You are currently viewing a new version of our website. To view the old version click .
Actuators
  • Article
  • Open Access

30 November 2024

Robust Predefined Time Stability of nth-Order Systems Subject to Deterministic Matched Disturbances

,
,
,
,
,
and
1
Tecnológico Nacional de México/IT de Nuevo León, México, Av. Eloy Cavazos 2001, Guadalupe 66170, Nuevo León, Mexico
2
División de Estudios de Posgrado e Investigación, Tecnológico Nacional de Mexico/IT de Ciudad Juárez, Chihuahua, Av. Tecnológico No. 1340, Fracc. El Crucero, Ciudad Juárez 32500, Chihuahua, Mexico
*
Author to whom correspondence should be addressed.
This article belongs to the Special Issue Analysis and Design of Linear/Nonlinear Control System

Abstract

Speed of convergence and robustness against disturbances affecting a dynamical system are of great importance in real-life applications. To satisfy these requirements, another approach called predefined time control has been developed in the last decade, which ensures the convergence of the states of a class of dynamical systems to the desired reference value in a time set by the control designer at will. However, previously proposed predefined time control algorithms have drawbacks that need to be tackled. For this reason, the authors present another form of predefined time control algorithm that can be coupled with any observer (in the case where not all the states of the system can be measured) or any other robust controller to robustify the system against matched disturbances. The development shows that the necessary form of the control law can be obtained using basic integration and backstepping. The performance of the control law is demonstrated through a series of numerical simulations utilizing the mathematical model of a permanent magnet synchronous motor (PMSM). The results show that the proposed control algorithm is, indeed, robust against any matched disturbance, and the convergence of the system states is ensured independently of any initial condition in the time set by the control designer at will.

1. Introduction

Due to the restrictions imposed on the performance of a control algorithm, designing a control law for a dynamical system is not an easy task. Usually, the control designer has to compromise among different requirements in the design. Among the desired characteristics of any control algorithm are optimality, time of convergence, robustness, and safety, to name a few. To satisfy some or all of the requirements imposed over a control law, if possible, different types of algorithms must be used in the same application. For example, in the literature, we can find PI or PID Control [1,2], Adaptive Sliding Mode Control [3,4], Adaptive PID Control [5,6], Neural Networks with Sliding Mode Control [7,8], Adaptive Backstepping [9,10], Backstepping Sliding Mode Control [11,12], etc.
Regardless of the theory or theories used to generate the control algorithm, all of them can be grouped as finite-time controllers or fixed-time controllers [13,14]. A control algorithm that falls in the finite time category is a control algorithm that tries to drive the states of a dynamical system to a desired value in a relatively short time. Unfortunately, the convergence time for finite-time controllers is influenced by the initial conditions, i.e., larger initial conditions imply a larger settling time for the states of the system, with the possibility of divergence [15,16]. To overcome this problem, control designers proposed fixed-time control algorithms that ensure the stabilization of the system in a finite time, independently of the initial conditions [17,18]. However, a careful review of the proposed control algorithms in this category reveals that in the best-case scenario, the convergence time depends on different parameters inherent to the control law, which makes tuning the controller a difficult task [19]. On the other hand, even if the settling time can be estimated, this value represents a bound that might be (but is usually not) the real convergence time (see, for example, [20]).
Knowing the convergence time of a dynamical system influenced by a control algorithm is an important issue [13]. Control algorithms with fast responses are essential in modern life, for example, in transportation vehicles to ensure fast increments or decrements in speed under some circumstances [21,22], in industrial robot arms to reach a desired point in a short time [23,24], in missile guidance or interception [25,26], in fault detection [27,28], etc.
Since real convergence time is a problem for fixed-time controllers, another theory based on fixed-time theory has been introduced, called predefined-time stability [29]. This type of approach not only ensures the convergence of a dynamical system to a desired value in finite time but also allows the control designer to establish the convergence time at will, something that no control algorithm before has allowed. It is important to emphasize that in the literature, there are examples of proposals that, although called predefined-time or free-will controllers or observers, do not have the same meaning as the one introduced in [29] because in order to assign the convergence time, it is necessary to rely on the value of different parameters. For the class of predefined-time controllers discussed here, the convergence time is ensured independently of any initial conditions, and it is not necessary to tune different parameters as in finite- and fixed-time controllers. It seems that the first proposal related to this idea appeared in [30] under the name of time base generator. In the document, it is argued that a parameter related to time is necessary in the control algorithm to establish the convergence time. The idea was retaken in [19,29,31,32], where the authors proposed the same concept, i.e., if the control designer needs to assign the convergence time at will, then a parameter representing the desired convergence time is necessary in the control algorithm.
Predefined time stability has advanced further, and there have been different proposals. For example, in [32], a predefined time control algorithm based on sliding modes is proposed only for a second-order system; the algorithm allows for not only predefined time convergence but also robustness. The first treatment for  nth -order systems is presented in [16]; this proposal is interesting from a practical point of view because, in contrast to [31,32], the deduction of the control algorithm is straightforward, utilizing only backstepping and recursive Lyapunov functions. Unfortunately, when establishing negative initial conditions, the magnitude of the control algorithm needs a very large value, something that would not be implemented practically. To overcome this problem, the authors of [33] proposed a predefined time control algorithm for a first-order system, which allows for either positive or negative initial conditions. This idea was further extended to fourth-order systems in [34]. In [35], the authors proposed a robust predefined time control algorithm for a second-order system; in this case, robustness is ensured through sliding modes. A drawback in the proposals mentioned above is a relatively large value of control magnitude, and this, in turn, affects the system through oscillations. The problem of oscillations is dealt with in [36], where the magnitude of the control increases smoothly to a maximum value and decreases to zero as the system reaches stability.
From the preceding discussion, we can observe the importance of further investigating predefined time controllers with the following characteristics: the time controller avoids large values of control energy; the control algorithm has to allow for positive and negative initial conditions; the time controller avoids or reduces the oscillations of the system states; and the proposal has to be robust to disturbances. The contribution of this work is a predefined time control algorithm with the following characteristics:
  • In contrast to finite- or fixed-time control, the control algorithm proposed in this manuscript allows the control designer to establish the convergence time of the system’s states, and it does not need cumbersome calculations to estimate the convergence time of the system states (see, for example, the algorithms proposed in the literature review, and for a summary, the interested reader can review the algorithms proposed in [20]);
  • A general predefined time control algorithm is proposed that consists of terms with the following form:  u = k · z · t n 1 t f n t n , where  t f  is the desired convergence time, and k and n can be adjusted to give faster convergence;
  • The magnitude of the control signal increases to a maximum value and decreases smoothly to zero as the system stabilizes;
  • The form of the control algorithm is generalized for  nth -order systems;
  • Stability analysis is ensured, solving the dynamic differential equation.
The development of this article is arranged in the following order: Section 2 states the general problem to investigate and the basic definitions to find the solution. In Section 3, the problem is partially solved, assuming that the  nth -order system is not influenced by any disturbance and all the system states are measurable. Section 4 demonstrates that the control algorithm proposed in Section 3 can be implemented with any state estimator to drive all the states of the system to equilibrium. Section 5 analyzes a system for which only one state is measurable and is influenced by a deterministic disturbance. Section 6 shows the performance of the proposed control algorithm using a mathematical model of a permanent magnet synchronous motor and compares the results to previous control algorithms found in the literature.

2. Problem Statement

This section introduces the formal definitions for predefined-time convergent systems that are subject to deterministic disturbances. To undertake this, let us consider a general dynamical system, given in Equation (1):
d x 1 d t = f ( x 1 ) + g ( x 1 ) x 2 d x 2 d t = f ( x 1 , x 2 ) + g ( x 1 , x 2 ) x 3 d x n d t = f ( x 1 , x 2 , . . . , x n ) + g ( x 1 , x 2 , . . . , x n ) u + ξ x 1 , x 2 , . . . , x n , t y ( t ) = x 1 .
where  x i ( t ) R n , i = 1 , 2 , 3 . . .  represents the system state,  u ( t ) R  is the control input, and  ξ ( t )  represents a matched deterministic disturbance satisfying the Lipschitz condition
ξ t 1 ξ t 2 L t 1 t 2
with a certain constant, L.
Based on (1), the following definition ensures predefined time convergence for deterministic dynamical systems [33].
Definition 1. 
The system (1) is called predefined-time convergent to the origin if the following applies:
a. 
It is fixed-time convergent to the origin, i.e., for any initial state,  x 0 , there exists time  T m a x  such that  x ( t ) = 0 , and  t T max ;
b. 
T max  is independently of any initial conditions and disturbances, can be arbitrarily chosen in advance, and can be explicitly assigned as a parameter of the control input;
c. 
There is time  T f  such that  T f T max , where  T f  is the true convergence time.
The control problem relates to finding a continuous control algorithm capable of making all the states of system (1) predefined-time convergent to the origin and where the convergence is ensured independently of any initial conditions and deterministic disturbances. The following sections develop the form of this control signal step by step.
Note: To avoid cumbersome notation, the time dependence of the state variables or the control signal is not written, but it is implied. Therefore,  x i ( t ) : = x i , i = 1 , 2 , . . . , n  and  u ( t ) : = u .

3. Predefined-Time Stabilization for Completely Measured States Without Disturbances and Noises

The first step in the design assumes that all the states of the system (1) are measurable somehow and that the system is not being influenced by any deterministic matched disturbance. The reason for these assumptions is to show the control algorithm process without hindering the process for a complex procedure. In later sections, nonmeasured states and disturbances will be treated; however, each step will rely on this section. With this in mind, system (1) becomes
d x 1 d t = f ( x 1 ) + g ( x 1 ) x 2 d x 2 d t = f ( x 1 , x 2 ) + g ( x 1 , x 2 ) x 3 d x n d t = f ( x 1 , x 2 , . . . , x n ) + g ( x 1 , x 2 , . . . , x n ) u .
Under these assumptions, the problem is to design a feedback form for u such that all the states of system (3) reach equilibrium in a predefined time, independently of any initial conditions.
Before introducing the control algorithm, the following lemma will allow us to carry on through the design.
Lemma 1. 
The control algorithm (4)
u d = k 1 · x 1 · t n 1 t f n t n , 0 t < t f 0 , t f t .
with  k 1 , n N , makes the system (5) convergent to the origin in a predefined time.
d x 1 d t = u d , x 1 ( t 0 ) = x 1 ( 0 )
Proof. 
To see the assertion of Lemma 1, we substitute Equation (4) in system (5),
d x d t = k 1 · x · t n 1 t f n t n , 0 t < t f 0 , t f t .
For the interval  0 t < t f x ( t )  has the form of Equation (7):
x ( t ) = x 0 t f n t n t f n t 0 n k 1 n
This can be accomplished by separating variables and integrating them. Usually,  t 0 = 0 ; then, Equation (7) is rearranged into Equation (8):
x ( t ) = x 0 t f k 1 t f n t n k 1 n
From Equation (8), it can be observed that  lim t t f x ( t ) = 0 ; therefore, from Definition 1, it is ensured that  t f  is the maximum bound of convergence; however, stability can be reached much earlier than  t f  by adjusting the values of  k 1 , n .
For the interval  t f t , we have  d x d t = 0 , with the initial condition  x ( t f ) = 0  providing the solution  x ( t ) = 0  after applying the initial condition in  t f . Therefore,
x ( t ) = x 0 t f k 1 t f n t n k 1 n , 0 t < t f ; 0 , t f < t .
Remark: There are two main contributions from this control algorithm:
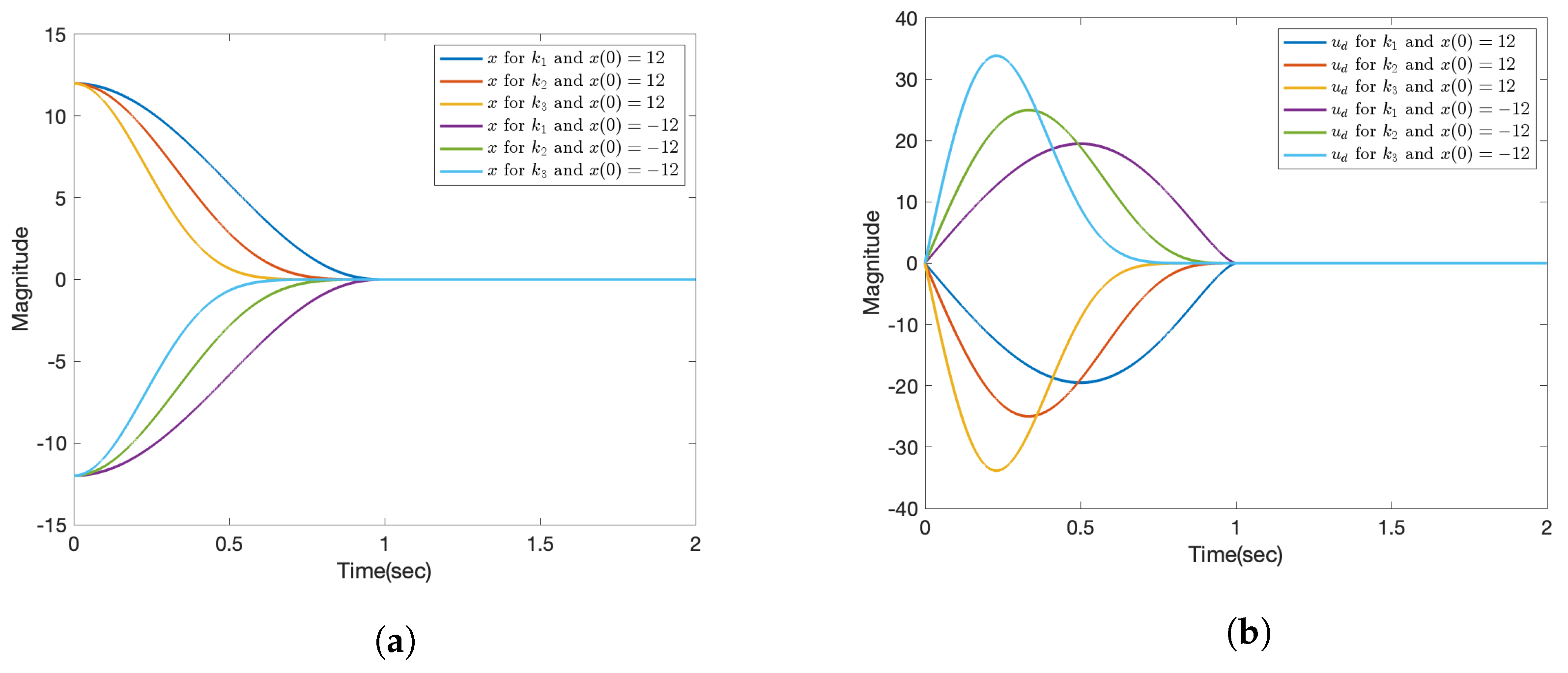
  • The convergence rate can be adjusted with k and n; however, in contrast to [34], even with high values of k and n, the magnitude of the control algorithm is relatively low, and this is shown in Figure 1;
    Figure 1. System state (5) convergence to the origin. Control algorithm (4) trajectory. (a) System state converging to the origin using control algorithm (4) for different values of  k 1  and the initial conditions. (b) Control signal of the algorithm shown in Equation (4) for different values of  k 1  and the initial conditions.
  • The transition from the interval  0 t < t f  to the interval  t f t  is smooth at all times.
The performance of the control algorithm (4) is demonstrated through a numerical simulation using Matlab and Simulink by considering  n = 2 k = 5 , 10 , 20 . The desired convergence time is set to  t f = 1  s. The time discretization step for the simulation is set to  1 × 10 4  s. The results are shown in Figure 1.
Figure 1a,b show the performance of the system (5) under the influence of the control signal (4). From Figure 1a, it is observed that the state of the system converges to equilibrium at most in 1 s, which is the desired convergence time. Moreover, once the system has converged to equilibrium, it remains there even if the control signal is already off (see Figure 1b). Unfortunately, this would not be the case if any disturbance affects the system; however, that situation will be treated in a later section. Figure 1a also shows that increasing the value of  k 1  makes the system converge to equilibrium faster. From the simulation and the form of u presented in Equation (4), the advantage of the proposal in this document is evident because the control designer does not have to bother with cumbersome calculations to know the convergence time of the system, as in [37] or [38], for example. At most, once the control designer has specified the value of n, they only need to adjust the value of  k 1  to increase the convergence speed if desired. From Figure 1b, it is observed that increasing the value of  k 1  also increases the energy required to drive the state of system (5). From a thermodynamical point of view, this makes perfect sense since attaining the same amount of work carried out in less time will require more resources.
To show the advantage of the algorithm proposed in this paper, we compare it to the ones proposed in [34,36], where  u ( t ) = η 1 e | x | 1 e | x | t f t sign ( x )  and  u ( t ) = k x exp a t t f exp a t t f 1 , respectively, and  e x p a ( t ) : = a t . A numerical simulation is run considering  t f = 5  s,  a = 3 , and  k 1 = η 1 = k = 5 . The results are shown in Figure 2. From Figure 2a, it is evident that the rate of convergence of system (5) is attained faster for the control law proposed in (4), although all of them attain convergence at almost the same time. However, the real difference is observed in Figure 2b, where the control signal proposed in this document requires less magnitude than the ones proposed in [34,36]. Additionally, from the same figure, it can be observed that the lag of response in the control signal induces a lag of convergence in the system state. This indicates that the control algorithm proposed in this document might be desirable in different applications.
Figure 2. System state (5) convergence to the origin under the influence of control algorithm (4) (blue), the control algorithm proposed in [34] (red), and the control algorithm proposed in [36] (yellow). (a) Convergence of system (5) to the origin using different control signals. (b) Comparison between trajectories for different control signals.
Now, we extend the idea for system (3). This is stated in the following theorem.
Theorem 1. 
The control algorithm (10)
u d = 1 g ( x 1 , . . . , x n ) f x 1 , . . . , x n g ˙ x 1 , . . . , x n 1 g x 1 , . . . , x n 1 z n + d x n d d t ϕ n , 0 t < t f 0 , t f t .
is capable of driving all the system states of (11) to equilibrium in a predefined time, independently of the initial conditions.
d x 1 d t = z 2 + ϕ 1 d z 2 d t = z 3 + ϕ 2 d z n d t = g x 1 , x 2 , , x n f x 1 , x 2 , , x n + 1 + g x 1 , x 2 , , x n + 1 u x ˙ n d + g ˙ x 1 , x 2 , , x n g x 1 , x 2 , , x n z n
The values of  ϕ i  are  ϕ 1 = k 1 · x 1 t n 1 t f n t n  and  ϕ i = k i · z i · t n 1 t f n t n , with  i = 2 , 3 , 4 . . .  Since system (11) represents system (3) after applying backstepping, we therefore see the convergence of system states in (11) to equilibrium in a predefined time, meaning the convergence of the system states in (3) to equilibrium in a predefined time.
Proof. 
We demonstrate the assertion of Theorem (1) by using backstepping (a good description of the process can be found in [39]) and induction. To begin with the process, consider the system with the base case  n = 2 , as shown in Equation (12):
d x 1 d t = f ( x 1 ) + g ( x 1 ) x 2 d x 2 d t = f ( x 1 , x 2 ) + g ( x 1 , x 2 ) u
where, according to backstepping,  x 2  will be considered a virtual control with the same form of Equation (5); the purpose is to design the form of u such that both states,  x 1  and  x 2 , converge to equilibrium in a predefined time. To backstep, we introduce the variable  z 2 = g x 1 x 2 x 2 d , where
x 2 d = 1 g ( x 1 ) f ( x 1 ) + ϕ 1 , 0 t < t f 0 , t f t .
then,  z ˙ 2 = g x 1 x ˙ 2 x ˙ 2 d + g ˙ x 1 x 2 x 2 d = g x 1 x ˙ 2 x ˙ 2 d + g ˙ x 1 g x 1 z 2 . Upon substituting Equation (12), we generate a new system:
d x 1 d t = z 2 k 1 · x 1 · t n 1 t f n t n d z 2 d t = f ( x 1 , x 2 ) + g ˙ x 1 g x 1 z 2 + g ( x 1 , x 2 ) u x ˙ 2 d
Since  n = 2 , Equation (10) would take the form of Equation (15):
u = 1 g ( x 1 , x 2 ) f ( x 1 , x 2 ) g ˙ x 1 g x 1 z 2 + ϕ 2 + x ˙ 2 d , 0 t < t f 0 , t f t .
Then,  z 2  can be made predefined-time convergent to equilibrium. To see this, after substituting (15) in the second equation of system (14), we obtain
d z 2 d t = k 2 · z 2 · t n 1 t f n t n , 0 t < t f 0 , t f t .
which has the same form as (6). Therefore, according to Lemma 1,
z 2 ( t ) = z 2 ( 0 ) t f k 2 t f n t n k 2 n , 0 t < t f 0 , t f t
showing that  z 2  is convergent to the origin in a predefined time, making  x 2  convergent to the origin in a predefined time. On the other hand,
x ˙ 1 = z 2 k 1 · x 1 · t n 1 t f n t n , 0 t < t f 0 , t f t
By rearranging the last equation for  0 t < t f , we obtain
x ˙ 1 + k 1 x 1 t n 1 t f n t n = z 2
which can be solved using the integrator factor  t f n t n k 1 n .
x ˙ 1 t f n t n k 1 n + k 1 x 1 t n 1 t f n t n k 1 n 1 = z 2 t f n t n k 1 n
The last equation can be rearranged as
d d t x 1 t f n t n k 1 n = z 2 t f n t n k 1 n
the solution to which is
x 1 = t f n t n k 1 n z 2 t f n t n k 1 n d t + c
since  z 2 = z 2 ( 0 ) t f n t n k 2 n ,
x 1 = t f n t n k 1 n z 2 ( 0 ) t f n t n k 2 n t f n t n k 1 n d t + c   = t f n t n k 1 n z 2 ( 0 ) t f n t n k 2 k 1 n d t + c
After taking  lim t t f x 1 , it is seen that  x 1  converges to equilibrium in a predefined time. This proves the base case.
Now, assume (by induction) that Equation (10) is true. Then, it is demonstrated that Equation (24) is also true.
u = 1 g ( x 1 , x 2 , . . . , x n , x n + 1 ) f x 1 , x 2 , . . . , x n , x n + 1 g ˙ x 1 , . . . , x n 1 g x 1 , . . . , x n 1 z n + 1 + d x n + 1 d t + ϕ n + 1 , 0 t < t f 0 , t f t
First, notice that after applying backstepping, we generate system (11). Therefore, after substituting the proposed control algorithm (24), the last equation in system (11) becomes
d z n + 1 d t = k n + 1 · z n + 1 · t n 1 t f n t n
which has the same form as Lemma 1, implying that
z n + 1 ( t ) = z n + 1 ( 0 ) t f k n + 1 t f n t n k n + 1 n , 0 t < t f 0 , t f t
Since
d z n d t = z n + 1 k n · z n · t n 1 t f n t n , 0 t < t f 0 , t f t
by applying the steps from Equations 17 to 22, it is observed that  z n  converges to equilibrium in a predefined time, implying that  x n  converges to equilibrium in a predefined time. This completes the proof. □
Remark: The proof of Theorem 1 was completed through the solution of the differential equations generated at each step. However, another approach to generating the control algorithm is utilizing a recursive Lyapunov function in the form of Equation (28). To see how this is carried out, see [34].
V ( x 1 , z 2 , . . . , z n ) = 1 2 x 1 2 + 1 2 z 2 2 + + 1 2 z n 2
The performance of the proposed control algorithm (10) is demonstrated in the simulation section.

4. Predefined-Time Stabilization for Incomplete Measured States Without Disturbances and Noises

The last section showed the design of a control algorithm for an  nth -order system, assuming that all the states of the system are available for measuring; however, this is not always the case. This might be due to a lack of a sensor for the variable under consideration; this requires a big space for the sensor or an expensive sensor. In these cases, assuming that state one is measurable, the control designer can rely on a differentiator to retrieve the remaining unmeasured states of the system. A system with these characteristics is shown in Equation (29):
d x 1 d t = f ( x 1 ) + g ( x 1 ) x 2 d x 2 d t = f ( x 1 , x 2 ) + g ( x 1 , x 2 ) x 3 d x n d t = f ( x 1 , x 2 , . . . , x n ) + g ( x 1 , x 2 , . . . , x n ) u y ( t ) = x 1 .
where  y ( t )  represents the measurable output of the system and depends on state one.
In this section, it is demonstrated that the control algorithm proposed in the last section can be implemented along any convergent differentiator that the control designer might find in the literature to drive the states of the system to the origin in a predefined time. For example, ref. [40] has different examples taken from the literature, and these are reproduced in Table 1. To see why this is so, the following Theorem is stated
Table 1. Different proposals of correction functions for designing state estimators.
Theorem 2. 
Assume that there is a system with the form shown in Equation (29) and that we can recuperate states  x 2  to  x n  by using an observer with any of the correction functions shown in Table 1; then, the control algorithm (30)
u = 1 g ( x ^ 1 , x ^ 2 , . . . , x ^ n ) f x ^ 1 , x ^ 2 , . . . , x ^ n g ˙ x ^ 1 , . . . , x ^ n g x ^ 1 , . . . , x ^ n z n + d x ^ n d d t + ϕ n , t s t < t f 0 , t f t
drives all the states of the system (29) to the origin in a predefined time if  t f o < t s , where  t s  is the starting time of the control signal (30),  t f o  is the estimated time that the observer needs to retrieve all the states of the system (29), and  t f  is the desired time for convergence for all the states of (29).
Remark: As can be seen in (30), now the control signal depends on  x ^ i  instead of  x i , indicating that the state values used by the controller are the estimated values generated by the observer. Moreover, the reader needs to be aware that for any implementation along with high-gain observers, the control signal should be off before the observer stabilizes. If this restriction is not satisfied, the control signal might destabilize all the system states. Additionally, the time needed by the observer to stabilize the system should be small; otherwise, the control signal will not be able to drive the system states to equilibrium. This is a price the control designer has to pay for using virtual sensors instead of real ones; however, this is not a limitation in any sense since an observer (or sensor) operating under a long stabilization time is of no use.
Proof. 
To demonstrate Theorem (2), we begin by observing that the chosen observer has a settling time of  t f o ; therefore, the control signal (30) can be turned on a little before or at  t f o . This, in turn, would imply a translation of the control signal from  t 0  to  t s , with initial conditions at  t s . At this point, we could consider  t s  as a new  t 0 , and the control algorithm (30) would take the same form as (10) at this stage using the results in Theorem (1). All the states of system (29) can be driven to an equilibrium point in a predefined time because convergence is ensured independently of any initial conditions. □
The performance of the proposed control algorithm (30) is shown in Section 6.

5. Predefined-Time Stabilization for Incomplete Measured States Affected by Disturbances

To this point, it was demonstrated that all the states of a system, such as (3), can be driven to equilibrium in a predefined time, independently of any initial conditions, and whether all the states of the system are available for measuring or not. In this section, the general case presented in Equation (1) is treated. For such a system, it is generally assumed that disturbances are perfectly known. Therefore, the model includes them in the equations; if this is not the case, the mathematical model considers the worst-case scenario and lumps together all possible disturbances in a function that might represent their behavior. Additionally, it is important to keep in mind that trying to establish a mathematical model that considers every detail of the real system is at most difficult if not impossible. In this case, the mathematical model is said to have uncertainties, which can also be considered as disturbances. Keep in mind that in the literature, disturbances might appear in the mathematical model in the same channel as the control signal or in a channel where there is no control signal. If the disturbance is of the first type, it is called matched disturbance; otherwise, it is called unmatched disturbance. This section deals with a system that is affected by matched disturbances affecting the system in the form of Equation (31):
d x 1 d t = f ( x 1 ) + g ( x 1 ) x 2 d x 2 d t = f ( x 1 , x 2 ) + g ( x 1 , x 2 ) x 3 d x n d t = f ( x 1 , x 2 , . . . , x n ) + g ( x 1 , x 2 , . . . , x n ) u + ξ x 1 , x 2 , . . . , x n , t y ( t ) = x 1 .
Equation (31) shows that only state one can be measured, as in Section 5. However, this time, the system is influenced by a matched disturbance,  ξ x 1 , x 2 , . . . , x n  that satisfies the Lipschitz condition (see Section 2), which implies that, at least, we know its speed is bounded.
Generally speaking, control algorithms are not made using only one theory; instead, different theories are used in the design. For example, there is a mixture of adaptive controllers with sliding mode controllers or sliding mode controllers with neural networks (see the Introduction). Such schemes allow for the control algorithm to be robust against matched and unmatched disturbances and uncertainties. This is the case for this section. To ensure the robustness of system (31) to matched disturbances, we propose that the following supertwisting algorithm, along with a control algorithm (30), drive all the states of the system (31) to equilibrium, independently of any initial conditions and matched disturbances affecting the system.
Theorem 3. 
For a system with the form shown in (31), the control algorithm given in (32)
u d ( t ) = 1 g ( x ^ 1 , x ^ 2 , . . . , x ^ n ) f x ^ 1 , x ^ 2 , . . . , x ^ n g ˙ x ^ 1 , . . . , x ^ n 1 g x ^ 1 , . . . , x ^ n 1 z n + d x ^ n d d t + ϕ ^ n + S ( t ) , t s t < t f S ( t ) , t f t
drives all the states of the system (31) to equilibrium in a predefined time, independently of any initial conditions and matched disturbances affecting the system if the following conditions hold:  α > L λ 1 > 2 α λ 2 0 , and  p > 1 , where
S ( t ) = λ 1 | ν ( t ) | 1 2 sign ( ν ( t ) ) λ 2 | ν ( t ) | p sign ( ν ( t ) ) α 0 t sign ( ν ( t ) ) d ν + ϕ S , t s t < t ν λ 1 | ν ( t ) | 1 2 sign ( ν ( t ) ) λ 2 | ν ( t ) | p sign ( ν ( t ) ) α 0 t sign ( ν ( t ) ) d ν , t ν t .
S ( t )  is the supertwisting algorithm proposed in [33] and has the following properties:  t ν  is the desired convergence time of the supertwisting to the sliding manifold,  ϕ S = k S · ν ( t ) · t n 1 t f n t n ν ( t ) = z n ( t ) r ( t ) , and  r ˙ ( t ) = u ( t ) S ( t ) . The term  ϕ S  (with another form, as the one presented here) was proposed in [33] as a form to drive the state of a scalar system to the sliding manifold in a predefined time.
Proof. 
The condition  ν ( t ) = ν ˙ ( t ) = 0  for  t v t  is ensured when the conditions  α > L λ 1 > 2 α λ 2 0 , and  p > 1  are satisfied. Because of the term  ϕ S v ( t )  converges to zero in a predefined time [33]. Since  ν ˙ ( t ) = 0  after convergence, then  ν ˙ ( t ) = z ˙ n ( t ) r ˙ ( t )  becomes  0 = z ˙ n ( t ) r ˙ ( t )  after convergence. After substituting  z ˙ n  and   r ˙ , it is concluded that  S ( t ) = ξ ( t ) ; this shows that  S ( t )  compensates for the disturbance  ξ ( t ) . On the other hand, the other part of the control algorithm (32) provides the predefined time convergence of all the states of the system (31) to the origin, as stated in Theorem (1) of Section 3. Considering that the compensation  S ( t ) = ξ ( t )  holds for  t v t , it is concluded that all the states of the system (31) remain at the origin once they have converged. □
Remark: The reader should keep in mind that according to the proof, the only purpose of  S ( t )  is to counteract the effects of the disturbance; this can be seen from the expression  S ( t ) = ξ ( t ) . However, driving all the states of the system to an equilibrium point is a job that has to be carried out by  u ( t ) .
The following section demonstrates the performance of the proposed control algorithm using a numerical example. To see the advantage of the proposal, we use the model proposed in [34] and compare it against the algorithm proposed there.

6. Simulations

After properly introducing the form of the control algorithm needed to drive all the states of the system (1) to equilibrium in a predefined time, we make use of a model that represents the dynamical behavior of a permanent magnet synchronous motor [41], Equation (34):
ω ˙ = K t J i q B J ω i ˙ d = R s L d i d + n p ω o i q + u d L d i ˙ q = R s L q i q n p ω o i d n p ϕ v ω L q + u q L q
where  ω ( t )  is the rotor speed,  i d ( t )  and  i q ( t )  are the d-axis and q-axis stator currents, respectively,  u d  (the control input) and  u q  are the d-axis and q-axis stator voltages, respectively,  L d  and  L q  are the inductances of  d q  axes satisfying  L d = L q = L R s  is the stator resistance,  n p  is the number of pole pairs,  ϕ v  is the rotor flux linkage,  K T = 3 n p ϕ v / 2 , J  is the moment of inertia,  ω 0  is the electrical angular speed, and B is the viscous friction coefficient. The problem at hand is to control the motor speed so that it reaches the origin in a predefined time.
To compare the results from the algorithm proposed in this document to the results presented in [34], it is necessary to transform the system by introducing new variables:  ω ˙ = v 1  and  v ˙ 1 = v 2 . The new equations, assuming there is no disturbance, are shown in (35).
ω ˙ = v 1 , v ˙ 1 = v 2 , v 2 ˙ = K 1 v 1 + K 2 ω + K 3 v 2 K 4 u d + ξ ( t ) , y ( t ) = ω .
where
K 1 = n p 2 ω o 2 R s B J L q R S 2 L q L d R s B J L d K T n p ϕ v J L q , K 2 = n p 2 ω o B J R s 2 J L q L d K T R s n p ϕ v J L q L d , K 3 = R s L q R s L d B J , K 4 = K T n p ω o J L d .
and  ξ ( t )  is the matched disturbance after transformation. To carry out the simulation, the software programs Matlab and Simulink are used, establishing a simulation time step of  1 × 10 4  s. The results from the simulation are shown in the following subsections.

6.1. Speed Control of a PMSM Considering All the States Are Available and There Is No Disturbance

This subsection analyzes the behavior of system (35), considering that there are no disturbances affecting the system and that all the states are available for measuring. In this case, the equations of the PMSM take the form of Equation (37).
ω ˙ = v 1 , v ˙ 1 = v 2 , v 2 ˙ = K 1 v 1 + K 2 ω + K 3 v 2 K 4 u d .
According to the results in Section 3, the form of the control for this system must be
u d = 1 K 4 K 1 v 1 + K 2 ω + K 3 v 2 + d v 2 d d t + ϕ 3 , 0 < t < t f , 0 , t f < t .
The parameters for the motor are given in Table 2.
Table 2. PMSM parameter values.
The initial conditions for the simulation are  x ( 0 ) = 10 , 10 , 5 , the values for  k i  are  k = 30 , 30 , 30 , and the desired convergence time is set to  t f = 5  s. The results are shown in Figure 3.
Figure 3. States of the PMSM (37) converging to the origin. Control algorithm (38)’s trajectory is shown. (a) System states converging to the origin using control algorithm (38). (b) Control signal of the algorithm shown in Equation (38).
From the results shown in Figure 3, it is clear that the proposed algorithm in Section 3 is capable of driving all the states to equilibrium in a predefined time. From Figure 3a, the advantage of the proposed algorithm against the one proposed in [34] is evident because there are fewer oscillations in the states and smoother trajectories. Moreover, the magnitude of the state’s values is much less. On the other hand, considering the magnitude of the control signal, Figure 3b, it is also clear that the energy required for the control action is less, and the trajectory is smooth from the beginning to the time of convergence. The results for when the states of the system cannot be measured are shown in the next subsection.

6.2. Speed Control of a PMSM with Unmeasured States and No Disturbance Affecting the System

This subsection shows the results of the control action proposed in Section 4. In this case, we assume that the mathematical model of the PMSM has the form of Equation (39).
ω ˙ = v 1 , v ˙ 1 = v 2 , v 2 ˙ = K 1 v 1 + K 2 ω + K 3 v 2 K 4 u d , y ( t ) = ω .
According to Section 4, the control signal is given by the control algorithm (10). However, the signals utilized in the control law are the ones estimated by the observer given in Section 4, as shown in Equation (40):
u d = 1 K 4 K 1 v ^ 1 + K 2 ω ^ + K 3 v ^ 2 + d v ^ 2 d d t + ϕ ^ 3 , t s < t < t f . 0 , t f < t .
The parameters for the simulation are the same as in the last subsection. The observer used to retrieve the nonmeasurable states is taken from Table 1, option 4. The results of the simulation are given in Figure 4.
Figure 4. System states (39)’ convergence to the origin. Control algorithm (40)’s trajectory is shown. (a) System states converging to the origin along the estimated states using control algorithm (40). (b) Control signal of the algorithm shown in Equation (40) using the estimated states retrieved by the observer.
When utilizing an observer to estimate the nonmeasurable states, it is necessary to allow the observer to stabilize before the estimated signals can be of any use to the control action. Following this idea, it can be seen in Figure 4b that the control signal is off at the beginning of the simulation and is turned on after the observer has stabilized. Once the control signal is on, it will remain this way until the system states reach equilibrium at the desired convergence time, and afterward, it will remain off for the rest of the simulation. Figure 4a shows the behavior of the observer states and the original system. From the figure, it is evident that the observer can recover the nonmeasured states from the original system. The same figure shows two different zooms; the one at the bottom shows the state’s convergence at the desired convergence time, and it can be seen that the convergence precision has decreased when compared to Figure 3a; this is due to the error incurred by the observer, which can only have precision up to certain value; this is a price the control designer has to pay for using a state estimator instead of a sensor, but in most applications, this is sufficient. On the other hand, the figure on the top shows the convergence of the observer states, demonstrating that it is capable of estimating the system states with high fidelity. The following subsection will demonstrate the performance of the proposed control algorithm in the case where a matched disturbance is affecting the system.

6.3. Speed Control of a PMSM with Unmeasured States and Matched Disturbance Affecting the System

This section demonstrates the efficiency of the control algorithm proposed in Section 5. The control algorithm would take the form of Equation (41):
u d = 1 K 4 K 1 v ^ 1 + K 2 ω ^ + K 3 v ^ 2 + d v ^ 2 d d t + ϕ ^ 3 + S ( t ) , t s < t < t f . S ( t ) , t f < t .
The mathematical model used in this section is shown in Equation (35). The parameters for the simulation are the same as in the last two subsections besides  λ 1 = 50 λ 2 = 1 α = 635 , and the disturbance is  ξ ( t ) = 57 cos ( t ) . The results from the simulation are shown in Figure 5.
Figure 5. System states (35) convergence to the origin. Control algorithm (41) trajectory. Disturbance  ξ ( t )  and the counteracting action  S ( t ) . (a) System states converging to the origin using control algorithm (41). (b) Control signal of the algorithm shown in Equation (41). (c) Counteracting action of (33) against the matched disturbance  ξ ( t ) = 57 c o s ( t ) .
According to the theory presented in Section 5, the control action  S ( t )  counteracts the disturbance affecting the system. Figure 5c shows that  S ( t ) , indeed, counteracts the disturbance, which can be seen to have a high magnitude. As for the control  u d  from the last section,  S ( t )  remains off for  0.4  s to allow the observer to stabilize. The desired convergence time for  S ( t )  is at  t f = 1  s, although it is observed that the counteracting action begins before that time, and afterward, it completely counteracts the disturbance. On the other hand, Figure 5b shows the trajectory of the control signal  u d . From the figure, it can be appreciated that the control signal  u d  behaves in the same way as Figure 4b, according to the theory presented in Section 5. Finally, Figure 5a shows the trajectories of the system states and the observer states for comparison purposes. From the figure, it is evident that the behavior and precision of convergence of the system are similar to Figure 4a.
From the simulations shown in this section, it is demonstrated that the proposed algorithm in this paper achieves robust predefined time stability in spite of any initial conditions and matched disturbances affecting the system.

7. Conclusions

This study developed the design of a robust predefined time control algorithm step by step. From the simulation results, the efficiency of the proposed algorithm in driving all the states of the system to the origin in a predefined time is evident. In this document, it was also demonstrated that the proposed control algorithm in Section 3 can be coupled with any fixed-time state estimator to estimate the states of the system when these are not available for the control signal. Since the control algorithm in Section 3 is not robust, it can also be coupled with any robust control so that the robustness of the control algorithm can be ensured. Unfortunately, the simulation results show the spikes incurred in the states of the observer, which pose a threat to the stability of the system. The authors consider that the design of observers that avoid this problem is of great importance for future research. Moreover, it is important to keep in mind that the design of the control algorithm was based on the backstepping technique, and this renders a difficult implementation of the control law for higher-order systems due to the explosion of terms appearing in the final control law. According to the literature, this phenomenon could be alleviated by using command filtering in the backstepping process, something that the authors will pursue in future research.

Author Contributions

Conceptualization, N.d.l.C., R.G.-A. and C.H.-S.; methodology, A.F.-R., J.I.H.-V., E.R. and Y.A.D.; software, N.d.l.C., R.G.-A. and J.I.H.-V.; validation, N.d.l.C., J.I.H.-V. and C.H.-S.; formal analysis, N.d.l.C., A.F.-R. and R.G.-A.; investigation, E.R., Y.A.D., C.H.-S. and N.d.l.C.; resources, E.R., J.I.H.-V., Y.A.D., A.F.-R. and C.H.-S.; writing—original draft preparation, N.d.l.C. and C.H.-S.; writing—review and editing, Y.A.D., R.G.-A., A.F.-R. and N.d.l.C.; visualization, E.R., Y.A.D. and C.H.-S.; supervision, C.H.-S. and N.d.l.C.; project administration, N.d.l.C. and C.H.-S. All authors have read and agreed to the published version of the manuscript.

Funding

This research received no external funding.

Data Availability Statement

The data are contained within the article.

Conflicts of Interest

The authors declare no conflicts of interest.

References

  1. Kadu, C.; Patil, C. Design and Implementation of Stable PID Controller for Interacting Level Control System. Procedia Comput. Sci. 2016, 79, 737–746, In Proceedings of the International Conference on Communication, Computing and Virtualization (ICCCV), Mumbai, India, 26–27 February 2016. [Google Scholar] [CrossRef]
  2. Liceaga-Castro, J.U.; Siller-Alcalá, I.I.; González-San Román, J.D.; Alcántara-Ramírez, R.A. PI Speed Control with Reverse Motion of a Series DC Motor Based on the Noise Reduction Disturbance Observer. Actuators 2022, 11, 117. [Google Scholar] [CrossRef]
  3. Shao, K.; Tang, R.; Xu, F.; Wang, X.; Zheng, J. Adaptive sliding mode control for uncertain Euler–Lagrange systems with input saturation. J. Frankl. Inst. 2021, 358, 8356–8376. [Google Scholar] [CrossRef]
  4. Han, S.H.; Tran, M.S.; Tran, D.T. Adaptive Sliding Mode Control for a Robotic Manipulator with Unknown Friction and Unknown Control Direction. Appl. Sci. 2021, 11, 3919. [Google Scholar] [CrossRef]
  5. Sahputro, S.D.; Fadilah, F.; Wicaksono, N.A.; Yusivar, F. Design and implementation of adaptive PID controller for speed control of DC motor. In Proceedings of the 2017 15th International Conference on Quality in Research (QiR): International Symposium on Electrical and Computer Engineering, Nusa Dua, Bali, Indonesia, 24–27 July 2017; pp. 179–183. [Google Scholar] [CrossRef]
  6. Noordin, A.; Mohd Basri, M.A.; Mohamed, Z. Adaptive PID Control via Sliding Mode for Position Tracking of Quadrotor MAV: Simulation and Real-Time Experiment Evaluation. Aerospace 2023, 10, 512. [Google Scholar] [CrossRef]
  7. Vacchini, E.; Sacchi, N.; Incremona, G.P.; Ferrara, A. Design of a Deep Neural Network-Based Integral Sliding Mode Control for Nonlinear Systems Under Fully Unknown Dynamics. IEEE Control Syst. Lett. 2023, 7, 1789–1794. [Google Scholar] [CrossRef]
  8. Sun, X.; Zhang, L.; Gu, J. Neural-network based adaptive sliding mode control for Takagi-Sugeno fuzzy systems. Inf. Sci. 2023, 628, 240–253. [Google Scholar] [CrossRef]
  9. Li, Y.; Tong, S. Adaptive backstepping control for uncertain nonlinear strict-feedback systems with full state triggering. Automatica 2024, 163, 111574. [Google Scholar] [CrossRef]
  10. Liu, J.; Chen, X.; Yu, J. Simplified adaptive backstepping control for uncertain nonlinear systems with unknown input saturation and its application. Control Eng. Pract. 2023, 139, 105639. [Google Scholar] [CrossRef]
  11. Wan, M.; Chen, M.; Lungu, M. Integral Backstepping Sliding Mode Control for Unmanned Autonomous Helicopters Based on Neural Networks. Drones 2023, 7, 154. [Google Scholar] [CrossRef]
  12. Xu, Z.; Yan, T.; Yang, S.X.; Gadsden, S.A. Bioinspired backstepping sliding mode control and adaptive sliding innovation filter of quadrotor unmanned aerial vehicles. Biomim. Intell. Robot. 2023, 3, 100116. [Google Scholar] [CrossRef]
  13. Liu, Y.; Li, H.; Lu, R.; Zuo, Z.; Li, X. An Overview of Finite/Fixed-Time Control and Its Application in Engineering Systems. IEEE/CAA J. Autom. Sin. 2022, 9, 2106–2120. [Google Scholar] [CrossRef]
  14. Chen, J.; Sun, F.; Hua, C. Finite/fixed/predefined/exact time control: A unified framework. Int. J. Syst. Sci. 2023, 54, 977–990. [Google Scholar] [CrossRef]
  15. Yu, W.; Yu, X.; Wang, H. Sliding modes: From asymptoticity, to finite time and fixed time. Sci. China Inf. Sci. 2023, 66, 190205. [Google Scholar] [CrossRef]
  16. Pal, A.K.; Kamal, S.; Yu, X.; Nagar, S.K.; Bandyopadhyay, B. Free-will Arbitrary Time Terminal Sliding Mode Control. IEEE Trans. Circuits Syst. II Express Briefs 2020, 1. [Google Scholar] [CrossRef]
  17. Labbadi, M.; Boubaker, S.; Kamel, S.; Alsubaei, F.S. Adaptive Finite/Fixed Time Control Design for a Class of Nonholonomic Systems with Disturbances. Mathematics 2023, 11, 2287. [Google Scholar] [CrossRef]
  18. Polyakov, A. Nonlinear Feedback Design for Fixed-Time Stabilization of Linear Control Systems. IEEE Trans. Autom. Control 2012, 57, 2106–2110. [Google Scholar] [CrossRef]
  19. Jiménez-Rodríguez, E.; Muñoz-Vázquez, A.J.; Sánchez-Torres, J.D.; Loukianov, A.G. A Note on Predefined-Time Stability⁎⁎This work was supported by CONACyT, México, under research grant 252405. IFAC-PapersOnLine 2018, 51, 520–525. [Google Scholar] [CrossRef]
  20. Basin, M. Finite- and fixed-time convergent algorithms: Design and convergence time estimation. Annu. Rev. Control 2019, 48, 209–221. [Google Scholar] [CrossRef]
  21. Suman, K.; Mathew, A.T. Speed Control of Permanent Magnet Synchronous Motor Drive System Using PI, PID, SMC and SMC plus PID Controller. In Proceedings of the 2018 International Conference on Advances in Computing, Communications and Informatics (ICACCI), Bangalore, India, 19–22 September 2018; pp. 543–549. [Google Scholar] [CrossRef]
  22. Omeje, C.O.; Salau, A.O.; Eya, C.U. Dynamics analysis of permanent magnet synchronous motor speed control with enhanced state feedback controller using a linear quadratic regulator. Heliyon 2024, 10, e26018. [Google Scholar] [CrossRef] [PubMed]
  23. Toussaint, B.; Raison, M. Design of Minimal Model-Free Control Structure for Fast Trajectory Tracking of Robotic Arms. Appl. Sci. 2024, 14, 8405. [Google Scholar] [CrossRef]
  24. Büchler, D.; Calandra, R.; Peters, J. Learning to Control Highly Accelerated Ballistic Movements on Muscular Robots. Robot. Auton. Syst. 2023, 159, 104230. [Google Scholar] [CrossRef]
  25. Wang, W.; Liu, J.; Lin, S.; Geng, B.; Shi, Z. Command filtered integrated estimation guidance and control for strapdown missiles with circular field of view. Def. Technol. 2024, 35, 211–221. [Google Scholar] [CrossRef]
  26. Guo, Y.; Guo, J.H.; Liu, X.; Li, A.J.; Wang, C.Q. Finite-time blended control for air-to-air missile with lateral thrusters and aerodynamic surfaces. Aerosp. Sci. Technol. 2020, 97, 105638. [Google Scholar] [CrossRef]
  27. Fernandez-Navamuel, A.; Peña-Sanchez, Y.; Nava, V. Fault detection and identification for control systems in floating offshore wind farms: A supervised Deep Learning methodology. Ocean. Eng. 2024, 310, 118678. [Google Scholar] [CrossRef]
  28. Mazare, M.; Taghizadeh, M.; Ghaf-Ghanbari, P.; Davoodi, E. Robust fault detection and adaptive fixed-time fault-tolerant control for quadrotor UAVs. Robot. Auton. Syst. 2024, 179, 104747. [Google Scholar] [CrossRef]
  29. Sánchez-Torres, J.D.; Gómez-Gutiérrez, D.; López, E.; Loukianov, A.G. A Class of Predefined-Time Stable Dynamical Systems. IMA J. Math. Control Inf. 2017, 35, 1–29. [Google Scholar] [CrossRef]
  30. Morasso, P.; Sanguineti, V.; Spada, G. A computational theory of targeting movements based on force fields and topology representing networks. Neurocomputing 1997, 15, 411–434, Recurrent Neural Networks. [Google Scholar] [CrossRef]
  31. Sánchez-Torres, J.D.; Sanchez, E.N.; Loukianov, A.G. A discontinuous recurrent neural network with predefined time convergence for solution of linear programming. In Proceedings of the 2014 IEEE Symposium on Swarm Intelligence, Orlando, FL, USA, 9–12 December 2014; pp. 1–5. [Google Scholar] [CrossRef]
  32. Sánchez-Torres, J.D.; Sanchez, E.N.; Loukianov, A.G. Predefined-time stability of dynamical systems with sliding modes. In Proceedings of the 2015 American Control Conference (ACC), Chicago, IL, USA, 1–3 July 2015; pp. 5842–5846. [Google Scholar] [CrossRef]
  33. Garza-Alonso, A.; Basin, M.; Rodriguez-Ramirez, P. Predefined-Time Stabilization of Permanent-Magnet Synchronous Motor System Using Linear Time-Varying Control Input. In Proceedings of the 2021 IEEE International Conference on Systems, Man, and Cybernetics (SMC), Melbourne, Australia, 17–20 October 2021; pp. 1412–1417. [Google Scholar]
  34. de la Cruz, N.; Basin, M. Predefined-Time Control of Full-Scale 4D Model of Permanent-Magnet Synchronous Motor with Deterministic Disturbances and Stochastic Noises. Actuators 2021, 10, 306. [Google Scholar] [CrossRef]
  35. Xiao, B.; Zhang, H.; Zhao, S.; Chen, Z.; Cao, L. Unified Sufficient Conditions for Predefined-Time Stability of Non-Linear Systems and Its Standard Controller Design. Actuators 2024, 13, 173. [Google Scholar] [CrossRef]
  36. Hernandez-Gonzalez, M.; Basin, M. Exponential-form predefined-time convergent controller and its applications to Van-der-Pol system and 2-DOF helicopter. Trans. Inst. Meas. Control 2024, 01423312241247092. [Google Scholar] [CrossRef]
  37. Basin, M.; Rodriguez-Ramirez, P.; Ramos-Lopez, V. Continuous fixed-time convergent controller for permanent-magnet synchronous motor with unbounded perturbations. J. Frankl. Inst. 2020, 357, 11900–11913. [Google Scholar] [CrossRef]
  38. Ménard, T.; Moulay, E.; Perruquetti, W. Fixed-time observer with simple gains for uncertain systems. Automatica 2017, 81, 438–446. [Google Scholar] [CrossRef]
  39. Khalil, H. Nonlinear Systems; Pearson Education, Prentice Hall: Upper Saddle River, NJ, USA, 2002. [Google Scholar]
  40. Aldana-López, R.; Seeber, R.; Gómez-Gutiérrez, D.; Angulo, M.T.; Defoort, M. A redesign methodology generating predefined-time differentiators with bounded time-varying gains. Int. J. Robust Nonlinear Control 2023, 33, 9050–9065. [Google Scholar] [CrossRef]
  41. Wang, G.; Zhang, G.; Xu, D. Position Sensorless Control Techniques for Permanent Magnet Synchronous Machine Drives; Springer: Singapore, 2019. [Google Scholar] [CrossRef]
Disclaimer/Publisher’s Note: The statements, opinions and data contained in all publications are solely those of the individual author(s) and contributor(s) and not of MDPI and/or the editor(s). MDPI and/or the editor(s) disclaim responsibility for any injury to people or property resulting from any ideas, methods, instructions or products referred to in the content.

Article Metrics

Citations

Article Access Statistics

Multiple requests from the same IP address are counted as one view.