A Longitudinal Cohort Study of Risk Factors Associated with Small Ruminant Lentivirus Seropositivity in Intensively Reared Dairy Ewes in Greece
Abstract
1. Introduction
2. Materials and Methods
2.1. Farms and Animal Population
2.2. Blood Sampling and Serological Analysis
2.3. Statistical Analyses
3. Results
3.1. Seroprevalence and Serological Patterns
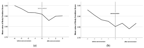
3.2. BCS and Health Recordings
3.3. Adjusted Relative Risks
4. Discussion
5. Conclusions
Author Contributions
Funding
Institutional Review Board Statement
Informed Consent Statement
Data Availability Statement
Acknowledgments
Conflicts of Interest
References
- Blacklaws, B.A. Small Ruminant Lentiviruses: Immunopathogenesis of Visna-Maedi and Caprine Arthritis and Encephalitis Virus. Comp. Immunol. Microbiol. Infect. Dis. 2012, 35, 259–269. [Google Scholar] [CrossRef] [PubMed]
- Minguijón, E.; Reina, R.; Pérez, M.; Polledo, L.; Villoria, M.; Ramírez, H.; Leginagoikoa, I.; Badiola, J.J.; García-Marín, J.F.; de Andrés, D.; et al. Small Ruminant Lentivirus Infections and Diseases. Vet. Microbiol. 2015, 181, 75–89. [Google Scholar] [CrossRef] [PubMed]
- Benavides, J.; Fuertes, M.; García-Pariente, C.; Otaola, J.; Delgado, L.; Giraldez, J.; García Marín, J.F.; Carmen Ferreras, M.; Pérez, V. Impact of Maedi-Visna in Intensively Managed Dairy Sheep. Vet. J. 2013, 197, 607–612. [Google Scholar] [CrossRef]
- Arsenault, J.; Dubreuil, P.; Girard, C.; Simard, C.; Bélanger, D. Maedi-Visna Impact on Productivity in Quebec Sheep Flocks (Canada). Prev. Vet. Med. 2003, 59, 125–137. [Google Scholar] [CrossRef] [PubMed]
- Dohoo, I.R.; Heaney, D.P.; Stevenson, R.G.; Samagh, B.S.; Rhodes, C.S. The Effects of Maedi-Visna Virus Infection on Productivity in Ewes. Prev. Vet. Med. 1987, 4, 471–484. [Google Scholar] [CrossRef]
- Keen, J.E.; Hungerford, L.L.; Littledike, E.T.; Wittum, T.E.; Kwang, J. Effect of Ewe Ovine Lentivirus Infection on Ewe and Lamb Productivity. Prev. Vet. Med. 1997, 30, 155–169. [Google Scholar] [CrossRef] [PubMed]
- Juste, R.A.; Villoria, M.; Leginagoikoa, I.; Ugarte, E.; Minguijon, E. Milk Production Losses in Latxa Dairy Sheep Associated with Small Ruminant Lentivirus Infection. Prev. Vet. Med. 2020, 176, 104886. [Google Scholar] [CrossRef]
- Echeverría, I.; De Miguel, R.; De Pablo-Maiso, L.; Glaria, I.; Benito, A.A.; De Blas, I.; De Andrés, D.; Luján, L.; Reina, R. Multi-Platform Detection of Small Ruminant Lentivirus Antibodies and Provirus as Biomarkers of Production Losses. Front. Vet. Sci. 2020, 7, 182. [Google Scholar] [CrossRef]
- Pekelder, J.J.; Veenink, G.J.; Akkermans, J.P.; van Eldik, P.; Elving, L.; Houwers, D.J. Ovine Lentivirus Induced Indurative Lymphocytic Mastitis and Its Effect on the Growth of Lambs. Vet. Rec. 1994, 134, 348–350. [Google Scholar] [CrossRef]
- Kaba, J.; Strzałkowska, N.; Jóźwik, A.; Krzyzewski, J.; Bagnicka, E. Twelve-Year Cohort Study on the Influence of Caprine Arthritis-Encephalitis Virus Infection on Milk Yield and Composition. J. Dairy Sci. 2012, 95, 1617–1622. [Google Scholar] [CrossRef]
- Martínez-navalón, B.; Peris, C.; Gómez, E.A.; Peris, B.; Luz, M.; Caballero, C.; Goyena, E.; Berriatua, E. Quantitative Estimation of the Impact of Caprine Arthritis Encephalitis Virus Infection on Milk Production by Dairy Goats. Vet. J. 2013, 197, 311–317. [Google Scholar] [CrossRef] [PubMed]
- Turin, L.; Pisoni, G.; Giannino, M.L.; Antonini, M.; Rosati, S.; Ruffo, G.; Moroni, P. Correlation between Milk Parameters in CAEV Seropositive and Negative Primiparous Goats during an Eradication Program in Italian Farm. Small Rumin. Res. 2005, 57, 73–79. [Google Scholar] [CrossRef]
- Sihvonen, L.; Nuotio, L.; Rikula, U.; Hirvelä-Koski, V.; Kokkonen, U.M. Preventing the Spread of Maedi-Visna in Sheep through a Voluntary Control Programme in Finland. Prev. Vet. Med. 2000, 47, 213–220. [Google Scholar] [CrossRef] [PubMed]
- Kampen, A.H.; Tharaldsen, J.; Mork, J.; Grøneng, G. Surveillance and Control Programmes for Terrestrial and Aquatic Animals in Norway; National Veterinary Institute: Oslo, Norway, 2008. [Google Scholar]
- Pérez, M.; Biescas, E.; de Andrés, X.; Leginagoikoa, I.; Salazar, E.; Berriatua, E.; Reina, R.; Bolea, R.; de Andrés, D.; Juste, R.A.; et al. Visna/Maedi Virus Serology in Sheep: Survey, Risk Factors and Implementation of a Successful Control Programme in Aragón (Spain). Vet. J. 2010, 186, 221–225. [Google Scholar] [CrossRef] [PubMed]
- Tavella, A.; Bettini, A.; Ceol, M.; Zambotto, P.; Stifter, E.; Kusstatscher, N.; Lombardi, R.; Nardeli, S.; Beato, M.S.; Capello, K.; et al. Achievements of an Eradication Programme against Caprine Arthritis Encephalitis Virus in South Tyrol, Italy. Vet. Rec. 2018, 182, 51. [Google Scholar] [CrossRef]
- Alves, J.R.A.; Limeira, C.H.; De Souza Lima, G.M.; Pinheiro, R.R.; Alves, F.S.F.; Dos Santos, V.W.S.; De Azevedo, S.S.; Alves, C.J. Epidemiological Characterization and Risk Factors Associated with Lentiviral Infection of Small Ruminants at Animal Fairs in the Semiarid Sertão Region of Pernambuco, Brazilian Semiarid. Semin. Agrar. 2017, 38, 1875–1886. [Google Scholar] [CrossRef][Green Version]
- Bojar, W.; Junkuszew, A.; Dudko, P.; Olech, M.; Olesiński, Z.; Gruszecki, T.; Kuźmiak, J. Risk Factors Associated with Small-Ruminantlentiviruses in Sheepfold Buildings. Ann. Agric. Environ. Med. 2018, 25, 383–387. [Google Scholar] [CrossRef]
- Cirone, F.; Maggiolino, A.; Cirilli, M.; Sposato, A.; De Palo, P.; Ciappetta, G.; Pratelli, A. Small Ruminant Lentiviruses in Goats in Southern Italy: Serological Evidence, Risk Factors and Implementation of Control Programs. Vet. Microbiol. 2019, 228, 143–146. [Google Scholar] [CrossRef]
- Norouzi, B.; Razavizadeh, A.; Azizzadeh, M.; Mayameei, A.; Mashhadi, V.N.N. Serological Study of Small Ruminant Lentiviruses in Sheep Population of Khorasan-e-Razavi Province in Iran. Vet. Res. Forum Int. Q. J. 2015, 6, 245–249. [Google Scholar]
- Lago, N.; López, C.; Panadero, R.; Cienfuegos, S.; Pato, J.; Prieto, A.; Díaz, P.; Mourazos, N.; Fernández, G. Seroprevalence and Risk Factors Associated with Visna/Maedi Virus in Semi-Intensive Lamb-Producing Flocks in Northwestern Spain. Prev. Vet. Med. 2012, 103, 163–169. [Google Scholar] [CrossRef]
- Hüttner, K.; Seelmann, M.; Feldhusen, F. Prevalence and Risk Factors for Maedi-Visna in Sheep Farms in Mecklenburg-Western-Pomerania. Berl. Munch. Tierarztl. Wochenschr. 2010, 123, 463–467. [Google Scholar] [PubMed]
- Shuaib, M.; Green, C.; Rashid, M.; Duizer, G.; Whiting, T.L. Herd Risk Factors Associated with Sero-Prevalence of Maedi-Visna in the Manitoba Sheep Population. Can. Vet. J. 2010, 51, 385–390. [Google Scholar] [PubMed]
- Kaba, J.; Czopowicz, M.; Ganter, M.; Nowicki, M.; Witkowski, L.; Nowicka, D.; Szaluś-Jordanow, O. Risk Factors Associated with Seropositivity to Small Ruminant Lentiviruses in Goat Herds. Res. Vet. Sci. 2013, 94, 225–227. [Google Scholar] [CrossRef]
- Pavlak, M.; Vlahović, K.; Cvitković, D.; Mihelić, D.; Kilvain, I.; Udiljak, Ž.; Andreanszky, T. Seroprevalence and Risk Factors Associated with Maedi Visna Virus in Sheep Population in Southwestern Croatia. Vet. Arh. 2022, 92, 277–289. [Google Scholar] [CrossRef]
- Michiels, R.; Van Mael, E.; Quinet, C.; Welby, S.; Cay, A.B.; De Regge, N. Seroprevalence and Risk Factors Related to Small Ruminant Lentivirus Infections in Belgian Sheep and Goats. Prev. Vet. Med. 2018, 151, 13–20. [Google Scholar] [CrossRef] [PubMed]
- Junkuszew, A.; Dudko, P.; Bojar, W.; Olech, M.; Osiński, Z.; Gruszecki, T.M.; Kania, M.G.; Kuźmak, J.; Czerski, G. Risk Factors Associated with Small Ruminant Lentivirus Infection in Eastern Poland Sheep Flocks. Prev. Vet. Med. 2016, 127, 44–49. [Google Scholar] [CrossRef]
- Song, J.W.; Chung, K.C. Observational Studies: Cohort and Case-Control Studies. Plast. Reconstr. Surg. 2010, 126, 2234–2242. [Google Scholar] [CrossRef]
- Lau, B.; Gange, S.J.; Moore, R.D. Interval and Clinical Cohort Studies: Epidemiological Issues. AIDS Res. Hum. Retroviruses 2007, 23, 769–776. [Google Scholar] [CrossRef]
- Ploumi, K.; Christodoulou, V.; Vainas, E.; Lymberopoulos, A.; Xioufis, A.; Giouzeijiannis, A.; Paschaleri, E.; Ap Dewi, I. Effect of Maedi-Visna Virus Infection on Milk Production in Dairy Sheep in Greece. Vet. Rec. 2001, 149, 526–527. [Google Scholar] [CrossRef]
- Karanikolaou, K.; Angelopoulou, K.; Papanastasopoulou, M.; Koumpati-Artopiou, M.; Papadopoulos, O.; Koptopoulos, G. Detection of Small Ruminant Lentiviruses by PCR and Serology Tests in Field Samples of Animals from Greece. Small Rumin. Res. 2005, 58, 181–187. [Google Scholar] [CrossRef]
- Kalogianni, A.I.; Bouzalas, I.; Bossis, I.; Gelasakis, A.I. Seroepidemiology of Maedi-Visna in Intensively Reared Dairy. Animals 2023, 13, 2273. [Google Scholar] [CrossRef] [PubMed]
- Zanoni, R.G.; Vogt, H.-R.; Pohl, B.; Böttcher, J.; Bommeli, W.; Peterhans, E. An ELISA Based on Whole Virus for the Detection of Antibodies to Small-ruminant Lentiviruses. J. Vet. Med. Ser. B 1994, 41, 662–669. [Google Scholar] [CrossRef] [PubMed]
- Russel, A.J.F.; Doney, J.M.; Gunn, R.G. Subjective Assessment of Body Fat in Live Sheep. J. Agric. Sci. 1969, 72, 451–454. [Google Scholar] [CrossRef]
- Leginagoikoa, I.; Minguijón, E.; Juste, R.A.; Barandika, J.; Amorena, B.; de Andrés, D.; Badiola, J.J.; Luján, L.; Berriatua, E. Effects of Housing on the Incidence of Visna/Maedi Virus Infection in Sheep Flocks. Res. Vet. Sci. 2010, 88, 415–421. [Google Scholar] [CrossRef]
- Leginagoikoa, I.; Juste, R.A.; Barandika, J.; Amorena, B.; De Andrés, D.; Luján, L.; Badiola, J.; Berriatua, E. Extensive Rearing Hinders Maedi-Visna Virus (MVV) Infection in Sheep. Vet. Res. 2006, 37, 767–778. [Google Scholar] [CrossRef] [PubMed]
- Leginagoikoa, I.; Daltabuit-Test, M.; Álvarez, V.; Arranz, J.; Juste, R.A.; Amorena, B.; de Andrés, D.; Luján, L.L.; Badiola, J.J.; Berriatua, E. Horizontal Maedi-Visna Virus (MVV) Infection in Adult Dairy-Sheep Raised under Varying MVV-Infection Pressures Investigated by ELISA and PCR. Res. Vet. Sci. 2006, 80, 235–241. [Google Scholar] [CrossRef]
- Barquero, N.; Gomez-Lucia, E.; Arjona, A.; Toural, C.; Las Heras, A.; Fernández-Garayzábal, J.F.; Quiteria, J.A.R.S.; Doménech, A. Investigation of Risk Factors Associated with Infections Caused by Small Ruminant Lentiviruses. Bull. Vet. Inst. Pulawy 2013, 57, 473–478. [Google Scholar] [CrossRef]
- Illius, A.W.; Lievaart-Peterson, K.; McNeilly, T.N.; Savill, N.J. Epidemiology and Control of Maedi-Visna Virus: Curing the Flock. PLoS ONE 2020, 15, e0238781. [Google Scholar] [CrossRef]
- De Andrés, D.; Klein, D.; Watt, N.J.; Berriatua, E.; Torsteinsdottir, S.; Blacklaws, B.A.; Harkiss, G.D. Diagnostic Tests for Small Ruminant Lentiviruses. Vet. Microbiol. 2005, 107, 49–62. [Google Scholar] [CrossRef]
- Czopowicz, M.; Szaluś-Jordanow, O.; Mickiewicz, M.; Witkowski, L.; Moroz, A.; Markowska-Daniel, I.; Reczyńska, D.; Bagnicka, E.; Kaba, J. Fall in Antibody Titer to Small Ruminant Lentivirus in the Periparturient Period in Goats. Small Rumin. Res. 2017, 147, 37–40. [Google Scholar] [CrossRef]
- Herr, M.; Bostedt, H.; Failing, K. IgG and IgM Levels in Dairy Cows during the Periparturient Period. Theriogenology 2011, 75, 377–385. [Google Scholar] [CrossRef] [PubMed]
- Chniter, M.; Salhi, I.; Harrabi, H.; Khorchani, T.; Lainé, A.L.; Nowak, R.; Hammadi, M. Physiological Changes in the Peri-Partum Period and Colostral IgG Transfer in Prolific D’man Sheep: Effects of Parity and Litter Size. Trop. Anim. Health Prod. 2016, 48, 387–394. [Google Scholar] [CrossRef] [PubMed]
- Beasley, A.M.; Kahn, L.P.; Windon, R.G. The Periparturient Relaxation of Immunity in Merino Ewes Infected with Trichostrongylus Colubriformis: Parasitological and Immunological Responses. Vet. Parasitol. 2010, 168, 60–70. [Google Scholar] [CrossRef] [PubMed]
- Walraph, J.; Zoche-Golob, V.; Weber, J.; Freick, M. Decline of Antibody Response in Indirect ELISA Tests during the Periparturient Period Caused Diagnostic Gaps in Coxiella Burnetii and BVDV Serology in Pluriparous Cows within a Holstein Dairy Herd. Res. Vet. Sci. 2018, 118, 91–96. [Google Scholar] [CrossRef]
- Bachofen, C.; Bollinger, B.; Peterhans, E.; Stalder, H.; Schweizer, M. Diagnostic Gap in Bovine Viral Diarrhea Virus Serology during the Periparturient Period in Cattle. J. Vet. Diagnostic Investig. 2013, 25, 655–661. [Google Scholar] [CrossRef]
- Singh, I.; Mcconnell, I.; Dalziel, R.; Blacklaws, B.A. Serum Containing Ovine IgG2 Antibody Specific for Maedi Visna Virus Envelope Glycoprotein Mediates Antibody Dependent Cellular Cytotoxicity. Vet. Immunol. Immunopathol. 2006, 113, 357–366. [Google Scholar] [CrossRef]
- Gutiérrez, M.; Soriano, V.; Bravo, R.; Vallejo, A.; Gonzalez-Lahoz, J. Seroreversion in Patients with End-Stage HIV Infection. Vox Sang. 1994, 67, 238–239. [Google Scholar] [CrossRef]
- Hare, C.B.; Pappalardo, B.L.; Busch, M.P.; Karlsson, A.C.; Phelps, B.H.; Alexander, S.S.; Bentsen, C.; Ramstead, C.A.; Nixon, D.F.; Levy, J.A.; et al. Seroreversion in Subjects Receiving Antiretroviral Therapy during Acute/Early HIV Infection. Clin. Infect. Dis. 2006, 42, 700–708. [Google Scholar] [CrossRef]
- Kassutto, S.; Johnston, M.N.; Rosenberg, E.S. Incomplete HIV Type 1 Antibody Evolution and Seroreversion in Acutely Infected Individuals Treated with Early Antiretroviral Therapy. Clin. Infect. Dis. 2005, 40, 868–873. [Google Scholar] [CrossRef]
- Cutlip, R.C.; Lehmkuhl, H.D.; Schmerr, M.J.F.; Brogden, K.A. Ovine Progressive Pneumonia (Maedi-Visna) in Sheep. Vet. Microbiol. 1988, 17, 237–250. [Google Scholar] [CrossRef]






| Sampling Occasion | Prevalence |
|---|---|
| First (pre-mating) | 57.5% (234/407) |
| Second (pre-lambing) | 70.0% (285/407) |
| Third (pre-mating) | 71.7% (292/407) |
| Fourth (pre-lambing) | 75.4% (307/407) |
| Fifth (pre-mating) | 66.0% (186/282) |
| Serological Pattern | Arthritis | Respiratory Disease | Mastitis |
|---|---|---|---|
| Constantly seronegative | 14.5% (9/62) | 0.0% (0/62) | 1.6% (1/62) |
| Constantly seropositive | 21.8% (41/188) | 3.7% (7/188) | 3.7% (7/188) |
| Seroconverted | 15.9% (13/82) | 3.7% (3/82) | 4.9% (4/82) |
| Seroreverted | 45.7% (16/35) | 5.7% (2/35) | 0.0% (0/35) |
| Intermittent presence of antibodies | 45.0% (18/40) | 5.0% (2/40) | 2.5% (1/40) |
| Dependent Variable | Risk Factor | Categories | β | Relative Risk | CI95% | p |
|---|---|---|---|---|---|---|
| Constantly seropositive | Age | - | 0.473 | 1.60 | 1.35–1.91 | <0.001 |
| Breed * | Chios | 0.236 | 1.27 | 0.52–3.10 | ns | |
| Constantly seronegative | Age | - | −0.272 | 0.76 | 0.60–0.97 | 0.026 |
| Breed | Chios | −0.253 | 0.78 | 0.28–2.19 | ns | |
| Seroconverted | Age | - | −0.252 | 0.78 | 0.63–0.97 | 0.022 |
| Breed | Chios | −0.372 | 0.69 | 0.30–1.57 | ns | |
| Seroreverted | Age | - | −0.173 | 0.84 | 0.64–1.11 | ns |
| Breed | Chios | 0.469 | 1.60 | 0.55–4.63 | ns | |
| Intermittent presence of antibodies | Age | - | −0.279 | 0.76 | 0.58–0.99 | 0.042 |
| Breed | Chios | 1.510 | 4.53 | 1.61–12.76 | 0.004 |
| Dependent Variable | Risk Factor | Categories | β | Relative Risk | CI95% | p |
|---|---|---|---|---|---|---|
| Seropositivity during the study | Age | - | 0.579 | 1.78 | 1.41–2.25 | <0.001 |
| Breed * | Chios | −0.964 | 0.38 | 0.20–0.74 | 0.004 | |
| BCS | - | 0.142 | 1.15 | 0.46–2.92 | ns | |
| Year of the study * | 1 2 | 0.560 1.032 | 1.75 2.81 | 0.81–3.77 1.64–4.80 | ns <0.001 | |
| Production stage * | Pre-mating | −0.552 | 0.58 | 0.43–0.78 | <0.001 | |
| Seropositivity in animals with an intermittent presence of antibodies | Age | - | −0.134 | 0.87 | 0.70–1.09 | ns |
| Breed | Chios | −0.101 | 0.90 | 0.40–2.02 | ns | |
| BCS | - | −0.630 | 0.53 | 0.10–2.88 | ns | |
| Year of the study | 1 2 | 1.383 1.701 | 3.99 5.48 | 1.19–13.33 1.35–22.24 | 0.025 0.018 | |
| Production stage | Pre-mating | −1.011 | 0.36 | 0.20–0.68 | 0.001 |
| Dependent Variable | Risk Factor | Categories | Β | Relative Risk | CI95% | p |
|---|---|---|---|---|---|---|
| Seroconversion incident | Age | - | −0.135 | 0.87 | 0.74–1.03 | ns |
| Breed * | Chios | −0.296 | 0.74 | 0.49–1.14 | ns | |
| BCS | - | 0.299 | 1.35 | 0.48–3.78 | ns | |
| Year of the study * | 1 2 | 0.260 0.082 | 1.30 1.09 | 0.47–3.61 0.36–3.3 | ns ns | |
| Production stage * | Pre-mating | −1.162 | 0.31 | 0.18–0.54 | <0.001 | |
| Seroreversion incident | Age | - | −0.077 | 0.93 | 0.68–1.26 | ns |
| Breed | Chios | 0.730 | 2.08 | 0.82–5.26 | ns | |
| BCS | - | −0.711 | 0.49 | 0.03–7.12 | ns | |
| Year of the study | 1 2 | −3.569 −2.941 | 0.03 0.05 | 0.01–0.13 0.01–0.26 | <0.001 <0.001 | |
| Production stage | Pre-mating | −0.937 | 0.39 | 0.12–1.33 | ns |
Disclaimer/Publisher’s Note: The statements, opinions and data contained in all publications are solely those of the individual author(s) and contributor(s) and not of MDPI and/or the editor(s). MDPI and/or the editor(s) disclaim responsibility for any injury to people or property resulting from any ideas, methods, instructions or products referred to in the content. |
© 2023 by the authors. Licensee MDPI, Basel, Switzerland. This article is an open access article distributed under the terms and conditions of the Creative Commons Attribution (CC BY) license (https://creativecommons.org/licenses/by/4.0/).
Share and Cite
Kalogianni, A.I.; Bouzalas, I.; Bossis, I.; Gelasakis, A.I. A Longitudinal Cohort Study of Risk Factors Associated with Small Ruminant Lentivirus Seropositivity in Intensively Reared Dairy Ewes in Greece. Pathogens 2023, 12, 1200. https://doi.org/10.3390/pathogens12101200
Kalogianni AI, Bouzalas I, Bossis I, Gelasakis AI. A Longitudinal Cohort Study of Risk Factors Associated with Small Ruminant Lentivirus Seropositivity in Intensively Reared Dairy Ewes in Greece. Pathogens. 2023; 12(10):1200. https://doi.org/10.3390/pathogens12101200
Chicago/Turabian StyleKalogianni, Aphrodite I., Ilias Bouzalas, Ioannis Bossis, and Athanasios I. Gelasakis. 2023. "A Longitudinal Cohort Study of Risk Factors Associated with Small Ruminant Lentivirus Seropositivity in Intensively Reared Dairy Ewes in Greece" Pathogens 12, no. 10: 1200. https://doi.org/10.3390/pathogens12101200
APA StyleKalogianni, A. I., Bouzalas, I., Bossis, I., & Gelasakis, A. I. (2023). A Longitudinal Cohort Study of Risk Factors Associated with Small Ruminant Lentivirus Seropositivity in Intensively Reared Dairy Ewes in Greece. Pathogens, 12(10), 1200. https://doi.org/10.3390/pathogens12101200

