Abstract
Although time use is one of people’s most important resources, there are social forces and inequalities that shape how time is used. The aim of this research is to examine gender differences in time use from adolescence to old age and to analyze the association of such use with sociodemographic characteristics and with women’s and men’s health and well-being. A cross-sectional study was conducted with a sample of 5700 women (54.2%) and men (45.8%) from the Spanish general population, aged 14 to 85 years. Participants were assessed using five self-reported measures of time use, health, mental symptoms, psychological well-being, life satisfaction, social support, and masculine/instrumental and feminine/expressive traits. The results showed that although there were important differences in life cycle stage and occupation, women spent more time than men on housework, childcare, and caring for sick relatives, while men spent more time than women on enjoying activities and exercise. More time spent on housework was associated with worse health and well-being for women and more exercise with better health and well-being for both genders. It is concluded that gender is relevant to time use and the impact of different uses of time on health and well-being.
1. Introduction
Gender refers to the culturally defined roles, responsibilities, activities, behaviors, attributes, and entitlements associated with being (or being seen as) a man or a woman as well as the power relations between and among men and women (Darmstadt et al. 2019; Heise et al. 2019; Manandhar et al. 2018). Although it is argued that gender at the personal level is composed of multiple facets (physiological aspects, gender identity, legal gender, and gender expression) and is not a binary category (Lindqvist et al. 2021), gender is “a complex social system that structures the life experience of all human beings” (Heise et al. 2019, p. 393). Gender is a social system that defines women and men as two distinct categories to which it differentially distributes power, status, and resources and organizes social relations of inequality based on this difference (Heise et al. 2019; Ridgeway and Correll 2004; Risman and Davis 2013). Risman’s multilevel theory of gender as a social structure (Risman 2018) posits that a gender structure can be found at the individual level, at the interactional level, and at the macro level. According to Risman and Davis (2013, p. 744), “The gender structure differentiates opportunities and constraints based on sex category and thus has consequences on three dimensions: (1) at the individual level, for the development of gendered selves; (2) during interaction as men and women face different cultural expectations even when they fill the identical structural positions; and (3) in institutional domains where both cultural logics and explicit regulations regarding resource distribution and material goods are gender specific”. Gender inequality is produced, maintained, and reproduced at all three levels: individual, interactional, and institutional.
At the individual level, the development of the gendered selves occurs through the internalization of a masculine or feminine identity (Risman and Davis 2013). As Sandra Lipsitz Bem, a professor of psychology and women’s studies and a leading feminist thinker, notes, masculinity and femininity are cultural stereotypes to which people must conform, with men having to be masculine and women having to be feminine (Bem 1993). Masculinity is associated with an instrumental orientation in which agency is central, characterized by a focus on the self and prioritizing one’s mastery and goal attainment (e.g., competitive, ambitious). Femininity is associated with an expressive orientation in which communion is central, characterized by a focus on others and their well-being (e.g., warm, compassionate) (Bem 1993; Helgeson 2015). Gender equality refers to the concept that “all human beings, irrespective of their sex or gender identity, are free to develop their personal abilities and make choices without the limitations set by stereotypes, rigid gender roles, or discrimination. Gender equality means that the different behaviors, aspirations, and needs of males, females, and people of other gender identities are considered, valued, and favored equally” (Darmstadt et al. 2019, p. 2375).
Gender equality is Goal 5 of the United Nations Sustainable Development Goals (United Nations 2023). Women and girls constitute half of the human population and half of the world’s potential, but gender inequality persists in all areas of the world and hinders social progress. In a healthy society, promoting gender equality is fundamental in all areas, from reducing poverty to promoting the health, education, protection, and well-being of boys and girls. Beyond Sustainable Development Goal 5, gender equality is also necessary to achieve other United Nations goals, including Goal 3 to “ensure healthy lives and promote well-being for at all ages” (Langer et al. 2015; Manandhar et al. 2018; Weber et al. 2019) and other goals that affect health outcomes (Manandhar et al. 2018). Research has found differences between men and women on some health indicators, and there is evidence that the social roles traditionally ascribed to women and men are relevant to gender differences in health and well-being (Delgado-Herrera et al. 2024; Matud 2017; Matud et al. 2022, 2023). Epidemiologic surveys have consistently documented differences between men and women in mental disorders, including higher rates of externalizing and substance use disorders among men than women and higher rates of anxiety and mood disorders among women than men (Seedat et al. 2009; Boyd et al. 2015), although a substantial narrowing of intercohort differences in major depression was found related to changes in traditional female gender roles (Seedat et al. 2009). Historically, women have carried a disproportionate burden of unpaid domestic and home care responsibilities, and it has been suggested that women’s increased risk of depressive and anxiety symptoms may be partly explained by this disproportionate burden (Seedat and Rondon 2021).
Gender equality is achieved when women and men in a society enjoy equal opportunities and rights in all spheres of life (United Nations 2024). Although there have been global advances in gender equality, women and girls continue to face structural discrimination and violence in all parts of the world. Globally, women earn on average 23% less than men in the labor market and spend about three times as many hours as men in unpaid domestic and care work (United Nations 2023). Women have historically shouldered the majority of caregiving responsibilities due to gendered social roles, stereotypes, and power relations (EIGE 2023).
Time use is recognized as one of the most important social and economic determinants of gender inequality (Medina-Hernández et al. 2021). A regular measurement of time use is crucial for identifying and analyzing gender inequalities and providing relevant information for overcoming the sexual division of labor, implementing public policies, and moving towards a care society. It makes it possible to take into account the unpaid work disproportionately performed by women; to value care as a necessity, a job, and a right; and to estimate the multiplier effects of promoting the care economy on the well-being of society (CEPAL 2023). Surveys and research conducted over decades in different countries have consistently shown that there are differences in time use between women and men, with women performing more unpaid work (Anxo et al. 2011; Bianchi et al. 2012; EIGE 2023; Ervin et al. 2022; Hagqvist et al. 2012; Medina-Hernández et al. 2021). Globally, women perform three times more domestic work and care than men (Seedat and Rondon 2021). According to the International Labour Organization (2023), worldwide, women spend 265 min per day on unpaid care work, while men spend 83 min per day, although there are important differences across regions and income group countries. According to the European Institute for Gender Equality (EIGE 2023), women are primarily responsible for childcare and are twice as likely as men to spend at least 5 h a day on childcare. In addition, men who care for their children spend more time on leisure activities, with 38% of men spending 1 to 3 h a day on leisure activities, compared to only 29% of women. Gender gaps in time use are found at all stages of the life course, although the extent of the gender gap varies across countries (Anxo et al. 2011; Kan et al. 2021). Women in low- and middle-income countries perform more unpaid work than women in high-income countries (International Labour Organization 2023; Seedat and Rondon 2021), although there are also important differences among high-income countries, depending on the welfare state regimes, employment regimes, and family policies (Anxo et al. 2011; Srivastava 2020).
Despite women’s incorporation into the labor market, women still perform the bulk of housework and family care (Anxo et al. 2011; EIGE 2023; Kan et al. 2011; Samtleben and Müller 2022; United Nations 2023) and bear what has been called the “double burden” of paid and unpaid work (Mortensen et al. 2017; Seedat and Rondon 2021). This double burden has consequences for women’s health and well-being (Ervin et al. 2022) and can lead to work–family conflict (Mortensen et al. 2017). Caregiving responsibilities significantly affect work–life balance, leading to fewer hours of work, which has financial consequences and limits women’s career advancement. In addition, caregiving responsibilities affect women’s social activities and limit time for personal leisure. It has been recognized that the fact that women do most of the housework puts them at a relative disadvantage compared to men in terms of career advancement and opportunities (EIGE 2023; Reich-Stiebert et al. 2023; Samtleben and Müller 2022; Seedat and Rondon 2021), has a significant impact on women’s lives, and is the main reason why women are not equally integrated into the labor market and public life, with far-reaching consequences (EIGE 2023). Moreover, the division of housework between couples has important consequences for relationship quality, with women who do more housework being less likely to be satisfied with their relationships and being more likely to consider breaking up (Ruppanner et al. 2018). While it has been argued that one of the reasons for the unequal division of labor between women and men in the household is partly the result of their own preferences (Bleske-Rechek and Gunseor 2022), there is evidence that such a division has many negative consequences. Although many studies have examined the relationship between unpaid work and mental health, the results are inconsistent. Some studies have found that unpaid domestic and care work is associated with increased mental health burden and psychological distress for women (Ervin et al. 2022; Matud et al. 2015; Prins et al. 2019; Reich-Stiebert et al. 2023; Seedat and Rondon 2021; Vitaliano et al. 2013; Xue and McMunn 2021), with the negative effects less evident for men (Ervin et al. 2022).
Time is one of the most important resources we have, but there are social forces that shape inequalities and imbalances in how people use time, affecting the health and well-being of the population (Kan et al. 2021). It has been proposed that how we spend our time determines every aspect of our lives, and this is deeply intertwined with our sociodemographic background (Tomczyk et al. 2021). Therefore, the main aim of this work is to analyze gender differences in time use, taking into account the life cycle stages from adolescence to old age and the occupations of women and men. We will conduct a broad analysis of time use, including, in addition to daily time spent on housework, time spent caring for children and sick family members, time devoted to studying, time devoted to going out with friends, time devoted to doing what one feels like doing, and weekly time devoted to physical exercise. A second aim is to determine the relationship between time use and educational level, the number of children, and the self-identification of women and men with the characteristics of masculine/instrumental and feminine/expressive traits. The third aim of the study is to analyze the association between different time uses and women’s and men’s health, mental symptoms, well-being, and social support. This study is exploratory, so no hypotheses are formulated.
2. Materials and Methods
2.1. Participants and Procedure
The study sample corresponded to 5700 people from the general Spanish population, 54.2% women (n = 3090) and 45.8% men (n = 2610), aged between 14 and 85 years. People were grouped according to their age in five life cycle stages following Freund (2020) and Mehta et al. (2020): (1) adolescence, where people aged between 14 and 17 years were grouped and represented 13.9% of the sample; (2) emerging adulthood, where people aged between 18 and 29 years were included and represented 29% of the sample; (3) established adulthood, where people aged between 30 and 45 years were included and represented 19.5% of the sample; (4) midlife, which included people aged between 46 and 65 and accounted for 24.7% of the sample; and old age, which included people aged between 66 and 85 and accounted for 12.9% of the sample (see Table 1). This sample was obtained from a larger sample of 5923 individuals (3237 women and 2686 men) after eliminating individuals identified as multivariate outliers.
Table 1.
Sample distribution at each life cycle stage studied.
Table 2 displays their main sociodemographic characteristics. As can be seen, there was diversity in these characteristics, with some statistically significant differences observed between women and men. Of the total sample, 36.6% had only primary education, 28.8% had secondary education, and 34.6% had university education. Men were more likely to have only primary education (38.6%), while women were more likely to have university education (39.4%). There was also a diversity in their occupation, with 35.9% of women and 27.7% of men being students. Overall, 30.6% of men had manual occupations and 25.5% had skilled non-manual occupations, while the percentages for women were 17.8% and 15.7%, respectively. The percentage of professionals with a university degree was quite similar for women (18.1%) and men (16.1%), and only women considered their occupation to be “homemaker”, which was 12.5%. Almost half of the women (49.6%) and men (48.2%) were never married and did not live with a partner, while 45.4% of the men and 39.0% of the women were married and/or living with a partner. Just over half of the men (54.4%) and women (53.8%) did not have children. Among those who did have children, the most common were two (21.6% of men and 22.3% of women) or one (12.1% of men and 10.8% of women). There were no statistically significant differences in the average number of children between women and men (see Table 2).
Table 2.
Sociodemographic characteristics of the men and women groups.
Participants were volunteers and received no compensation for their participation. To avoid systematic bias, participants were recruited through educational centers, workplaces, and community associations in different Spanish locations as well as through the social network of psychology, nursing, and sociology students from different Spanish universities who were trained in the administration of these tests and received course credits for their participation in the study. The questionnaires and scales as well as a sociodemographic, health, and time use surveys were administered through individual and manual response booklets in which the tests were printed. All tests were administered in the same order: first, the sociodemographic, health, and time use data collection sheet, then the Bem Sex Role Inventory (Bem 1981), the Satisfaction with Life Satisfaction Scale (Diener et al. 1985), the Social Support Scale (Matud 1998), the Spanish version of the Ryff Psychological Well-Being Scale (Van Dierendonck et al. 2008), the General Health Questionnaire (Goldberg et al. 1996), and the Spanish version of the York Self-esteem Inventory (Matud et al. 2003). Data collection for the present study ended just as the COVID-19 pandemic began in Spain, as the data were collected on paper and in person, which could no longer be completed due to government measures restricting interpersonal contact. This study is part of a larger research project on gender and health and was positively evaluated by the Research Ethics and Animal Welfare Committee of the University of La Laguna (study approval number 2015-0170).
The study was conducted in accordance with tenets of the Declaration of Helsinki. All subjects gave informed consent before participating in the study, and in the case of adolescents, their parents also gave informed consent. Ethical standards were followed in the assessment of the sample, and the instruments did not use names or other identifying information about the participant. Participants could withdraw from the study at any time.
2.2. Instruments
- -
- Sociodemographic, Health, and Time Use Survey. This survey collected information on sociodemographic characteristics (gender, age, education, occupation, marital status, and number of children), health, and time use. Each person was asked to record the average amount of time they usually spend each day on housework, caring for children, caring for sick relatives, going out with friends, studying, and doing what they really like and enjoy doing (hereafter referred to as “enjoyable activities”). In addition, they were asked to record the number of hours per week they spend on sports or physical exercise. The survey also collected information about current illnesses and medications each person was taking. Participants’ self-rated health was measured by asking them to rate their overall health at the present time on a five-point scale. The options were “very bad”, “bad”, “fair”, “good”, and “very good”. Scores were assigned from 0 (for “very bad”) to 4 (for “very good”), with higher scores indicating better self-rated health.
- -
- The Spanish version of the scaled General Health Questionnaire (GHQ-28) (Goldberg et al. 1996). The GHQ-28 is a self-administered questionnaire consisting of 4 subscales: somatic symptoms, anxiety and insomnia, social dysfunction, and severe depression. Items are scored on a Likert-type scale ranging from 0 (less than usual) to 3 (much more than usual), with higher scores indicating greater levels of symptoms. For the present study, Cronbach’s alpha was 0.82 for somatic symptoms, 0.88 for anxiety and insomnia symptoms, 0.74 for social dysfunction, and 0.89 for severe depression.
- -
- The Spanish version of Ryff’s Psychological Well-Being Scale (Van Dierendonck et al. 2008). This scale consists of 38 items structured into six subscales: (1) self-acceptance, consisting of 6 items; (2) positive relationships, consisting of 6 items; (3) autonomy, consisting of 8 items; (4) environmental mastery, consisting of 6 items; (5) purpose in life, consisting of 6 items; and (6) personal growth, consisting of 6 items. Items were scored on a 6-point Likert scale ranging from 1 (totally disagree) to 6 (totally agree), with higher scores indicating greater psychological well-being. For the current sample, Cronbach’s α for the six subscales were 0.82, 0.80, 0.74, 0.66, 0.82, and 0.72, respectively. Cronbach’s alpha for the total psychological well-being score was 0.93.
- -
- The Satisfaction with Life Scale (SWLS) (Diener et al. 1985). The SWLS consists of 5 items that assess the respondent’s overall judgment of his or her satisfaction with life. The response format is a 7-point Likert scale ranging from 1 (strongly disagree) to 7 (strongly agree), with higher scores indicating greater life satisfaction. For the current sample, the Cronbach’s alpha coefficient was 0.85.
- -
- The Spanish version of the York Self-Esteem Inventory (Matud et al. 2003). This inventory consists of 51 items reflecting different evaluative self-domains, including personal, family, interpersonal, and achievement self-domains, and measures global self-esteem. The response format is a 4-point Likert scale ranging from 0 (never) to 3 (always), with higher scores indicating higher levels of self-esteem. For the current sample, Cronbach’s alpha was 0.95.
- -
- Social Support Scale (Matud 1998). It consists of 12 items that measure the availability of emotional and instrumental perceived social support. The response format is a 4-point Likert scale ranging from 0 (never) to 3 (always), with higher scores indicating higher levels of social support. For the current sample, Cronbach’s alpha for the 12 scale items was 0.91.
- -
- Bem Sex Role Inventory (BSRI) (Bem 1981). The BSRI is a self-reported inventory that measures participants’ endorsement of socially desirable personality traits stereotypically associated with women and men. The BSRI consists of adjectives or short sentences, 20 of which refer to characteristics traditionally considered masculine, such as “defends own beliefs”, “dominant”, “independent”, and “string personality”, which make up the masculine/instrumental scale, and the other 20 refer to characteristics traditionally considered feminine, such as “sensitive to the needs of others”, “understanding”, “warm”, and “tender”, which make up the feminine/expressive scale. The response format is a 7-point Likert scale ranging from 1 (never or almost never true) to 7 (always or almost always true). For the current sample, Cronbach’s alphas for the masculinity/instrumental and femininity/expressiveness scales were 0.83 and 0.80, respectively.
2.3. Data Analysis
Descriptive statistics were calculated to describe the sociodemographic characteristics of women and men. Comparisons between women and men in sociodemographic variables were made using Pearson’s chi-square test for categorical variables and t-test for continuous variables. Internal consistency was measured with Cronbach’s alpha coefficient. Univariate analysis of variance (ANOVA) was used to determine whether there were differences between women and men in time use at each life cycle stage and in each occupational category. The independent variables were gender (women, men) and life cycle stage (adolescence, emerging adulthood, established adulthood, midlife, old age) in the first set of analyses and gender (women, men) and occupational category (student, manual, non-manual, professional, homemaker) in the second set of analyses of variance. The dependent variables were scores for daily time (in minutes) spent on housework, childcare, caring for sick relatives, going out with friends, studying, enjoyable activities, and weekly exercise (in hours). When daily time spent on childcare was considered the dependent variable, only those with at least one child were included in the analyses. Bivariate associations between variables were calculated using Pearson’s correlation coefficient r when they were quantitative and Spearman’s Rho when they were ordinal. Due to the large sample size, statistical significance was set at p < 0.001. Individuals with multivariate outliers were eliminated before performing ANOVA and correlation analyses. Identification of individuals with multivariate outliers was performed using Mahalanobis distance with p < 0.001.
ANOVA assumes that the outcome variable is normally distributed and that the groups have approximately equal variance on the dependent variable. However, these assumptions were not met in the present sample. Given the large sample size of this study, the robustness of ANOVA to such violations (e.g., Blanca et al. 2017, 2018; Shatz 2024; Harwell et al. 1992), and the fact that statistical significance was set at p < 0.001, this was not considered a threat to the validity of the study, as non-normality and unequal variances are a reality in naturally formed groups. Nonetheless, we tested whether the differences between the groups were still statistically significant using nonparametric tests, such as the Welch and Brown–Forsythe tests, and the final decision on the existence of statistically significant differences was based on the results of the latter two tests. Post hoc multiple comparisons were performed using the Games–Howell test, as this test does not assume homogeneity of variances or equal sample sizes. Statistical and graphical analyses were performed using SPSS 22.0 software.
3. Results
3.1. Gender Differences in Time Use by Life Cycle Stage
ANOVAs with gender (women and men) and life cycle stage (adolescence, emerging adulthood, established adulthood, midlife, and old age) as factors and the seven time uses included in the study as dependent variables showed that the interaction effects of gender x life cycle stage were statistically significant (p < 0.001) for all time uses except time devoted to going out with friends, where only the main effects of gender, F(1, 5690) = 22.34, p < 0.001, ηp2 = 0.004, and life cycle stage, F(4, 5690) = 269.82, p < 0.001, ηp2 = 0.159, were statistically significant. When daily time spent in childcare was considered as the dependent variable, only individuals with at least one child were included in the analyses. There was only one adolescent girl with children, so the adolescent group was not included in the analyses of time spent caring for children. Table 3 shows the means (M), standard deviations (SD), and two-way ANOVAs for the seven time uses analyzed in each of the five life cycle stages. Figure 1 shows the changes in time uses as a function of gender and life cycle stage when the interaction gender x life cycle stage was found to be statistically significant. As shown in Table 3, the main effects for gender and life cycle stage were statistically significant in ANOVAs regarding daily time spent doing housework, daily time spent caring for children, daily time spent caring for sick relatives, daily time spent going out with friends, daily time spent studying, daily time spent doing enjoyable activities, and weekly time spent exercising.
Table 3.
Means (M), standard deviations (SD), and two-way ANOVA statistics for time use in the life cycle stages.
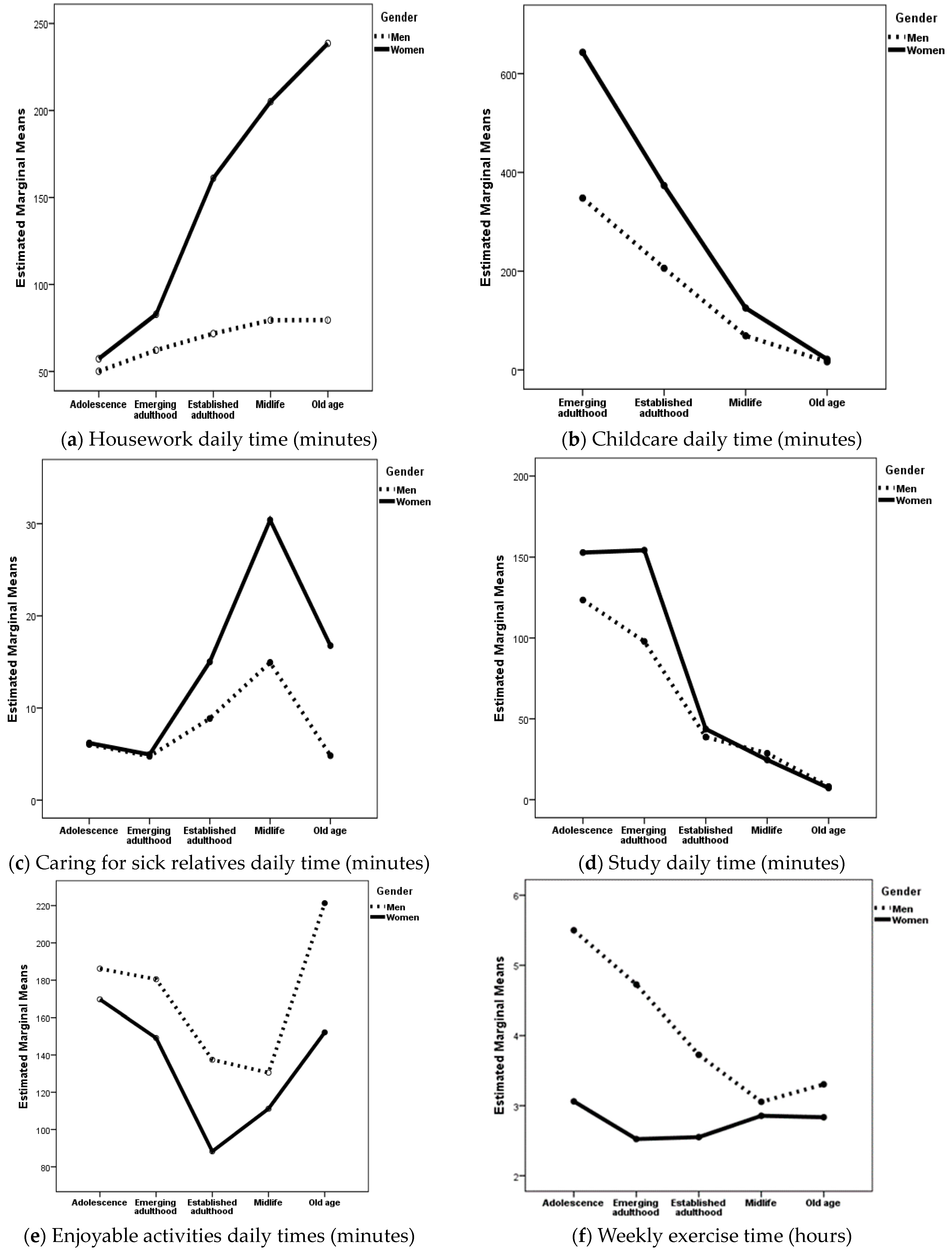
Figure 1.
Changes in time uses as a function of gender and life cycle stage.
In the ANOVA with daily housework time as the dependent variable, post hoc analyses with Games–Howell adjustment showed statistically significant differences (p < 0.001) between women and men in all life cycle stages except adolescence. For men, there were statistically significant differences by life cycle only between adolescents and the other groups except emerging adults and between emerging adults and midlife men, with adolescents and emerging adults spending less time on housework. For women, statistically significant differences were observed between all life stages except midlife and old age, where p = 0.001 was found, with time spent on housework increasing with age. As shown in Figure 1a and Table 2, the daily time spent on housework was higher for women than for men, and the differences increased over the life cycle.
In the ANOVA where daily time spent caring for children was the dependent variable, only individuals with at least one child were included in the analyses. There was only one adolescent girl with children, so adolescence was not included in the analyses. It is also important to note that the majority of emerging adults (97.1% of men and 97.3% of women) did not have children. Post hoc analyses with the Games–Howell adjustment showed statistically significant differences between women and men for established adulthood and for midlife. The within-group difference analyses showed that for women, there were statistically significant differences in all age groups except emerging adulthood and established adulthood, where p = 0.002 was found, with younger women who had children spending more time caring for children than older women. For men, there were also statistically significant differences across all age groups, except between emerging adults and those in established adulthood and between emerging adults and those in midlife, where p = 0.002 was found. As shown in Table 2 and Figure 1b, the time spent caring for children was greater for women than for men, and for both genders, this time decreases with age, with very marked differences in emerging adulthood but very similar time spent in old age.
In the ANOVA with daily time spent caring for sick relatives as the dependent variable, post hoc analyses with Games–Howell’s adjustment showed differences between women and men in midlife at p = 0.001, with women spending more time caring for sick family members than men. Furthermore, women spent significantly more time caring for sick family members in midlife than at any other stage of the life cycle except old age and established adulthood. As shown in Table 3 and Figure 1c, women begin to spend more time caring for sick relatives than men in established adulthood, and the differences increase markedly in midlife and decrease slightly in old age compared to midlife.
In the ANOVA with going out with friends as the dependent variable, post hoc analyses with Games–Howell’s adjustment revealed differences between women and men in old age at p = 0.001, with men spending more time going out with friends than women. Statistically significant differences were found within life cycle stages. Women and men in adolescence and emerging adulthood spent more time going out with friends than people in all other life cycle stages, except for emerging adult women and old age men, for whom p = 0.132. Except for women in established adulthood, men and women in midlife spent less time going out with friends than any other group. In addition, older men spent more time going out with friends than men and women in established adulthood.
In the ANOVA with study time as the dependent variable, post hoc analyses with the Games–Howell adjustment showed statistically significant differences between women and men only in emerging adulthood, with differences in adolescence being p = 0.001. The within-group difference analyses showed that women and men in adolescence and emerging adulthood spent more time studying than people in all other life cycle stages. In addition, women and men in established adulthood and midlife spent more time studying than people in old age, as shown in Table 3. As shown in Figure 1d, the time spent studying by women and men was very similar from established adulthood onwards, while at younger ages, women spent more time studying than men, differences that become more pronounced in emerging adulthood.
In the ANOVA with daily time spent on enjoyable activities as the dependent variable, post hoc analyses with Games–Howell’s adjustment showed statistically significant differences between women and men in established adulthood and old age, while the differences between women and men in emerging adulthood were p = 0.001, with men spending more time than women. The analysis of within-group differences showed that women in established adulthood spent less time per day in enjoyable activities than all other women and men, and women in midlife spent less time than women and men in adolescence, emerging adulthood, and old age. Men in established adulthood and midlife spent less time per day in enjoyable activities than all other men. Men in old age spent the most time per day in enjoyable activities, although the differences with men and women in adolescence and men in emerging adulthood were not statistically significant. As shown in Table 3 and Figure 1e, women on average spend less time on enjoyable activities than men, although the differences are smaller in adolescence and midlife than in the rest of the life cycle.
In the ANOVA with weekly exercise time as the dependent variable, post hoc analyses with the Games–Howell adjustment showed statistically significant differences between women and men in adolescence, emerging adulthood, and established adulthood. The analysis of within-group differences showed that adolescent men spent more hours in physical exercise than other men except in emerging adulthood, and men in emerging adulthood spent more hours than men in midlife and old age. As shown in Table 3 and Figure 1f, older and midlife women and men spend very similar average weekly amounts of time exercising, while among younger people, men spend more time exercising than women.
3.2. Gender Differences in Time Use by Occupation
ANOVAs with gender (women and men) and occupation (student, manual, non-manual, professional, and homemaker) as factors and the seven time uses as dependent variables showed that the interaction effects of gender and occupation were statistically significant (p < 0.001) for daily housework time, daily time spent caring for sick relatives, daily time spent studying, and weekly time spent exercising. When daily time spent caring for children was considered the dependent variable, only individuals with at least one child were included in the analyses. Because only five women students had at least one child, the student group was excluded from the ANOVAs in which daily time spent caring for children was the dependent variable. Table 4 shows the means (M), standard deviations (SD), and two-way ANOVAs for the seven time uses analyzed in each of the five occupational categories. Figure 2 shows the changes in time use as a function of gender and occupation when the gender x occupation interaction was found to be statistically significant. As shown in Table 4, the main effects for gender and occupation were statistically significant in ANOVAs regarding daily time spent doing housework, daily time spent caring for children, daily time spent caring for sick relatives, daily time spent going out with friends, daily time spent studying, daily time spent doing enjoyable activities, and weekly time spent exercising.
Table 4.
Means (M), standard deviations (SD), and two-way ANOVA statistics for time use by occupation.

Figure 2.
Changes in time uses as a function of gender and occupation.
In the ANOVA with daily housework time as the dependent variable, post hoc analyses with the Games–Howell adjustment showed statistically significant differences between women and men in all occupational categories. The within-group difference analysis showed that in the group of men, there were statistically significant differences in daily time spent on housework only between students and men with manual and non-manual occupations. Among women, statistically significant differences were found between all occupational categories except between professional women and those with non-manual occupations. As shown in Table 4 and Figure 2a, women spent more time per day on housework than men. Both boy and girl students spent less time per day on housework than other women. Homemakers spent more time per day on housework than other women, and women in non-manual occupations spent more time per day on housework than professional women and women in non-manual occupations.
In the ANOVA with daily childcare time as the dependent variable, post hoc analyses with the Games–Howell adjustment showed statistically significant differences between women and men in all occupational categories. As shown in Table 4, women spent more time per day caring for children than men. The within-group analyses showed that there were no statistically significant differences between men of different occupational statuses in the time spent per day on childcare, and among women, statistically significant differences were only observed between homemakers and women in non-manual occupations, with women in non-manual occupations spending more time on childcare.
In the ANOVA with daily time spent caring for sick relatives as the dependent variable, post hoc analyses with the Games–Howell adjustment showed statistically significant differences between women and men in the non-manual and professional occupational categories. The within-group analyses showed that there were no statistically significant differences between men in different occupational groups in the time spent per day caring for sick relatives, and for women, differences were only observed between students and the other groups of women, with student women spending less time caring for sick family members. As shown in Table 4 and Figure 2b, women spent more time caring for sick relatives than men in all occupational groups except students.
In the ANOVA with daily time spent with friends as the dependent variable, post hoc analyses with the Games–Howell adjustment showed statistically significant differences between women and men students with respect to women and men in the other occupational categories and between men with manual work and women with non-manual work. As can be seen in Table 4, students spent more time per day going out with friends than the other groups, and men with non-manual occupations spent more time than women with non-manual occupations and homemakers.
In the ANOVA with study time per day as the dependent variable, post hoc analyses with the Games–Howell adjustment showed statistically significant differences between women and men in the same occupational category only for students. The analysis of within-group differences showed that both men and women students spent more time studying per day than all other occupational groups. In addition, men and women in manual occupations spent less time studying than women and men in non-manual occupations and professional men and women, and men in non-manual occupations spent less time studying than professional men. Homemakers spent less time studying than other women except those in manual occupations. As shown in Figure 2c, there are virtually no differences between women and men in the amount of time spent studying each day except for students, with girls spending more time studying each day than boys. Students were the occupational group that spent the most time studying and homemakers the least, followed by manual workers.
In the ANOVA with daily time spent on enjoyable activities as the dependent variable, post hoc analyses with the Games–Howell adjustment showed statistically significant differences between men who were students and all groups of women except students and between men in manual occupations and all groups of women except students and homemakers. Intragroup analyses showed statistically significant differences only in the group of women, with women students spending more time on enjoyable activities than other women except homemakers. Men spent more time per day on enjoyable activities than women except for students, as shown in Table 4.
In the ANOVA with weekly exercise time as the dependent variable, post hoc analyses with the Games–Howell adjustment showed statistically significant differences between women and men in the same occupational category only for students and non-manual workers. The analysis of within-group differences showed that men who were students spent more time per week in physical exercise than men who were manual workers and professionals, and men who were not manual workers spent more time than men who were manual workers. As shown in Table 4 and Figure 2d, men spent more time per week in physical exercise than women, although the differences between women and men in manual occupations were smaller.
3.3. Associations between Time Use and the Sociodemographic Characteristics and the Health and Well-Being of Women and Men
Table 5 shows the correlation coefficients between time use and age, the number of children, the levels of education, and the masculine/instrumental and feminine/expressive traits of women and men. As can be seen, older women spent more time on housework and caring for sick relatives and less time on childcare, studying, and going out with friends, associations that were very similar to those found for women with more children except for the time spent on childcare, which was greater when they had more children. Although most of these associations were also observed for men, the effect size was much smaller, except for childcare. In addition, for men, older age was associated with less time spent on physical exercise, although the effect size was small. For women, higher levels of education were associated with less time spent on housework and more time spent studying and caring for children. For men, higher levels of education were associated with more time spent studying and caring for children. Some statistically significant correlations were also found between time use and self-identification with masculine/instrumental and feminine/expressive traits, although the effect size was small. For women, higher scores on the masculine/instrumental trait were associated with more time spent exercising, going out with friends, engaging in enjoyable activities, taking care of children, and spending less time each day on housework. For men, higher scores on the masculine/instrumental trait were associated with more time spent exercising, whereas higher scores on the feminine/expressive trait were associated with more daily time spent caring for children and doing housework.
Table 5.
Correlation coefficients between time use and age, number of children, educational level, and masculine/instrumental and feminine/expressive traits of women and men.
Table 6 shows the correlation coefficients between time use and health, mental symptomatology, well-being, self-esteem, and social support for women and Table 7 for men. As can be seen, there are several statistically significant correlations, although the effect size was small or even very small for most of the correlations. For both women and men, more time spent caring for children was associated with better health, lower medication use, and greater personal growth; more time spent studying was associated with better health, lower medication use, greater personal growth, more positive relationships, greater social support, and less social dysfunction; more time spent going out with friends was associated with better self-rated health, lower medication use, and more positive relationships; more time spent in enjoyable activities was associated with greater life satisfaction; and more time spent in exercise was associated with better self-rated health, fewer somatic and social dysfunction symptoms, and greater psychological well-being (greater self-acceptance, positive relationships, purpose in life, and personal growth).
Table 6.
Correlation coefficients between time use and the health, mental symptoms, and well-being of women.
Table 7.
Correlation coefficients between time use and health, mental symptoms, and well-being of men.
In addition, for women, more time spent on housework was associated with worse self-rated health; a greater number of illnesses; greater medication use; greater somatic, anxiety, and insomnia symptoms; less psychological well-being (less personal growth, fewer positive relationships, less self-acceptance, and less purpose in life); less social support; more social dysfunction; and less life satisfaction, whereas for men, more time spent on housework was associated with greater environmental mastery. For women, more time spent caring for sick relatives was associated with poorer self-rated health, less social support, and greater somatic and anxiety and insomnia symptoms. For women, more time spent studying was also associated with greater purpose in life and greater psychological well-being. For women, more time spent going out with friends was also associated with greater social support, fewer current illnesses, and less social dysfunction, whereas for men it was associated with lower self-esteem, less environmental mastery, less autonomy, and more severe depression symptoms. For women, more time spent in enjoyable activities was also associated with better self-rated health, fewer somatic and anxiety and insomnia symptoms, less social dysfunction, and greater social support, self-acceptance, positive relationships, and overall psychological well-being. Finally, for women, more time spent exercising was also associated with greater environmental mastery, autonomy, self-esteem, and life satisfaction, while for men, it was also associated with greater social support and fewer anxiety and insomnia symptoms.
4. Discussion
Time is one of the most important resources we have; how we spend our time determines all aspects of our lives, but time use is deeply intertwined with our sociodemographic backgrounds, with social forces shaping inequalities and imbalances in how people use time, affecting the health and well-being of the population (Kan et al. 2021; Tomczyk et al. 2021). This study examined gender differences in time use from adolescence to old age, analyzing the association of such use with sociodemographic characteristics, with women’s and men’s identification with the characteristics of masculine/instrumental and feminine/expressive traits and with women’s and men’s health and well-being.
The results of the present study show that there are statistically significant differences in the way women and men use time, although the effect sizes of the differences vary according to the type of time use analyzed, life cycle stage, and occupation. The largest differences between women’s and men’s time use were found in time spent on housework, with women spending twice as much time per day as men, although there were important differences depending on the life cycle stage and occupation. In adolescence, there were no statistically significant differences in the amount of time women and men spent on housework. From emerging adulthood, the differences began to widen across the life cycle, with women spending on average 20 min more per day on housework than men, 1.5 more hours per day in established adulthood, 2 h per day in midlife, and more than 2.5 h per day in old age. Occupation was also important in the amount of time women spent on housework, ranging from one hour per day for students to almost five hours for homemakers. Although the differences were small among students, with girls spending 11 min more per day than boys, women with manual occupations spent 2 h more per day on housework than men, and professional and non-manual women spent at least 1 h more per day than men. Among women, time spent on housework was closely related to their sociodemographic characteristics, with older women, those with more children and those with less education spending more time per day on housework. These findings are consistent with those from other countries, where women have consistently spent more time per day on housework than men (Anxo et al. 2011; Bianchi et al. 2012; Hagqvist et al. 2012; Kan et al. 2011; Medina-Hernández et al. 2021; Seedat and Rondon 2021). In addition, while for men, more time spent on housework was only statistically significantly associated with greater environmental mastery, for women, more time spent on housework was associated with poorer physical and mental health, lower well-being, and less social support.
Women in emerging adulthood who had children spent almost 5 h more per day caring for children than men in emerging adulthood, although only 2.9% (n = 20) of men and 2.7% (n = 25) of women in this stage of the life cycle had at least one child, so the statistical significance of this difference did not reach the level of significance required in this study (p < 0.001), as it was p = 0.014. In any case, it is noteworthy that this is the period of the life cycle when women and men spend the most time each day caring for their children, probably because they are very young children. There were also important differences between women and men in the amount of time spent each day caring for children in established adulthood, with women spending almost three hours more than men. Although there was considerable variation in the amount of time spent caring for children in midlife, women spent on average one hour more than men at this stage of the life cycle. The average time spent caring for children decreases significantly over the life cycle and almost levels off in old age, suggesting that older people have older children who therefore require less care from their parents. In old age, the average time spent caring for children was very low for both genders, although the standard deviation was high for both women and men, suggesting that there are some women and men who have children with problems and still need parental care. At all occupational levels, women spent more time per day caring for children than men. While men in manual occupations spent on average less than one and a half hours caring for their children, women spent more than two and a half hours. Men in non-manual occupations spent on average less than two hours per day, while women spent just over three and a half hours per day, and while professional men spent on average less than one and a half hours per day, women spent just over three hours per day. For both women and men, more time spent caring for children was associated with better self-reported health, fewer illnesses, less medication use, and greater personal growth, with the associations being very similar for women and men. These findings contrast with those of Roeters and Gracia (2016), who, using data from the 2010 American Time Use Survey, found that fathers experienced childcare time as more meaningful.
The analysis of time spent caring for sick relatives showed great variability at all stages of the cycle, which may be a consequence of the fact that in Spain, many families in the general population do not have sick family members to care for. Although women spent more time than men caring for sick family members from established adulthood to old age, the differences between women and men were statistically significant only in midlife. Women spent more time than men caring for sick family members in all occupational categories except students. In addition, for women only, more time spent caring for sick family members was associated with poorer self-reported health, more somatic and anxiety symptoms and insomnia, and less social support. Overall, these results show that with the exception of adolescence, women spend more time on unpaid work than men, as has been found in other countries (Anxo et al. 2011; Bianchi et al. 2012; Hagqvist et al. 2012; EIGE 2023; International Labour Organization 2023; Kan et al. 2011; Medina-Hernández et al. 2021; Seedat and Rondon 2021). Moreover, the findings from the present study show that unpaid work, with the exception of childcare, has a negative impact on women’s health and well-being that is not evident for men, findings that are consistent with those of other studies (Ervin et al. 2022).
The present study found that on average, men spent more time per week exercising than women, with differences that occurred throughout the life cycle, reaching a maximum in adolescence and emerging adulthood and decreasing with age, with very small differences in midlife and old age. The greater amount of time spent exercising by men compared to women was also found in all occupational categories, although the effect size of the differences depended on the occupational category, which was maximized among students and also statistically significant among people with non-manual occupations and minimized among women and men with manual occupations. Other studies have also found that men spend more time exercising than women and that exercise is associated with younger age (Coen et al. 2018; Forte et al. 2023; Milanović et al. 2013; Oliveira-Brochado et al. 2017; Vilhelmson et al. 2022). More physical exercise was associated with better self-reported health, fewer somatic symptoms, and greater well-being for both women and men. These findings are consistent with previous studies that have found physical exercise to be relevant to an individual’s health and well-being (Biddle et al. 2018; Forte et al. 2023; Kvam et al. 2016; Oliver et al. 2023).
Men also spent more time per day on enjoyable activities than women, although the differences were statistically significant only in established adulthood, where men spent two and a quarter hours per day on activities they wanted to do and enjoyed doing compared with one and a half hours for women, and in old age, where men spent more than three and a half hours per day on enjoyable activities compared with two and a half hours for women. The analysis by occupation showed that the differences in daily time spent on enjoyable activities between women and men in the same occupational group were statistically significant only for those in manual occupations, with men spending one hour more per day on enjoyable activities than women, and with the exception of students, men in all occupational groups spent more time per day on activities they wanted to do and enjoyed doing than women. The fact that women spend more time per day on housework and caring for the family while men spend more time per day on enjoyable activities than women is a finding that may be relevant to increasing knowledge about gender differences in health and well-being found in other studies (Boyd et al. 2015; Seedat et al. 2009; Seedat and Rondon 2021; Viertiö et al. 2021) because although the effect size was very small, in the current study, it was found that for women, more time spent in enjoyable activities was associated with better self-rated health, fewer somatic and anxiety and insomnia symptoms, less social dysfunction, greater psychological well-being, greater life satisfaction, and greater social support, whereas for men it was only associated with greater life satisfaction.
Overall, the results of the present study are consistent with gender stereotypes and roles, where men are associated with an instrumental orientation, in which agency is central, characterized by a focus on the self and prioritizing one’s mastery and goal attainment, while women are associated with an expressive orientation, characterized by a focus on others and their well-being (Bem 1993; Eagly et al. 2020; Helgeson 2015; Priyashantha et al. 2023). The period of the life cycle with the fewest differences in time use between women and men was adolescence, where differences in time use between women and men were found only in weekly time spent on physical activity, with boys spending almost three hours more than girls. In addition to physical exercise, much of adolescents’ daily time was devoted to their favorite activities, which they spent an average of three hours a day doing, followed by studying for girls and going out with friends for boys, with girls spending an average of two and a half hours a day studying and boys spending two hours a day studying. Given that activities such as studying and physical activity were associated with better health and well-being in this study, this suggests that adolescents’ use of time is healthy. It is increasingly recognized that time use is an indicator and determinant of adolescent well-being and that daily activity patterns can improve adolescents’ health and well-being and fulfill their potential for quality of life (Barthorpe et al. 2020; Forte et al. 2023; Hunt and McKay 2015; Parsonage et al. 2022).
The analysis of the association between internalization of masculine/instrumental and feminine/expressive traits characteristics and time use showed that women who identified more with masculine/instrumental trait characteristics such as independence, dominance, or competitiveness spent less time on housework and more time on exercise, going out with friends, enjoyable activities, caring for children, and studying. For men, greater identification with feminine/expressive trait characteristics such as warmth, gentleness, or compassion was associated with more time spent daily on childcare, housework, and studying, whereas greater identification with masculine/instrumental trait characteristics was associated with more time spent on exercise, going out with friends, and studying. Although the effect size was very small, these findings suggest that the internalization of characteristics traditionally associated with masculinity and femininity may also be relevant to time use.
4.1. Limitations
This study has several limitations. First, it is a cross-sectional study, so no conclusions can be drawn about cause and effect. Second, the data were self-reported, which could introduce bias. Third, the differences in time use between age groups could also be due to the generational effect, as Spain has undergone important social changes in recent decades. Fourth, the effect size of the associations between time use and health and well-being was very small. Fifth, although the sample is very large, it was not randomly selected and may not be representative of the Spanish population. In any case, the purpose of the research was to analyze gender differences in time use and their relevance to the health and well-being of women and men. Sixth, in this sample, multivariate outliers were removed, which means that although the results are more generalizable to the general population, they exclude cases of great inequality in time use, such as women who devote most of their time to caring for sick family members. In fact, in the analyses conducted with the sample that included the multivariate outliers, women who spent more time caring for sick family members also had a greater number of illnesses (r = 0.10, p < 0.001) and used a greater number of medications (r = 0.11, p < 0.001). In addition, data collection for the present study ended just as the COVID-19 epidemic began, so there may be current changes caused by this pandemic that are not reflected in the present study. This pandemic has been described as one of the most significant global crises in generations (World Health Organization 2022), affecting multiple facets of life (Miyah et al. 2022), not only because of the direct effects of the disease but also because of the responses to the outbreak, which affected women more than men (Fan and Moen 2022; Morgan et al. 2022; Xue and McMunn 2021). There is also evidence that these measures exacerbated gender inequalities (Lyttelton et al. 2023; Shreeves 2021) and that the unequal division of labor persists for most couples (Cera et al. 2024).
4.2. Future Research
In order to achieve Goal 5 of the United Nations Sustainable Development Goals in the shortest possible time, future research should focus on analyzing the processes and policies and measures that need to be taken to achieve gender equality.
5. Conclusions
Despite these limitations, our findings allow us to conclude that gender is a source of inequality in time use. Overall, men spent more time than women on enjoyment and physical exercise, time uses associated with better health and greater well-being, whereas women spent more time on unpaid work, differences that were greater for the time spent on housework, which was associated with poorer health and well-being for women. This inequality began in adolescence and increased with age, and it was more pronounced among homemakers, women in manual occupations, those with more children, and those with lower levels of education. The results of this study are relevant for the design of policies, programs, and strategies to promote gender equality and improve the health and well-being of the population.
Author Contributions
Conceptualization, M.P.M., J.M.B., M.J.d.P., D.F. and I.I.; methodology, M.P.M. and I.I.; formal analysis, M.P.M. and I.I.; data curation M.P.M., M.J.d.P., D.F. and D.E.H.-L.; writing—original draft preparation, M.P.M. and D.F.; writing—review and editing, M.P.M., J.M.B., M.J.d.P., D.F., I.I. and D.E.H.-L.; funding acquisition, M.P.M., J.M.B. and I.I. All authors have read and agreed to the published version of the manuscript.
Funding
This study was funded by the Ministry of Economy and Competitiveness of Spain, grant number PSI2015-65963R, MINECO/FEDER, UE.
Institutional Review Board Statement
The study was conducted in accordance with the Declaration of Helsinki and approved by the Research Ethics and Animal Welfare Committee of the University of La Laguna (study approval number 2015-0170).
Informed Consent Statement
Informed consent was obtained from all subjects involved in the study.
Data Availability Statement
The datasets used and analyzed within the framework of this study are available from the corresponding author upon reasonable request.
Conflicts of Interest
The authors declare no conflicts of interest. The funders had no role in the design of the study; in the collection, analyses, or interpretation of data; in the writing of the manuscript; or in the decision to publish the results.
References
- Anxo, Dominique, Letizia Mencarini, Ariane Pailhé, Anne Solaz, Maria Letizia Tanturri, and Lennart Flood. 2011. Gender differences in time use over the life course in France, Italy, Sweden, and the US. Feminist Economics 17: 159–95. [Google Scholar] [CrossRef]
- Barthorpe, Amber, Lizzi Winstone, Becky Mars, and Paul Moran. 2020. Is social media screen time really associated with poor adolescent mental health? A time use diary study. Journal of Affective Disorders 274: 864–70. [Google Scholar] [CrossRef] [PubMed]
- Bem, Sandra L. 1981. Bem Sex Role Inventory Professional Manual. Palo Alto: Consulting Psychologists Press. [Google Scholar]
- Bem, Sandra L. 1993. The Lenses of Gender. Transforming the Debate on Sexual Inequality. New Haven: Yale University Press. [Google Scholar]
- Bianchi, Suzanne M., Liana C. Sayer, Melissa A. Milkie, and John P. Robinson. 2012. Housework: Who did, does or will do it, and how much does it matter? Social Forces 91: 55–63. [Google Scholar] [CrossRef]
- Biddle, Stuart H. J., Simone Ciaccioni, George Thomas, and Ineke Vergeer. 2018. Physical activity and mental health in children and adolescents: An updated review of reviews and an analysis of causality. Psychology of Sport and Exercise 10: 410–19. [Google Scholar] [CrossRef]
- Blanca, María J., Rafael Alarcón, Jaume Arnau, Roser Bono, and Rebecca Bendayan. 2017. Non-normal data: Is ANOVA still a valid option? Psicothema 29: 552–57. [Google Scholar] [CrossRef] [PubMed]
- Blanca, María J., Rafael Alarcón, Jaume Arnau, Roser Bono, and Rebecca Bendayan. 2018. Effect of variance ratio on ANOVA robustness: Might 1.5 be the limit? Behavior Research Methods 50: 937–62. [Google Scholar] [CrossRef] [PubMed]
- Bleske-Rechek, April, and Michaela M. Gunseor. 2022. Gendered perspectives on sharing the load: Men’s and women’s attitudes toward family roles and household and childcare tasks. Evolutionary Behavioral Sciences 16: 201–19. [Google Scholar] [CrossRef]
- Boyd, Anders, Sarah Van de Velde, Gemma Vilagut, Ron de Graaf, Siobhan O’Neill, Silvia Florescu, Jordi Alonso, Vivane Kovess-Masfety, and EU-WMH Investigators. 2015. Gender differences in mental disorders and suicidality in Europe: Results from a large cross-sectional population-based study. Journal of Affective Disorders 173: 245–54. [Google Scholar] [CrossRef] [PubMed]
- CEPAL. 2023. Time Use. Available online: https://www.cepal.org/en/subtopics/time-use (accessed on 12 October 2023).
- Cera, Michelle, Golda Kaplan, Kathleen Gerson, and Barbara Risman. 2024. A Case of Sticky Gender? Persistence and Change in the Division of Household Labor during the COVID-19 Pandemic. Social Sciences 13: 182. [Google Scholar] [CrossRef]
- Coen, Stephanie E., Mark W. Rosenberg, and Joyce Davidson. 2018. “It’s gym, like g-y-m not J-i-m”: Exploring the role of place in the gendering of physical activity. Social Science & Medicine 196: 29–36. [Google Scholar] [CrossRef]
- Darmstadt, Gary L., Lori Heise, Geeta Rao Gupta, Sarah Henry, Beniamino Cislaghi, Margaret E. Greene, Sarah Hawkes, Katherine Hay, Jody Heymann, Jeni Klugman, and et al. 2019. Why now for a Series on gender equality, norms, and health? Lancet 393: 2374–77. [Google Scholar] [CrossRef] [PubMed]
- Delgado-Herrera, Maribel, Anabel Claudia Aceves-Gómez, and Azalea Reyes-Aguilar. 2024. Relationship between gender roles, motherhood beliefs and mental health. PLoS ONE 19: e0298750. [Google Scholar] [CrossRef] [PubMed]
- Diener, Ed, Robert Emmons, Randy J. Larsen, and Sharon Griffin. 1985. The satisfaction with Life scale. Journal of Personality Assessment 49: 71–75. [Google Scholar] [CrossRef]
- Eagly, Alice H., Chista Nater, David I. Miller, Michelle Kaufmann, and Sabine Sczesny. 2020. Gender stereotypes have changed: A cross-temporal meta-analysis of U.S. public opinion polls from 1946 to 2018. American Psychologist 75: 301–15. [Google Scholar] [CrossRef] [PubMed]
- EIGE (European Institute for Gender Equality). 2023. A Better Work–Life Balance: Bridging the Gender Care Gap. Available online: https://eige.europa.eu/publications-resources/publications/better-work-life-balance-bridging-gender-care-gap (accessed on 9 October 2023).
- Ervin, Jennifer, Yamna Taouk, Ludmila Fleitas Alfonzo, Belinda Hewitt, and Tania King. 2022. Gender differences in the association between unpaid labour and mental health in employed adults: A systematic review. Lancet Public Health 7: e775–e786. [Google Scholar] [CrossRef] [PubMed]
- Fan, Wen, and Phyllis Moen. 2022. Working more, less or the same during COVID-19? A mixed method, intersectional analysis of remote workers. Work and Occupations 49: 143–86. [Google Scholar] [CrossRef]
- Forte, Chloe, Darragh O’Sullivan, Cillian P. McDowell, Mats Hallgren, Catherine B. Woods, and Matthew P. Herring. 2023. Associations between screen-time, physical activity and depressive symptoms differ based on gender and screen-time mode. European Child & Adolescent Psychiatry 32: 2313–22. [Google Scholar] [CrossRef]
- Freund, Alexandra M. 2020. The bucket list effect: Why leisure goals are often deferred until retirement. American Psychologist 75: 499–510. [Google Scholar] [CrossRef]
- Goldberg, David, Paul Williams, Antonio Lobo, and Pedro Enrique Muñoz. 1996. Cuestionario de Salud General GHQ (General Health Questionnaire). Guía para el Usuario de las Distintas Versiones. Barcelona: Masson. [Google Scholar]
- Hagqvist, Emma, Katja Gillander Gådin, and Mikael Nordenmark. 2012. Division of labor, perceived labor-related stress and well-being among European couples. Open Journal of Preventive Medicine 2: 452–60. [Google Scholar] [CrossRef]
- Harwell, Michael R., Elaine N. Rubinstein, Willians S. Hayes, and Corley C. Olds. 1992. Summarizing Monte Carlo Results in Methodological Research: The One- and Two-Factor Fixed Effects ANOVA Cases. Journal of Educational Statistics 17: 315–39. [Google Scholar] [CrossRef]
- Heise, Lori, Margaret E. Greene, Neisha Opper, Maria Stavropoulou, Caroline Harper, Marcos Nascimento, and Debrework Zewdie. 2019. Gender inequality and restrictive gender norms: Framing the challenges to health. Lancet 393: 2440–54. [Google Scholar] [CrossRef] [PubMed]
- Helgeson, Vicky S. 2015. Gender and personality. In APA Handbook of Personality and Social Psychology. Edited by Mario Mikulincer and Phillip R. Shaver. Washington, DC: American Psychological Association, vol. 4, pp. 515–34. [Google Scholar] [CrossRef]
- Hunt, Eithne, and Elizabeth Anne McKay. 2015. What can be learned from adolescent time diary research. Journal of Adolescent Health 56: 259–66. [Google Scholar] [CrossRef] [PubMed]
- International Labour Organization. 2023. How Much Time Do Women and Men Spend on Unpaid Care Work? Available online: https://www.ilo.org/global/about-the-ilo/multimedia/maps-and-charts/enhanced/WCMS_721348/lang--en/index.htm (accessed on 14 October 2023).
- Kan, Man Yee, Muzhi Zhou, Daniela Veronica Negraia, Kamila Kolpashnikova, Ekaterina Hertog, Shohei Yoda, and Jiweon Jun. 2021. How do older adults spend their time? Gender gaps and educational gradients in time use in East Asian and Western Countries. Population Ageing 14: 537–62. [Google Scholar] [CrossRef]
- Kan, Man Yee, Oriel Sullivan, and Jonathan Gershuny. 2011. Gender convergence in domestic work: Discerning the effects of interactional and institutional barriers from large-scale data. Sociology 45: 234–51. [Google Scholar] [CrossRef]
- Kvam, Siri, Catrine Lykkedrang Kleppe, Inger Hilde Nordhus, and Anders Hovland. 2016. Exercise as a treatment for depression: A meta-analysis. Journal of Affective Disorders 20: 67–86. [Google Scholar] [CrossRef] [PubMed]
- Langer, Ana, Afaf Meleis, Felicia M. Knaul, Rifat Atun, Meltem Aran, Héctor Arreola-Ornelas, Zulfiqar A. Bhutta, Agnes Binagwaho, Ruth Bonita, Jacquelyn M. Caglia, and et al. 2015. Women and Health: The key for sustainable development. Lancet 386: 1165–210. [Google Scholar] [CrossRef] [PubMed]
- Lindqvist, Anna, Marie Gustafsson Sendén, and Emma A. Renström. 2021. What is gender, anyway: A review of the options for operationalising gender. Psychology & Sexuality 12: 332–44. [Google Scholar] [CrossRef]
- Lyttelton, Thomas, Emma Zang, and Kelly Musick. 2023. Parents’ work arrangements and gendered time use during the COVID-19 pandemic. Journal of Marriage and the Family 85: 657–73. [Google Scholar] [CrossRef]
- Manandhar, Mary, Sarah Hawkes, Kent Buse, Elias Nosrati, and Veronica Magar. 2018. Gender, health and the 2030 agenda for sustainable development. Bulletin of the World Health Organization 96: 644–53. [Google Scholar] [CrossRef]
- Matud, M. Pilar. 1998. Social Support Scale [Database Record]. PsycTESTS. Worcester: American Psychological Association. [Google Scholar] [CrossRef]
- Matud, M. Pilar. 2017. Gender and Health. In Gender Differences in Different Contexts. Edited by Aida Alvinius. Rijek: INTECH, pp. 57–76. [Google Scholar] [CrossRef]
- Matud, M. Pilar, Ignacio Ibáñez, Demelsa Fortes, and Juan Manuel Bethencourt. 2023. Adolescent stress, psychological distress and well-being: A gender analysis. Child & Youth Services, 1–24. [Google Scholar] [CrossRef]
- Matud, M. Pilar, Ignacio Ibañez, Rosario Marrero, and Mónica Carballeira. 2003. Diferencias en autoestima en función del género [Gender differences on self-esteem]. Análisis y Modificación de Conducta 29: 51–78. Available online: http://hdl.handle.net/11162/20952 (accessed on 2 March 2024).
- Matud, M. Pilar, Juan Manuel Bethencourt, and Ignacio Ibáñez. 2015. Gender differences in psychological distress in Spain. International Journal of Social Psychiatry 61: 560–68. [Google Scholar] [CrossRef]
- Matud, M. Pilar, Juan Manuel Bethencourt, Ignacio Ibáñez, Demelza Fortes, and Amelia Díaz. 2022. Gender differences in psychological well-being in emerging adulthood. Applied Research in Quality of Life 17: 1001–17. [Google Scholar] [CrossRef]
- Medina-Hernández, Edith Johana, María José Fernández-Gómez, and Inmaculada Barrera-Mellado. 2021. Analysis of time use surveys using CO-STATIS: A multiway data analysis of gender inequalities in time use in Colombia. Sustainability 13: 13073. [Google Scholar] [CrossRef]
- Mehta, Clare M., Jeffrey Jensen Arnett, Carlie G. Palmer, and Larry J. Nelson. 2020. Established adulthood: A new conception of ages 30 to 45. American Psychologist 75: 431–44. [Google Scholar] [CrossRef] [PubMed]
- Milanović, Zoran, Saša Pantelić, Nebojša Trajković, Goran Sporiš, Radmila Kostić, and Nic James. 2013. Age-related decrease in physical activity and functional fitness among elderly men and women. Clinical Interventions in Aging 8: 549–56. [Google Scholar] [CrossRef] [PubMed]
- Miyah, Youssef, Mohammed Benjelloun, Sanae Lairini, and Anissa Lahrichi. 2022. COVID-19 impact on public health, environment, human psychology, global socioeconomy, and education. The Scientific World Journal 2022: 5578284. [Google Scholar] [CrossRef] [PubMed]
- Morgan, Rosemary, Denise Nacef Pimenta, and Denise Rashid. 2022. Gender equality and COVID-19: Act now before it is too late. The Lancet 399: 2327–29. [Google Scholar] [CrossRef] [PubMed]
- Mortensen, Jesper, Nadya Dich, Theis Lange, Kristina Alexanderson, Marcel Goldberg, Jenny Head, Mika Kivimäki, Ida EH Madsen, Reiner Rugulies, Jussi Vahtera, and et al. 2017. Job strain and informal caregiving as predictors of long-term sickness absence: A longitudinal multi-cohort study. Scandinavian Journal of Work, Environment & Health 43: 5–14. [Google Scholar] [CrossRef]
- Oliveira-Brochado, Ana, Pedro Quelhas Brito, and Fernando Oliveira-Brochado. 2017. Correlates of adults’ participation in sport and frequency of sport. Science & Sports 32: 355–63. [Google Scholar] [CrossRef]
- Oliver, David M., Craig McDougall, Tony Robertson, Blair Grant, Nick Hanley, and Richard S. Quilliam. 2023. Self-reported benefits and risks of open water swimming to health, wellbeing and the environment: Cross-sectional evidence from a survey of Scottish swimmers. PLoS ONE 18: e0290834. [Google Scholar] [CrossRef] [PubMed]
- Parsonage, Jackie, Kristine Naylor Lund, Helen Dawes, Hajar Almoajil, and Monna Eklund. 2022. An exploration of occupational choices in adolescence: A constructivist grounded theory study. Scandinavian Journal of Occupational Therapy 29: 464–81. [Google Scholar] [CrossRef] [PubMed]
- Prins, Seth J., Sarah McKetta, Jonathan Platt, Carles Muntaner, Katherine M. Keyes, and Lisa M. Bates. 2019. Mental illness, drinking, and the social division and structure of labor in the United States: 2003–2015. American Journal of Industrial Medicine 62: 131–44. [Google Scholar] [CrossRef] [PubMed]
- Priyashantha, K. G., A. Chamaru De Alwis, and Indumathi Welmilla. 2023. Three perspectives on changing gender stereotypes. FIIB Business Review 12: 120–31. [Google Scholar] [CrossRef]
- Reich-Stiebert, Natalia, Laura Froehlich, and Jan-Bennet Voltmer. 2023. Gendered mental labor: A systematic literature review on the cognitive dimension of unpaid work within the household and childcare. Sex Roles 88: 475–94. [Google Scholar] [CrossRef] [PubMed]
- Ridgeway, Cecilia L., and Shelley J. Correll. 2004. Unpacking the gender system: A theoretical perspective on gender beliefs and social relations. Gender & Society 18: 510–31. [Google Scholar] [CrossRef]
- Risman, Barbara J. 2018. Where the Millennials Will Take Us: A New Generation Wrestles with the Gender Structure. Oxford: Oxford University Press. [Google Scholar]
- Risman, Barbara J., and Georgiann Davis. 2013. From sex roles to gender structure. Current Sociology 61: 733–55. [Google Scholar] [CrossRef]
- Roeters, Anne, and Pablo Gracia. 2016. Child care time, parents’ well-being, and gender: Evidence from the American Time Use Survey. Journal of Child and Family Studies 25: 2469–79. [Google Scholar] [CrossRef] [PubMed]
- Ruppanner, Leah, Maria Brandén, and Jani Turunen. 2018. Does unequal housework lead to divorce? Evidence from Sweden. Sociology 52: 75–94. [Google Scholar] [CrossRef]
- Samtleben, Claire, and Kai-Uwe Müller. 2022. Care and careers: Gender (in)equality in unpaid care, housework and employment. Research in Social Stratification and Mobility 77: 100659. [Google Scholar] [CrossRef]
- Seedat, Soraya, and Marta Rondon. 2021. Women’s wellbeing and the burden of unpaid work. BMJ 374: n1972. [Google Scholar] [CrossRef] [PubMed]
- Seedat, Soraya, Kate Margaret Scott, Matthias C. Angermeyer, Patricia Berglund, Evelyn J. Bromet, Traolach S. Brugha, Koen Demyttenaere, Giovanni de Girolamo, Josep Maria Haro, Robert Jin, and et al. 2009. Cross-national associations between gender and mental disorders in the World Health Organization World Mental Health Surveys. Archives of General Psychiatry 66: 785–95. [Google Scholar] [CrossRef] [PubMed]
- Shatz, Itamar. 2024. Assumption-checking rather than (just) testing: The importance of visualization and effect size in statistical diagnostics. Behavior Research Methods 56: 826–45. [Google Scholar] [CrossRef] [PubMed]
- Shreeves, Rosamund. 2021. COVID-19: The Need for a Gendered Response. European Parliament. Available online: https://www.europarl.europa.eu/RegData/etudes/BRIE/2021/689348/EPRS_BRI(2021)689348_EN.pdf (accessed on 1 April 2024).
- Srivastava, Abhilasha. 2020. Time use and household division of labor in India—Within-gender dynamics. Population and Development Review 46: 249–85. [Google Scholar] [CrossRef]
- Tomczyk, Samuel, Laura Altweck, and Silke Schmidt. 2021. How is the way we spend our time related to psychological wellbeing? A cross-sectional analysis of time-use patterns in the general population and their associations with wellbeing and life satisfaction. BMC Public Health 21: 1858. [Google Scholar] [CrossRef] [PubMed]
- United Nations. 2023. Sustainable Development Goals. Goal 5: Achieve Gender Equality and Empower All Women and Girls. Available online: https://www.un.org/sustainabledevelopment/gender-equality/ (accessed on 10 October 2023).
- United Nations. 2024. 2030 Agenda in Lain America and the Caribbean. Goal 5: Achieve Gender Equality and Empower All Women and Girls. Available online: https://agenda2030lac.org/en/sdg/5-gender-equality (accessed on 1 April 2024).
- Van Dierendonck, Dirk, Dario Díaz, Raquel Rodríguez-Carvajal, Amalio Blanco, and Bernardo Moreno-Jiménez. 2008. Ryff’s six-factor model of psychological well-being, a Spanish exploration. Social Indicators Research 87: 473–79. [Google Scholar] [CrossRef]
- Viertiö, Satu, Olli Kiviruusu, Maarit Piirtola, Jaako Kaprio, Tellervo Korhonen, Mauri Marttunen, and Jaana Suvisaari. 2021. Factors contributing to psychological distress in the working population, with a special reference to gender difference. BMC Public Health 21: 611. [Google Scholar] [CrossRef] [PubMed]
- Vilhelmson, Bertil, Eva Thulin, and Erik Elldér. 2022. Time change in the distribution of physical activity and its correlates among retired older Swedish adults: A repeated cross-sectional study from a national survey. BMC Public Health 22: 2055. [Google Scholar] [CrossRef] [PubMed]
- Vitaliano, Peter P., Jianping Zhang, and James M. Scanlan. 2013. Is caregiving hazardous to one’s physical health? A meta-analysis. Psychological Bulletin 129: 946–72. [Google Scholar] [CrossRef]
- Weber, Ann M., Beniamino Cislaghi, Valerie Meausoone, Safa Abdalla, Iván Mejía-Guevara, Pooja Loftus, Emma Hallgren, Ilana Seff, Lindsay Stark, and Cesar G. Victora. 2019. Gender norms and health: Insights from global survey data. Lancet 393: 2455–68. [Google Scholar] [CrossRef]
- World Health Organization. 2022. The Impact of COVID-19 on Mental Health Cannot Be Made Light of. Available online: https://www.who.int/news-room/feature-stories/detail/the-impact-of-covid-19-on-mental-health-cannot-be-made-light-of (accessed on 1 April 2024).
- Xue, Baowen, and Anne McMunn. 2021. Gender differences in unpaid care work and psychological distress in the UK COVID-19 lockdown. PLoS ONE 16: e0247959. [Google Scholar] [CrossRef] [PubMed]
Disclaimer/Publisher’s Note: The statements, opinions and data contained in all publications are solely those of the individual author(s) and contributor(s) and not of MDPI and/or the editor(s). MDPI and/or the editor(s) disclaim responsibility for any injury to people or property resulting from any ideas, methods, instructions or products referred to in the content. |
© 2024 by the authors. Licensee MDPI, Basel, Switzerland. This article is an open access article distributed under the terms and conditions of the Creative Commons Attribution (CC BY) license (https://creativecommons.org/licenses/by/4.0/).


