Abstract
This study addresses the issue of compromised performance and stability in distributed drive electric vehicles during high-speed operation in the event of motor failure. A fault-tolerant control strategy for distributed drive electric vehicles is proposed, based on model reference adaptive control (MRAC). First, a seven-degree-of-freedom vehicle dynamics reference model is established, from which the output torque of each wheel during stable operation is determined. Secondly, based on the compensation principle that maintains constant longitudinal speed and total torque before and after the fault, the output torque of the remaining wheels is determined to ensure normal vehicle operation in the event of a single motor failure. To improve torque distribution accuracy, an MRAC controller that takes into account the output hysteresis of the motor is designed. The transfer functions of both the reference model and the actual model are derived. Using Lyapunov’s second method, the adaptation rate of the MRAC system is formulated, ensuring that the state of the actual model converges to that of the reference model, thereby achieving adaptive regulation of system parameters and global stability. Finally, simulation experiments are conducted under high-speed dual-lane conditions. The results indicate that, in the case of a single motor failure with constant vehicle speed, the yaw rate and lateral displacement of the vehicle’s center of mass decrease, thereby validating the effectiveness of the proposed fault-tolerant control strategy.
1. Introduction
Distributed drive electric vehicles feature a short powertrain, high transmission efficiency, rapid motor response, and precise torque control, making them a key technological development direction for new energy vehicles. In distributed drive electric vehicles, four hub-mounted motors are installed within each wheel, allowing for independent drive capability at all wheels, thereby enhancing the vehicle’s handling performance [1,2,3]. Through coordinated control of the four drive motors, various dynamic control functions can be achieved, such as traction control, direct yaw moment control, and other active vehicle safety functions [4,5]. However, while distributed drive electric vehicles enhance handling performance, the increased number of drive motors and harsh operating conditions elevate the likelihood of drive system failures [6]. When one or more motors in the drive system fail, it not only reduces vehicle performance but also creates additional yaw moments due to uneven drive forces, which can easily lead to yaw instability [7,8], threatening both vehicle safety and driver health. Therefore, studying fault-tolerant control methods for motor failures in distributed drive electric vehicles is crucial for enhancing both vehicle performance and safety.
Fault-tolerant control for distributed drive electric vehicles involves reallocating drive duties among remaining motors within a drive-by-wire chassis system when one or more motors fail, thus preserving vehicle stability and safety during operation [9]. Mutou et al. proposed a straightforward and robust fault-tolerant approach that cuts power output from the front or rear axle drive motors in the event of a single motor or coaxial dual motor failure [10,11]. Although effective, this approach limits the vehicle’s overall driving capability. Zhang Lei et al. developed a fault-tolerant strategy employing multi-method switching, adapting different control approaches to address various failure modes and operational conditions, thereby ensuring vehicle safety during motor failures [12]. However, this strategy demands high sensor accuracy to obtain real-time vehicle status values for precise control switching thresholds. Longxiang Li et al. designed a fault-tolerant strategy incorporating fault diagnosis for distributed drive electric vehicles [13]. This method achieves precise fault identification and rapid torque redistribution but does not consider controller hysteresis, which results in suboptimal accuracy in redistributed drive torque.
In addressing the tracking control challenge of four-wheel independent drive vehicles under actuator failures and disturbances, Zhang et al. designed a compound observer that simultaneously estimates the drive system’s state and external disturbances [6]. By reconstructing the fault efficiency factor and adaptively adjusting controller parameters, they enhanced the robustness of the tracking performance. Tang et al. introduced an anti-disturbance fault-tolerant control method using a mismatched nonlinear disturbance observer to estimate and counteract disturbances as well as modeling errors [14]. This method combines an adaptive sliding mode fault-tolerant control strategy that integrates estimated disturbance data into the control rate, thereby improving tracking performance. Lu et al. proposed a novel fault-tolerant approach based on Stochastic Model Predictive Control (SMPC) for handling single or dual wheel failures in distributed drive electric vehicles [15]. This method facilitates lateral motion control while tracking the desired longitudinal speed, even accounting for motor fault severity estimation errors. Compared to conventional fault-tolerant controllers, this improved system provides faster response times and maintains vehicle stability more effectively, keeping the vehicle in an operationally sound state.
In summary, existing fault-tolerant strategies for handling motor failures often compromise driving capability by disconnecting power sources, thereby underutilizing the inherent redundancy of distributed drive electric vehicle motors and lacking adaptive capabilities. Moreover, these strategies frequently neglect controller hysteresis, leading to low accuracy in torque redistribution, or rely on intricate control algorithms that demand high sensor precision, thus reducing overall control system robustness.
Model Reference Adaptive Control (MRAC) is a control method renowned for its simplicity and robustness, designed to adjust a system’s output or state to match a predefined reference model. MRAC achieves this by dynamically tuning controller parameters to minimize discrepancies between the system’s output and the reference model. Hu et al. proposed an improved MRAC (IMRAS) for sensorless control of permanent magnet hub motors, utilizing a Fal function to construct an adaptive law with variable gain nonlinear characteristics, thereby achieving accurate rotor position and speed estimation [16]. Qiu et al. addressed the maximum torque per ampere problem in permanent magnet synchronous motors by applying the MRAC method to create a full-rank parameter identification system [17]. This system feeds the identification outcomes into an enhanced self-optimizing control strategy and model predictive current control, ensuring high-performance control. Nonetheless, both methods rely on Popov’s hyper-stability theory for adaptive rate design, which exhibits limitations in managing system nonlinearities and may prove unsuitable for complex nonlinear systems. Additionally, Popov’s theory relies on precise system models and parameters, leading to potential instability or suboptimal performance if the model is inaccurate. Zhang et al. developed a model reference adaptive torque control algorithm for electric power-assisted bicycles, factoring in sensor noise [18]. This approach enhances the motor assistance performance of electric bicycles in response to changes in vehicle load and road gradient. Zheng et al. designed an MRAC system for a semi-active suspension system using a canopy damping reference model [19]. This controller effectively reduces vehicle acceleration and enhances ride comfort, with a slight trade-off in suspension dynamic deformation, thereby improving driving safety. Zhao et al. introduced an MRAC approach to handle modeling inaccuracies and system uncertainties, significantly enhancing the robustness of this control technique [20]. Walid Elzaghir et al. proposed an MRAC strategy for hybrid vehicles equipped with dual-clutch transmissions, effectively reducing torque interruptions and vehicle shake compared to conventional methods [21]. Li et al. developed a model reference adaptive direct yaw moment stability control algorithm [22]. By prioritizing stability in its objective function, this method ensures that the actual vehicle state converges to the reference model, substantially enhancing vehicle stability, though at the cost of driving capability.
In summary, MRAC offers distinct advantages in the presence of parameter variations, external disturbances, and unknown dynamics. It can adapt to and track real-time changes in the dynamic characteristics of the system, accommodating unmodeled dynamics and parameter variations. By making real-time adjustments based on the error between the reference model and the actual model, MRAC maintains system stability and operates effectively even amid parameter uncertainty or significant external disturbances.
The rest of the paper is organized as follows: Section 2 establishes a seven-degree-of-freedom vehicle reference model and a longitudinal dynamics model for the motor. Section 3 presents the MRAC system, detailing the construction of the actual model under single motor failure conditions, the reference model, transfer function of the actual model, and calculation of adaptive rates. Additionally, it includes the design of the hysteresis element and the MRAC algorithm itself. In Section 4, a simulation experiment is conducted under an extreme condition (complete failure of a single motor at high speed), and the selected simulation results are analyzed and discussed. Finally, Section 5 concludes that the MRAC-based torque distribution strategy can effectively balance vehicle dynamics and stability in the event of motor failure.
2. Dynamic Modeling
The vehicle dynamics model is crucial for studying torque and force distribution in distributed drive electric vehicles. To this end, a seven-degree-of-freedom reference model is established, incorporating longitudinal, lateral, yaw, and rotational motions of the four wheels, as shown in Figure 1 [23]. It is assumed that there is no wheel slip, the front and rear track widths are the same, and the lateral slip angles of the left and right wheels are equal.
Figure 1.
The seven-degree-of-freedom vehicle model.
Based on the principles of force and moment equilibrium, the dynamic equations of the seven-degree-of-freedom vehicle model can be expressed as follows:
Longitudinal motion equation:
Lateral motion equation:
Yaw motion equation:
The relationships between , , and are as follows:
In the equation, represents the total vehicle mass, which is taken as the curb weight; is the longitudinal velocity of the vehicle; is the lateral velocity of the vehicle; is the yaw angular velocity; is the moment of inertia of the vehicle about the z-axis; is the distance from the front axle to the center of mass of the vehicle; b is the distance from the rear axle to the center of mass, and is the rear axle track width; and represent the projections of the ground reaction forces (longitudinal tire forces) and (lateral tire forces) onto the vehicle’s longitudinal x-axis and lateral y-axis, respectively; is the steering angle of the tire relative to the x-axis (i = fr, fl, rr, rl); and β is the sideslip angle of the center of mass.
Based on the principles of motor drive, a longitudinal dynamics model is established that meets the conditions, as shown in Figure 2. The dynamic equations of the vehicle system are given by
Figure 2.
Longitudinal dynamic model.
In the equation, is the output torque of each driven wheel, is the angular velocity of the driven wheel, and r is the tire radius.
3. MRAC Strategy
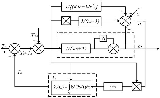
To address the issue of balancing performance and stability in the event of motor failure during high-speed driving, a fault-tolerant control architecture for distributed drive electric vehicles based on MRAC is designed. The actual model and reference model are compared using longitudinal speed , center of mass sideslip angle , and yaw angular velocity to detect faults. When a fault occurs, the torque inputs of the actual and reference models are processed through the MRAC system, which outputs compensated wheel torques to guide the actual model’s motion state towards that of the reference model, as shown in Figure 3.
Figure 3.
Control strategy block diagram.
3.1. Torque Compensation
Assuming the left front wheel motor fails and its output torque is lost by , then
Thus, the new total torque will be equal to the sum of the torques from the remaining functional wheels, plus the torque from the left front wheel that has already lost .
In the equation, is the torque of the left front wheel after loss, is the torque of the left front wheel before loss, is the torque of the right front wheel, is the torque of the left rear wheel, is the torque of the right rear wheel, and is the total torque of the vehicle after the left front wheel failure.
If the vehicle aims to maintain its original dynamics (i.e., keeping the speed constant), the remaining wheels must compensate for the lost torque. The sum of the torques from all the wheels should remain equal to the total torque before the failure occurred.
To compensate for the lateral force imbalance caused by the loss of torque in the left front wheel motor, the output torque of the right front wheel is increased byto provide additional force.
The torque of the left rear wheel is increased by because, during the torque compensation process, it is necessary to consider the influence of the wheel angle on the longitudinal force.
The torque of the right rear wheel is decreased by to balance the torque increment of the left rear wheel, thereby avoiding excessive changes in longitudinal force and maintaining the vehicle’s dynamics and stability.
In summary, through the above torque compensation distribution:
The lateral force is compensated by the right front wheel, where the increased torque is used to address the lateral imbalance caused by the failure of the left front wheel.
The longitudinal force is adjusted through the left rear wheel and the right rear wheel, ensuring that the longitudinal force remains balanced after considering the wheel angle .
In the equation, is the total torque of the vehicle when the left front wheel is not failed, is the lost torque, and represents the compensated torque for each wheel.
3.2. Overload Protection Module
To prevent exceeding the motor’s overload limits during the torque compensation process, an overload protection module for the motor has been designed.
A maximum torque output limit is set to prevent the normal output torque from exceeding its rated value.
In addition, the sum of the torques of all functioning motors must also satisfy a constraint to ensure that the overall system does not become overloaded.
In the equation, represents the output torque of each wheel after compensation, represents the output torque of each wheel before torque compensation, and is the maximum torque output limit for a single motor. is the torque compensation value.
3.3. Transfer Function and Adaptation Rate
The basic working principle of the MRAC system is as follows: The design of the reference model ensures that its state equations are consistent with those of the actual model, achieving complete model matching [24]. The parameter design of the reference model’s state equations indicates how the ideal output of the actual model should respond to the input signal . Specific parameter values are derived from empirical testing, ensuring that the output of the reference model aligns with the expected output response of the adjustable system. The adaptive mechanism generates an adaptive control rate based on the difference between the reference model output and the actual model output , guiding the actual model’s output or state to progressively converge towards that of the reference model.
In MRAC, selecting an appropriate adaptive law is crucial for enabling the control system to dynamically adjust to variations in system parameters while maintaining stability. Lyapunov stability theory offers an effective approach to designing adaptive laws, ensuring that the control system remains stable during the adaptation process without being destabilized by parameter adjustments. Specifically, the Lyapunov method involves constructing a positive-definite Lyapunov function and dynamically adjusting control parameters based on system error so that the time derivative of the Lyapunov function is non-positive, thereby guaranteeing global stability of the system. This method not only effectively suppresses parameter disturbances but also ensures that the actual system states gradually converge to the states of the reference model.
In this paper, the Lyapunov method is employed to design the adaptive law, a widely used and feasible approach in control theory. Within the MRAC framework, the Lyapunov method provides a robust pathway for deriving adaptive laws that facilitate accurate matching between the system output and the reference model output. Based on this, the following sections will detail the derivation of the adaptive law for the control system.
The transfer function of the actual model can be expressed as
The transfer function of the reference model can be expressed as
In the equation, represents an unknown or slowly varying gain, while , , and are known parameters.
Figure 4.
MRAC system.
In the equation, denotes the adjustable gain, represents the output of the ideal model, and signifies the output of the actual model.
The error can be represented in the state-space observable canonical form as
The transfer function of the above equation is given by
There exists a positive definite matrix , such that the homogeneous system is asymptotically stable, and the relationship among , and satisfies
If the transfer function is strictly positive real, then the relationship among , and satisfies
Select a Lyapunov function:
By combining the state-space observable canonical form of the error with the selected Lyapunov function, we obtain
To ensure system stability, it is necessary to satisfy the condition , requiring the parameter adjustment rate to be
From the above, the adaptive rate of the control system can be obtained as
By combining the state-space observable canonical form of the error with the adaptive rate of the control system, the adaptive rate of the adjustable gain for the Lyapunov function-based MRAC can be derived as
In the equation, represents the adaptive rate, and .
The control rate of the system is
After applying the Laplace transform to Equation (6), the transfer function of the actual model can be expressed in the frequency domain as
The transfer function of the reference model is given by
In the equation, represents the moment of inertia of the reference model; denotes the moment of inertia of the drive wheel; is the wheel radius; and signifies the total mass of the vehicle.
3.4. Controller Design
3.4.1. Delay Element
The hub motor plays a crucial role as a power source for distributed drive electric vehicles. In practical control processes, assuming that each hub motor is equipped with a corresponding motor torque controller, the closed-loop characteristics of the motor can be simplified as a delay element:
In the equation, represents the actual output torque of each motor; denotes the response time; and is the motor torque obtained after optimizing the controller.
From the equation, we can see that the actual output torque of the motor and the ideal output torque after optimization compensation from the controller are not the same; instead, there exists a time-dependent proportional coefficient of . If this factor is not considered, there will be a certain error between the actual torque output and the ideal torque output. At high speeds, even a small output torque error can lead to a loss of vehicle dynamics and stability, thereby reducing vehicle safety. Therefore, by taking this hysteresis element into account, we can improve the accuracy of torque distribution in the control system and minimize this torque error as much as possible.
3.4.2. MRAC Algorithm
In summary, the MRAC algorithm for distributed drive electric vehicles is illustrated in Figure 5, Figure 6 and Figure 7.
Figure 5.
Right front wheel torque control algorithm block diagram.
Figure 6.
Left rear wheel torque control algorithm block diagram.
Figure 7.
Right rear wheel torque control algorithm block diagram.
In Figure 5, Figure 6 and Figure 7, the motor torque for each wheel serves as the system input, while the angular velocity of each driven wheel is the system output. represents the torque compensation for each motor, is the adaptive rate parameter, and denotes the system delay. is the resistance torque caused by load and road variations, ξ represents sensor noise, and Δ denotes internal parameter changes of the vehicle object.
4. Simulation Results and Analysis
To further validate the effectiveness of the MRAC algorithm in accurately compensating torque for the remaining functional motors during a motor failure in distributed drive electric vehicles, this study employs a joint simulation using CarSim2020 and MATLAB/Simulink2024. The main technical parameters of the vehicle are presented in Table 1:
Table 1.
Vehicle parameter table.
When the left front wheel motor of a distributed drive electric vehicle experiences a complete failure, the remaining wheels receive torque compensation through an MRAC algorithm, as shown in Figure 8, Figure 9 and Figure 10. Here, represents the wheel torque under normal operating conditions, indicates the wheel torque without compensation after the left front wheel failure, and denotes the compensated wheel torque following the failure.
Figure 8.
Right front wheel torque control diagram.
Figure 9.
Left rear wheel torque control diagram.
Figure 10.
Right rear wheel torque control diagram.
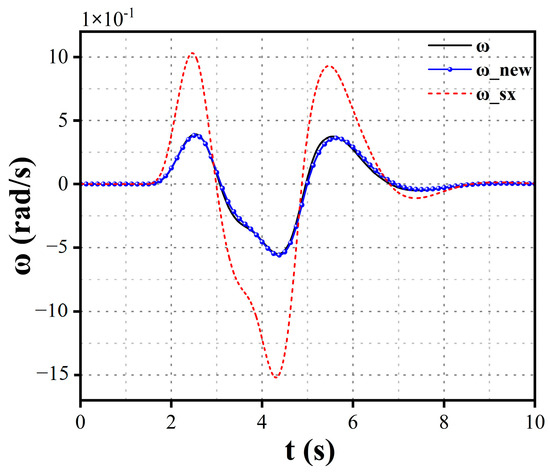
The simulation results indicate that when the left front wheel fails, the output torque of the remaining wheels significantly decreases before the control algorithm is implemented. This phenomenon occurs because the system operates in a closed-loop state; with the failure of the left front wheel, both lateral and longitudinal forces are compromised. To maintain vehicle stability and prevent accidents, it is necessary to reduce speed, resulting in a noticeable decline in torque for all wheels. Through torque distribution based on the MRAC algorithm, the control performance of the vehicle has been optimized, bringing its state closer to the desired dynamic behavior. Compensation for the loss of lateral force is achieved by increasing the torque output of the right front wheel motor, while the loss of longitudinal force is addressed by adjusting the torque outputs of the left and right rear wheels. This allows the vehicle to maintain its original stable motion state. In the event of a single motor failure, the losses in both lateral and longitudinal forces can be compensated by the torque outputs of the remaining three motors to achieve the desired driving state, ensuring both stability and performance requirements. Similarly, the same strategy can be applied in the case of failures in the right front, left rear, or right rear motors.
Figure 11 shows the vehicle’s speed curve when the left front wheel motor of a distributed drive electric vehicle experiences a complete failure. represents the vehicle speed without the implementation of MRAC during the complete failure of the left front wheel. The vehicle speed under normal conditions and the speed after MRAC intervention for torque compensation following motor failure are shown in Figure 12.is the vehicle speed under normal conditions without any failure. denotes the vehicle speed when torque allocation is implemented with MRAC after the left front wheel has completely failed.
Figure 11.
Speed curve under failure conditions.
Figure 12.
Speed curve under MRAC conditions.
The simulation results indicate that after the left front wheel fails, the vehicle experiences a significant speed reduction to maintain stability, ultimately stabilizing at 27 km/h. This drastic decrease in performance does not fully leverage the redundancy of motors in distributed drive electric vehicles. When driving on special routes like highways, such a speed reduction can pose serious safety risks. However, after applying the MRAC algorithm for torque compensation on the remaining motors, the vehicle’s speed can remain consistent with that of normal conditions, with the difference not exceeding the insert value, effectively mitigating safety hazards associated with sudden speed drops in critical areas.
This study selects the yaw rate and the centroid side slip angle as indicators to assess vehicle stability. The curves for the vehicle’s centroid side slip angle and yaw rate are shown in Figure 13 and Figure 14. represents the centroid side slip angle under normal conditions. denotes the centroid side slip angle when torque allocation is implemented with MRAC following the failure of the left front wheel. is the centroid side slip angle when the left front wheel experiences complete failure without the MRAC. indicates the yaw rate under normal conditions, while represents the yaw rate when MRAC is applied after the left front wheel failure. is the yaw rate during complete failure of the left front wheel without MRAC.
Figure 13.
Centroid side slip angle diagram.
Figure 14.
Yaw rate diagram.
The simulation results indicate that after the complete failure of the left front wheel, the centroid side slip angle and yaw rate without the implementation of MRAC exhibit significant differences compared to normal operating conditions, which is detrimental to the vehicle’s stability at high speeds. In high-speed conditions, an increase in the centroid side slip angle and yaw rate can lead to vehicle rollover, severely jeopardizing the safety of both the driver and passengers. However, when torque allocation is implemented through MRAC, torque compensation from the remaining functional motors allows the vehicle to maintain stability without reducing speed, even after a single motor failure. This adjustment helps the centroid side slip angle and yaw rate approach ideal model values, thereby enhancing vehicle safety.
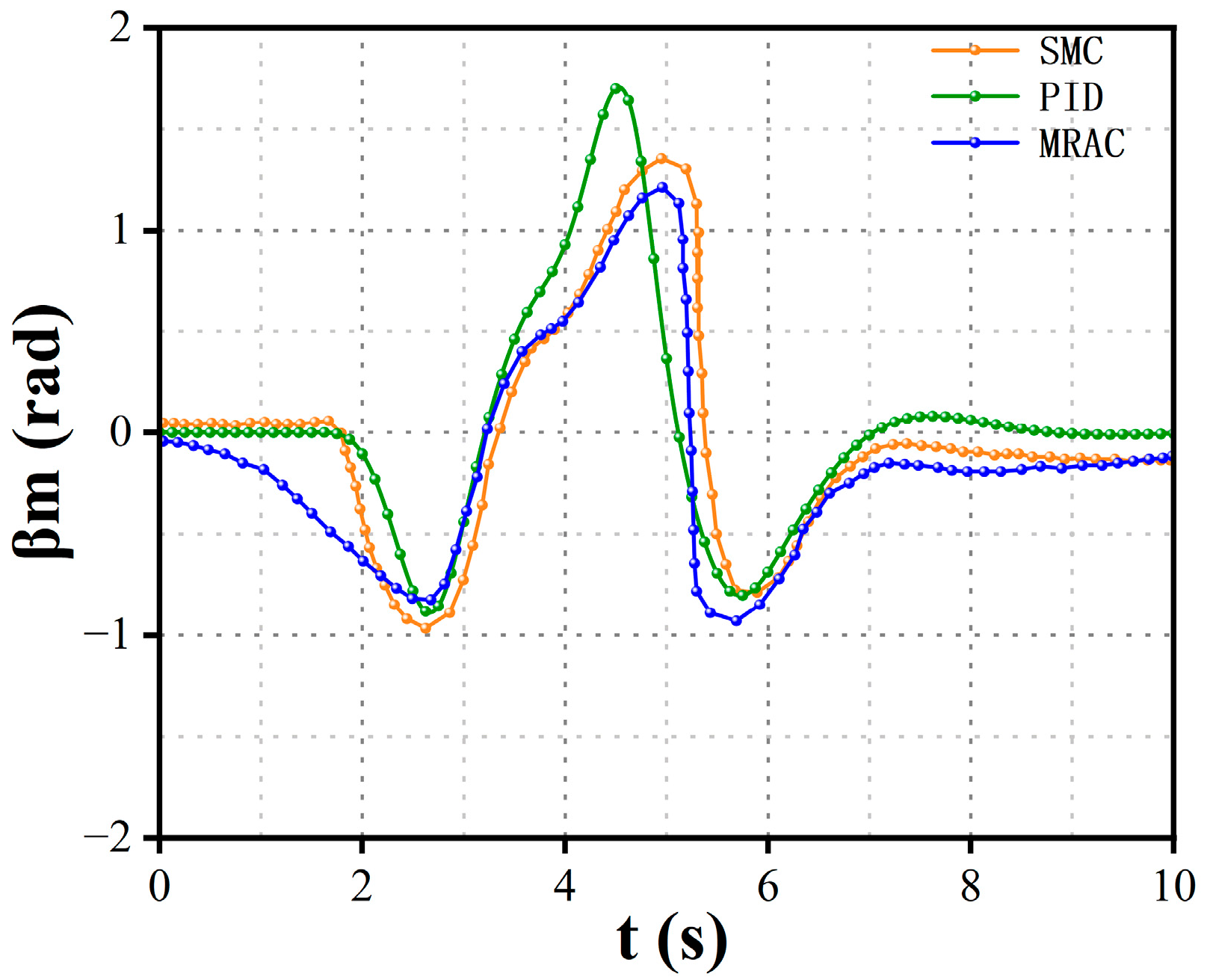
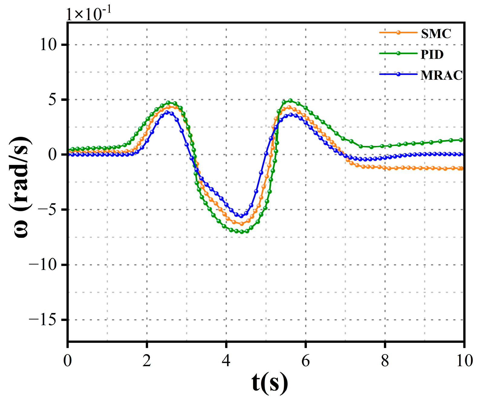
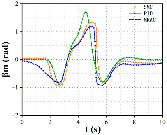
In addition, we selected two other control methods for comparison: PID control and sliding mode control. In Figure 15 and Figure 16, the vehicle’s lateral speed and center of mass lateral displacement under MRAC are both lower than those under SMC and PID control, indicating that MRAC has a greater advantage in terms of stability. In Figure 17, the speed under SMC does not maintain the original 100 km/h, with a maximum speed of only around 90 km/h, which falls short of our expectations. Meanwhile, the speed under PID control is essentially the same as that shown in Figure 11 (which is not included), indicating a significant reduction in vehicle dynamics. This demonstrates that MRAC can effectively ensure both the dynamics and stability of the vehicle during single motor failure. The inadequate or ineffective performance of the other two control methods is due to their weak adaptability to unknown parameters, which prevents them from accurately and effectively compensating for the lost torque, thereby failing to balance the vehicle’s dynamics and stability in fault conditions.
Figure 15.
Comparison of lateral displacement of the center of mass under SMC, PID, and MRAC methods.
Figure 16.
Comparison of yaw rate under SMC, PID, and MRAC methods.
Figure 17.
Vehicle speed under SMC during motor failure.
To facilitate the understanding of the meanings of the parameter symbols in various sections of the article, all parameter symbols have been organized in the Abbreviations.
5. Conclusions
This paper proposes a fault-tolerant control strategy for distributed drive electric vehicles based on MRAC, aiming to enhance vehicle stability and dynamic performance under motor fault conditions. The proposed strategy determines compensation torque through a reference model based on trajectory tracking error, while the MRAC controller adaptively adjusts system parameters to ensure normal vehicle operation during motor faults. By accounting for motor output delays, the accuracy of torque distribution is improved, ensuring effective vehicle control under complex operating conditions.
Compared with traditional fault-tolerant control methods, the MRAC strategy effectively balances vehicle dynamic performance and stability. The proposed approach demonstrates significant advantages in maintaining system stability, particularly when facing parameter variations and external disturbances. The adaptive law derived using the Lyapunov method ensures global system stability, enhancing system robustness. Furthermore, the MRAC strategy reduces the computational complexity of the control, optimizing real-time performance, and providing a reliable and efficient solution for fault-tolerant control of distributed drive electric vehicles.
Simulation verification under high-speed conditions demonstrates the effectiveness of the control strategy under motor fault conditions. The simulation results show that, during motor faults, the MRAC strategy can maintain vehicle dynamic performance similar to that under normal conditions, significantly improving vehicle stability and safety.
In future research, we plan to further validate the effectiveness of the proposed strategy through real vehicle experiments and explore ways to optimize the real-time performance of the control algorithm to address more complex operating conditions and challenges.
Author Contributions
Methodology, G.Z.; Formal analysis, G.Z.; Data curation, M.C.; Project administration, Z.Z.; Funding acquisition, Z.Z. All authors have read and agreed to the published version of the manuscript.
Funding
This work is supported by the National Natural Science Foundation of China (51805149), the Major Project of Henan Province in 2022 (221100240400), and the major project of Ningbo Science and Technology Innovation 2025, “Development of Light Electric Vehicle Hub Motor and Control System” (2019B10073).
Data Availability Statement
Data is contained within the article.
Conflicts of Interest
Author Zhigang Zhou was employed by the company Ningbo Shenglong Group Co., Ltd. The remaining authors declare that the research was conducted in the absence of any commercial or financial relationships that could be construed as a potential conflict of interest.
Abbreviations
Parameter table of the entire article.
| Variable | Explanation |
| curb weight | |
| the longitudinal velocity of the vehicle | |
| the lateral velocity of the vehicle | |
| the yaw angular velocity | |
| the moment of inertia of the vehicle about the z-axis | |
| the distance from the front axle to the center of mass of the vehicle | |
| b | the distance from the rear axle to the center of mass |
| the rear axle track width | |
| tangential reaction force (i = fr, fl, rr, rl) | |
| lateral reaction force (i = fr, fl, rr, rl) | |
| the projection of the tangential reaction force in the x-axis direction (i = fr, fl, rr, rl) | |
| the projection of the lateral reaction force in the y-axis direction (i = fr, fl, rr, rl) | |
| the steering angle of the tire relative to the x-axis (i = fr, fl, rr, rl) | |
| β | the sideslip angle of the center of mass |
| the output torque of each driven wheel (i = fr, fl, rr, rl) | |
| the angular velocity of the driven wheel (i = fr, fl, rr, rl) | |
| r | the tire radius |
| Missing torque (this study selects extreme operating conditions, with the torque of the left front wheel completely absent) | |
| the total torque of the vehicle after the left front wheel failure | |
| the torque of the left front wheel after loss | |
| the torque of the left front wheel before loss | |
| the torque of the right front wheel | |
| the torque of the left rear wheel | |
| the torque of the right rear wheel | |
| the total torque of the vehicle | |
| the compensated torque for each wheel | |
| the output signal error between the actual model and the reference model. | |
| output of the reference model | |
| output of the actual model | |
| input signal of the system | |
| unknown or slowly varying gain | |
| gain coefficient of the reference model | |
| the adjustable gain | |
| the output of the ideal model | |
| the output of the actual model | |
| reference function of the actual model | |
| transfer function of the reference model | |
| numerator polynomial of the transfer function | |
| denominator polynomial of the transfer function | |
| Laplace transform variable, used to represent the complex frequency variable of the system’s dynamic behavior | |
| The order of the system typically determines the highest degree terms of the numerator and denominator | |
| Symmetric positive definite matrix, used to weigh the contribution of state variables to the Lyapunov function | |
| A symmetric positive definite matrix that satisfies the Lyapunov equation is commonly used for stability analysis | |
| The input matrix affects the influence of control inputs on the state | |
| The positive constant, commonly referred to as the Lyapunov parameter, is used to control the rate of change of the Lyapunov function | |
| The output matrix is used to map the state variables to the error signal | |
| Δ | Changes in the vehicle’s internal parameters |
| ξ | Sensor noise |
| the resistance torque caused by load and road variations | |
| the moment of inertia of the drive wheel | |
| the moment of inertia of the reference model | |
| M | the total mass of the vehicle |
| the actual output torque of each motor | |
| the response time | |
| the motor torque obtained after optimizing the controller | |
| the wheel torque without compensation after the left front wheel failure (i = fr, fl, rr, rl) | |
| the compensated wheel torque following the failure (i = fr, fl, rr, rl) | |
| the vehicle speed without the implementation of MRAC during the complete failure of the left front wheel | |
| the vehicle speed under normal conditions without any failure | |
| the vehicle speed when torque allocation is implemented with MRAC after the left front wheel has completely failed | |
| the centroid side slip angle when torque allocation is implemented with MRAC following the failure of the left front wheel | |
| the centroid side slip angle when the left front wheel experiences complete failure without the MRAC | |
| represents the yaw rate when MRAC is applied after the left front wheel failure | |
| the yaw rate during complete failure of the left front wheel without MRAC |
References
- Ghezzi, M.K.; Dòria-Cerezo, A.; Olm, J.M. Yaw Moment MRAC with Optimal Torque Vectoring for a Four in-Wheel Motor Ev. In Proceedings of the 2018 IEEE International Conference on Industrial Technology (ICIT), Lyon, France, 20–22 February 2018. [Google Scholar]
- Hori, Y. Future Vehicle Driven by Electricity and Control-Research on Four-Wheel-Motored “Uot Electric March Ii”. IEEE Trans. Ind. Electron. 2004, 51, 954–962. [Google Scholar] [CrossRef]
- Wang, R.; Wang, J. Actuator-Redundancy-Based Fault Diagnosis for Four-Wheel Independently Actuated Electric Vehicles. IEEE Trans. Intell. Transp. Syst. 2014, 15, 239–249. [Google Scholar] [CrossRef]
- Alipour, H.; Sharifian, M.B.B.; Sabahi, M. A Modified Integral Sliding Mode Control to Lateral Stabilization of 4-Wheel Independent Drive Electric Vehicles. Veh. Syst. Dyn. 2014, 52, 1584–1606. [Google Scholar] [CrossRef]
- Nam, K.; Fujimoto, H.; Hori, Y. Lateral Stability Control of in-Wheel-Motor-Driven Electric Vehicles Based on Sideslip Angle Estimation Using Lateral Tire Force Sensors. IEEE Trans. Veh. Technol. 2012, 61, 1972–1985. [Google Scholar]
- Zhang, D.; Liu, G.; Zhou, H.; Zhao, W. Adaptive Sliding Mode Fault-Tolerant Coordination Control for Four-Wheel Independently Driven Electric Vehicles. IEEE Trans. Ind. Electron. 2018, 65, 9090–9100. [Google Scholar] [CrossRef]
- Silveira, A.; Araújo, R.E.; de Castro, R. Survey on Fault-Tolerant Diagnosis and Control Systems Applied to Multi-Motor Electric Vehicles. In Proceedings of the Technological Innovation for Sustainability, Costa de Caparica, Portugal, 21–23 February 2011. [Google Scholar]
- Wang, R.; Wang, J. Fault-Tolerant Control with Active Fault Diagnosis for Four-Wheel Independently Driven Electric Ground Vehicles. IEEE Trans. Veh. Technol. 2011, 60, 4276–4287. [Google Scholar] [CrossRef]
- Li, Q.; Tang, J.; Zhang, B.; Chen, Y.; Wang, Y. Research on Fault-Tolerant Control of Multi-Actuator for Distributed Drive Electric Vehicles. Automot. Eng. 2023, 45, 2251–2259. [Google Scholar]
- Mutoh, N.; Takahashi, Y.; Tomita, Y. Failsafe Drive Performance of Electric Vehicles with the Structure Driven by the Front and Rear Wheels Independently. In Proceedings of the IECON 2007–33rd Annual Conference of the IEEE Industrial Electronics Society, Taipei, Taiwan, 5–8 November 2007. [Google Scholar]
- Mutoh, N. Front-and-Rear-Wheel-Independent-Drive-Type Electric Vehicle (Frid Ev) with Compatible Driving Performance and Safety. World Electr. Veh. J. 2009, 3, 17–26. [Google Scholar] [CrossRef]
- Zhang, L.; Yu, W.; Wang, Z.; Ding, X. Fault Tolerant Control Based on Multi-methods Switching for Four-wheel-independently-actuated Electric Vehicles. J. Mech. Eng. 2020, 56, 227–239. [Google Scholar]
- Li, L.; Wang, B. Fault-tolerant Control Strategy for Distributed Electric Vehicles Based on Fault Diagnosis. J. Hubei Univ. Automot. Technol. 2023, 37, 6–11+16. [Google Scholar]
- Tang, H.; Chen, Y.; Zhou, A. Actuator Fault-Tolerant Control for Four-Wheel-Drive-by-Wire Electric Vehicle. IEEE Trans. Transp. Electrif. 2022, 8, 2361–2373. [Google Scholar] [CrossRef]
- Lu, Y.; Liang, J.; Zhuang, W.; Yin, G.; Feng, J.; Zhou, C. Four-Wheel Independent Drive Vehicle Fault Tolerant Strategy Using Stochastic Model Predictive Control with Model Parameter Uncertainties. IEEE Trans. Veh. Technol. 2023, 1–13. [Google Scholar] [CrossRef]
- Li, Y.; Hu, H.; Qin, Z.; Wu, H.; Wang, W. Sensorless control of permanent magnet in-wheel motor based on improved model reference adaptive strategy. J. Automot. Saf. Energy 2022, 13, 560–570. [Google Scholar]
- Qiu, J.; Zeng, H.; Shi, C. Self-optimizing control and parameters identification for permanent magnet assisted synchronous reluctance motor. J. Electr. Mach. Control. 2022, 26, 1–8. [Google Scholar]
- Zhang, Y.; Lu, T.; Wei, H.; Li, Y.; Xu, S. Model reference adaptive torque control of power-assist electric bicycle. J. Electr. Mach. Control. 2022, 26, 115–124. [Google Scholar]
- Zheng, L.; Deng, Z.; Li, Y. MRAC for Automotive Semi-active Suspension. China J. Highw. Transp. 2005, 18, 99–102. [Google Scholar]
- Zhao, X.; Guo, G. MRAC of Vehicle Slip Ratio Based on Speed Tracking. Appl. Sci. 2020, 10, 3459. [Google Scholar] [CrossRef]
- Elzaghir, W.; Zhang, Y.; Natarajan, N.; Massey, F.; Mi, C. MRAC for Hybrid Electric Vehicle with Dual Clutch Transmission Configurations. IEEE Trans. Veh. Technol. 2017, 1. [Google Scholar] [CrossRef]
- Li, J.; Audi, W.; Wang, Y.; Xiong, R. Model Reference Adaptive Stability Control for Independently Driven Electric Vehicles. J. Automot. Saf. Energy 2021, 12, 355–363. [Google Scholar]
- Zhu, S.; Lv, C. Distributed Drive Control Technology; Mechanical Industry Press: Beijing, China, 2022; p. 16. ISBN 978-7-111-70543-7. [Google Scholar]
- Nguyen, N.T. Introduction to MRAC; Zhao, L.; Shi, Z., Translators; Mechanical Industry Press: Beijing, China, 2020; p. 1. ISBN 978-7-111-64339-5. [Google Scholar]
Disclaimer/Publisher’s Note: The statements, opinions and data contained in all publications are solely those of the individual author(s) and contributor(s) and not of MDPI and/or the editor(s). MDPI and/or the editor(s) disclaim responsibility for any injury to people or property resulting from any ideas, methods, instructions or products referred to in the content. |
© 2024 by the authors. Licensee MDPI, Basel, Switzerland. This article is an open access article distributed under the terms and conditions of the Creative Commons Attribution (CC BY) license (https://creativecommons.org/licenses/by/4.0/).
















