In Vitro Testing of Alternative Synthetic and Natural Antiparasitic Compounds against the Monogenean Sparicotyle chrysophrii
Abstract
1. Introduction
2. Results
2.1. LC Assays and Dose–response Curves of Target Compounds
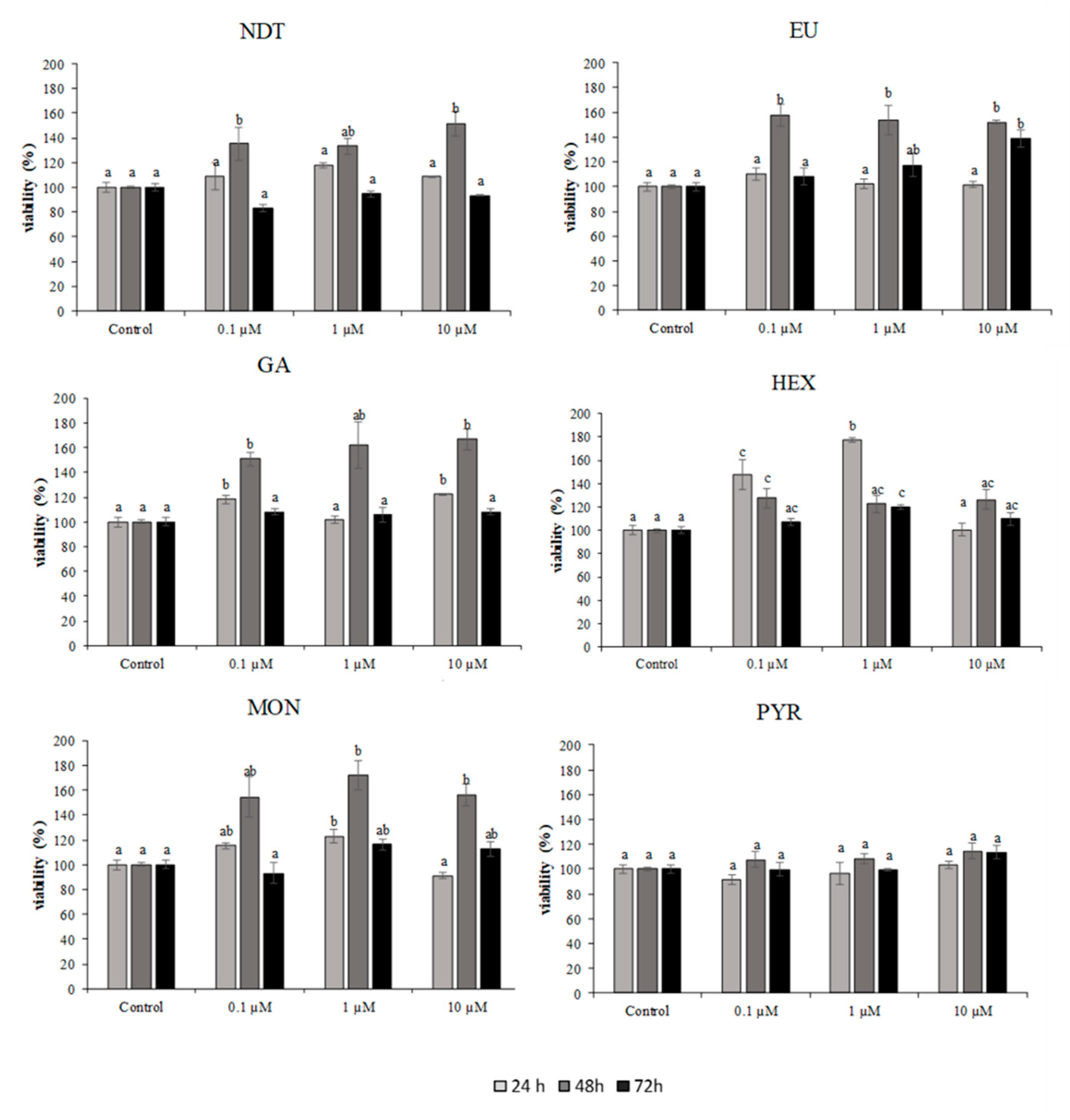
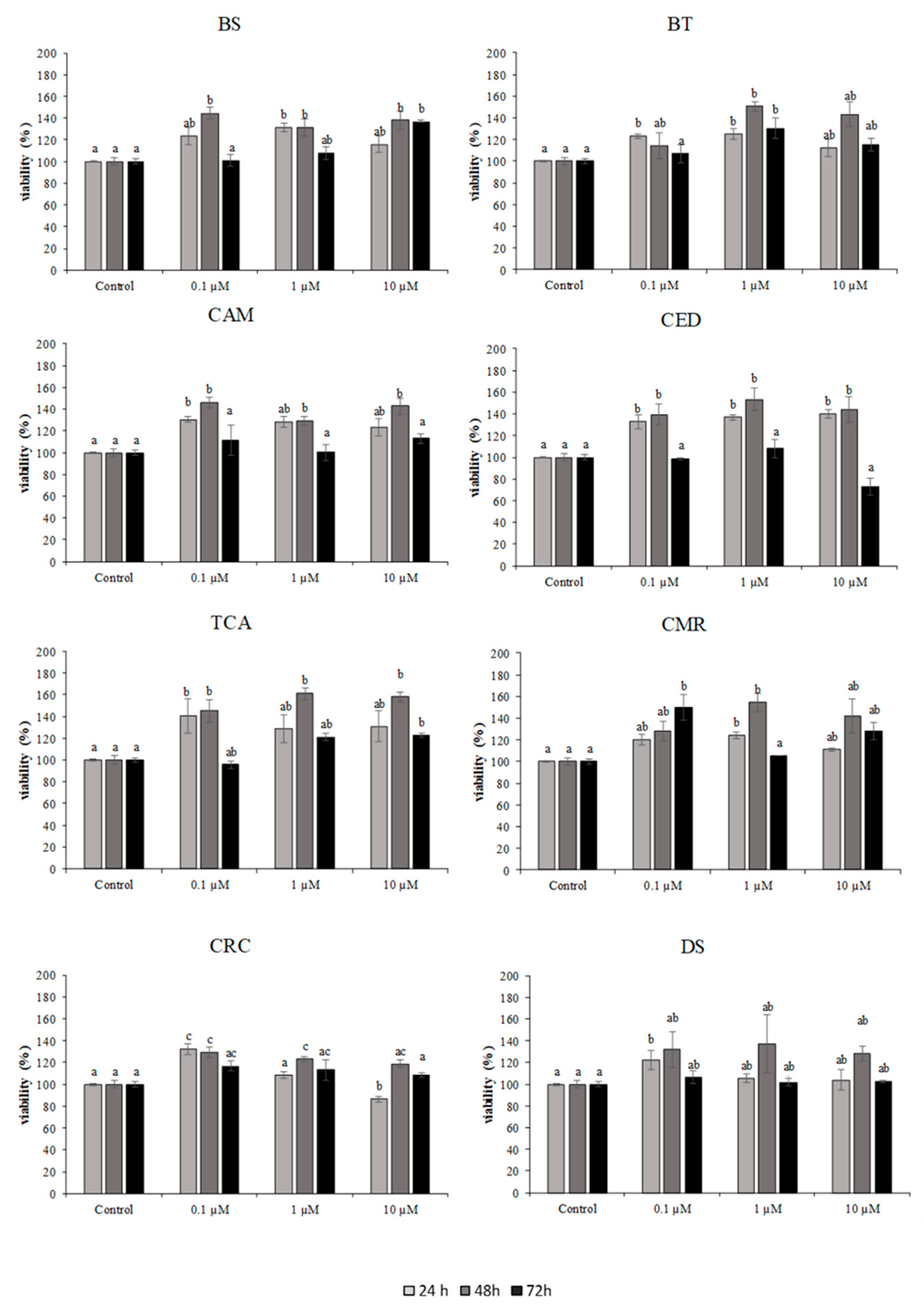
2.2. Viability of SAF-1 Cell Line after Exposure to Target Compounds
2.3. Antimicrobial Assay of Target Compounds
3. Discussion
4. Materials and Methods
4.1. Fish and the Experimental Design
4.2. LC Assays and Dose–response Curves of Target Compounds
4.3. Viability of SAF-1 Cell Line after the Exposure to Target Compound
4.4. Bactericidal Activity of Target Compounds
Author Contributions
Funding
Institutional Review Board Statement
Informed Consent Statement
Data Availability Statement
Acknowledgments
Conflicts of Interest
References
- Sitjà-Bobadilla, A.; de Felipe, M.C.; Alvarez-Pellitero, P. In vivo and in vitro treatments against Sparicotyle chrysophrii (Monogenea: Microcotylidae) parasitizing the gills of gilthead sea bream (Sparus aurata L.). Aquaculture 2006, 261, 856–864. [Google Scholar] [CrossRef]
- Sitjà-Bobadilla, A.; Alvarez-Pellitero, P. Experimental transmission of Sparicotyle chrysophrii (Monogenea: Polyopisthocotylea) to gilthead seabream (Sparus aurata) and histopathology of the infection. Folia Parasitol. 2009, 56, 143–151. [Google Scholar] [CrossRef] [PubMed]
- Padrós, F.; Crespo, S. Proliferative epitheliocystis associated with monogenean infection in juvenile seabream Sparus aurata in the north east of Spain. Bull Eur. Assoc. Fish Pathol. 1995, 15, 42–44. [Google Scholar]
- Cruz e Silva, M.; Freitas, M.; Orge, M. Co-infection by monogenetic trematodes of the genus Microcotyle V. Beneden & Hesse 1863, Lamellodiscus ignoratus Palombi, 1943, the protozoan Trichodina sp. Ehrenberg, 1838 and the presence of epitheliocystis, Vibrio algynoliticus. Bull. Eur. Assoc. Fish Pathol. 1997, 17, 40–42. [Google Scholar]
- Caffara, M.; Quaglio, F.; Fioravanti, M.; Gustinelli, A.; Marcer, F.; Moscato, M.; Caggiano, M. Coinfezione da Polysporoplasma sparis (Myxozoa) e Sparicotyle chrysophrii (Monogenea) in orata (Sparus aurata). In Atti del XII Convegno Nazionale S.I.P.I. Cesenatico (FC); Società Italiana di Patologia Ittica: Legnaro, Italy, 2005; p. 47. [Google Scholar]
- Oidtmann, B.C.; Cook, A.; Mladineo, I.; Beraldo, P.; Palenzuela, O.; Christofilogiannis, P.; Massimo, M.; Sitjà-Bobadilla, A. Risk Factors for the Main Parasitic Infections in Gilthead Sea Bream and European Sea Bass Aquaculture: A View from Expert Consultation.
- European Chemicals Agency ECHA. Formaldehyde and Formaldehyde Releasers—Strategy for Future Work. 2018. Available online: https://echa.europa.eu/documents/10162/13641formaldehyde_review_report_en.pdf/551df4a2-28c4-2fa9-98ec-c8d53e2bf0fc (accessed on 18 March 2021).
- Leal, J.F.; Neves, M.G.P.M.S.; Santos, E.B.H.; Esteves, V.I. Use of formalin in intensive aquaculture: Properties, application and effects on fish and water quality. Rev. Aquacult. 2018, 10, 281–295. [Google Scholar] [CrossRef]
- Rigos, G.; Fountoulaki, E.; Cotou, E.; Dotsika, E.; Doural, N.; Karacostas, I. Tissue distribution and field evaluation of caprylic acid against natural infections of Sparicotyle chrysophrii in cage-reared gilthead sea bream Sparus aurata. Aquaculture 2013, 408–409, 15–19. [Google Scholar] [CrossRef]
- Rigos, G.; Mladineo, I.; Nikoloudaki, C.; Vrbatovic, A.; Kogiannou, D. Application of compound mixture of caprylic acid, iron and mannan oligosaccharide against Sparicotyle chrysophrii (Monogenea: Polyopisthocotylea) in gilthead sea bream Sparus aurata. Folia Parasitol. 2016, 63, 27. [Google Scholar] [CrossRef] [PubMed]
- Firmino, J.P.; Vallejos-Vidal, E.; Sarasquete, C.; Ortiz-Delgado, J.B.; Balasch, J.C.; Tort, L.; Estevez, A.; Reyes-Lopez, F.E.; Gisbert, E. Unveiling the effect of dietary essential oils supplementation in Sparus aurata gills and its efficiency against the infestation by Sparicotyle chrysophrii. Sci. Rep. 2020, 10, 17764. [Google Scholar] [CrossRef] [PubMed]
- Sun, W.; Park, Y.-D.; Sugui, J.A.; Fothergill, A.; Southall, N.; Shinn, P.; McKew, J.C.; Kwon-Chung, K.J.; Zheng, W.; Williamson, P.R. Rapid identification of antifungal compounds against Exserohilum rostratum using high throughput drug repurposing screens. PLoS ONE 2013, 8, e70506. [Google Scholar] [CrossRef]
- Harder, A. Chemotherapeutic approaches to trematodes (except schistosomes) and cestodes: Current level of knowledge and outlook. Parasitol. Res. 2002, 88, 587–590. [Google Scholar] [CrossRef]
- Ayyagari, V.N.; Brard, L. Bithionol inhibits ovarian cancer cell growth in vitro—Studies on mechanism(s) of action. BMC Cancer 2014, 14, 61. [Google Scholar] [CrossRef] [PubMed]
- Buchmann, K.; Felsing, A.; Slotvd, H.C. Effects of metrifonate, sodium chloride and bithionol on an European population of the gill parasitic monogeneans Pseudodactylogyrus spp. and the host Anguilla anguilla. Bull Eur. Assoc. Fish Pathol. 1992, 12, 57–60. [Google Scholar]
- Kim, K.H.; Choi, E.S. Treatment of Microcotyle sebastis (Monogenea) on the gills of cultured rockfish (Sebastes schelegeli) with oral administration of mebendazole and bithionol. Aquaculture 1998, 167, 115–121. [Google Scholar] [CrossRef]
- Tojo, J.L.; Santamarina, M.T. Oral pharmacological treatments for parasitic diseases of rainbow trout Oncorhynchus mykiss. II: Gyrodactylus sp. Dis. Aquat. Org. 1998, 33, 187–193. [Google Scholar] [CrossRef]
- Tojo, J.L.; Santamarina, M.T.; Ubeira, F.M.; Leiro, J.; Sanmartin, M.L. Attempts to control Ichthyobodo necator in rainbow trout (Oncorhynchus mykiss) by bath treatment. Bull. Eur. Assoc. Fish Pathol. 1994, 14, 12–15. [Google Scholar]
- Tojo, J.L.; Santamarina, M.T. Oral pharmacological treatments for parasitic diseases of rainbow trout Oncorhynchus mykiss. III: Ichthyobodo necator. Dis. Aquat. Organ. 1998, 33, 195–199. [Google Scholar] [CrossRef][Green Version]
- Tojo, J.L.; Santamarina, M.T. Oral pharmacological treatments for parasitic diseases of rainbow trout Oncorhynchus mykiss. I: Hexamita salmonis. Dis. Aquat. Org. 1998, 33, 51–56. [Google Scholar] [CrossRef]
- Powell, M.; Green, T.; Plaisted, C. A cell culture assay for the in vitro efficacy testing of amoebocidal compounds against Neoparamoeba pemaquidensis. Bull. Eur. Assoc. Fish Pathol. 2003, 23, 291–296. [Google Scholar]
- Florent, R.L.; Becker, J.A.; Powell, M.D. Evaluation of bithionol as a bath treatment for amoebic gill disease caused by Neoparamoeba spp. Vet. Parasitol. 2007, 144, 197–207. [Google Scholar] [CrossRef]
- Madsen, H.C.K.; Buchmann, K.; Mellergaard, S. Treatment of trichodiniasis in eel (Anguilla anguilla) reared in recirculation systems in Denmark: Alternatives to formaldehyde. Aquaculture 2000, 186, 221–231. [Google Scholar] [CrossRef]
- Musdal, Y.; Hegazy, U.M.; Aksoy, Y.; Mannervik, B. FDA-approved drugs and other compounds tested as inhibitors of human glutathione transferase P1-1. Chem. Biol. Interac. 2013, 205, 53–62. [Google Scholar] [CrossRef]
- Jeong, E.; Lee, M.Y.; Lee, J.H.; Lee, B.H.; Oh, K.-S. A dual readout assay based on fluorescence polarization and time-resolved fluorescence resonance energy transfer to screen for RSK1 inhibitors. Biol. Pharm. Bull 2016, 39, 547–555. [Google Scholar] [CrossRef][Green Version]
- Haynes, M.K.; Garcia, M.; Peters, R.; Waller, A.; Tedesco, P.; Ursu, O.; Bologa, C.G.; Santos, R.G.; Pinilla, C.; Wu, T.H.; et al. Chapter 16: High-throughput flow cytometry screening of multidrug efflux systems. In Bacterial Multidrug Exporters: Methods and Protocols, Methods in Molecular Biology; Springer: Berlin/Heidelberg, Germany, 2018; pp. 239–318. [Google Scholar] [CrossRef]
- Van Wyk, B.-E.; Wink, M. Medicinal Plants of the World: An Illustrated Scientific Guide to Important Medicinal Plants and Their Uses; Timber Press: Portland, OR, USA, 2004. [Google Scholar]
- Wink, M. Medicinal plants: A source of anti-parasitic secondary metabolites. Molecules 2012, 17, 12771–12791. [Google Scholar] [CrossRef] [PubMed]
- Guardiola, F.A.; Bahi, A.; Messina, C.M.; Mahdhi, A.; Santulli, A.; Arena, R.; Bakhrouf, A.; Esteban, M.A. Quality and antioxidant response of gilthead seabream (Sparus aurata L.) to dietary supplements of fenugreek (Trigonella foenum graecum) alone or combined with probiotic strains. Fish Shellfish Immunol. 2017, 63, 277–284. [Google Scholar] [CrossRef] [PubMed]
- Messina, C.M.; Bono, G.; Renda, G.; La Barbera, L.; Santulli, A. Effect of natural antioxidants and modified atmosphere packaging in preventing lipid oxidation and increasing the shelf-life of common dolphinfish (Coryphaena hippurus) fillets. LWT Food Sci. Technol. 2015, 62, 271–277. [Google Scholar] [CrossRef]
- Manuguerra, S.; Caccamo, L.; Mancuso, M.; Arena, R.; Rappazzo, A.C.; Genovese, L.; Santulli, A.; Messina, C.M.; Maricchiolo, G. The antioxidant power of horseradish, Armoracia rusticana, underlies antimicrobial and antiradical effects, exerted in vitro. Nat. Prod. Res. 2020, 34, 1567–1570. [Google Scholar] [CrossRef]
- Samoylenko, V.; Dunbar, D.C.; Gafur, M.D.A.; Khan, S.I.; Ross, S.A.; Mossa, J.S.; El-Feraly, F.S.; Tekwani, B.L.; Bosselaer, J.; Muhammad, I. Antiparasitic, nematicidal and antifouling constituents from Juniperus berries. Phytother. Res. 2008, 22, 1570–1576. [Google Scholar] [CrossRef] [PubMed]
- Kar, N.; Chakraborty, S.; De, A.K.; Ghosh, S.; Bera, T. Development and evaluation of a cedrol-loaded nanostructured lipid carrier system for in vitro and in vivo susceptibilities of wild and drug resistant Leishmania donovani amastigotes. Europ. J. Pharmaceut. Sci. 2017, 104, 196–211. [Google Scholar] [CrossRef] [PubMed]
- Eneh, L.K.; Saijo, H.; Borg-Karlson, A.-K.; Lindh, J.M.; Rajarao, G.K. Cedrol, a malaria mosquito oviposition attractant is produced by fungi isolated from rhizomes of the grass Cyperus rotundus. Malaria J. 2016, 15, 478. [Google Scholar] [CrossRef] [PubMed]
- Jenner, K.J.; Kreutzer, G.; Racine, P. Persistency assessment and aerobic biodegradation of selected cyclic sesquiterpenes present in essential oils. Environ. Toxicol. Chem. 2011, 30, 1096–1108. [Google Scholar] [CrossRef]
- Su, Y.-C.; Hsu, K.-P.; Wang, E.I.-C.; Ho, C.-L. Composition, anticancer, and antimicrobial activities in vitro of the heartwood essential oil of Cunninghamia lanceolata var konishii from Taiwan. Nat. Prod. Commun. 2012, 7, 1245–1247. [Google Scholar] [CrossRef]
- Behera, T.; Swain, P.; Sahoo, S.K.; Mohapatra, D.; Das, B.K. Immunostimulatory effects of curcumin in fish, Labeo rohita (H.). Ind J. Nat. Prod. Resou. 2011, 2, 184–188. [Google Scholar]
- Manju, M.; Akbarsha, M.A.; Oommen, O.V. In vivo protective effect of dietary curcumin in fish Anabas testudineus (Bloch). Fish Physiol. Biochem. 2012, 38, 309–318. [Google Scholar] [CrossRef] [PubMed]
- Cheraghipour, K.; Marzban, A.; Ezatpour, B.; Khanizadeh, S.; Koshki, J. Antiparasitic properties of curcumin: A review. AIMS Agricult. Food 2018, 4, 561–578. [Google Scholar] [CrossRef]
- Liu, Y.-M.; Zhang, Q.-Z.; Xu, D.-H.; Fu, Y.-W.; Lin, D.-J.; Zhou, S.-Y.; Li, J.-P. Antiparasitic efficacy of curcumin from Curcuma longa against Ichthyophthirius multifiliis in grass carp. Vet. Parasitol. 2017, 236, 128–136. [Google Scholar] [CrossRef]
- Mallo, N.; Defelipe, A.-P.; Folgueira, I.; Sueiro, R.A.; Lamas, J.; Leiro, J.M. Combined antiparasitic and anti-inflammatory effects of the natural polyphenol curcumin on turbot scuticociliatosis. J. Fish Dis. 2016, 40, 205–217. [Google Scholar] [CrossRef]
- Taheri Mirghaed, A.; Hoseini, S.M.; Ghelichpour, M. Effects of dietary 1,8-cineole supplementation on physiological, immunological and antioxidant responses to crowding stress in rainbow trout (Oncorhynchus mykiss). Fish Shellfish. Immunol. 2018, 81, 182–188. [Google Scholar] [CrossRef]
- Fazelan, Z.; Hoseini, S.M.; Yousefi, M.; Khalili, M.; Hoseinifar, S.H.; Van Doan, H. Effects of dietary eucalyptol administration on antioxidant and inflammatory genes in common carp (Cyprinus carpio) exposed to ambient copper. Aquaculture 2020, 520, 734988. [Google Scholar] [CrossRef]
- Ruffinengo, S.; Maggi, M.; Faverin, C.; García de la Rosa, S.B.; Bailac, P.; Principal y Martin Eguaras, J. Essential oils toxicity related to Varroa destructor and Apis mellifera under laboratory conditions. Zootecnia. Trop. 2007, 25, 63–69. [Google Scholar]
- Katiki, L.; Evangelista, A.; Canova, E.; Piza, A.; Fornazari, B.; Araujo, R.; Louvandini, H.; Amarante, A.; Costa, R.; Bueno, M.; et al. Anthelmintic activity of anethole, carvone, carvacrol, thymol, linalool, limonene, eucalyptol, vanillin, cinnamaldehyde and eugenol in in vitro tests. Planta Med. 2014, 80, P1L14. [Google Scholar] [CrossRef]
- Salifou, S.; Houngnimassoun, H.M.A.; Houngbedji Kinhou, Y.; Dado, C.A.; Attindehou, S.; Salifou, S. Insecticidal effect of Hyptis suaveolens chemotype 1,8- cineole on lice, poultry parasites. J. Med. Plant Res. 2020, in press. [Google Scholar]
- Ekanem, A.P.; Brisibe, E.A. Effects of ethanol extract of Artemisia annua L. against monogenean parasites of Heterobranchus longifilis. Parasitol. Res. 2010, 106, 135–1139. [Google Scholar] [CrossRef]
- Martins, M.L.; Moraes, F.R.; Miyazaki, D.M.Y.; Brum, C.D.; Onaka, E.M.; Fenerick, J., Jr.; Bozzo, F.R. Alternative treatment for Anacanthorus penilabiatus (Monogenea: Dactylogyridae) infection in cultivated pacu Piaractus mesopotamicus (Osteichthyes: Characidae) in Brazil and their haematological effects. Parasite 2002, 9, 175–180. [Google Scholar] [CrossRef]
- Yildiz, H.Y.; Van, Q.P.; Parisi, G.; Sao, M.D. Anti-parasitic activity of garlic (Allium sativum) and onion (Allium cepa) juice against crustacean parasite, Lernantropus kroyeri, found on European sea bass (Dicentrarchus labrax). Ital. J. Animal. Sci. 2019, 18, 833–837. [Google Scholar] [CrossRef]
- Hyun Kim, J.; Fridman, S.; Borochov-Neori, H.; Sinai, T.; Zilberg, D. Evaluating the use of garlic (Allium sativum) for the remedy of Cryptocaryon irritans in guppies (Poecilia reticulata). Aquac. Res. 2019, 50, 431–438. [Google Scholar] [CrossRef]
- Buchmann, K.; Jensen, P.B.; Kruse, K.D. Effects of sodium percarbonate and garlic extract on Ichthyophthirius multifiliis theronts and tomocysts: In vitro experiments. N. Am. J. Aquac. 2003, 65, 21–24. [Google Scholar] [CrossRef]
- Trasviña-Moreno, A.G.; Ascencio, F.; Angulo, C.; Angulo, C.; Hutson, K.S.; Avilés-Quevedo, A.; Inohuye-Rivera, R.B.; Pérez-Urbiola, J.C. Plant extracts as a natural treatment against the fish ectoparasite Neobenedenia sp. (Monogenea: Capsalidae). J. Helminthol. 2019, 3, 57–65. [Google Scholar] [CrossRef]
- Villar-Torres, M.; Raga, J.A.; Ahuir-Baraja, A.E.; Montero, F.E.; Repullés-Albeld, A. Preliminary study on the effect of in vitro vegetal treatments against the monogenean Sparicotyle chrysophrii parasite of Sparus aurata. In Proceedings of the Congress Aquaculture Europe 2014 Donostia, San Sebastián, Spain, 15–17 October 2014. [Google Scholar]
- Xu, H.; Lybrand, D.; Bennewitz, S.; Tissier, A.; Last, R.L.; Pichersky, E. Production of trans-chrysanthemic acid, the monoterpene acid moiety of natural pyrethrin insecticides, in tomato fruit. Metab. Eng. 2018, 47, 271–278. [Google Scholar] [CrossRef]
- Rabiu, H.; Subhasish, M.; Parag, G. Investigation of in vitro anthelmintic activity of Cinnamomum camphor leaves. Int. J. Drug Dev. Res. 2011, 3, 295–300. [Google Scholar]
- Ormad-García, A. Transmission and Maintenance of Sparicotyle chrysophrii Infection in Gilthead Sea Bream (Sparus aurata) Using a Recirculating Aquatic System. Master’s Thesis, University of Valencia (Spain), Valencia, Spain, 2018; p. 34. [Google Scholar]
- Ritz, C.; Baty, F.; Streibig, J.C.; Gerhard, D. Dose-response analysis using R. PLoS ONE 2015, 10, e0146021. [Google Scholar] [CrossRef]
- Hothorn, T.; Bretz, F.; Westfall, P. Simultaneous inference in general parametric models. Biometric J. 2008, 50, 346–363. [Google Scholar] [CrossRef]
- Wickham, H. ggplot2: Elegant Graphics for Data Analysis, 2nd ed.; Springer: New York, NY, USA, 2016. [Google Scholar]
- Abbes, M.; Baati, H.; Guermazi, S.; Messina, C.; Santulli, A.; Gharsallah, N.; Ammar, E. Biological properties of carotenoids extracted from Halobacterium halobium isolated from a Tunisian solar saltern. BMC Complement Altern. Med. 2013, 13, 255. [Google Scholar] [CrossRef] [PubMed]
- Messina, C.M.; Bono, G.; Arena, R.; Randazzo, M.; Manuguerra, S.; Santulli, A. Polyphenols from halophytes and modified atmosphere packaging improve sensorial and biochemical markers of quality of common dolphinfish (Coryphaena hippurus) fillets. Food Sci. Nutr. 2016, 4, 723–732. [Google Scholar] [CrossRef] [PubMed]
- Mosmann, T. Rapid colorimetric assay for cellular growth and survival: Application to proliferation and cytotoxicity assays. J. Immunol. Methods 1983, 65, 55–63. [Google Scholar] [CrossRef]
- Berridge, M.V.; Tan, A.S. Characterization of the cellular reduction of 3-(4,5-dimethylthiazol-2-yl)-2,5-diphenyltetrazolium bromide (MTT): Subcellular localization, substrate dependence, and involvement of mitochondrial electron transport in MTT reduction. Arch. Biochem. Biophys. 1993, 303, 474–482. [Google Scholar] [CrossRef]
- Denizot, F.; Lang, R. Rapid colorimetric assay for cell growth and survival: Modifications to the tetrazolium dye procedure giving improved sensitivity and reliability. J. Immunol. Methods 1986, 89, 271–277. [Google Scholar] [CrossRef]
- Stevens, M.G.; Kehrli, M.E.; Canning, P.C. A colorimetric assay for quantitating bovine neutrophil bactericidal activity. Vet Immunol. Immunopathol. 1991, 28, 45–56. [Google Scholar] [CrossRef]



| Compound | Dose–Response Model Parameters | Toxicity Levels for Adult S. chrysophrii (mM) | |||
|---|---|---|---|---|---|
| Weibull Type 2, c = 0, d = 1 | |||||
| b (SE) | e (SE) | LC20 (95% CI) | LC50 (95% CI) | LC80 (95% CI) | |
| Bithionate sodium | 1.93 (0.36) | 0.01 (0.001) | 0.003 (0.002–0.005) | 0.01 (0.005–0.01) | 0.01 (0.01–0.01) |
| 1R-Camphor | 4.54 (0.91) | 0.99 (0.05) | 0.71 (0.53–0.89) | 0.91 (0.78–1.05) | 1.1 (0.94–1.26) |
| Cedrol | 3.98 (0.66) | 0.12 (0.01) | 0.09 (0.06–0.11) | 0.11 (0.1–0.13) | 0.14 (0.12–0.16) |
| (+)-trans-Chrysanthemic acid | 3.12 (0.69) | 0.94 (0.07) | 0.58 (0.43–0.74) | 0.84 (0.69–0.99) | 1.1 (0.79–1.41) |
| Curcumin | 2.14 (0.44) | 0.29 (0.03) | 0.14 (0.06–0.23) | 0.24 (0.16–0.32) | 0.36 (0.26–0.45) |
| Eucalyptol | 3.99 (0.7) | 0.74 (0.03) | 0.5 (0.38–0.63) | 0.67 (0.58–0.76) | 0.83 (0.71–0.94) |
| Garlicin 80% | 2.79 (0.49) | 0.68 (0.04) | 0.4 (0.27–0.53) | 0.6 (0.49–0.7) | 0.81 (0.66–0.95) |
| Co | Vibrio Harvey | Vibrio anguillarum | ||||
|---|---|---|---|---|---|---|
| 0.1 µM | 1 µM | 10 µM | 0.1 µM | 1 µM | 10 µM | |
| BTS | −8.8 ± 1.8 | 3.5 ± 11.6 | 40.0 ± 0.7 * | 4.9 ± 11.8 | 49.2 ± 11.6 | 96.4 ± 1.7 * |
| BTN | −21.6 ± 6.0 | −0.088 ± 16.3 | 13.1 ± 5.1 | −10.8 ± 19.9 | 19.6 ± 3.7 * | 30.5 ± 2.0* |
| CAM | −23.6 ± 2.6 | 7.7 ± 10.7 | 9.3 ± 7.4 | −38.8 ± 22.0 | −27.8 ± 19.0 | −17.4 ± 9.3 |
| CED | −44.9 ± 7.7 | −23.8 ± 6.9 | −2.4 ± 26.9 | −6.9 ± 3.0 | 24.1 ± 8.0 * | 30.8 ± 6.4 * |
| TCA | −47.7 ± 5.9 | −25.4 ± 14.6 | 13.2 ± 6.5 | −1.4 ± 13.0 | 8.15 ± 16.3 | 32.0 ± 9.0 * |
| CMR | −33.4 ± 3.9 | −21.2 ± 13.3 | −1.9 ± 7.6 | 1.5 ± 8.38 | 13.2 ± 13.4 | 17.3 ± 5.0 * |
| CRC | 2.1 ± 15.0 | 7.6 ± 2.1 | 10.4 ± 4.5 | 9.5 ± 7.5 | 24.5 ± 14.6 | 34.9 ± 1.2 * |
| DAS | −36.6 ± 6.8 | −36.4 ± 7.9 | −1.6 ± 0.7 | −11.3 ± 24.8 | −5.8 ± 11.7 | 46.8 ± 4.0 * |
| NDT | −0.9 ± 8.7 | 4.5 ± 16.7 | 13.7 ± 0.6 * | −61.9 ± 29.0 | −28.5 ± 24.1 | 9.1 ± 8.5 |
| EUC | −2.7 ± 8.7 | −1.9 ± 12.3 | 50.3 ± 6.8 * | −31.7 ± 155.9 | −34.1 ± 10.5 | 23.6 ± 3.1 |
| GAR | 20.9 ± 19.9 | 28.7 ± 6.2 * | 42.0 ± 1.3 * | −109.7 ± 84.2 | −46.0 ± 17.2 | −52.1 ± 31.4 |
| 4HR | 19.6 ± 31.5 | 34.7 ± 10.1 | 67.5 ± 14.1 * | −121.1 ± 10.9 | −76.1 ± 33.9 | −55.5 ± 31.6 |
| MCT | −4.9 ± 24.9 | 18.2 ± 10.9 | 40.1 ± 4.1 * | −73.0 ± 56.1 | −46.9 ± 32.0 | 17.9 ± 0.6 |
| PYR | −4.4 ± 21.0 | 5.6 ± 10.2 | 30.5 ± 5.2 * | −79.4 ± 14.2 | −40.5 ± 11.7 | −18.1 ± 4.2 |
| Compound | Mr | Solubility (mg) in 50 mL DMSO | Solubility (µL) in 50 mL DMSO | Origin | Scaled-Down Range (mM) |
|---|---|---|---|---|---|
| Bithionate sodium | 356.05 | 178.03 | Synthetic | 0.001–0.01 | |
| Bitoscanate | 192.26 | 96.13 | Synthetic | 1–5 | |
| Camphor (1R) | 152.24 | 76.12 | Natural | 0.3–2 | |
| Cedrol | 222.37 | 111.19 | 110.08 | Natural | 0.05–1 |
| (+)-trans-Chrysanthemic acid | 168.23 | 84.12 | 76.47 | Natural | 0.1–1 |
| Coumarin | 146.14 | 73.07 | Synthetic | 0.2–2.5 | |
| Curcumin | 368.38 | 184.19 | Natural | 0.1–1 | |
| Diallyl sulphide | 114.21 | n/a | 64.38 | Synthetic | 0.5–5 |
| N,N-diethyl-M-toluamide | 191.27 | 95.64 | 95.83 | Synthetic | 0.1–1 |
| Eucalyptol | 154.25 | n/a | 83.61 | Natural | 1–10 |
| Garlicin 80% | 146.27 | n/a | 90.7 | Natural | 0.1–1 |
| 4-Hexylresorcinol | 194.27 | 97.14 | Synthetic | 0.05–1 | |
| Monocrotaline | 325.36 | 162.68 | Synthetic | 0.1–1 | |
| Pyrethrins 50% | 350 | 350 | 406.98 | Natural | 1–10 |
Publisher’s Note: MDPI stays neutral with regard to jurisdictional claims in published maps and institutional affiliations. |
© 2021 by the authors. Licensee MDPI, Basel, Switzerland. This article is an open access article distributed under the terms and conditions of the Creative Commons Attribution (CC BY) license (https://creativecommons.org/licenses/by/4.0/).
Share and Cite
Mladineo, I.; Trumbić, Ž.; Ormad-García, A.; Palenzuela, O.; Sitjà-Bobadilla, A.; Manuguerra, S.; Ruiz, C.E.; Messina, C.M. In Vitro Testing of Alternative Synthetic and Natural Antiparasitic Compounds against the Monogenean Sparicotyle chrysophrii. Pathogens 2021, 10, 980. https://doi.org/10.3390/pathogens10080980
Mladineo I, Trumbić Ž, Ormad-García A, Palenzuela O, Sitjà-Bobadilla A, Manuguerra S, Ruiz CE, Messina CM. In Vitro Testing of Alternative Synthetic and Natural Antiparasitic Compounds against the Monogenean Sparicotyle chrysophrii. Pathogens. 2021; 10(8):980. https://doi.org/10.3390/pathogens10080980
Chicago/Turabian StyleMladineo, Ivona, Željka Trumbić, Adrián Ormad-García, Oswaldo Palenzuela, Ariadna Sitjà-Bobadilla, Simona Manuguerra, Cristobal Espinosa Ruiz, and Concetta Maria Messina. 2021. "In Vitro Testing of Alternative Synthetic and Natural Antiparasitic Compounds against the Monogenean Sparicotyle chrysophrii" Pathogens 10, no. 8: 980. https://doi.org/10.3390/pathogens10080980
APA StyleMladineo, I., Trumbić, Ž., Ormad-García, A., Palenzuela, O., Sitjà-Bobadilla, A., Manuguerra, S., Ruiz, C. E., & Messina, C. M. (2021). In Vitro Testing of Alternative Synthetic and Natural Antiparasitic Compounds against the Monogenean Sparicotyle chrysophrii. Pathogens, 10(8), 980. https://doi.org/10.3390/pathogens10080980

