The Impact of Perceived Ageism on Psychological Distress: Insights into the Role of Subjective Vitality
Abstract
1. Introduction
2. Materials and Methods
2.1. Participants
2.2. Materials
2.2.1. Sociodemographic Questionnaire
2.2.2. Perceived Ageism Questionnaire (PAQ)
2.2.3. Subjective Vitality Scale (SVS)
2.2.4. Depression, Anxiety, and Stress Scales (DASS-21)
2.3. Procedures
2.3.1. Data Collection Procedures
2.3.2. Data Analyses Procedures
3. Results
3.1. Preliminary Analyses
3.2. Perceived Ageism, Subjective Vitality, and Psychological Distress: Differences Between Age Groups
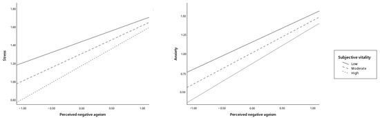
3.3. Relations Between Perceived Ageism, Stress, Anxiety, and Depression: The Moderating Role of Subjective Vitality
4. Discussion
5. Conclusions
Author Contributions
Funding
Institutional Review Board Statement
Informed Consent Statement
Data Availability Statement
Conflicts of Interest
References
- Adams, Sally H., Jason P. Schaub, Jason M. Nagata, M. Jane Park, Claire D. Brindis, and Charles E. Irwin, Jr. 2022. Young adult anxiety or depressive symptoms and mental health service utilization during the COVID-19 pandemic. The Journal of Adolescent Health 70: 985–88. [Google Scholar] [CrossRef] [PubMed]
- Ayalon, Liat, and Clemens Tesch-Römer. 2018. Contemporary Perspectives on Ageism. Berlin: Springer. [Google Scholar] [CrossRef]
- Bergman, Yoav S. 2022. Ageism and psychological distress in older adults: The moderating role of self-esteem and body image. Journal of Applied Gerontology 41: 836–41. [Google Scholar] [CrossRef]
- Bodner, Ehud, Amit Shrira, Yaakov Hoffman, and Yoav S. Bergman. 2021. Day-to-day variability in subjective age and ageist attitudes and their association with depressive symptoms. The Journals of Gerontology. Series B, Psychological Sciences and Social Sciences 76: 836–44. [Google Scholar] [CrossRef]
- Bodner, Ehud, Yoav S. Bergman, Sagit Shiloh-Levin, and Yaakov Hoffman. 2023. The interactive effect of aging anxiety and age awareness on meaning in life and psychological distress: A moderated mediation model. Current Psychology 42: 8255–64. [Google Scholar] [CrossRef]
- Bostic, Terecne J., Doris McGartland Rubio, and Mark Hood. 2000. A validation of the subjective vitality scale using structural equation modeling. Social Indicators Research 52: 313–24. [Google Scholar] [CrossRef]
- Bratt, Christopher, Dominic Abrams, Hannaj J. Swift, Christin-Melanie Vauclair, and Sibila Marques. 2018. Perceived age discrimination across age in Europe: From an ageing society to a society for all ages. Developmental Psychology 54: 167–80. [Google Scholar] [CrossRef]
- Brinkhof, Lotte P., Sanne de Wit, Jaap M. J. Murre, and K. Richard Ridderinkhof. 2024. Mitigating the harmful impact of ageism among older individuals: The buffering role of resilience factors. Geriatrics 9: 1. [Google Scholar] [CrossRef]
- Brinkhof, Lotte P., Sanne de Wit, Jaap M. J. Murre, Harm J. Krugers, and K. Richard Ridderinkhof. 2022. The subjective experience of ageism: The Perceived Ageism Questionnaire (PAQ). International Journal of Environmental Research and Public Health 19: 8792. [Google Scholar] [CrossRef]
- Brito, Almir Diego, and Adriana B. Soares. 2023. Well-being, character strengths, and depression in emerging adults. Frontiers in Psychology 14: 1238105. [Google Scholar] [CrossRef] [PubMed]
- Brown, Kellie E., Jeehoon Kim, Tara Stewart, Erika Fulton, and Anna C. McCarrey. 2021. Positive, but not negative, self-perceptions of aging predict cognitive function among older adults. International Journal of Aging & Human Development 93: 543–61. [Google Scholar] [CrossRef]
- Butler, Robert N. 1969. Age-Ism: Another form of bigotry. The Gerontologist 9: 243–46. [Google Scholar] [CrossRef] [PubMed]
- Butler, Robert N. 1980. Ageism: A foreword. Journal of Social Issues 36: 8–11. [Google Scholar] [CrossRef]
- Chang, E.-Shien, Sneha Kannoth, Samantha Levy, Shi-Yi Wang, John E. Lee, and Becca R. Levy. 2020. Global reach of ageism on older persons’ health: A systematic review. PLoS ONE 15: e0220857. [Google Scholar] [CrossRef] [PubMed]
- Couto, Clara e Paula, Ronja Ostermeier, and Klaus Rothermund. 2022. Age Differences in Age Stereotypes: The Role of Life Domain and Cultural Context. GeroPsych 35: 177–88. [Google Scholar] [CrossRef]
- Couto, Nuno, Raúl Antunes, Diogo Monteiro, João Moutão, Daniel Marinho, and Luis Cid. 2017. Validation of the Subjective Vitality Scale and study of the vitality of elderly people according to their physical activity. Brazilian Journal of Kinanthropometry and Human Performance 19: 261–69. [Google Scholar] [CrossRef]
- Cuddy, Amy J., Michael I. Norton, and Susan Fiske. 2005. This old stereotype: The perveasiveness and persistence of older adults stereotype. Journal of Social Issues 61: 267–85. [Google Scholar] [CrossRef]
- Curran, Emma, Michael Rosato, Finola Ferry, and Gerard Leavey. 2020. Prevalence and factors associated with anxiety and depression in older adults: Gender differences in psychosocial indicators. Journal of Affective Disorders 267: 114–22. [Google Scholar] [CrossRef] [PubMed]
- de la Fuente-Núñez, Vânia, Ella Cohn-Schwartz, Senjooti Roy, and Liat Ayalon. 2021. Scoping review on ageism against younger populations. International Journal of Environmental Research and Public Health 18: 3988. [Google Scholar] [CrossRef]
- Deci, Edward L., and Richard M. Ryan. 2000. The “What” and “Why” of Goal Pursuits: Human Needs and the Self-Determination of Behavior. Psychological Inquiry 11: 227–68. [Google Scholar] [CrossRef]
- Dolberg, Pnina, and Liat Ayalon. 2018. Subjective meanings and identification with middle age. International Journal of Aging & Human Development 87: 52–76. [Google Scholar] [CrossRef]
- Dubreuil, Philippe, Jacques Forest, and François Courcy. 2014. From strengths use to work performance: The role of harmonious passion, subjective vitality, and concentration. The Journal of Positive Psychology 9: 335–49. [Google Scholar] [CrossRef]
- Evandrou, Maria, Jane C. Falkingham, Min Qin, and Athina Vlachantoni. 2017. Elder abuse as a risk factor for psychological distress among older adults in India: A cross-sectional study. BMJ Open 7: e017152. [Google Scholar] [CrossRef] [PubMed]
- Fasel, Nicol, Christin-Melanie Vauclair, Maria Luísa Lima, and Dominic Abrams. 2021. The relative importance of personal beliefs, meta-stereotypes and societal stereotypes of age for the wellbeing of older people. Ageing and Society 41: 2768–91. [Google Scholar] [CrossRef]
- Fini, Ali Sheiki, Javad Kavousian, Abbas Beigy, and Maryam Emami. 2010. Subjective vitality and its anticipating variables on students. Procedia-Social and Behavioral Sciences 5: 150–56. [Google Scholar] [CrossRef]
- Francioli, Stéphane P., and Micahel S. North. 2021. Youngism: The content, causes, and consequences of prejudices toward younger adults. Journal of Experimental Psychology: General 150: 2591–612. [Google Scholar] [CrossRef]
- Giles, Howard, Kim Noels, Hiroshi Ota, Sik Hung Ng, Cindy Gallois, Ellen B. Ryan, Angie Williams, Tae-Seop Lim, Lilnabeth Somera, Hongyin Tao, and et al. 2000. Age Vitality Across Eleven Nations. Journal of Multilingual and Multicultural Development 21: 308–23. [Google Scholar] [CrossRef]
- Haase, Claudia M. 2023. Emotion regulation in couples across adulthood. Annual Review of Developmental Psychology 5: 399–421. [Google Scholar] [CrossRef] [PubMed]
- Hayes, Andrew F. 2013. Introduction to Mediation, Moderation and Conditional Process Analysis. New York: The Guilford Press. [Google Scholar]
- Heidrich, Susan M., and Carol D. Ryff. 1993. The role of social comparisons processes in the psychological adaptation of elderly adults. Journals of Gerontology 48: P127–36. [Google Scholar] [CrossRef] [PubMed]
- Hu, Rita Xiaochen, Mengsha Luo, Anao Zhang, and Lydia W. Li. 2021. Associations of ageism and health: A systematic review of quantitative observational studies. Research on Aging 43: 311–22. [Google Scholar] [CrossRef] [PubMed]
- Iversen, Thomas Nicolaj, Lars Larsen, and Per Erik Solem. 2009. A conceptual analysis of Ageism. Nordic Psychology 61: 4–22. [Google Scholar] [CrossRef]
- Kang, Hyun, and Hansol Kim. 2022. Ageism and psychological well-being among older adults: A systematic review. Gerontology and Geriatric Medicine 8: 23337214221087023. [Google Scholar] [CrossRef]
- Kasser, Virginia Grow, and Richard M. Ryan. 1999. The Relation of Psychological Needs for Autonomy and Relatedness to Vitality, Well-Being, and Mortality in a Nursing Home1. Journal of Applied Social Psychology 29: 935–54. [Google Scholar] [CrossRef]
- Kessler, R. C., G. Andrews, L. J. Colpe, E. Hiripi, D. K. Mroczek, S.-L. T. Normand, and A. M. Zaslavsky. 2002. Short screening scales to monitor population prevalences and trends in non-specific psychological distress. Psychological Medicine 32: 959–76. [Google Scholar] [CrossRef]
- Kim, Hyejin, Bruce A. Thyer, and Jean C. Munn. 2019. The relationship between perceived ageism and depressive symptoms in later life: Understanding the mediating effects of self-perception of aging and purpose in life, using structural equation modeling. Educational Gerontology 45: 105–19. [Google Scholar] [CrossRef]
- Kite, Mary E., Gary D. Stockdale, Bernard E. Whitley, and Blari T. Johnson. 2005. Attitudes toward younger and older adults: An updated meta-analytic review. Journal of Social Issues 61: 241–66. [Google Scholar] [CrossRef]
- Kornadt, Anna E., and Klaus Rothermund. 2011. Contexts of aging: Assessing evaluative age stereotypes in different life domains. The Journals of Gerontology, Series B: Psychological Sciences and Social Sciences 66: 547–56. [Google Scholar] [CrossRef]
- Kornadt, Anna E., Isabelle Albert, Martine Hoffmann, Elke Murdock, and Josepha Nell. 2021. Ageism and older people’s health and well-being during the COVID-19-pandemic: The moderating role of subjective aging. European Journal of Ageing 18: 173–84. [Google Scholar] [CrossRef] [PubMed]
- Lemos, Maria Serra, Teresa Gonçalves, and Cristina Coelho. 2011. Avaliação do Bem-Estar dos Estudantes: Adaptação de uma Escala Vitalidade Subjectiva. Comunicação apresentada na XV Conferência Internacional de Avaliação Psicológica: Formas e Contextos. Lisboa, Portugal [Assessment of students’ well-being: Adaptation of a Subjective Vitality Scale]. Paper presented at the XV International Conference on Psychological Assessment: Forms and Contexts, Lisbon, Portugal, November 13–16. [Google Scholar]
- Levy, Becca. 2009. Stereotype embodiment: A psychosocial approach to aging. Current Directions in Psychological Science 18: 332–36. [Google Scholar] [CrossRef] [PubMed]
- Levy, Becca R., E-Shien Chang, Sarah R. Lowe, Natalia Provolo, and Martin D. Slade. 2022. Impact of media-based negative and positive age stereotypes on older individuals’ mental health. The Journals of Gerontology. Series B, Psychological Sciences and Social Sciences 77: e70–e75. [Google Scholar] [CrossRef] [PubMed]
- Levy, Becca R., Martin D. Slade, Suzanne R. Kunkel, and S. V. Kasl. 2002. Longevity increased by positive self-perceptions of aging. Journal of Personality and Social Psychology 83: 261–70. [Google Scholar] [CrossRef] [PubMed]
- Levy, Sheri R., and Jamie L. Macdonald. 2016. Progress on understanding ageism. Journal of Social Issues 72: 5–25. [Google Scholar] [CrossRef]
- Lovibond, Peter, and Sydney Lovibond. 1995. The structure of negative emotional states: Comparison of the depression anxiety stress scales (DASS) with the Beck Depression and Anxiety Inventories. Behaviour Research and Therapy 33: 335–343. [Google Scholar] [CrossRef]
- Lyons, Anthony, Beatrice Alba, Wendy Heywood, Bianca Fileborn, Victor Minichiello, Catherine Barrett, Sharron Hinchliff, Sue Malta, and Briony Dow. 2018. Experiences of ageism and the mental health of older adults. Aging & Mental Health 22: 1456–64. [Google Scholar] [CrossRef]
- Manini, Todd M., and Marco Pahor. 2009. Physical activity and maintaining physical function in older adults. British Journal of Sports Medicine 43: 28–31. [Google Scholar] [CrossRef] [PubMed]
- Marques, Sibila, João Mariano, Joana Mendonça, Wouter De Tavernier, Moritz Hess, Laura Naegele, Filomena Peixeiro, and Daniel Martins. 2020. Determinants of ageism against older adults: A systematic review. International Journal of Environmental Research and Public Health 17: 2560. [Google Scholar] [CrossRef] [PubMed]
- Miguel, Isabel, and Maria Siqueros Pedro-Chaparro. 2024. Validation of the Portuguese Perceived Ageism Questionnaire (PAQ): How Does Age Matter? Porto: Department of Psychology and Education, Portucalense University. [Google Scholar]
- Muraven, Mark, Marylène Gagné, and Heather Rosman. 2008. Helpful self-control: Autonomy support, vitality, and depletion. Journal of Experimental Social Psychology 44: 573–85. [Google Scholar] [CrossRef]
- Nelson, Todd D. 2005. Ageism: Prejudice against our feared future self. Journal of Social Issues 61: 207–21. [Google Scholar] [CrossRef]
- Pais-Ribeiro, José Luís, Ana Honrado, and Isabel Leal. 2004. Contribuição para o estudo da adaptação portuguesa das escalas de ansiedade, depressão e stress (EADS) de 21 itens de Lovibond e Lovibond. Psicologia, Saúde & Doenças 5: 229–239. [Google Scholar]
- Palmore, Erdman. 1990. Ageism: Negative and Positive. New York: Springer. [Google Scholar]
- Park, Saengryeol, Kyoungyun Park, Jennie Hancox, Diana Castaneda-Gameros, and Kyo Chul Koo. 2019. Physical Activity and Subjective Vitality in Older Adults from Community-and Assisted-Living Settings. Asian Nursing Research 13: 313–17. [Google Scholar] [CrossRef]
- Ribeiro-Gonçalves, José Alberto, Pedro Aleaxnadre Costa, and Isabel Leal. 2023. Loneliness, ageism, and mental health: The buffering role of resilience in seniors. International Journal of Clinical and Health Psychology: IJCHP 23: 100339. [Google Scholar] [CrossRef]
- Rothermund, Klaus, and Maria Clara Paula Couto. 2024. Age stereotypes: Dimensions, origins, and consequences. Current Opinion in Psychology 55: 101747. [Google Scholar] [CrossRef]
- Ryan, Richard M., and Christina Frederick. 1997. On energy, personality and health: Subjective vitality as a dynamic reflection of well-being. Journal of Personality 65: 529–65. [Google Scholar] [CrossRef] [PubMed]
- Ryan, Richard M., Netta Weinstein, Jessey Bernstein, Kirk Warren Brown, Louis Mistsretta, and Marylène Gagné. 2010. Vitalizing effects of being outdoors and in nature. Journal of Environmental Psychology 30: 159–68. [Google Scholar] [CrossRef]
- Sacker, Amanda, and Noriko Cable. 2010. Transitions to adulthood and psychological distress in young adults born 12 years apart: Constraints on and resources for development. Psychological Medicine 40: 301–13. [Google Scholar] [CrossRef] [PubMed]
- Santos, Ana João, Irina Kislaya, Ana Paula Gil, Sónia Namorado, Marta Barreto, Vânia Gaio, Baltazar Nunes, and Carlos Matias Dias. 2015. Psychological Distress: A Prevalence and Associated Factors in the Portuguese Population in 2015: Results from the National Health Examination Survey. Bethesda: National Health Institute: Epidemiological Bulletin. [Google Scholar]
- Sowan, Wafaa, Renana Rutin, and Miri Cohen. 2023. Chronic stressors, coping strategies, and depressive symptoms: A comparison across older age groups. Stress and Health 39: 1037–46. [Google Scholar] [CrossRef] [PubMed]
- Steverink, Nardi, Gerben J. Westerhof, Christina Bode, and Freya Dittmann-Kohli. 2001. The personal experience of aging, individual resources, and subjective well-being. The Journals of Gerontology. Series B, Psychological Sciences and Social Sciences 56: P364–73. [Google Scholar] [CrossRef]
- von Humboldt, Sofia, Andrea Costa, Namrah Ilyas, and Isabel Leal. 2024. Older adults, perceived ageism, civic participation and mental health: A qualitative study. Aging & Mental Health 28: 1489–501. [Google Scholar] [CrossRef]
- von Humboldt, Sofia, Isabel Miguel, Joaquim P. Valentim, Andrea Costa, Gail Low, and Isabel Leal. 2022. Is age an issue? Psychosocial differences in perceived older workers’ work (un)adaptability, effectiveness, and workplace age discrimination. Educational Gerontology 49: 687–99. [Google Scholar] [CrossRef]
- World Health Organization (WHO). 2015. World Report on Ageing and Health. Geneva: World Health Organization. [Google Scholar]

| Characteristics | Frequency (n) | Percentage (%) |
|---|---|---|
| Total (overall) | 792 | 100 |
| Gender | ||
| Male | 390 | 49.2 |
| Female | 402 | 50.8 |
| Age group | ||
| 18–39 years | 307 | 38.3 |
| 40–59 years | 256 | 32.3 |
| 60+ years | 229 | 28.9 |
| Educational level * | ||
| <Secondary | 164 | 21.3 |
| Secondary | 235 | 30.5 |
| >Secondary | 371 | 48.2 |
| Marital status | ||
| Single | 266 | 33.6 |
| Married/de facto union | 385 | 48.6 |
| Divorced/separated | 68 | 8.6 |
| Widow | 73 | 9.2 |
| 18–39 Years | 40–59 Years | ≥60 Years | |||
|---|---|---|---|---|---|
| Mean (SD) | Mean (SD) | Mean (SD) | F | p | |
| Perceived negative ageism | 2.15 (0.85) a | 1.71 (0.87) b | 2.47 (1.01) c | 36.14 | <0.001 |
| Perceived positive ageism | 2.87 (0.77) a | 3.06 (0.89) b | 3.32 (0.87) c | 19.21 | <0.001 |
| Subjective vitality | 4.11 (1.20) | 4.30 (1.16) | 4.11 (1.16) | 2.21 | 0.110 |
| Stress | 1.33 (0.76) | 1.19 (0.83) | 1.35 (0.84) | 2.91 | 0.055 |
| Anxiety | 1.05 (0.81) a | 0.84 (0.85) b | 1.13 (0.84) ac | 8.43 | <0.001 |
| Depression | 1.07 (0.85) a | 0.87 (0.85) b | 1.14 (0.86) a | 6.95 | 0.001 |
| Stress | Anxiety | Depression | ||||
|---|---|---|---|---|---|---|
| b (SE) | 95% CI | B (SE) | 95% CI | B (SE) | 95% CI | |
| Perceived negative ageism (X) | 0.302 *** (0.028) | [0.247; 0.358] | 0.416 *** (0.027] | [0.362; 0.470] | 0.396 *** (0.028) | [0.341; 0.450] |
| Subjective vitality (W) | −0.111 *** (0.023) | [−0.156; −0.066] | −0.119 *** (0.022) | [−0.163; −0.076] | −0.185 *** (0.022) | [−0.229; −0.141] |
| X × W | 0.057 * (0.023) | [0.012; 0.001] | 0.046 * (0.022) | [0.003; 0.089] | 0.036 (0.022) | [−0.008; 0.080] |
| Age (covariate) | −0.002 (0.001) | [−0.005; 0.001] | −0.001 (0.001) | [−0.004; 0.001] | −0.001 (0.001) | [−0.004; 0.001] |
| Gender (covariate) | −0.064 (0.052] | [−0.166; 0.039] | 0.019 (0.050) | [−0.080; 0.117] | −0.013 (0.051) | [−0.113; 0.088] |
| F | 38.210 *** | 69.129 *** | 73.447 *** | |||
| R2 | 0.196 | 0.305 | 0.318 | |||
| Perceived positive ageism (X) | 0.124 *** (0.034) | [0.056; 0.191] | 0.084 * (0.035) | [0.015; 0.153] | 0.065 (0.035) | [−0.004; 0.135] |
| Subjective vitality (W) | −0.201 *** (0.024) | [−0.249; −0.154} | −0.226 *** (0.035) | [−0.275; −0.177] | −0.283 *** (0.025) | [−0.332; −0.234] |
| X × W | 0.000 (0.027) | [−0.053; 0.052] | 0.029 (0.027) | [−0.025; 0.083] | 0.040 (0.028) | [−0.014; 0.094] |
| Age (covariate) | −0.001 (0.002) | [−0.004: 0.002] | 0.000 (0.002) | [−0.003; 0.003] | 0.000 (0.002) | [−0.003; 0.003] |
| Gender (covariate) | −0.005 (0.055) | [−0.114; 0.104] | 0.105 (0.057) | [−0.006; 0.217] | 0.071 (0.057) | [−0.041; 0.183] |
| F | 14.299 *** | 17.364 *** | 26.455 *** | |||
| R2 | 0.083 | 0.099 | 0.144 | |||
Disclaimer/Publisher’s Note: The statements, opinions and data contained in all publications are solely those of the individual author(s) and contributor(s) and not of MDPI and/or the editor(s). MDPI and/or the editor(s) disclaim responsibility for any injury to people or property resulting from any ideas, methods, instructions or products referred to in the content. |
© 2025 by the authors. Licensee MDPI, Basel, Switzerland. This article is an open access article distributed under the terms and conditions of the Creative Commons Attribution (CC BY) license (https://creativecommons.org/licenses/by/4.0/).
Share and Cite
Miguel, I.; Carvalhais, L. The Impact of Perceived Ageism on Psychological Distress: Insights into the Role of Subjective Vitality. Soc. Sci. 2025, 14, 103. https://doi.org/10.3390/socsci14020103
Miguel I, Carvalhais L. The Impact of Perceived Ageism on Psychological Distress: Insights into the Role of Subjective Vitality. Social Sciences. 2025; 14(2):103. https://doi.org/10.3390/socsci14020103
Chicago/Turabian StyleMiguel, Isabel, and Lénia Carvalhais. 2025. "The Impact of Perceived Ageism on Psychological Distress: Insights into the Role of Subjective Vitality" Social Sciences 14, no. 2: 103. https://doi.org/10.3390/socsci14020103
APA StyleMiguel, I., & Carvalhais, L. (2025). The Impact of Perceived Ageism on Psychological Distress: Insights into the Role of Subjective Vitality. Social Sciences, 14(2), 103. https://doi.org/10.3390/socsci14020103

