Kinetics of Eosinophils during Development of the Cellular Infiltrate Surrounding the Nurse Cell of Trichinella spiralis in Experimentally Infected Mice
Abstract
1. Introduction
2. Results
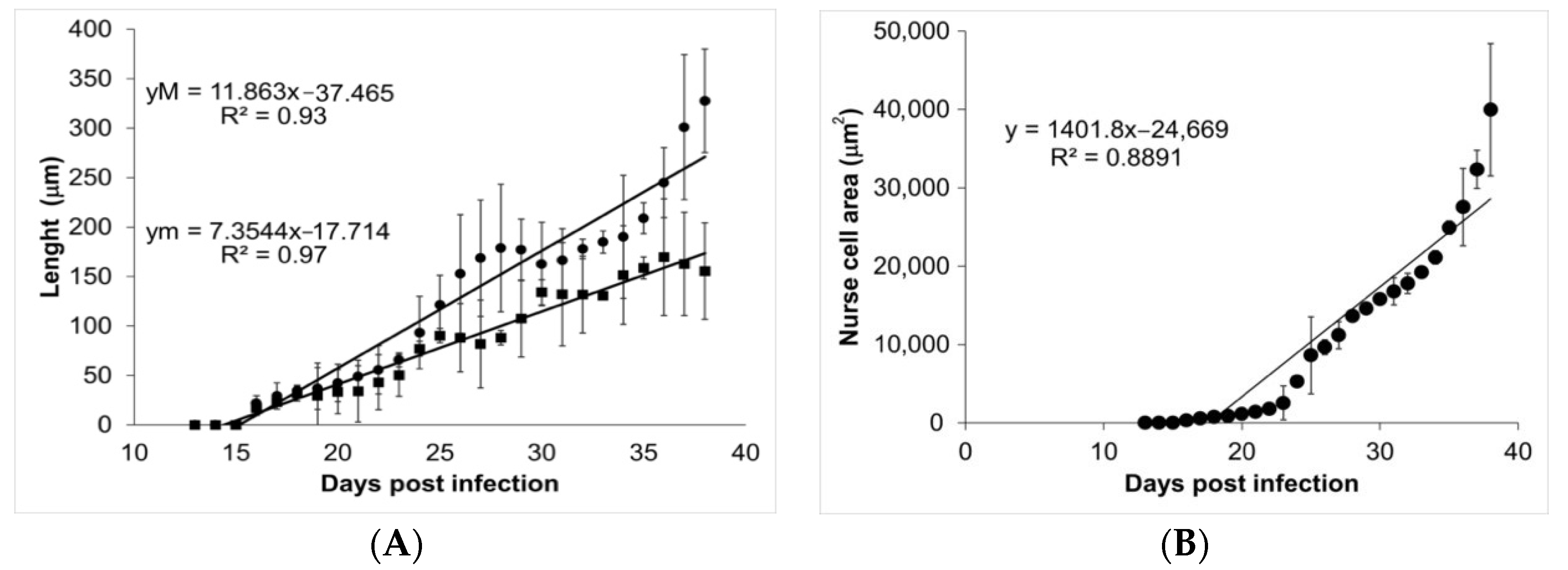
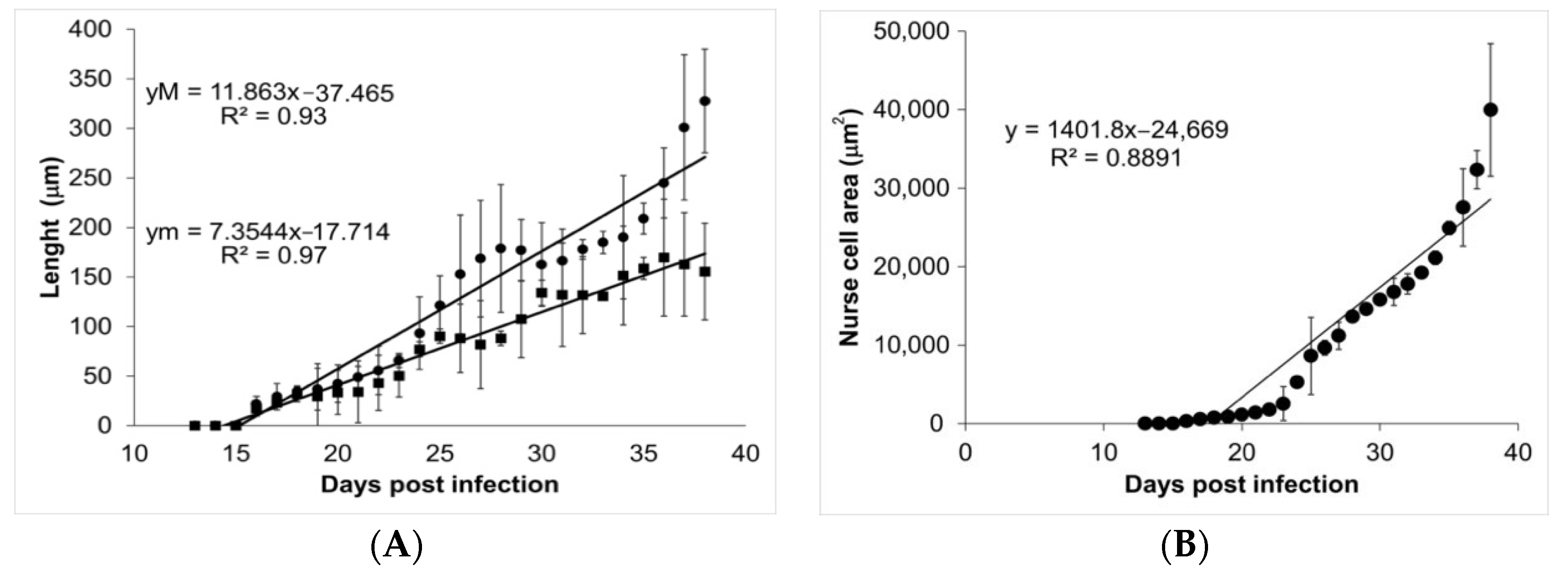
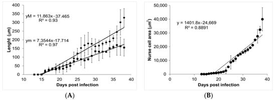
2.1. Larva Development at Muscular Phase
2.2. Nurse Cell Development
2.3. Eosinophil Kinetics
3. Discussion
4. Material and Methods
4.1. Animals and Infection
4.2. Giemsa Staining
4.3. Histological Sections and Staining Methods
4.4. Image Analysis
4.5. Statistical Analysis
Author Contributions
Funding
Institutional Review Board Statement
Informed Consent Statement
Data Availability Statement
Acknowledgments
Conflicts of Interest
References
- Muñoz-Carrillo, J.L.; Maldonado-Tapia, C.; López-Luna, A.; Muñoz-Escobedo, J.J.; Flores-De-La-Torre, J.A.; Moreno-García, A. Current aspects in trichinellosis. In Parasites and Parasitic Diseases; Bastidas-Pacheco, G.A., Ed.; IntechOpen Limited: London, UK, 2019; pp. 175–216. [Google Scholar]
- Despommier, D.D. How does Trichinella spiralis make itself at home? Parasitol. Today 1998, 14, 318–323. [Google Scholar] [CrossRef]
- Patra, G.; Sarkar, S. Nurse cell biology of Trichinella spiralis. Int. J. Adv. Res. Technol. 2014, 3, 133–138. [Google Scholar]
- Wu, Z.; Sofronic-Milosavljevic, L.; Nagano, I.; Takahashi, Y. Trichinella spiralis: Nurse cell formation with emphasis on analogy to muscle cell repair. Parasites Vectors 2008, 1, 27. [Google Scholar] [CrossRef]
- Wu, Z.; Nagano, I.; Takahashi, Y. Trichinella spiralis: What is going on during nurse cell formation? Vet. Parasitol. 2013, 194, 1155–1159. [Google Scholar] [CrossRef] [PubMed]
- Fabre, V.; Beiting, D.P.; Bliss, S.K.; Gebreselassie, N.G.; Gagliardo, L.F.; Lee, N.A.; Lee, J.J.; Appleton, J.A. Eosinophil deficiency compromises parasite survival in chronic nematode infection. J. Immunol. 2009, 182, 1577–1583. [Google Scholar] [CrossRef] [PubMed]
- de-la-Rosa-Arana, J.L.; Campos-Rodríguez, R.; Rivera-Aguilar, V.; Escobar-Gutiérrez, A.; Miliar-García, A.; Herrera-González, N.E.; Jarillo-Luna, R.A. Comparative effects of levamisole, Staphylococcus, and Freund’s adjuvant on rat immunization with excretory and secretory antigens of Trichinella spiralis muscle larvae. Parasitol. Res. 2012, 111, 1599–1605. [Google Scholar] [CrossRef]
- Boonmars, T.; Wu, Z.; Nagano, I.; Nakada, T.; Takahashi, Y. Differences and similarities of nurse cells in cysts of Trichinella spiralis and T. pseudospiralis. J. Helminthol. 2004, 78, 7–16. [Google Scholar] [CrossRef] [PubMed]
- Ramírez-Melgar, C.; Gómez-Priego, A.; de-la-Rosa, J.L. Application of Giemsa stain for easy detection of Trichinella spiralis muscle larvae. Korean J. Parasitol. 2007, 45, 65–68. [Google Scholar] [CrossRef] [PubMed][Green Version]
- Ali, N.M.; Thabet, H.S. Contrast staining of Trichinella spiralis larvae in fresh, frozen and formalin preserved muscles. J. Egypt. Soc. Parasitol. 2007, 37, 1031–1038. [Google Scholar]
- Beiting, D.P.; Gagliardo, L.F.; Hesse, M.; Bliss, S.K.; Meskill, D.; Appleton, J.A. Coordinated control of immunity to muscle stage Trichinella spiralis by IL-10, regulatory T cells, and TGF-beta. J. Immunol. 2007, 15, 1039–1047. [Google Scholar] [CrossRef] [PubMed]
- Edreschi, F.P.; Mery, D.; Mendoza, F.; Aguilera, J.M. Classification of potato chips using pattern recognition. J. Food Sci. 2006, 69, e264–e270. [Google Scholar] [CrossRef]
- Du, C.J.; Sun, D.W. Recent developments in the applications of image processing techniques for food quality evaluation. Trends Food Sci. Technol. 2004, 15, 230–249. [Google Scholar] [CrossRef]
- Du, C.J.; Sun, D.W. Learning techniques used in computer vision for food quality evaluation: A review. J. Food Eng. 2006, 72, 39–55. [Google Scholar] [CrossRef]
- Fabre, M.V.; Beiting, D.P.; Bliss, S.K.; Appleton, J.A. Immunity to Trichinella spiralis muscle infection. Vet. Parasitol. 2009, 159, 245–248. [Google Scholar] [CrossRef] [PubMed]
- Gebreselassie, N.G.; Moorhead, A.R.; Fabre, V.; Gagliardo, L.F.; Lee, N.A.; Lee, J.J.; Appleton, J.A. Eosinophils preserve parasitic nematode larvae by regulating local immunity. J. Immunol. 2012, 188, 417–425. [Google Scholar] [CrossRef] [PubMed]
- Huang, L.; Beiting, D.P.; Gebreselassie, N.G.; Gagliardo, L.F.; Ruyechan, M.C.; Lee, N.A.; Lee, J.J.; Appleton, J.A. Eosinophils and IL-4 support nematode growth coincident with an innate response to tissue Injury. PLoS Pathog. 2015, 11, e1005347. [Google Scholar] [CrossRef] [PubMed]
- Mitre, E.; Klion, A.D. Eosinophils and helminth infection: Protective or pathogenic? Semin. Immunopathol. 2021, 43, 363–381. [Google Scholar] [CrossRef]
- Despommier, D.D. Biology. In Trichinella and Trichinosis; Campbell, W.C., Ed.; Plenum Press: New York, NY, USA, 1983; pp. 75–152. [Google Scholar]
- Gottstein, B.; Pozio, E.; Nöckler, K. Epidemiology, diagnosis, treatment, and control of trichinellosis. Clin. Microbiol. Rev. 2019, 22, 127–145. [Google Scholar] [CrossRef]
- Pozio, E. Trichinella and other foodborne nematodes. In Food Microbiology and Food Safety; Ortega, Y.R., Sterling, C.R., Eds.; Springer: Cham, Switzerland, 2018; pp. 175–216. [Google Scholar]
- Pérez, C.; Luengo, J. Quiste de Trichinella spiralis con 9 larvas en su interior. Bol. Chil. Parasitol. 1969, 24, 163. [Google Scholar]
- Sacchi, L.; Corona, S.; Gajadhar, A.A.; Pozio, E. Ultrastructural characteristics of nurse cell-larva complex of four species of Trichinella in several hosts. Parasite 2001, 8, 54–58. [Google Scholar] [CrossRef] [PubMed][Green Version]
- Benítez-Bribiesca, L.; Pérez-Astudillo, L.; Freyre-Horta, R. Histochemical stain for major basic protein in eosinophil granulocytes and spermatozoa with alkaline erithrosin B. Arch. Investig. Med. 1987, 18, 213–218. [Google Scholar]
- Huang, L.; Gebreselassie, N.G.; Gagliardo, L.F.; Ruyechan, M.C.; Lee, N.A.; Lee, J.J.; Appleton, J.A. Eosinophil-derived IL-10 supports chronic nematode infection. J. Immunol. 2014, 193, 4178–4187. [Google Scholar] [CrossRef] [PubMed]
- Heredia, J.E.; Mukundan, L.; Chen, F.M.; Mueller, A.A.; Deo, R.C.; Locksley, R.M.; Rando, T.A.; Chawla, A. Type 2 innate signals stimulate fibro/adipogenic progenitors to facilitate muscle regeneration. Cell 2013, 153, 376–388. [Google Scholar] [CrossRef] [PubMed]
- Bruschi, F.; Chiumiento, L. Trichinella inflammatory myopathy: Host or parasite strategy? Parasites Vectors 2011, 4, 42. [Google Scholar] [CrossRef] [PubMed]
- Solís-Hernández, D.; Saucedo-Gutiérrez, K.L.; Meza-Lucas, A.; Gómez-de-Anda, F.R.; Medina-Lerena, M.S.; García-Rodea, R.; Corona-Souza, M.T.; Pérez-Ramírez, M.A.; Vega-Sánchez, V.; de-la-Rosa-Arana, J.L. Statistical approach to Trichinella infection in horses handled by rural slaughterhouses across five distinctive socioeconomic regions in Mexico. Rev. Argent. Microbiol. 2020, 52, 288–292. [Google Scholar] [CrossRef] [PubMed]
- Gonzales-Barron, U.; Butler, F. A comparison of seven thresholding techniques with the k-means clustering algorithm for measurement of bread-crumb features by digital image analysis. J. Food Eng. 2006, 74, 268–278. [Google Scholar] [CrossRef]






Publisher’s Note: MDPI stays neutral with regard to jurisdictional claims in published maps and institutional affiliations. |
© 2021 by the authors. Licensee MDPI, Basel, Switzerland. This article is an open access article distributed under the terms and conditions of the Creative Commons Attribution (CC BY) license (https://creativecommons.org/licenses/by/4.0/).
Share and Cite
Vega-Sánchez, V.; Gómez-De-Anda, F.-R.; Calderón-Domínguez, G.; Ramírez-y-Ramírez, M.-C.-d.-S.; Reyes-Rodríguez, N.-E.; Zepeda-Velázquez, A.-P.; Tapia-Romero, R.; de-la-Rosa-Arana, J.-L. Kinetics of Eosinophils during Development of the Cellular Infiltrate Surrounding the Nurse Cell of Trichinella spiralis in Experimentally Infected Mice. Pathogens 2021, 10, 1382. https://doi.org/10.3390/pathogens10111382
Vega-Sánchez V, Gómez-De-Anda F-R, Calderón-Domínguez G, Ramírez-y-Ramírez M-C-d-S, Reyes-Rodríguez N-E, Zepeda-Velázquez A-P, Tapia-Romero R, de-la-Rosa-Arana J-L. Kinetics of Eosinophils during Development of the Cellular Infiltrate Surrounding the Nurse Cell of Trichinella spiralis in Experimentally Infected Mice. Pathogens. 2021; 10(11):1382. https://doi.org/10.3390/pathogens10111382
Chicago/Turabian StyleVega-Sánchez, Vicente, Fabián-Ricardo Gómez-De-Anda, Georgina Calderón-Domínguez, Mary-Carmen-del-Sol Ramírez-y-Ramírez, Nydia-E. Reyes-Rodríguez, Andrea-P. Zepeda-Velázquez, Raquel Tapia-Romero, and Jorge-Luis de-la-Rosa-Arana. 2021. "Kinetics of Eosinophils during Development of the Cellular Infiltrate Surrounding the Nurse Cell of Trichinella spiralis in Experimentally Infected Mice" Pathogens 10, no. 11: 1382. https://doi.org/10.3390/pathogens10111382
APA StyleVega-Sánchez, V., Gómez-De-Anda, F.-R., Calderón-Domínguez, G., Ramírez-y-Ramírez, M.-C.-d.-S., Reyes-Rodríguez, N.-E., Zepeda-Velázquez, A.-P., Tapia-Romero, R., & de-la-Rosa-Arana, J.-L. (2021). Kinetics of Eosinophils during Development of the Cellular Infiltrate Surrounding the Nurse Cell of Trichinella spiralis in Experimentally Infected Mice. Pathogens, 10(11), 1382. https://doi.org/10.3390/pathogens10111382

