Design of Farm Irrigation Control System Based on the Composite Controller
Abstract
:1. Introduction
2. Materials and Methods
2.1. Structure of Farmland Irrigation Control System
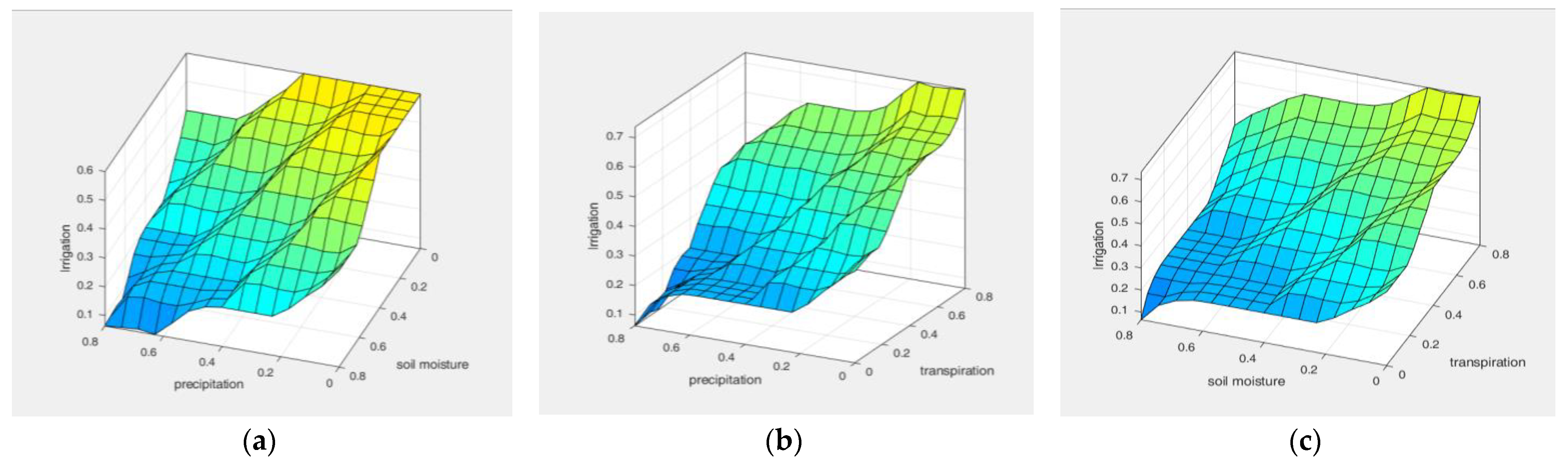
2.2. Intelligent Irrigation Control Method
2.3. Rainfall Prediction Model
2.4. Crop Transpiration Prediction Model
2.5. Controller Design
2.5.1. Fuzzy Algorithm Design
2.5.2. Sliding Mode Controller Design
2.5.3. Fault Observer Design
3. Design Example
3.1. Soil Moisture Data Acquisition
3.2. Future Rainfall Model Design
3.3. Evapotranspiration Model Design
3.4. Composite Controller Design
4. Analysis and Discussion of the Results
4.1. Analysis of the Predicted Results of the Decision Model Inputs
4.2. Comparative Analysis of Control Results
5. Conclusions
Author Contributions
Funding
Data Availability Statement
Conflicts of Interest
References
- Bergez, J.E.; Debaeke, P.; Deumier, J.M.; Lacroix, B.; Leenhardt, D.; Leroy, P.; Wallach, D. MODERATO: An Object-Oriented Decision Tool for Designing Maize Irrigation Schedules. Ecol. Model. 2001, 137, 43–60. [Google Scholar] [CrossRef]
- Tolomio, M.; Casa, R. Dynamic Crop Models and Remote Sensing Irrigation Decision Support Systems: A Review of Water Stress Concepts for Improved Estimation of Water Requirements. Remote Sens. 2020, 12, 3945. [Google Scholar] [CrossRef]
- An, S.; Yang, F.; Yang, Y.; Huang, Y.; Zhangzhong, L.; Wei, X.; Yu, J. Water Demand Pattern and Irrigation Decision-Making Support Model for Drip-Irrigated Tomato Crop in a Solar Greenhouse. Agronomy 2022, 12, 1668. [Google Scholar] [CrossRef]
- Zhang, Y.; Wu, Z.; Singh, V.P.; Su, Q.; He, H.; Yin, H.; Zhang, Y.; Wang, F. Simulation of Crop Water Demand and Consumption Considering Irrigation Effects Based on Coupled Hydrology-Crop Growth Model. J. Adv. Model. Earth Syst. 2021, 13, e2020MS002360. [Google Scholar] [CrossRef]
- Li, Q. New Approach for Multidimensional Prognostic of Stochastic Time Series Based on Sparse-Based Fractional Levy Quaternion Extended Kalman Filter. Struct. Health Monit.-Int. J. 2022. [Google Scholar] [CrossRef]
- Zinkernagel, J.; Kahlen, K. Water Relations of Asparagus Crop under Different Water Supply and Implications for Plant-Based Irrigation Scheduling. Acta Hortic. 2017, 1150, 385–390. [Google Scholar] [CrossRef]
- Li, X.; Gou, M.; Cheng, M.; Wang, Y. Maize Crop-Water Model under Condition of Supplemental Irrigation with Harvested Rainwater. Trans. Chin. Soc. Agric. Eng. 2010, 26, 80–84. [Google Scholar]
- Xie, D.; Chen, L.; Liu, L.; Chen, L.; Wang, H. Actuators and Sensors for Application in Agricultural Robots: A Review. Machines 2022, 10, 913. [Google Scholar] [CrossRef]
- Vijayakumar, V.; Balakrishnan, N. Artificial Intelligence-Based Agriculture Automated Monitoring Systems Using WSN. J. Ambient. Intell. Humaniz. Comput. 2021, 12, 8009–8016. [Google Scholar] [CrossRef]
- Kumar, J.; Patel, N.; Rajput, T.B.S. Development and Integration of Soil Moisture Sensor with Drip System for Precise Irrigation Scheduling through Mobile Phone. JANS 2016, 8, 1959–1965. [Google Scholar] [CrossRef]
- Soulis, K.X.; Elmaloglou, S.; Dercas, N. Investigating the Effects of Soil Moisture Sensors Positioning and Accuracy on Soil Moisture Based Drip Irrigation Scheduling Systems. Agric. Water Manag. 2015, 148, 258–268. [Google Scholar] [CrossRef]
- Bondesan, L.; Ortiz, B.V.; Morlin, F.; Morata, G.; Duzy, L.; Santen, E.V.; Lena, B.P.; Vellidis, G. A Comparison of Precision and Conventional Irrigation in Corn Production in Southeast Alabama. Precis. Agric. 2023, 213, 118826. [Google Scholar] [CrossRef]
- Djalilov, A.; Matchonov, O.; Abubakirov, A.; Abdunabiev, J.; Saidov, A. System for Measuring and Analysis of Vibration in Electric Motors of Irrigation Facilities. IOP Conf. Ser. Earth Environ. Sci. 2021, 868. [Google Scholar] [CrossRef]
- Yang, Y.; Zhou, Y.; Yue, X.; Zhang, G.; Wen, X.; Ma, B.; Xu, L.; Chen, L. Real-Time Detection of Crop Rows in Maize Fields Based on Autonomous Extraction of ROI. Expert Syst. Appl. 2023, 213, 118826. [Google Scholar] [CrossRef]
- Barrueto Guzmán, A.; Barraza Vicencio, R.; Ardila-Rey, J.; Núñez Ahumada, E.; González Araya, A.; Arancibia Moreno, G. A Cost-Effective Methodology for Sizing Solar PV Systems for Existing Irrigation Facilities in Chile. Energies 2018, 11, 1853. [Google Scholar] [CrossRef]
- Hasnain, S.; Singh, A. Development of Electronic Wetting Front Detector for Irrigation Scheduling. Agric. Water Manag. 2022, 274, 107980. [Google Scholar] [CrossRef]
- Mahmoodabadi, M.J. An Optimal Robust Fuzzy Adaptive Integral Sliding Mode Controller Based upon a Multi-Objective Grey Wolf Optimization Algorithm for a Nonlinear Uncertain Chaotic System. Chaos Solitons Fractals 2023, 167, 113092. [Google Scholar] [CrossRef]
- Torres, J.; Garcia, G.; Aboukheir, H.; Herrera, M.; Camacho, O. Anti-Windup Algorithms for Sliding Mode Control in Processes with Variable Dead-Time. In Proceedings of the 2020 IEEE ANDESCON, Quito, Ecuador, 13–16 October 2020. [Google Scholar]
- Prado, A.J.; Herrera, M.; Dominguez, X.; Torres, J.; Camacho, O. Integral Windup Resetting Enhancement for Sliding Mode Control of Chemical Processes with Longtime Delay. Electronics 2022, 11, 4220. [Google Scholar] [CrossRef]
- Zhang, Y.; Jin, H.; Wang, B.; Zhao, J. Balancing Control of a Unicycle Robot with Double Gyroscopes Using Adaptive Fuzzy Controller. Mechatronics 2022, 88, 102908. [Google Scholar] [CrossRef]
- Xiao, Y.; Chen, Y.; Tang, Y.; Jung, H. Design and Implementation of Office Automation System Based on Internet of Things Technology. Wirel. Commun. Mob. Comput. 2022, 2022, 519654. [Google Scholar] [CrossRef]
- Cai, L.R.; Ning, T.H.; Chao, L.R. Research on Fire Information Based on Computer Network Technology. J. Phys. Conf. Ser. 2021, 1792, 012024. [Google Scholar] [CrossRef]
- Chen, Y.; Lu, S. Research on Health Rehabilitation of Traditional Chinese Medicine Based on Computer Network Technology. J. Phys. Conf. Ser. 2021, 1744, 042097. [Google Scholar] [CrossRef]
- Xu, Z.; Wu, H.; Chen, X.; Wang, Y.; Yue, Z. Building a Natural Language Query and Control Interface for IoT Platforms. IEEE Access 2022, 10, 68655–68668. [Google Scholar] [CrossRef]
- Tace, Y.; Tabaa, M.; Elfilali, S.; Leghris, C.; Bensag, H.; Renault, E. Smart Irrigation System Based on IoT and Machine Learning. Energy Rep. 2022, 8, 1025–1036. [Google Scholar] [CrossRef]
- Hong, S.; Jiang, Z.; Zhu, J.; Rao, Y.; Zhang, W.; Gao, J. A Deep Learning-Based System for Monitoring the Number and Height Growth Rates of Moso Bamboo Shoots. Appl. Sci. 2022, 12, 7389. [Google Scholar] [CrossRef]
- Zhu, H.-H.; Huang, Y.-X.; Huang, H.; Garg, A.; Mei, G.-X.; Song, H.-H. Development and Evaluation of Arduino-Based Automatic Irrigation System for Regulation of Soil Moisture. Int. J. Geosynth. Ground Eng. 2022, 8, 13. [Google Scholar] [CrossRef]
- Rathod, A.T.; Awate, A.U. Design and Development of Automated Irrigation System. IJTSRD 2018, 3, 1052–1056. [Google Scholar] [CrossRef]
- Zhu, L.; Zhang, Z.Y. Water-Saving Intelligence Irrigation Systems Design Based on ZigBee Technology. AMM 2014, 687–691, 3187–3190. [Google Scholar] [CrossRef]
- Ndunagu, J.N.; Ukhurebor, K.E.; Akaaza, M.; Onyancha, R.B. Development of a Wireless Sensor Network and IoT-Based Smart Irrigation System. Appl. Environ. Soil Sci. 2022, 2022, 7678570. [Google Scholar] [CrossRef]
- Sakthivel, S.; Vivekanandhan, V.; Manikandan, M. Automated Irrigation System Using Improved Fuzzy Neural Network in Wireless Sensor Networks. Intell. Autom. Soft Comput. 2023, 35, 853–866. [Google Scholar] [CrossRef]
- MERİÇ, M.K. Nihat TUNAL Design and Implementation of Wireless Sensor Network for Monitoring and Controlling of Filter Backflush in Drip Irrigation System. Ege Üniversitesi Ziraat Fakültesi Derg. 2019, 56, 15–25. [Google Scholar]
- Abdul Wahid, A.; Arunbabu, E. Forecasting Water Quality Using Seasonal ARIMA Model by Integrating in-Situ Measurements and Remote Sensing Techniques in Krishnagiri Reservoir, India. Water Pract. Technol. 2022, 17, 1230–1252. [Google Scholar] [CrossRef]
- Estimation of Crop Evapotranspiration of Okra Using Drainage Lysimeters under Dry Season Conditions. Sci. Afr. 2022, 16, e01189.
- Hybrid Deep Learning Techniques for Estimation of Daily Crop Evapotranspiration Using Limited Climate Data. Comput. Electron. Agric. 2022, 202, 107338. [CrossRef]
- Ferraz, R.S.C.; Mello, T.P.; Borges Filho, M.N.; Borges, R.F.O.; Magalhães Filho, S.C.; Scheid, C.M.; Meleiro, L.A.C.; Calçada, L.A. An Experimental and Theoretical Approach on Real-Time Control and Monitoring of the Apparent Viscosity by Fuzzy-Based Control. J. Pet. Sci. Eng. 2022, 217, 110896. [Google Scholar] [CrossRef]
- Yang, Y.; Niu, Y. Co-Design of Scheduling Protocol and Fuzzy Sliding Mode Controller under Communication Constraints. Automatica 2023, 147, 110698. [Google Scholar] [CrossRef]
- Anh-Tu Nguyen; Tadanari Taniguchi; Luka Eciolaza; Víctor Campos Fuzzy Control Systems: Past, Present and Future. IEEE Comput. Intell. Mag. 2019, 14, 56–68. [CrossRef]
- Bo, G.; Yan, D.; Meng, C.; Jiaxin, L.; Chao, L.; Jiayao, Z. Soil Water Content and Lateral Rheology of Cunninghamia lanceolata Forest Under Different Rainfall Levels. Res. Water Soil Conserv. 2019, 161–166. [Google Scholar]
- National Meteorological Information Centre—China Meteorological Data Network Available online:. Available online: https://data.cma.cn/ (accessed on 1 January 2023).
- Li, Z.; Wang, W.; Zhang, C.; Zheng, Q.; Liu, L. Fault-Tolerant Control Based on Fractional Sliding Mode: Crawler Plant Protection Robot. Comput. Electr. Eng. 2023, 105, 108527. [Google Scholar] [CrossRef]
















| Models | AIC | BIC | Models | AIC | BIC |
|---|---|---|---|---|---|
| ARIMA(0,0,1) | 1.6575 | 1.6576 | ARIMA(2,0,1) | 1.6531 | 1.6535 |
| ARIMA(0,0,2) | 1.6537 | 1.6539 | ARIMA(2,0,2) | 1.6532 | 1.6536 |
| ARIMA(0,0,3) | 1.6532 | 1.6535 | ARIMA(2,0,3) | 1.6532 | 1.6536 |
| ARIMA(1,0,0) | 1.7236 | 1.7237 | ARIMA(3,0,0) | 1.6956 | 1.6959 |
| ARIMA(1,0,1) | 1.6533 | 1.6536 | ARIMA(3,0,1) | 1.6532 | 1.6536 |
| ARIMA(1,0,2) | 1.6532 | 1.6535 | ARIMA(3,0,2) | 1.6532 | 1.6536 |
| ARIMA(1,0,3) | 1.6532 | 1.6535 | ARIMA(3,0,3) | 1.6532 | 1.6537 |
| ARIMA(2,0,0) | 1.7059 | 1.7062 |
| Models | AIC | BIC | Models | AIC | BIC |
|---|---|---|---|---|---|
| ARIMA(0,0,1) | 2.4706 | 2.4718 | ARIMA(2,0,1) | 2.4422 | 2.4446 |
| ARIMA(0,0,2) | 2.4505 | 2.4523 | ARIMA(2,0,2) | 2.4418 | 2.4447 |
| ARIMA(0,0,3) | 2.4456 | 2.4480 | ARIMA(2,0,3) | 2.4421 | 2.4457 |
| ARIMA(1,0,0) | 2.4937 | 2.4949 | ARIMA(3,0,0) | 2.4712 | 2.4736 |
| ARIMA(1,0,1) | 2.4423 | 2.4441 | ARIMA(3,0,1) | 2.4421 | 2.4450 |
| ARIMA(1,0,2) | 2.4421 | 2.4445 | ARIMA(3,0,2) | 2.4422 | 2.4458 |
| ARIMA(1,0,3) | 2.4417 | 2.4446 | ARIMA(3,0,3) | 2.4417 | 2.4458 |
| ARIMA(2,0,0) | 2.4797 | 2.4815 |
| Grade | Future Rainfall | Crop Transpiration | Soil Moisture | Amount of Irrigation |
|---|---|---|---|---|
| Extra small | VP | VT | VH | VI |
| Sightly small | SP | ST | SH | SI |
| Medium | MP | MT | MH | MI |
| Large | LP | LT | LH | LI |
| Extra large | XP | XT | XH | XI |
| Future Rainfall | Crop Transpiration | Soil Moisture | ||||
|---|---|---|---|---|---|---|
| VH | SH | MH | LH | XH | ||
| VP | VT | LI | MI | MI | MI | SI |
| SP | VT | MI | MI | SI | SI | SI |
| MP | VT | MI | SI | SI | SI | VI |
| LP | VT | SI | SI | SI | VI | VI |
| XP | VT | SI | VI | VI | VI | VI |
| VP | ST | LI | LI | MI | MI | SI |
| SP | ST | LI | MI | MI | SI | SI |
| MP | ST | MI | MI | SI | SI | SI |
| LP | ST | MI | SI | SI | SI | VI |
| XP | ST | SI | SI | VI | VI | VI |
| VP | MT | LI | LI | LI | MI | MI |
| SP | MT | LI | LI | MI | MI | SI |
| MP | MT | LI | MI | MI | SI | SI |
| LP | MT | MI | MI | SI | SI | VI |
| XP | MT | MI | SI | SI | VI | VI |
| VP | LT | XI | XI | LI | LI | MI |
| SP | LT | XI | LI | LI | MI | MI |
| MP | LT | LI | LI | MI | MI | SI |
| LP | LT | LI | MI | MI | SI | SI |
| XP | LT | MI | MI | MI | SI | VI |
| VP | XT | XI | XI | XI | XI | LI |
| SP | XT | XI | XI | XI | LI | LI |
| MP | XT | XI | XI | LI | LI | MI |
| LP | XT | XI | LI | LI | MI | MI |
| XP | XT | LI | LI | MI | MI | SI |
| Controllers | Parameter Values |
|---|---|
| SMC control | |
| PID control |
Disclaimer/Publisher’s Note: The statements, opinions and data contained in all publications are solely those of the individual author(s) and contributor(s) and not of MDPI and/or the editor(s). MDPI and/or the editor(s) disclaim responsibility for any injury to people or property resulting from any ideas, methods, instructions or products referred to in the content. |
© 2023 by the authors. Licensee MDPI, Basel, Switzerland. This article is an open access article distributed under the terms and conditions of the Creative Commons Attribution (CC BY) license (https://creativecommons.org/licenses/by/4.0/).
Share and Cite
Li, X.; Li, Z.; Xie, D.; Wang, M.; Zhou, G.; Chen, L. Design of Farm Irrigation Control System Based on the Composite Controller. Actuators 2023, 12, 81. https://doi.org/10.3390/act12020081
Li X, Li Z, Xie D, Wang M, Zhou G, Chen L. Design of Farm Irrigation Control System Based on the Composite Controller. Actuators. 2023; 12(2):81. https://doi.org/10.3390/act12020081
Chicago/Turabian StyleLi, Xue, Zhiqiang Li, Dongbo Xie, Minxue Wang, Guoan Zhou, and Liqing Chen. 2023. "Design of Farm Irrigation Control System Based on the Composite Controller" Actuators 12, no. 2: 81. https://doi.org/10.3390/act12020081
APA StyleLi, X., Li, Z., Xie, D., Wang, M., Zhou, G., & Chen, L. (2023). Design of Farm Irrigation Control System Based on the Composite Controller. Actuators, 12(2), 81. https://doi.org/10.3390/act12020081

