) A shield-type cutting robot was designed for large-section semi coal rock roadway tunneling.
(2) An improved D-H kinematic model for the shield-type cutting robot was established, and the pose transformation matrix of the cutting robot from the shield of temporary robot I to the cutting drum was completed, which laid a theoretical foundation for coal roadway section cutting control.
(3) A fuzzy PID cutting control method of the shield-type cutting robot was proposed to improve the efficiency and quality of cutting surface forming of large-section roadway.
(4) Simulations, on-site tests, and application of the shield-type cutting robot were carried out, and they verified that the kinematic model and the control method established met the requirements of section cutting and improved the efficiency of large-section roadway cutting.
The organizational structure of this paper is as follows: The structure and the working principle of the shield-type cutting robot are introduced in Section 2. In Section 3, the kinematics model of the cutting robot is established, and then solved. In Section 4, the trajectory planning is established, and the fuzzy PID cutting control method is proposed. In Section 5, a simulation analysis is carried out, and an on-site test platform of cutting control is designed and erected for test and application. In Section 6, conclusions are drawn.

2. Shield-Type Cutting Robot

To achieve high quality and efficiency of large-section semi-coal rock roadway tunneling, a “full-section shield-type tunneling robot system” was proposed [20,21]. It is composed of a full-width transverse axis cutting robot (cutting robot), temporary supporting robot I and II, an anchor drilling robot, an anchor network transport robot, and an electro-hydraulic control platform, etc., as shown in Figure 1. The temporary supporting robots I and II realize the forwards and backwards of the robot system by cooperating with each other, and provide a stable and safe cutting platform for the robot system, as shown in Figure 2. The cutting robot is integrated in the temporary supporting robot I through a sliding table, the cutting robot is composed of a cutting drum, a cutting arm, and a sliding table, etc., as shown in Figure 3. The cutting robot realizes the forward and backward sliding movement by the contraction and expansion of the hydro-cylinder of the sliding table, and the up and down swing of the cutting drum is realized by the swing of the cutting arm. The composite movement of two sliding table driving oil cylinders and two cutting arm oil cylinders realize the large-section forming cutting of coal mine roadway. Its technical parameters are shown in Table 1.

3. Kinematic Model of Shield-Type Cutting Robot

The mechanical structure of the shield-type cutting robot can be approximated as a rigid body. The moving joint consists of the translation joint of the sliding table connected with the temporary supporting robot, the vertical swinging joint of the cutting arm and the sliding table, and the rotating joint of the cutting drum and the cutting arm. A coordinate system is installed on each joint of the cutting robot. Then, the space transformation matrix of the cutting robot is established according to the coordinate transformation [22,23]. OXYZ is the geodetic coordinate system, O0X0Y0Z0 is the sliding table coordinate system, O1X1Y1Z1 expresses the cutting arm coordinate system, O2X2Y2Z2 expresses the cutting drum coordinate system, and O3X3Y3Z3 expresses the roadway coordinate system, as shown in Figure 4.
According to the structure and the working principle, the multi-link mechanism cutting robot was simplified, and the motion and posture coordinate system of the cutting robot was established by the improved D-H method [24,25], as shown in Figure 5. Table 2 shows the cutting robot motion D-H parameters.
Wherein the lower shield body coordinate system of the shield-type cutting robot (temporary support robot I) is O0X0Y0Z0, the coordinate system of the sliding table relative to the lower shield body is O1X1Y1Z1, O2X2Y2Z2 is the robot cutting arm coordinate system which is relative to the sliding table, the coordinate system of the cutting drum is O3X3Y3Z3, and O3 is the center of the cutting drum. αi−1 is the rotation angle of the public perpendicular line Xi−1 from the i − 1-th axis of the joint to the axis of the i-th joint, li−1 is the length of the public perpendicular between the axis of the i-th joint and the axis of the i − 1-th joint, θi is the rotation angle (Xi−1 to Xi) on the Zi axis of the two public perpendicular axes li−1 and li, and di is the distance of the angle between two common perpendicular lines (Xi−1 to Xi) on the Zi axis.

3.1. Positive Solution of Robot Cutting Kinematics

According to the principle of the improved D-H method and the kinematic parameters of the cutting robot, the coordinate transformation relationship between two connecting coordinate systems can be obtained:
T i i 1 = R ( x , α i 1 ) T r ( x , l i 1 ) R ( z , θ i ) T r ( z , d i )
where R (x, αi−1) is the rotation matrix of the rotating angle αi−1 around the Xi axis, Tr (x, ai−1) is the translation matrix of the translation distance ai−1 along the Xi axis, R (z,θi) is the rotation matrix of the rotating angle di around the Zi axis, and Tr (z,di) is the translation matrix of the translation distance di along the Zi axis. The resulting transformation matrix is
T i i 1 = c s 0 l i 1 s θ i c α i 1 c c α i 1 s α i 1 d i s α i 1 s θ i s α i 1 c s α i 1 c α i 1 d i c α i 1 0 0 0 1
Putting the robot motion arguments of the cutting robot in Table 1 into the matrix of transformation, we multiply the homogeneous matrix of transformation of each two connecting rods, and the forward kinematics equations of the shield-type cutting robot are acquired as below:
T 3 0 = T 2 1 1 0 T T 3 2
T 0 3 = 0 0 1 l 0 d 2 d 3 c 2 s 3 + c 3 s 2 c 2 c 3 s 2 s 3 0 d 1 + l 2 s 2 s 2 s 3 c 2 c 3 c 2 s 3 + c 3 s 2 0 l 1 l 2 c 2 0 0 0 1 = m x o x l x p x m y o y l y p y m z o z l z p z 0 0 0 1
In the formula, ci is cosθi and si is sinθi.
According to above matrix operation of direct kinematics, the direct kinematics matrix of the shield-type cutting robot is obtained. According to Equation (4), the position coordinates of the center of the cutting drum in the coordinate system of the tunneling roadway are obtained: P = [Px,Py,Pz]T.

3.2. Inverse Solution of Robot Cutting Kinematics

All the joint variables of the cutting robot are obtained, according to the given end position and attitude of the cutting drum, and the homogeneous transformation matrix, and its inverse matrix T 1 1 0 , is obtained as follows:
T 1 1 0 = 0 0 1 0 1 0 0 l 0 0 1 0 d 1 0 0 0 1
Both sides of Equation (8) are multiplied by Equation (9) at the same time on the left, and the following Equation (10) is attained after simplification:
c 2 c 3 s 2 s 3 c 2 s 3 c 3 s 2 0 l 1 + l 2 c 2 0 0 1 d 2 + d 3 c 2 s 3 + c 3 s 2 c 2 c 3 s 2 s 3 0 l 1 s 2 0 0 0 1 = m z o z l z p z m x o x l x l 0 p x m y o y l z p y d 1 0 0 0 1
Based on the equality law of the corresponding elements in the matrix at both ends of the equation, the joint variables of the cutting robot are sorted out:
d 1 = p y l 1 s 2 θ 1 = π / 2 θ 2 = arcsin p y d 1 a 1 θ 3 = 0

4. Cutting Automatic Control Method of the Shield-Type Cutting Robot

The cutting surface of a large-section semi-coal roadway is required to be a plane. In order to fulfill the cutting requirements with higher quality, the space motion limit of the cutting drum is established and the cutting trajectory is planned.

4.1. Cutting Drum Space Position Model

In order to control the cutting drum more accurately and achieve autonomous cutting in coal mine tunnel excavation, a spatial position limit model of the cutting drum is established, as shown in Figure 6. It is used to analyze whether the kinematic model, the pose transformation matrix, and the forward and inverse kinematics meet the cutting needs.
In Figure 6, Y is the direction of the tunneling and P is the center of the cutting drum. The surface ABCD is the maximum cross-section which can be cut by the cutting drum when the sliding table is located at the extreme position O, while the surface ABCD′ is the maximum cross-section which can be cut by the cutting drum when the sliding table is at the extreme position O′. The movement space of the cutting drum is formed by the surfaces ABCD, A′B′C′D′, and the space sandwiched between them. We set the sliding table to move in the Y direction as a positive value and the cutting arm to swing upwards as a positive value. The equation of the cutting surface is
x = 0 z = x 0 + L cos α y = H + L sin α        0     x 0 104 cm
where L expresses the length of the cutting arm and H expresses the height of the sliding table.

4.2. Trajectory Planning, Relationship Between Cutting Drum and Cylinder Movement

The movement of the cutting drum is completed by the translation of the sliding table and the rotation of the cutting arm. The translation of the sliding table in the horizontal level is completed by a translation cylinder, and the rotation of the cutting arm is completed by the expansion of two cylinders on both sides of the cutting arm. When the lower shield posture of the temporary supporting robot I is fixed and the cutting surface is required to be flat, the elongation of the cutting arm swing driving cylinder of the robot is S 2, and the elongation of the sliding table driving oil cylinder is S1. The relationship between the movement of the cutting drum and the movement of each cylinder is given in Figure 7.
O1 is the connection point of the lower shield between the sliding table and the temporary supporting robot Ⅰ, which is also the connection point of the swinging cylinder of the cutting arm; O2 is the connection point between the sliding table and the cutting arm, that is, the swinging center of the cutting arm; A is the connection point which connects the cutting arm and the swinging cylinder of the cutting arm; L2 expresses the length of the point O2 and A; L is the length of A and the center B of the cutting drum; and θ   is the angle from the horizontal level to the connecting rod OO1 which is simplified.
The center coordinate equation of the cutting cylinders is obtained as follows:
x = L cos ( arccos L 1 2 + L 2 2 ( L 0 + S 1 ) 2 2 L 1 L 2 θ ) + S 2 y = L sin ( arccos L 1 2 + L 2 2 ( L 0 + S 1 ) 2 2 L 1 L 2 θ )
When the cutting surface is a plane, the x-coordinate is unchanged and the design parameters of the cutting robot, θ = 46.6 ° , L 1 = 1019 mm, and L 2 = 1813 mm, are substituted into the equation:
x = L cos ( arccos L 1 2 + L 2 2 ( L 0 + S 1 ) 2 2 L 1 L 2 θ ) = 4695.5 mm  
And the relationship between the translation driving cylinder elongation S Δ 1 of the sliding table and the swinging cylinder elongation S Δ 2 of the cutting arm is as follows:
S Δ 2 = x L cos ( arccos L 1 2 + L 2 2 ( L 0 + S Δ 1 ) 2 2 L 1 L 2 θ )

4.3. Section Automatic Cutting Control Method

The overall idea of control is as follows: the first step is to complete the cutting trajectory planning of the cutting robot, the second step is to divide the central trajectory line of the cutting drum into several small segments, and finally the motion trajectory of the central point of the cutting drum fits each small segment in sequence according to the trajectory planning. When all the tracks of the divided segments are fitted, a cutting surface is completed. According to the above analysis, the sliding table cylinder and the swinging cylinders of the cutting arm are the driving forces for the cutting robot to complete the cutting motion. Therefore, the amount of movement of each joint of the cutting robot and the center motion trajectory of the cutting drum can be realized by controlling the expansion and contraction of the cylinders.
The control method with fuzzy PID is implicated to complete the cutting robot section cutting control. The overall controlling scheme is given in Figure 8. In cutting known target location P = [PX,PY,PZ]T at the center point of the cutting drum, the target expansion S1 and S2 of each cylinder can be known from the cutting robot kinematics model and the cutting motion relationship pattern between the center of the cutting arm and the cylinders. Letting S1P and S2P be the actual expansion of the sliding table translation cylinder and the swinging cylinder of the robot cutting arm, ec shows the difference of the target expansion, the actual expansion of the cylinder, that is, the error, and ec is the change rate of the difference. According to Table 3 of the fuzzy control rules [26], real-time adjustment and correction of the PID control parameters ΔKP, ΔKI, and ΔKD are realized to achieve higher control accuracy and meet the requirements of section cutting.
F ( e ) = 6 e F max F min F ( Δ e ) = 6 Δ e 2 ( F max F min )
In the formula, F ( e ) expresses the fuzzy value of the cylinder expansion error, F ( Δ e ) expresses the fuzzy value of the change value of the cylinder expansion error, and F max and F min are the maximum and minimum cylinder expansion and contraction amounts of the cylinders.

5. Test Verification

5.1. Simulation Analysis

The 3D solid model of the shield-type cutting robot is established with the 3D design software SOLIDWORKS, and after the motion simulation operation, the model is saved as an adm file and imported into ADAMS, as given in Figure 9. The virtual prototype of the cutting robot is established. The motion relationship and constraints of each component of the cutting robot are shown in Table 4. The constraints of the virtual prototype mainly include the fixed pairs of the ground and the cutting robot, the moving pair of the sliding table and the lower shield, the moving pair of the cutting arm and the oil cylinder, the rotating pair which connects the cutting arm and the sliding table, and the rotating pair which connects the cutting drum and the cutting arm.
Because the cutting surface of the roadway is required to be a plane, it is necessary to complete the plane movement of the cutting drum between surfaces ABCD and A′B′C′D′. The movement is completed by the translation of the sliding table and the swing of the cutting arm. The section height of the roadway is set to 4250 mm, the width of the cutting drum is 4400 mm, and the cutting depth is 300 mm. The displacement sensors are installed in the center of the cutting drum, the driving cylinder of the sliding table, and the cutting arm cylinders, and the angle sensor is installed between the cutting arm and the sliding table. The cutting control method with fuzzy PID proposed is simulated, as given in Figure 10 and Figure 11.
Figure 10 is the motion relationship curve of the sliding cylinder, the cutting arm cylinders, and the center of the cutting drum. It can be concluded that the cutting surface is a plane, ① is the change curve of the elongation of the sliding cylinder, ② is the track of the cutting drum center, and ③ is the change curve of the elongation of the cutting arm swinging cylinder.
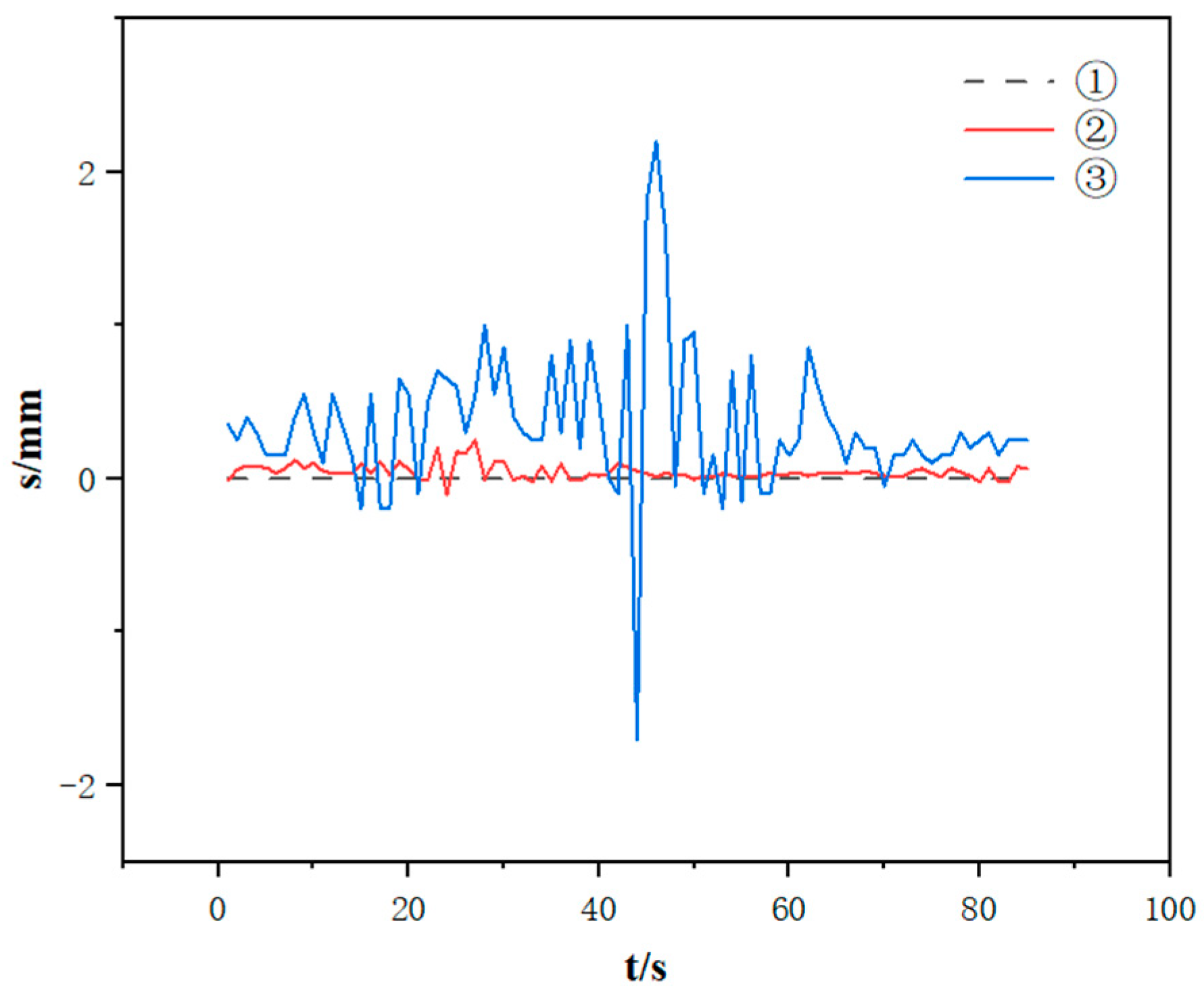
The errors of the target track in the horizontal direction and the cutting drum center, and those in the transverse and vertical directions, in a cutting plane are obtained, as shown in Figure 11. In the figure, curve ① is the desired target track of the cutting drum center, curve ② shows the error between the cutting drum center and the target track in the horizontal direction, and curve ③ shows the error between the center of the cutting drum and the target track in the vertical direction. As shown in the figure, the maximum error is 2.2 mm, the displacement error between 40 s and 50 s is relatively large, and at other times it matches the target track. The error of the cutting drum in the horizontal direction is small, and has no impact on the cutting section, and the maximum error is 0.25 mm.

5.2. On-Site Test Verification

Aiming to validate the cutting effect of the proposed control method in the on-site tests, a tunnel cutting test on-site is designed, and the cutting test in the on-site roadway section was carried out on the platform of a “full-section shield-type tunneling robot system” in Xiaobaodang coal mine, as shown in Figure 12. The displacement sensors are installed on the translation cylinder of the sliding table, the swinging cylinder of the cutting arm, and the center of the cutting drum, as shown in Figure 13. It shows the interface of each sensor data monitoring platform. This study mainly uses the displacement data in the monitoring platform. The section height of the test roadway is 4250 mm, the width of the cutting drum is 4400 mm, the cutting depth is 300 mm, and the coal-rock hardness of the roadway section is f4.
The parameters of the shield-type cutting robot, the roadway section surrounding rock, and the oil cylinders used are shown in Table 5.
In the on-site section cutting test, the relationships between the push and pull forces of the cutting arm driving cylinders, the sliding table driving cylinder of the cutting robot, and the force of the hydraulic system of the hydraulic cylinder are shown in Equation (13).
F p u s h = π R 2 P , F p u l l = π ( R 2 r 2 ) P
where R—cylinder inner radius;
r—piston rod radius;
P—stress;
F p u s h —cylinder push force;
F p u l l —cylinder pull force.
The effect of the cross-section cutting test is shown in Figure 14. As can be seen from the on-site test, the sectional profile is regular, smooth, and flat, which meets the forming quality requirements of the cutting surface. In the figure, the rectangular ABCD is the cutting surface. ① is the track line corresponding to the center of the cutting drum. The recorded displacement data of the center of the cutting drum can be seen in Figure 15. ① is the target displacement of the center of the cutting drum. ② shows the displacement error of the center of the cutting drum along the vertical downward of the roadway section, and t is the time required to cut a section. Because the lateral displacement error in the section is small, which does not affect the accuracy of the section cutting control, only the control displacement error in the vertical direction of the cutting surface is discussed here.
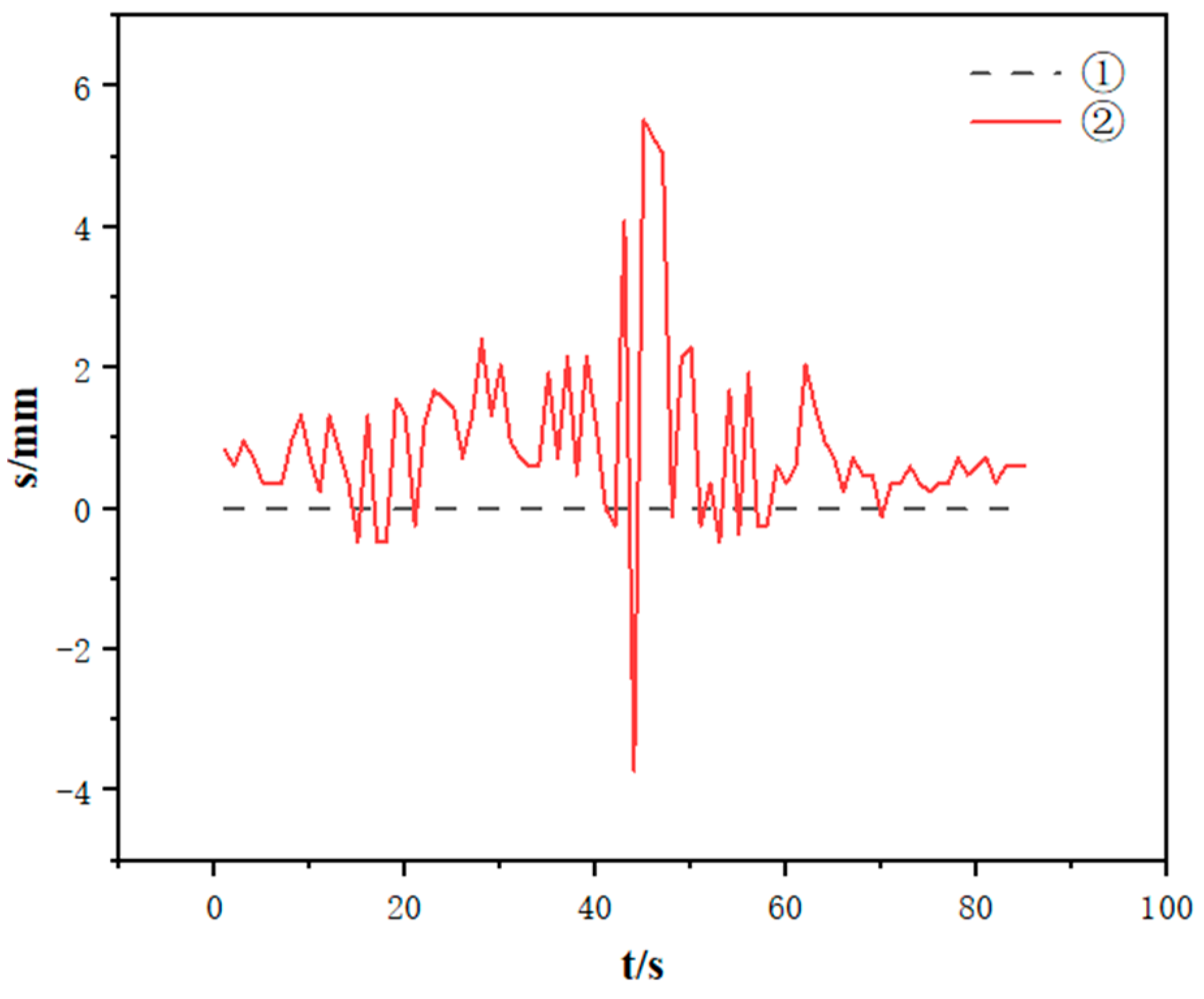
As shown in Figure 15, the displacement curve obtained from the on-site test is basically consistent with that obtained from the simulation experiment. The maximum error from the target displacement is 5.5 mm; the location where significant errors occur is consistent with the simulation experiment. Table 6 shows the comparison of control errors between the simulation and the on-site test.
The maximum control error of the cutting drum center in the vertical direction obtained by the on-site test is 5.5 mm, which is 25% more than the error obtained by the simulation. The average data from the on-site test represent 154% of the simulated data. The reasons are as follows: the situation in the on-site test is much more complex and there are many factors affecting the control accuracy, such as the gangue contained in the coal seam of semi-coal rock, the shape of the section, and roadway flatness. It can be concluded that the outcomes of the on-site test meet the standard requirements of the cutting surface of a coal mine roadway.
The results of the simulation and the on-set test from this study were compared with the fuzzy neural network PID control from [19], as shown in Table 7. Both the simulation and physical experiment results of [19] were better than those of this study. The error of fuzzy neural network PID control are smaller than that of fuzzy PID. However, the fuzzy neural network PID control method is more complex, and the physical experiment of [19] was conducted in a laboratory environment without adding any load, and the stability in the on-site environment needs further research. The error of this study is much smaller than the engineering standard, and it can fill the gap in large-section semi-coal rock tunneling.
The results of this study were applied in the rapid tunneling robot system of Xiaobaodang coal mine for nearly two months. The number of operators was reduced from 2 to 1. Under the condition of ensuring compliance with cutting requirements, the cutting efficiency was increased by 20%. However, there were still some areas that needed to be improved, such as the collaborative control problem of the cutting robots, the temporary support robots, and the drilling and anchoring robots, etc. The overall stability of the cutting system needs to be further improved.

6. Conclusions

This study introduced the composition and principle of the cutting robot in a shield boring robot system, established the improved D-H kinematics model of the shield-type cutting robot, and carried out the forward and inverse solution, completed the pose transformation matrix from the lower shield of the temporary support robot I to the cutting drum, and laid the theoretical foundation for the section cutting control. The cutting control method of fuzzy PID of the shield cutting robot was proposed, the cutting control scheme of fuzzy PID was established, and the motion space of the cutting robot was analyzed. The simulation and on-site test of the shield-type cutting robot were designed, and then it was verified that the kinematic model and control method met the requirements of section cutting and improved the productivity and quality of forming the cutting surface of the large-section roadway.
Next, the improvement of the fuzzy PID control method will be further studied; our future studies will join the research on the influence of parametric errors, analyze the sensitivity of control methods to parameter errors, and seek ways to improve control strategies [27]. The knowledge will be combined to provide the cutting robot with a certain perception and judgment ability towards the working environment and allow it make adjustments to the control according to the working environment to reduce the influence of environmental factors and improve the cutting efficiency.

Author Contributions

L.X. proposed the control method, wrote the paper, and designed experiments; H.M. guided the paper writing and experimental design. C.W. (Chuanwei Wang) provided the experimental equipment, collected data, and corrected the paper, while L.X. and W.C. (Wenda Cui) analyzed the experiments. All authors have read and agreed to the published version of the manuscript.

Funding

This research was funded by the Key Technologies Research and Development Program of China under grant 2023YFC2907600, the National Natural Science Foundation of China project under grant 52374161, the Shaanxi Provincial Department of Education to Serve Local special project under grant 22JC051, the Shaanxi Science and Technology Association under grant 2023-JC-YB-331, and the Key Research and Development Projects of Shaanxi Province under grant 2023-LL-QY-03.

Data Availability Statement

The original contributions presented in the study are included in the article, and further inquiries can be directed to the corresponding author.

Conflicts of Interest

The authors declare no conflicts of interest.

References

  1. Wang, G.; Wang, H.; Ren, H.; Zhao, G.; Pang, Y.; Du, Y.; Zhang, J.; Gang, H. 2025 scenarios and development path of intelligent coal mine. J. China Coal Soc. 2018, 43, 95–305. [Google Scholar] [CrossRef]
  2. Wang, G.; Liu, F.; Meng, X.; Fan, J.; Wu, Q.; Ren, H.; Pang, Y.; Xu, Y.; Zhao, G.; Zhang, D.; et al. Research and practice on intelligent coal mine construction(primary stage). Coal Sci. Technol. 2019, 47, 1–36. [Google Scholar] [CrossRef]
  3. Wang, G.; Du, Y.; Xu, Y.; Ren, H.; Zhang, D.; Pang, Y. Development and innovation practice of china coal mining technology and equipment for 50 years: Commemorate the 50th anniversary of the publication of coal science and technology. Coal Sci. Technol. J. Sci. 2023, 51, 1–18. [Google Scholar] [CrossRef]
  4. Wang, G.; Zhang, D. Innovation practice and development prospect of intelligent fully mechanized technology for coal mining. J. China Univ. Min. Technol. 2018, 47, 459–467. [Google Scholar] [CrossRef]
  5. Ma, H.; Zhao, Y.; Xue, X.; Wu, H.; Mao, Q.; Yang, H.; Zhang, X.; Che, W.; Cao, X.; Zhao, Y.; et al. Key technologies of intelligent mining robot. J. China Coal Soc. 2024, 49, 1174–1182. [Google Scholar] [CrossRef]
  6. Kang, H.; Jiang, P.; Liu, C. Development of intelligent rapid tunneling technology and equipment for coal mine roadways. J. Min. Strata Control Eng. 2023, 5, 023535. [Google Scholar] [CrossRef]
  7. Kang, H.; Wang, J.; Lin, J. Case studies of rock bolting in coal mine roadways. Chin. J. Rock Mech. Eng. 2010, 29, 649–664. [Google Scholar]
  8. Yan, D.; Cheng, Z.; Liu, Y.; Jiang, X.; Du, Z.; Yao, J. Study on bolt support technology of semi coal rock roadway in Shaqu Mine. Coal Sci. Technol. 2020, 48, 12–17. [Google Scholar]
  9. Kang, H.; Jiang, P.; Song, D.; Lei, Y.; Zeng, L.; Wang, Z.; Zhang, X.; Li, F.; Han, C.; Wang, Y.; et al. Complete set of intelligent fast driving equipment with integrated drilling and anchoring. Intell. Mine 2023, 4, 9–14. [Google Scholar]
  10. Li, X.; Gu, Y.; Wu, M. Kinematic analysis of working mechanism of boring machine based on differential Geometry. J. China Coal Soc. 2016, 41, 3158–3166. [Google Scholar] [CrossRef]
  11. Li, X.; He, Y.; Li, T.; Yang, T. Analysis of transverse and longitudinal random vibration response of longitudinal shaft roadheader. J. China Coal Soc. 2014, 39, 580–585. [Google Scholar] [CrossRef]
  12. Li, X.; Tian, J.; Huang, Y. Kinematics simulation of cutting process with transverse cutting head. J. Heilongjiang Univ. Sci. Technol. 2001, 1, 17–20. [Google Scholar]
  13. Huang, J.; Bai, L.; Dong, Z. Virtual prototype and gear cutting motion simulation of EBH300A boring machine. J. Mech. Transm. 2015, 39, 120–123. [Google Scholar] [CrossRef]
  14. Zhang, X.; Li, Y.; Yang, W.; Zhang, C.; Zheng, X.; Ma, B. Trajectory tracking Technology of cantilever boring Machine based on improved sliding Mode Control. Chin. J. Eng. Des. 2019, 31, 491–501. [Google Scholar]
  15. Zhang, X.; Lv, X.; Wang, T.; Huang, B.; Zheng, X. Research on decision control system of digital twin-driven boring robot. Coal Sci. Technol. 2022, 50, 36–49. [Google Scholar] [CrossRef]
  16. Zhang, X.; Liu, Y.; Yang, W.; Zhang, C.; Du, Y.; Yang, J.; Yang, W. Research on virtual debugging method of automatic forming and cutting of roadway driven by digital twin. Ind. Mine Autom. 2024, 50, 1–11+31. [Google Scholar] [CrossRef]
  17. Yang, W.; Zhang, X.; Zhang, C.; Zhao, J.; Ma, H. Research on intelligent cutting control system of roadway forming for cantilever boring robot. Autom. Ind. Mine 2019, 45, 40–46. [Google Scholar] [CrossRef]
  18. Wang, D.; Wang, P.; Li, Y.; Guo, M.; Zheng, W.; Shen, Y.; Wu, M. Research on adaptive cutting control strategy of cutting arm of roadheader. China Mech. Eng. 2022, 33, 2492–2501. [Google Scholar] [CrossRef]
  19. Mao, Q.; Chen, Y.; Ma, C.; Wang, C.; Zhang, F.; Chai, J. Research on pitch control of coal mine roadheader based on fuzzy neural network PID. J. Mine Autom. 2024, 50, 135–143. [Google Scholar] [CrossRef]
  20. Ma, H.; Wang, P.; Zhang, X.; Cao, X.; Mao, Q.; Wang, C.; Xue, X.; Liu, P.; Xia, J.; Dong, M.; et al. Research on key technologies of intelligent mining robot system in coal mine roadway. J. Xi’an Univ. Sci. Technol. 2020, 40, 751–759. [Google Scholar] [CrossRef]
  21. Ma, H.; Wang, S.; Wang, C.; Wang, C.; Xue, L.; Zhang, H.; Sun, S. Automatic forming control method of straight wall arch roadway for short transverse axis cutting robot. J. Xi’an Univ. Sci. Technol. 2024, 44, 418–429. [Google Scholar] [CrossRef]
  22. Guo, F.; Mei, T.; Zhao, J. Problems and improvement of D-H method for establishing connecting rod coordinate system. Mech. Eng. 2014, 25, 2710–2714. [Google Scholar] [CrossRef]
  23. Pu, Y.; Liu, J.Q.; Guo, W. Kinematics modeling and analysis of TBM disc cutter based on D-H matrix. Mater. Sci. Forum 2011, 697–698, 692–696. [Google Scholar] [CrossRef]
  24. Li, J.; Lian, Z.; Li, Y. Kinematics analysis and carriage of robotic boring machines. J. China Coal Soc. 2008, 33, 583–587. [Google Scholar] [CrossRef]
  25. Ding, G.; Wu, X.; Wang, J. Research on the kinematics of modeling and simulating of robotized hydraulic excavator. Mech. Sci. Technol. 2000, 19, 736–737. [Google Scholar] [CrossRef]
  26. Sun, Z.; Li, R.; Wei, A. Application of Fuzzy PID technology in adaptive control System of coal feeder. Coal Technol. 2023, 42, 226–228. [Google Scholar] [CrossRef]
  27. Jose, M.B.; Angelo, M.T.; Atila, M.B. Tm-afm nonlinear motion control with robustness analysis to parametric errors in the control signal determination. J. Theor. Appl. Mech. 2014, 52, 93–106. [Google Scholar]
Figure 1. Full-section shield-type tunneling robot system.
Figure 1. Full-section shield-type tunneling robot system.
Actuators 13 00490 g001
Figure 2. Cutting robot and temporary support robot Ⅰ and Ⅱ.
Figure 2. Cutting robot and temporary support robot Ⅰ and Ⅱ.
Actuators 13 00490 g002
Figure 3. Composition and sensor installation diagram of the cutting robot.
Figure 3. Composition and sensor installation diagram of the cutting robot.
Actuators 13 00490 g003
Figure 4. Relationship between shield-type cutting robot and tunnel.
Figure 4. Relationship between shield-type cutting robot and tunnel.
Actuators 13 00490 g004
Figure 5. The D-H coordinate system of the cutting robot. H1—distance from the sliding table to the center of rotation of the cutting arm; L1—total length of the sliding table driving oil cylinder; L2—length of the sliding table; L3—length of the cutting arm; L4—total length of the cutting arm driving cylinder; β—angle between the sliding table and the cutting arm driving cylinders.
Figure 5. The D-H coordinate system of the cutting robot. H1—distance from the sliding table to the center of rotation of the cutting arm; L1—total length of the sliding table driving oil cylinder; L2—length of the sliding table; L3—length of the cutting arm; L4—total length of the cutting arm driving cylinder; β—angle between the sliding table and the cutting arm driving cylinders.
Actuators 13 00490 g005
Figure 6. Limit model of spatial motion for cutting drum.
Figure 6. Limit model of spatial motion for cutting drum.
Actuators 13 00490 g006
Figure 7. Relationship between the cutting drum and the movement of the oil cylinders.
Figure 7. Relationship between the cutting drum and the movement of the oil cylinders.
Actuators 13 00490 g007
Figure 8. Fuzzy PID control scheme of the cutting robot.
Figure 8. Fuzzy PID control scheme of the cutting robot.
Actuators 13 00490 g008
Figure 9. Virtual prototype model of the cutting robot.
Figure 9. Virtual prototype model of the cutting robot.
Actuators 13 00490 g009
Figure 10. The relationship between the sliding table oil cylinder, the cutting arm oil cylinders, and the cutting drum center movement.
Figure 10. The relationship between the sliding table oil cylinder, the cutting arm oil cylinders, and the cutting drum center movement.
Actuators 13 00490 g010
Figure 11. Cut plane simulation diagram.
Figure 11. Cut plane simulation diagram.
Actuators 13 00490 g011
Figure 12. Rapid tunneling robot system.
Figure 12. Rapid tunneling robot system.
Actuators 13 00490 g012
Figure 13. Interface of each sensor data monitoring platform.
Figure 13. Interface of each sensor data monitoring platform.
Actuators 13 00490 g013
Figure 14. Sectional cutting effect.
Figure 14. Sectional cutting effect.
Actuators 13 00490 g014
Figure 15. Displacement of the center of the cutting drum.
Figure 15. Displacement of the center of the cutting drum.
Actuators 13 00490 g015
Table 1. The technical parameters of the cutting robot.
Table 1. The technical parameters of the cutting robot.
Cutting Width/mCutting Height/mCutting Hardness/MPaDrum Speed/r/minCutting Power/KWMaximum Intercept/mm
6.54.56025.62701000
Table 2. Cutting robot motion D-H parameters.
Table 2. Cutting robot motion D-H parameters.
i − 1iαi−1ai−1θidi
01α0a1θ1d1
12α1a2θ2d2
23α2a3θ3d3
Table 3. The control rules of fuzzy PID.
Table 3. The control rules of fuzzy PID.
ec
NBNMNSZOPSPMPB
eNBPB/NB/PSPB/NB/NSPM/NM/NBPM/NM/NBPS/NS/NBZO/ZO/NMZO/ZO/PS
NMPB/NB/PSPB/NB/NSPM/NM/NBPS/NS/NMPS/NS/NMZO/ZO/NSNS/ZO/ZO
NSPM/NB/ZOPM/NM/NSPM/NS/NMPS/NS/NMZO/ZO/NSNS/PS/NSNS/PS/ZO
ZOPM/NM/ZOPM/NM/NSPS/NS/NSZO/ZO/NSNS/PS/NSNM/PM/NSNM/PM/ZO
PSPS/NM/ZOPS/NS/ZOPS/ZO/ZOZO/PS/ZONS/PS/ZONM/PM/ZONM/PB/ZO
PMPS/ZO/PBZO/ZO/NSNS/PS/PSNM/PS/PSNM/PM/PSNM/PB/PSNB/PB/PB
PBZO/ZO/PBZO/ZO/PMNM/PS/PMNM/PM/PMNM/PM/PSNM/PM/PSNM/PM/PS
Table 4. Constraints on various components of the cutting robot.
Table 4. Constraints on various components of the cutting robot.
Moving Parts 1Moving Parts 2Motion RelationshipRestraint
GroundLower shieldNo movementStationary pair
Lower shieldSliding tablePanTravelling pair
Sliding tableCutting armTurningTurning pair
Cutting armCutting drumTurningTurning pair
Sliding cylinder blockSliding cylinder piston rodTranslationShifting pair
Cutting arm cylinder blockCutting arm cylinder piston rodTranslationTravelling pair
Table 5. Cutting robot, oil cylinder, and other parameters.
Table 5. Cutting robot, oil cylinder, and other parameters.
Test ConditionsDescription
Coal-rock hardness/f4
Cutting speed m/min2.3
Section height/m4.25
Depth of cut/mm300
Sensor position/number/unitsCutting cylinder center, cutting arm cylinder, slide cylinder/4
Sensor typeDisplacement/pressure
Cylinder push/pull diameter, stroke/mmFrom 200/110/710
Maximum cylinder push/pull force/KN785/547
Hydraulic system pressure (MPa)25
Table 6. Control errors between simulation and on-site test.
Table 6. Control errors between simulation and on-site test.
ErrorSimulationOn-Site TestCompared/%
Average error/mm0.350.89154
Maximum error/mm2.25.5150
Table 7. Comparison between this study and fuzzy neural network PID.
Table 7. Comparison between this study and fuzzy neural network PID.
Data Source of Maximum ErrorSimulationPhysical Test
Fuzzy PID2.25.5
Fuzzy neural network PID0.82.4
Disclaimer/Publisher’s Note: The statements, opinions and data contained in all publications are solely those of the individual author(s) and contributor(s) and not of MDPI and/or the editor(s). MDPI and/or the editor(s) disclaim responsibility for any injury to people or property resulting from any ideas, methods, instructions or products referred to in the content.

Share and Cite

MDPI and ACS Style

Ma, H.; Xue, L.; Wang, C.; Cui, W. Research on the Cutting Control Method of a Shield-Type Cutting Robot. Actuators 2024, 13, 490. https://doi.org/10.3390/act13120490

AMA Style

Ma H, Xue L, Wang C, Cui W. Research on the Cutting Control Method of a Shield-Type Cutting Robot. Actuators. 2024; 13(12):490. https://doi.org/10.3390/act13120490

Chicago/Turabian Style

Ma, Hongwei, Limeng Xue, Chuanwei Wang, and Wenda Cui. 2024. "Research on the Cutting Control Method of a Shield-Type Cutting Robot" Actuators 13, no. 12: 490. https://doi.org/10.3390/act13120490

APA Style

Ma, H., Xue, L., Wang, C., & Cui, W. (2024). Research on the Cutting Control Method of a Shield-Type Cutting Robot. Actuators, 13(12), 490. https://doi.org/10.3390/act13120490

Note that from the first issue of 2016, this journal uses article numbers instead of page numbers. See further details here.

Article Metrics

Back to TopTop