Hepatitis C Epidemiology: Insights from a Comprehensive Cohort Study in ASST Melegnano and Martesana, Lombardia Region, Northern Italy
Abstract
1. Introduction
1.1. Hepatic and Extra-Hepatic Manifestations in Hepatitis C Virus Infection
1.2. Screening Legislation
- Is carried out with the intent to detect as yet undiagnosed HCV infections, improve the possibility of early diagnosis, initiate patients to treatment, as well as interrupt the circulation of the virus by preventing new infections;
- Shall be carried out by serological testing, by detection of anti-HCV antibodies (HCV-Ab) and/or reflex testing;
- Shall be carried out after appropriate information is provided to the individuals concerned by healthcare providers. Written informed consent to the performance of the test and processing of personal data must be acquired [28].
1.3. Objectives
2. Materials and Methods
2.1. Study Design and Patient Recruitment
2.2. Screening and Diagnostic Confirmation
2.3. Statistical Analysis
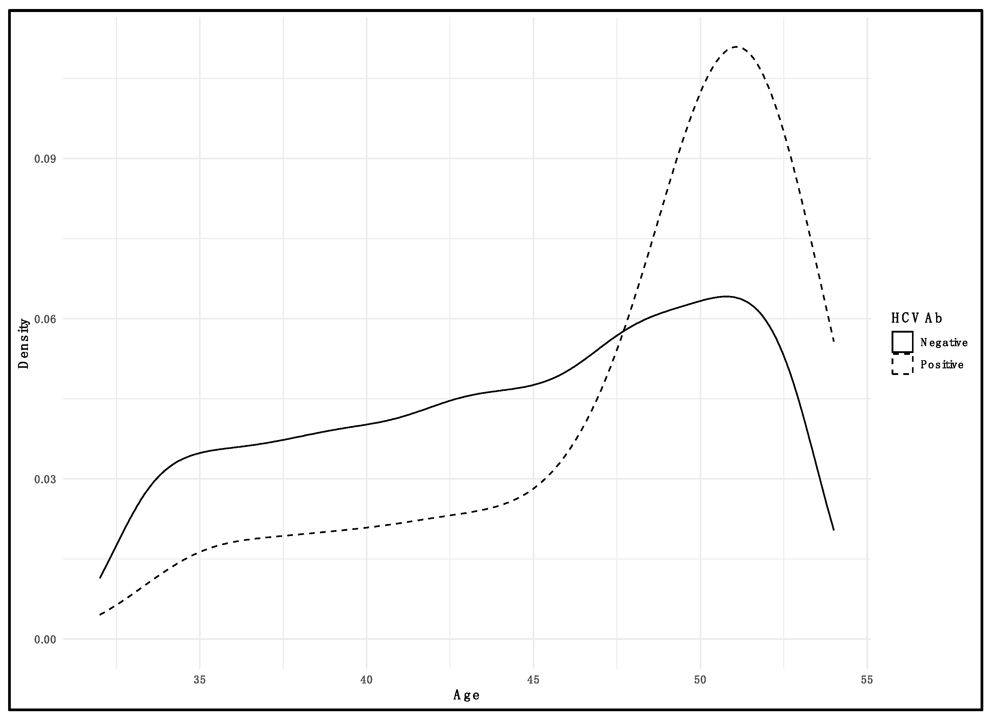
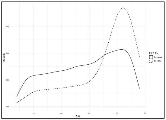
3. Results
4. Discussion
5. Conclusions
Author Contributions
Funding
Institutional Review Board Statement
Informed Consent Statement
Data Availability Statement
Conflicts of Interest
References
- Hofstraat, S.H.I.; Falla, A.M.; Duffell, E.F.; Hahné, S.J.M.; Amato-Gauci, A.J.; Veldhuijzen, I.K.; Tavoschi, L. Current prevalence of chronic hepatitis B and C virus infection in the general population, blood donors and pregnant women in the EU/EEA: A systematic review. Epidemiol. Infect. 2017, 145, 2873–2885. [Google Scholar] [CrossRef]
- ECDC. Hepatitis B and C Epidemiology in Selected Population Groups in the EU/EEA. Available online: https://www.ecdc.europa.eu/sites/default/files/documents/Hepatitis-B-C-epidemiology-in-selected-populations-in-the-EU.pdf (accessed on 24 November 2023). [CrossRef]
- Easterbrook, P.J. Who to test and how to test for chronic hepatitis C infection—2016 WHO testing guidance for low- and middle-income countries. J. Hepatol. 2016, 65, S46–S66. [Google Scholar] [CrossRef]
- World Health Organisation. Hepatitis C. Available online: https://www.who.int/news-room/fact-sheets/detail/hepatitis-c (accessed on 24 November 2023).
- Lingala, S.; Ghany, M.G. Natural History of Hepatitis C. Gastroenterol. Clin. N. Am. 2015, 44, 717–734. [Google Scholar] [CrossRef]
- Negro, F. European Association for the Study of the Liver EASL Clinical Practice Guidelines: Management of hepatitis C virus infection. J. Hepatol. 2014, 60, 392–420. [Google Scholar] [CrossRef]
- Mata-Marín, J.A.; de Pablos-Leal, A.A.; Mauss, S.; Arroyo-Anduiza, C.I.; Rodríguez-Evaristo, M.S.; Uribe-Noguéz, L.A.; Berrospe-Silva, M.d.L.; Lara-Castañeda, J.C.; Pérez-Barragán, E.; Gaytán-Martínez, J. Risk factors for HCV transmission in HIV-positive men who have sex with men in México. PLoS ONE 2022, 17, e0269977. [Google Scholar] [CrossRef] [PubMed]
- World Health Organisation. Available online: https://platform.who.int/mortality/themes/theme-details/topics/indicator-groups/indicator-group-details/MDB/hepatitis-c (accessed on 5 December 2023).
- Kuna, L.; Jakab, J.; Smolic, R.; Wu, G.Y.; Smolic, M. HCV Extrahepatic Manifestations. J. Clin. Transl. Hepatol. 2019, 7, 1–11. [Google Scholar] [CrossRef] [PubMed]
- Zampino, R.; Marrone, A.; Restivo, L.; Guerrera, B.; Sellitto, A.; Rinaldi, L.; Romano, C.; E Adinolfi, L. Chronic HCV infection and inflammation: Clinical impact on hepatic and extra-hepatic manifestations. World J. Hepatol. 2013, 5, 528–540. [Google Scholar] [CrossRef]
- Marrone, A.; Ciotti, M.; Rinaldi, L.; Adinolfi, L.E.; Ghany, M. Hepatitis B and C virus infection and risk of haematological malignancies. J. Viral Hepat. 2019, 27, 4–12. [Google Scholar] [CrossRef]
- Mazzaro, C.; Maso, L.D.; Mauro, E.; Visentini, M.; Tonizzo, M.; Gattei, V.; Andreone, P.; Pozzato, G. Hepatitis C virus- related cryoglobulinemic vasculitis: A review of the role of the new direct antiviral agents (DAAs) therapy. Autoimmun. Rev. 2020, 19, 102589. [Google Scholar] [CrossRef]
- Mazzaro, C.; Bomben, R.; Gragnani, L.; Visentini, M.; Pozzato, G.; Pozzo, F.; Zucchetto, A.; Gattei, V. Hepatitis C virus-associated B-cell lymphomas: The importance of the new direct antiviral agent therapy. Semin. Hematol. 2022, 59, 177–182. [Google Scholar] [CrossRef]
- Fallahi, P.; Ferrari, S.M.; Colaci, M.; Ruffilli, I.; Vita, R.; Azzi, A.; Ferri, C.; Antonelli, A.; Ferrannini, E. Hepatitis C virus infection and type 2 diabetes. Clin. Ther. 2013, 164, e393–e404. [Google Scholar] [CrossRef] [PubMed]
- Tung, C.-H.; Chen, Y.-C.; Chen, Y.-C. Association between Anti-Hepatitis C Viral Intervention Therapy and Risk of Sjögren’s Syndrome: A National Retrospective Analysis. J. Clin. Med. 2022, 11, 4259. [Google Scholar] [CrossRef]
- Adinolfi, L.E.; Nevola, R.; Lus, G.; Restivo, L.; Guerrera, B.; Romano, C.; Zampino, R.; Rinaldi, L.; Sellitto, A.; Giordano, M.; et al. Chronic hepatitis C virus infection and neurological and psychiatric disorders: An overview. World J. Gastroenterol. 2015, 21, 2269–2280. [Google Scholar] [CrossRef]
- Lormeau, C.; Falgarone, G.; Roulot, D.; Boissier, M.-C. Rheumatologic manifestations of chronic hepatitis C infection. Jt. Bone Spine 2006, 73, 633–638. [Google Scholar] [CrossRef]
- Lucchese, A. A potential peptide pathway from viruses to oral lichen planus. J. Med. Virol. 2015, 87, 1060–1065. [Google Scholar] [CrossRef]
- Carrozzo, M. A personal journey through Oral medicine: The tale of hepatitis C virus and oral lichen planus. J. Oral Pathol. Med. 2023, 52, 335–338. [Google Scholar] [CrossRef]
- To-Figueras, J. Association between hepatitis C virus and porphyria cutanea tarda. Mol. Genet. Metab. 2019, 128, 282–287. [Google Scholar] [CrossRef]
- Songtanin, B.; Nugent, K. Burden, Outcome, and Comorbidities of Extrahepatic Manifestations in Hepatitis C Virus Infection. Biology 2022, 12, 23. [Google Scholar] [CrossRef]
- Kohli, A.; Shaffer, A.; Sherman, A.; Kottilil, S. Treatment of Hepatitis C. JAMA 2014, 312, 631–640. [Google Scholar] [CrossRef] [PubMed]
- Romano, C.; Tortorella, O.; Mora, L.D.; Di Stasio, D.; Sellitto, A.; Adinolfi, L.E.; Marrone, A. Prevalence and Outcome of Serum Autoantibodies in Chronic Hepatitis C Patients Undergoing Direct-Acting Antiviral Treatment. Front. Immunol. 2022, 13, 882064. [Google Scholar] [CrossRef] [PubMed]
- Di Stasio, D.; Lucchese, A.; Romano, A.; Adinolfi, L.E.; Serpico, R.; Marrone, A. The clinical impact of direct-acting antiviral treatment on patients affected by hepatitis C virus-related oral lichen planus: A cohort study. Clin. Oral Investig. 2022, 26, 5409–5417. [Google Scholar] [CrossRef] [PubMed]
- World Health Organisation (WHO) Europe. Action Plan for the Health Sector Response to Viral Hepatitis in the WHO European Region. 2017. Available online: https://www.who.int/europe/publications/i/item/9789289052870 (accessed on 24 November 2023).
- Available online: https://www.gazzettaufficiale.it/eli/id/2020/02/29/20G00021/sg (accessed on 24 November 2023).
- Available online: https://www.statoregioni.it/it/conferenza-stato-regioni/sedute-2020/seduta-del-17122020/atti/ (accessed on 24 November 2023).
- Available online: https://www.gazzettaufficiale.it/eli/id/2021/07/08/21A04075/sg (accessed on 24 November 2023).
- Andriulli, A.; Stroffolini, T.; Mariano, A.; Valvano, M.R.; Grattagliano, I.; Ippolito, A.M.; Grossi, A.; Brancaccio, G.; Coco, C.; Russello, M.; et al. Declining prevalence and increasing awareness of hepatitis C virus infection in Italy: A popu- lation-based survey. Eur. J. Intern. Med. 2018, 53, 79–84. [Google Scholar] [CrossRef] [PubMed]
- Kondili, L.A.; Andreoni, M.; Alberti, A.; Lobello, S.; Babudieri, S.; Roscini, A.S.; Merolla, R.; Marrocco, W.; Craxì, A. Estimated prevalence of undiagnosed HCV infected individuals in Italy: A mathematical model by route of transmission and fibrosis progression. Epidemics 2021, 34, 100442. [Google Scholar] [CrossRef] [PubMed]
- Martínez-Sanz, J.; Muriel, A.; Vivancos-Gallego, M.J.; Galán, J.C.; Romero, B.; Rodríguez-Sagrado, M.; Uranga, A.; Pérez-Elías, P.; Barea, R.; Chamorro-Escobar, C.; et al. Prevalence of HCV infection in a health area of Madrid (Spain): The first step towards microelimination. Enferm. Infec. Microbiol. Clin. 2020, 38, 317–322. [Google Scholar] [CrossRef] [PubMed]
- Petta, S.; Adinolfi, L.E.; Fracanzani, A.L.; Rini, F.; Caldarella, R.; Calvaruso, V.; Cammà, C.; Ciaccio, M.; Di Marco, V.; Grimaudo, S.; et al. Hepatitis C virus eradication by direct-acting antiviral agents improves carotid atherosclerosis in patients with severe liver fibrosis. J. Hepatol. 2018, 69, 18–24. [Google Scholar] [CrossRef]
- Adinolfi, L.E.; Petta, S.; Fracanzani, A.L.; Coppola, C.; Narciso, V.; Nevola, R.; Rinaldi, L.; Calvaruso, V.; Staiano, L.; Di Marco, V.; et al. Impact of hepatitis C virus clearance by direct-acting antiviral treatment on the incidence of major cardiovascular events: A prospective multicentre study. Atherosclerosis 2020, 296, 40–47. [Google Scholar] [CrossRef]
- Persico, M.; Aglitti, A.; Caruso, R.; De Renzo, A.; Selleri, C.; Califano, C.; Masarone, M. Efficacy and safety of new direct antiviral agents in hepatitis C virus-infected patients with diffuse large B-cell non-Hodgkin’s lymphoma. Hepatology 2018, 67, 48–55. [Google Scholar] [CrossRef]
- Cacoub, P.; Desbois, A.C.; Comarmond, C.; Saadoun, D. Impact of sustained virological response on the extrahepatic manifestations of chronic hepatitis C: A meta-analysis. Gut 2018, 67, 2025–2034. [Google Scholar] [CrossRef] [PubMed]
- Kanduc, D.; Serpico, R.; Lucchese, A.; Shoenfeld, Y. Correlating low-similarity peptide sequences and HIV B-cell epitopes. Autoimmun. Rev. 2008, 7, 291–296. [Google Scholar] [CrossRef] [PubMed]

| Area | Sex (Females/Males) | Total Screened | Age (Mean ± SD) |
|---|---|---|---|
| Cassano | 31/20 | 51 | 42.77 ± 6.19 |
| Cernusco | 404/231 | 635 | 44.43 ± 6.15 |
| Gorgonzola | 205/106 | 311 | 44.31 ± 6.29 |
| Melegnano | 23/16 | 39 | 45.31 ± 6.04 |
| Melzo | 311/106 | 417 | 44.68 ± 5.62 |
| Paullo | 104/46 | 150 | 44.23 ± 6.33 |
| Peschiera | 53/26 | 79 | 44.70 ± 6.28 |
| San Donato | 63/36 | 99 | 43.47 ± 6.20 |
| San Giuliano | 23/9 | 32 | 42.31 ± 6.23 |
| Vaprio | 292/152 | 444 | 44.93 ± 5.87 |
| Vizzolo | 626/407 | 1033 | 44.23 ± 5.96 |
| Area | HCV Ab+ | Prevalence | CI | HCV RNA+ | Prevalence | CI |
|---|---|---|---|---|---|---|
| Cassano | 0 | 0 | – | - | - | – |
| Cernusco | 2M/1F | 0.472 | 0.0975–1.37 | - | - | – |
| Gorgonzola | 2F | 0.643 | 0.0780–2.30 | - | - | – |
| Melegnano | 0 | 0 | – | - | - | – |
| Melzo | 3F | 0.719 | 0.149–2.09 | 1F | 0.24 | 0.0061–1.329 |
| Paullo | 2M | 1.333 | 0.162–4.73 | - | - | – |
| Peschiera | 2M | 2.532 | 0.308–8.85 | - | - | – |
| San Donato | 0 | 0 | – | - | - | – |
| San Giuliano | 0 | 0 | – | - | - | – |
| Vaprio | 1M/2F | 0.676 | 0.140–1.96 | - | - | – |
| Vizzolo | 10M/5F | 1.452 | 0.815–2.38 | 1F/3M | 0.387 | 0.106–0.988 |
| Age Group | Sex | Screened | HCVAb+ | Prevalence | CI 95% | HCV RNA+ | Prevalence | CI 95% |
|---|---|---|---|---|---|---|---|---|
| 30–39 | F | 559 | 1 | 0.179 | 0.005–0.993 | – | – | – |
| M | 274 | 3 | 1.100 | 0.226–3.166 | – | – | – | |
| 40–49 | F | 1058 | 5 | 0.473 | 0.154–1.10 | 1 | 0.095 | 0.0024–0.525 |
| M | 545 | 3 | 0.550 | 0.114–1.600 | – | – | – | |
| ≥50 | F | 518 | 7 | 1.350 | 0.545–2.764 | 1 | 0.193 | 0.0049–1.07 |
| M | 336 | 12 | 3.448 | 1.645–5.782 | 3 | 0.893 | 0.185–2.59 |
Disclaimer/Publisher’s Note: The statements, opinions and data contained in all publications are solely those of the individual author(s) and contributor(s) and not of MDPI and/or the editor(s). MDPI and/or the editor(s) disclaim responsibility for any injury to people or property resulting from any ideas, methods, instructions or products referred to in the content. |
© 2024 by the authors. Licensee MDPI, Basel, Switzerland. This article is an open access article distributed under the terms and conditions of the Creative Commons Attribution (CC BY) license (https://creativecommons.org/licenses/by/4.0/).
Share and Cite
Nardone, M.; Di Stasio, D.; Lucchese, A.; Gentili, D.; Cattabianchi, G.; Signorelli, C.; Sarchi, P.; Pulcrano, G.; Lembo, V.; Pirola, P.M.; et al. Hepatitis C Epidemiology: Insights from a Comprehensive Cohort Study in ASST Melegnano and Martesana, Lombardia Region, Northern Italy. Pathogens 2024, 13, 215. https://doi.org/10.3390/pathogens13030215
Nardone M, Di Stasio D, Lucchese A, Gentili D, Cattabianchi G, Signorelli C, Sarchi P, Pulcrano G, Lembo V, Pirola PM, et al. Hepatitis C Epidemiology: Insights from a Comprehensive Cohort Study in ASST Melegnano and Martesana, Lombardia Region, Northern Italy. Pathogens. 2024; 13(3):215. https://doi.org/10.3390/pathogens13030215
Chicago/Turabian StyleNardone, Michele, Dario Di Stasio, Alberta Lucchese, Daniele Gentili, Giulia Cattabianchi, Carlo Signorelli, Pierangelo Sarchi, Giovanna Pulcrano, Valentino Lembo, Paola Maria Pirola, and et al. 2024. "Hepatitis C Epidemiology: Insights from a Comprehensive Cohort Study in ASST Melegnano and Martesana, Lombardia Region, Northern Italy" Pathogens 13, no. 3: 215. https://doi.org/10.3390/pathogens13030215
APA StyleNardone, M., Di Stasio, D., Lucchese, A., Gentili, D., Cattabianchi, G., Signorelli, C., Sarchi, P., Pulcrano, G., Lembo, V., Pirola, P. M., Lauritano, D., & Carinci, F. (2024). Hepatitis C Epidemiology: Insights from a Comprehensive Cohort Study in ASST Melegnano and Martesana, Lombardia Region, Northern Italy. Pathogens, 13(3), 215. https://doi.org/10.3390/pathogens13030215

