Improved Sliding Mode-Active Disturbance Rejection Control of Electromagnetic Linear Actuator for Direct-Drive System
Abstract
:1. Introduction
2. Working Principle and Modeling of Electromagnetic Linear Actuator
2.1. Working Principle of Electromagnetic Linear Actuator
2.2. Kinetic Modeling
3. Control System Design
3.1. The Overall Design of the Control System
3.2. The Design of the Position Loop Controller
3.2.1. Design of Improved Integral Sliding Mode Control Law
3.2.2. Design of the Active Disturbance Rejection Controller
3.3. Stability Analysis of Controller
4. Experimental Verification
4.1. The Experimental Platform and Prototype
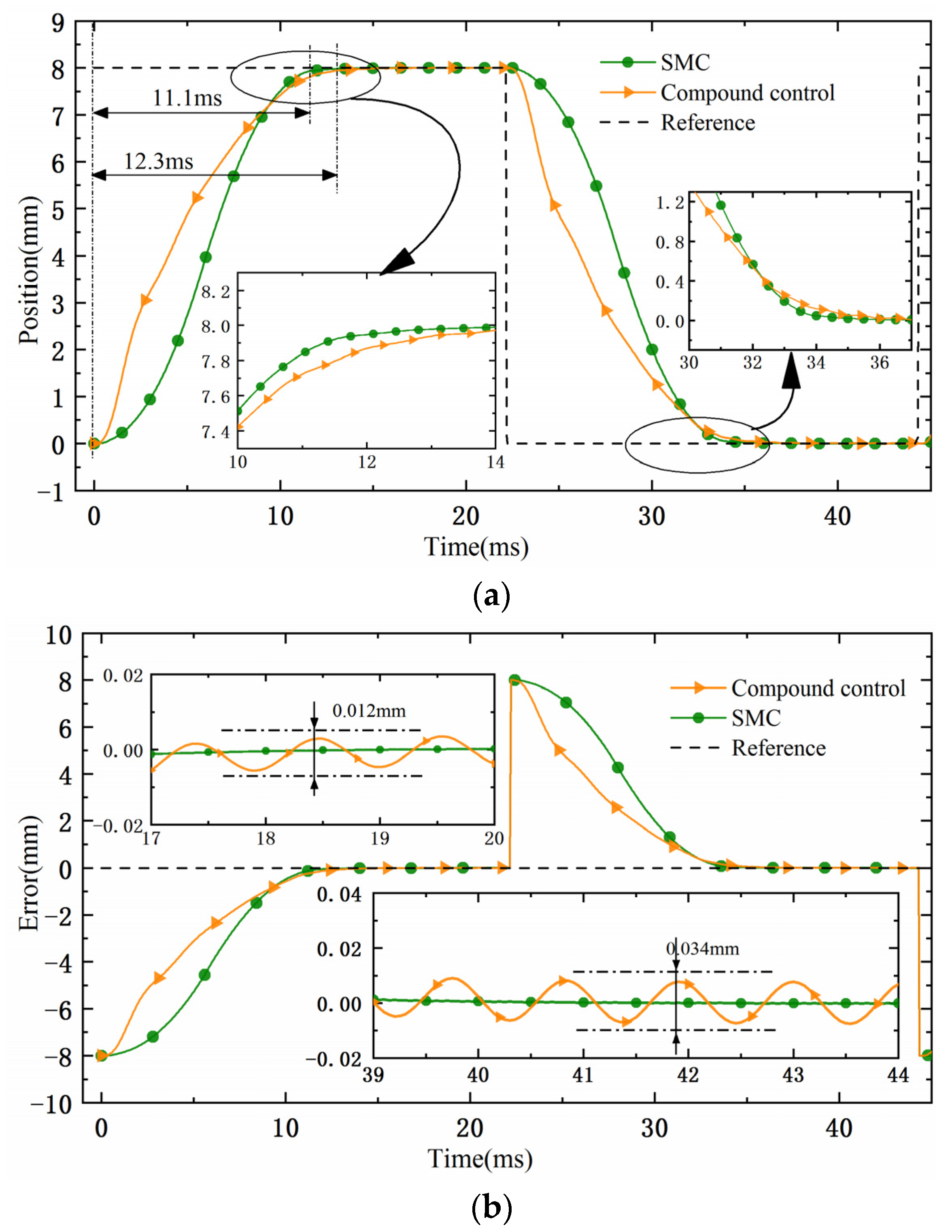
4.2. Analysis of Step Target
5. Results and Analysis
5.1. Analysis of System Steady State Accuracy
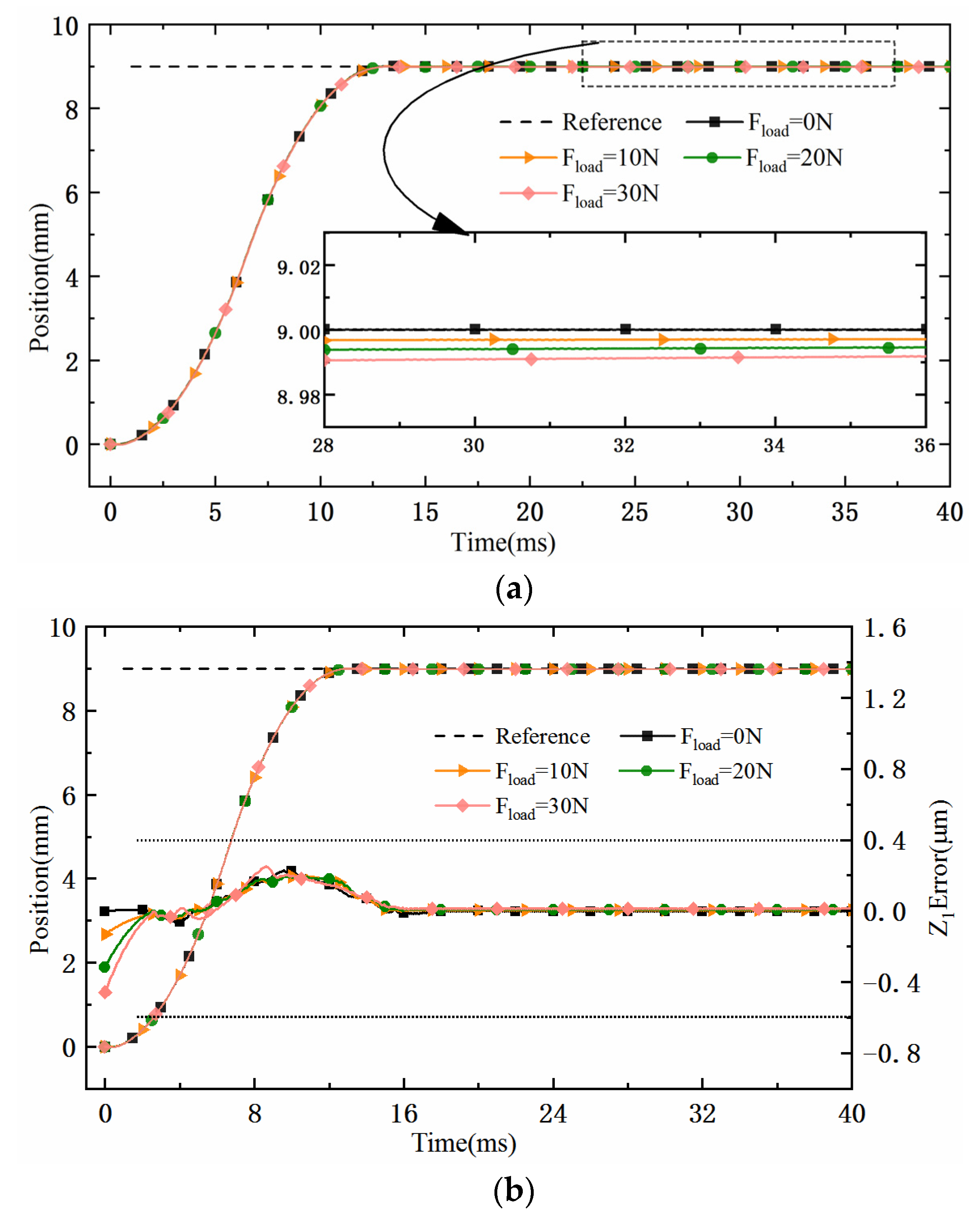
5.2. Analysis of System Anti-Disturbance Ability
5.3. Bandwidth Analysis of Compound Controller Closed Loop System
6. Conclusions
Author Contributions
Funding
Institutional Review Board Statement
Informed Consent Statement
Data Availability Statement
Conflicts of Interest
References
- Liu, Y.; Xu, X.; Chen, Z.; Li, K.; Tan, J. RBFNN Based Linear Motor Cogging Force Identification for Lithography Machines. IFAC PapersOnLine 2015, 48, 650–655. [Google Scholar] [CrossRef]
- Bhatt, J.H.; Barve, J.J. Control of spaceborne linear cryocoolers: A review. Prog. Aerosp. Sci. 2019, 109, 100544. [Google Scholar] [CrossRef]
- Kano, Y.; Satou, K. Design and Experimental Verification of a High Force Density Tubular Permanent Magnet Linear Motor for Aerospace Application. SAE Int. J. Adv. Curr. Pract. Mobil. 2019, 2, 818–827. [Google Scholar]
- Li, X.; Jiao, Z.; Yan, L.; Cao, Y. Modeling and experimental study on a novel linear electromagnetic collaborative rectification pump. Sens. Actuators A Phys. 2020, 309, 111883. [Google Scholar] [CrossRef]
- Li, B.; Liu, Y.; Tan, C.; Qin, Q.; Lu, Y. Review on electro-hydrostatic actuator: System configurations, design methods and control technologies. Int. J. Mechatron. 2020, 13, 323–346. [Google Scholar]
- Tan, C.; Ge, W.; Fan, X.; Lu, J.; Li, B.; Sun, B. Bi-stable actuator measurement method based on voice coil motor. Sens. Actuators A Phys. 2019, 285, 59–66. [Google Scholar] [CrossRef]
- Song, P.; Jian, Z.; Wei, H.; Yun, S. Robust control of butterfly-shaped linear ultrasonic motor based on Takagi-Sugeno fuzzy systems. Opt. Precis. Eng. 2014, 22, 2667–2673. [Google Scholar] [CrossRef]
- Zhang, L.; Su, W. Feedback control design of servo systems: A review. Control Theory Appl. 2014, 31, 545–559. [Google Scholar]
- Mishra, J.; Wang, L.; Zhu, Y.; Yu, X.; Jalili, M. A Novel Mixed Cascade Finite-Time Switching Control Design for Induction Motor. IEEE Trans. Ind. Electron. 2018, 66, 1172–1181. [Google Scholar] [CrossRef]
- Ray, P.K.; Paital, S.R.; Mohanty, A.; Eddy, F.Y.; Gooi, H.B. A robust power system stabilizer for enhancement of stability in power system using adaptive fuzzy sliding mode control. Appl. Soft Comput. 2018, 73, 471–481. [Google Scholar] [CrossRef]
- Li, L.; Wang, M.; Yang, R.; Fu, Y.; Zhu, D. Adaptive Damping Variable Sliding Mode Control for an Electrohydrostatic Actuator. Actuators 2021, 10, 83. [Google Scholar] [CrossRef]
- Lin, B.; Su, X.; Li, X. Fuzzy sliding mode control for active suspension system with proportional differential sliding mode observer. Asian J. Control 2019, 21, 264–276. [Google Scholar] [CrossRef] [Green Version]
- Ai, F.; Si, C.; Huitao, C. Back-stepping Sliding Mode Control for an Electromagnetic Valve Actuator. China Mech. Eng. 2020, 31, 274–280. [Google Scholar]
- Shi, X.; Huang, J.; Lin, J. Point-to-point Positioning Control of Linear Motors Based on Fractional-order Active Disturbance Rejection. Modul. Mach. Tool Autom. Manuf. Tech. 2019, 80–83, 89. [Google Scholar]
- Shen, C.; Yang, H. A New Three-Motor Drive System Using Fuzzy Active Disturbance Rejection Control. Autom. Control Comput. Sci. 2020, 54, 207–215. [Google Scholar] [CrossRef]
- Li, B.; Ge, W.; Li, Q.; Li, Y.; Tan, C. Gearshift Sensorless Control for Direct-Drive-Type AMT Based on Improved GA-BP Neural Network Algorithm. Math. Probl. Eng. 2020, 2020, 6456410. [Google Scholar] [CrossRef]
- Wang, Z.; Hu, C.; Zhu, Y.; He, S.; Yang, K.; Zhang, M. Neural network learning adaptive robust control of an industrial linear motor-driven stage with disturbance rejection ability. IEEE Trans. Ind. Inform. 2017, 13, 2172–2183. [Google Scholar] [CrossRef]
- Duan, L.; Yu, X.; Jin, S.; Hou, Z.; Bu, X. Feedforward and Feedback Model Free Adaptive Iterative Learning Control with Application to a Linear Motor System. In Proceedings of the 2019 Chinese Control Conference (CCC), Guangzhou, China, 27–30 July 2019; pp. 2564–2569. [Google Scholar]
- Wang, L.; Mishra, J.; Zhu, Y.; Yu, X. An improved sliding-mode current control of induction machine in presence of voltage constraints. IEEE Trans. Ind. Inform. 2019, 16, 1182–1191. [Google Scholar] [CrossRef]
- Cao, W.; Qiao, J.; Sun, M. Backstepping control of disturbance estimation and compensation for permanent magnet linear motor. Control Decis. 2020, 35, 1409–1414. [Google Scholar]
- Wang, F.; Wang, Y.; Tian, D. Perfect tracking control for fast-steering mirror driven by voice coil motor. Opt. Precis. Eng. 2020, 28, 1997–2006. [Google Scholar] [CrossRef]
- Ding, L.; Gao, H.; Cao, M.; Yu, B. Iterative Learning Control of Linear Motor for Non-repetitive Disturbance Suppression. Modul. Mach. Tool Autom. Manuf. Tech. 2020, 2, 105–110. [Google Scholar]
- Han, J. Auto Disturbances Rejection Control Technique. Front. Sci. 2007, 1, 24–31. [Google Scholar]
- Li, B.; Chang, S.; Lin, S. Shifting Mechanism of AMT Direct Driven by Electromagnetic Linear Actuator. Trans. Chin. Soc. Agric. Mach. 2013, 44, 29–35. [Google Scholar]
- Lu, L.; Yao, B.; Wang, Q.; Chen, Z. Adaptive robust control of linear motors with dynamic friction compensation using modified LuGre model. Automatica 2009, 45, 2890–2896. [Google Scholar] [CrossRef]
- Wang, M.; Wan, Y.; Yang, R.; Fu, Y.; Zhu, D. A Sliding Mode Control Strategy for an Electro Hydrostatic Actuator with Damping Variable Sliding Surface. Actuators 2021, 10, 3. [Google Scholar] [CrossRef]
- Chuang, C.; Bo, W.; Yong, Y.; Zhi, H.; Dian, X. An Improved Exponential Reaching Law Based-Sliding Mode Observer for Speed-Sensorless Induction Motor Drives. Trans. China Electrotech. Soc. 2020, 35, 155–163. [Google Scholar]
- Nguyen, M.H.; Dao, H.V.; Ahn, K.K. Active Disturbance Rejection Control for Position Tracking of Electro-Hydraulic Servo Systems under Modeling Uncertainty and External Load. Actuators 2021, 10, 20. [Google Scholar] [CrossRef]
- Han, J. ADRC Technique—The Technique for Estimating and Compensating the Uncertainties, 1st ed.; National Defense Industry Press: Beijing, China, 2008; pp. 66–110. [Google Scholar]
- Hai, Z.; Song, C.; Ming, L. A Sufficient Condition for the Stability of the Third-Order Extended State Observer. In Proceedings of the 32nd Chinese Control Conference, Xi’an, China, 26–28 July 2013; pp. 1526–1531. [Google Scholar]













| Parameter | Symbol/Unit | Value |
|---|---|---|
| Coil inductance | L/mH | 1.1 |
| Resistance | R/ | 1.4 |
| Mass of moving part | M/kg | 0.12 |
| Back EMF constant | Ke/Vs·m−1 | 24.61 |
| Force constant | Km/N·A−1 | 24.61 |
| Controller | Response Time | Steady-State Error |
|---|---|---|
| SMC | 15.5 ms | 0.03 mm |
| Compound control | 12.1 ms | 0.01 mm |
| Controller | Response Time | Steady-State Error |
|---|---|---|
| SMC | 12.6 ms | ±0.01 mm |
| Compound control | 11.05 ms | 0 mm |
Publisher’s Note: MDPI stays neutral with regard to jurisdictional claims in published maps and institutional affiliations. |
© 2021 by the authors. Licensee MDPI, Basel, Switzerland. This article is an open access article distributed under the terms and conditions of the Creative Commons Attribution (CC BY) license (https://creativecommons.org/licenses/by/4.0/).
Share and Cite
Lu, Y.; Tan, C.; Ge, W.; Li, B.; Lu, J. Improved Sliding Mode-Active Disturbance Rejection Control of Electromagnetic Linear Actuator for Direct-Drive System. Actuators 2021, 10, 138. https://doi.org/10.3390/act10070138
Lu Y, Tan C, Ge W, Li B, Lu J. Improved Sliding Mode-Active Disturbance Rejection Control of Electromagnetic Linear Actuator for Direct-Drive System. Actuators. 2021; 10(7):138. https://doi.org/10.3390/act10070138
Chicago/Turabian StyleLu, Yingtao, Cao Tan, Wenqing Ge, Bo Li, and Jiayu Lu. 2021. "Improved Sliding Mode-Active Disturbance Rejection Control of Electromagnetic Linear Actuator for Direct-Drive System" Actuators 10, no. 7: 138. https://doi.org/10.3390/act10070138
APA StyleLu, Y., Tan, C., Ge, W., Li, B., & Lu, J. (2021). Improved Sliding Mode-Active Disturbance Rejection Control of Electromagnetic Linear Actuator for Direct-Drive System. Actuators, 10(7), 138. https://doi.org/10.3390/act10070138

