Abstract
This study presents a method for the automated design of reinforced concrete (RC) beam cross-sections using an artificial neural network (ANN) trained with cost-optimized data generated by the crow search algorithm (CSA). To effectively employ the CSA, recognized for its benefits in addressing engineering problems among metaheuristic algorithms, the design variables of the RC beam cross-section were mediated. The goal is to improve the design efficiency and prediction accuracy by using data with clear trends derived through metaheuristic optimization. The ANN model is trained with input variables, including the design bending moment and the beam height, and outputs design variables, such as the beam width, number of reinforcement bars, and bar diameters. The model trained with the CSA-optimized data is compared with one trained using randomly generated data. The results show that the CSA-trained model achieves a higher prediction accuracy across all the output variables, with a particularly strong linear relationship for beam width. Additionally, a design scenario demonstrates that the CSA-based model can propose a cross-section with an approximately 17.3% cost reduction compared to the random model. The design based on the CSA methodology demonstrates greater efficiency, as it employs a smaller value for the beam width and requires less reinforcement while still satisfying the flexural requirements. Conversely, the design utilizing the random dataset proves inefficient in terms of both the value for the beam width and the reinforcement layout. A SHAP analysis further confirms that the CSA-based model learns more meaningful structural relationships. The findings emphasize the critical role of high-quality training data in ANN-based structural design and suggest the potential for extending the framework to multi-objective design tasks.
1. Introduction
The rapid advancement of artificial intelligence (AI) technologies in recent years has brought transformative changes across various industries [,]. Among these, automated design using artificial neural networks (ANNs), a representative form of AI, has shown great potential for streamlining repetitive and time-consuming design processes [,]. By learning from existing data, ANN-based approaches can significantly enhance design efficiency and cost-effectiveness []. The advantages of ANNs compared to other machine learning (ML) algorithms in the field of supervised learning are prominent in structural engineering []. When solving engineering problems, the choice of appropriate ML algorithms and optimization techniques is mainly determined by the nature and dataset of the problem to be solved []. From this point of view, ANN effectively handles nonlinearity and multivariates in the structure through activation functions, giving advantages in solving engineering problems [,]. These methods have been actively applied in the field of structural engineering to automate design tasks and reduce costs [].
In particular, the application of ANNs to reinforced concrete (RC) structures has been steadily investigated to address various engineering problems, and many studies have validated their successful outcomes [,]. Armaghani et al. estimated the ultimate shear capacity of transversely RC beams using ANN models and demonstrated their reliability by comparing their results with experimental data and prior research []. Abambres and Lantsoght identified that the existing design codes yield overly conservative estimates of the shear capacity of RC slab bridges. They developed predictive models using training data extracted from the literature []. Tran and Kim aimed to predict the punching shear strength of biaxial RC slabs and confirmed that ANN-based predictions were more accurate than those obtained from conventional design codes []. Hong et al. applied an ANN to the design of doubly RC beams and RC columns and proposed a method to efficiently solve reverse design problems [,]. Additionally, Das et al. employed an ANN for the health monitoring of concrete structures and found that the method yielded lower computational errors and improved efficiency compared to the commonly used wavelet transform (WT) technique [].
These studies confirmed that the strong predictive capabilities of ANNs can be effectively applied to the design and safety verification of RC structures. However, structural engineers must consider not only safety, but also economic aspects, such as construction costs. In RC structural design, maximizing cost efficiency is a critical objective. Nonetheless, many previous studies have overlooked the importance of training ANNs with cost-optimized data []. These studies either do not employ optimization techniques for ANNs or apply methods that later optimize the cost of the ANN’s output. This study demonstrates the efficacy of training ANN using cost-optimized training data. This approach facilitates the rapid provision of optimized RC beam cross-sections within the specified range of the training data. Furthermore, the significance of high-quality training data has been consistently emphasized as a key factor in achieving accurate predictions and reliable AI-based designs [,].
The cost optimization of RC structural beams remains a major challenge for many researchers, and numerous studies have utilized metaheuristic algorithms with strong exploitation and exploration capabilities to address this issue [,]. Coello et al. and Koumousis and Arsenis proposed methods for optimizing RC beam design using genetic algorithms (GA), offering more practical solutions than conventional mathematical programming techniques [,]. Bekdaş and Nigdeli employed the teaching–learning-based optimization (TLBO) algorithm and demonstrated its competitiveness by comparing it with the harmony search algorithm (HSA) and bat algorithm (BA) []. In recent years, continued efforts have been made to optimize the cost of RC structural beams using various metaheuristic algorithms, including the JAYA algorithm [,].
Accordingly, this study aims to generate training data for RC beam cross-sections optimized for cost using a metaheuristic algorithm, and to train an ANN model based on these data. We particularly employ the crow search algorithm (CSA), one of the various metaheuristic algorithms. The CSA is an optimization algorithm inspired by the intelligence and food-searching behavior of crows [,,]. Due to its simple structure, it is easy to implement and has been widely applied to various engineering optimization problems. This approach proposes a novel method for the automated minimum-cost design of RC beams and highlights the importance of incorporating cost considerations during the data generation phase. The structure of this paper is as follows: Section 2 presents the theoretical background and relevant prior research; Section 3 describes the research methodology; Section 4 describes method for generating the dataset; Section 5 compares the results obtained from the ANN and design scenarios; and Section 6 concludes the study and outlines future research directions.
2. Theoretical Background
2.1. Artificial Neural Network
ANNs are machine-learning algorithms that mimic the structure and function of the human brain to process and learn from data. They were first introduced by Warren McCulloch and Walter Pitts in 1943 []. As shown in Figure 1, the basic structure of an ANN consists of three layers: the input, hidden layer(s), and output layers. Analogous to the biological brain, neurons and their interconnections are represented in a neural network as nodes and connection weights, respectively.
Figure 1.
Basic structure of ANN.
Each node transmits signals based on specific weights and an activation function, as represented by Equations (1) and (2): where α denotes the learning rate, e is the error, x is the input signal, and ω is the weight corresponding to the input signal []. When the delta rule is applied to Equation (2), it can be expressed as Equation (3). In this context, φ denotes the activation function, and represents the weighted sum at output node i.
ANNs can learn complex nonlinear relationships and effectively model the interactions between design variables and structural performance. These characteristics make ANNs well suited for RC beam cross-section design, where it is necessary to integrate various parameters and derive rational design solutions that comply with relevant design codes and constraints.
2.2. Metaheuristics and Crow Search Algorithm
With the rapid development of the industry, the amount of knowledge and data has been increasing exponentially. As a result, traditional optimization methods based on mathematical theories have shown limitations in solving complex and large-scale real-world problems and are often considered to be inefficient approaches []. To overcome these limitations, the use of metaheuristic algorithms has been actively explored, with related research experiencing rapid growth and expansion over the past two decades []. These algorithms are inspired by nature and biological collective behavior and can be categorized based on their source of inspiration into evolutionary-based, swarm-based, physics-based, and human-behavior-based approaches [].
A key strength of metaheuristic algorithms is their balance between exploration and exploitation. Exploration refers to a broad search across the entire solution space to consider diverse candidate solutions, which is advantageous for finding the global optimum. This characteristic helps to avoid entrapment in local optima by encouraging a wide-ranging search. In contrast, exploitation involves a focused search for promising solutions to improve the quality and facilitate convergence toward the optimal solution. These processes are driven by randomness and probabilistic decisions, making them less dependent on initial solution positions or specific search paths, thereby reducing the likelihood of being trapped in local optima []. Consequently, metaheuristic algorithms are efficient and broadly applicable to nonlinear, high-dimensional, and unstructured problems and have become essential tools in various fields [].
In this study, the metaheuristic algorithm used for the optimal design of RC beam cross-sections is the CSA, a swarm-based approach []. The CSA is inspired by the social behavior of crows and is classified as a swarm intelligence algorithm. It is simple, highly flexible, and well-suited for engineering applications []. By combining memory-sharing mechanisms among individuals with stochastic behavior, the CSA enables the effective exploration of the global optimum while reducing the risk of becoming trapped in local minima. These characteristics make the CSA a promising candidate for achieving the cost-efficient optimization in RC beam structural designs. Algorithm 1 presents the pseudocode of the CSA. It should be noted, however, that this study focuses on evaluating the performance of ANN models trained using the CSA-optimized data, rather than comparing the optimization performance across different metaheuristic algorithms.
| Algorithm 1. Pseudocode of the CSA [] |
| Begin |
| Initialize the parameters: Awareness probability (AP), flight length (fl), Population size (N), Maximum number of iterations (MaxItr). Randomly initialize N crows in the search space. Evaluate the position of the crows. Initialize the memory of each crow. Choose the best global solution from all the crow’s memories. t = 1 While t < MaxItr t = t + 1 For i = 1:N Randomly select the chased crow j to do thievery. If APj(t) ≤ rj(t) else a random position. end if Check the feasibility range of . Evaluate the fitness value of . end for Update the memory of each crow. Update the best global solution and its fitness value. end While Show the results. End |
3. Methodology
This study aims to achieve the automated and cost-efficient design of RC beam cross-sections by generating optimized data and using them to train an ANN model. The progress of optimization uses the CSA among metaheuristic algorithms. The optimized data were then used to train the ANN model, and the resulting model was compared with that trained on randomly generated data in terms of cost efficiency. Figure 2 presents the overall research framework.
Figure 2.
Flowchart of this research.
3.1. Dataset: Optimum Design of RC Beam
Figure 3 illustrates the cross-section of an RC beam subjected to external loads, along with the corresponding strain and stress distributions and the design variables used in the CSA process [,]. For the cost optimization of a four-layer doubly reinforced beam, the CSA design variables include the beam width (b), the number of reinforcement bars in layers 1–4 (nR1–4), and the diameter of reinforcement bars in layers 1–4 (D1–4), as defined in Equation (4). Additionally, we configured the CSA’s preallocation parameter, N, to 500. In the initial stage of optimization, b and D1–4 were randomly assigned within the user-defined minimum and maximum bounds, while nR1–4 was initialized using Equations (5) and (6). Equation (6), from ACI 318-14, delineates the minimum clear spacing for reinforcement in a reinforced concrete beam, where CAmax denotes the maximum size of the concrete aggregate []. Equation (5) specifies the number of reinforcement bars to be arranged in each single layer. Here, Ccover denotes the thickness of the cover for the concrete beam, while Dstirrup signifies the diameter of the stirrup bar. The shear capacity was not considered in the design of the section. Consequently, Dstirrup was utilized solely for calculations in nR. Furthermore, we assumed that the type of stirrup is a closed type of the vertical shape. The values of the fixed variables necessary for calculating nR are summarized in Table 1.
Figure 3.
RC beam section subjected to external bending.
Table 1.
Fixed variable values for calculating nR.
The randomly generated initial matrix undergoes iterative updates through the CSA process, where Equation (7) is used as the fitness function for cost optimization, along with a set of constraint conditions. represents the area of the cross-section, represents the area of the tensile reinforcement, represents the area of the compressive reinforcement, represents the cost per unit volume of concrete, represents the cost per unit weight of reinforcement, and represents the density of the reinforcement. Among these constraints, is introduced to ensure the structural stability and serviceability of the doubly reinforced beam. If a candidate solution satisfies the constraints, a penalty function, P(X), is assigned a value of 1; otherwise, it is set to 106. This process is repeated throughout the CSA iterations, and the solution with the minimum fitness function value is selected from the final generation stored in the memory. As a result, an RC beam cross-section optimized for the required bending moment () and cost was obtained.
If any of the collected data include a value of nR equal to zero, the corresponding D is assigned a minimum allowable value of 10. This adjustment is intended to enhance the accuracy of the ANN model during the training process. Moreover, nR = 0 implies no reinforcement is present in that layer; this condition does not cause issues in the calculation of the design bending moment () of the section and does not affect the evaluation of the objective function F(X).
3.2. ANN Model Design and Train
The ANN model was developed using MATLAB R2023b and Deep Learning Toolbox. The input layer consists of two variables: and beam height (h). The output layer includes the design variables b, nR1–4, and D1–4. Here, is calculated based on cross-section information optimized through the CSA and using the ACI 318-14 design code, while h is provided by the user.
The hidden layer structure comprises 10 layers, each containing 10 neurons. The overall architecture of the ANN model is illustrated in Figure 4. The hyperbolic tangent (Tanh) function was used as the activation function and the mean squared error (MSE) was employed as the loss function. The model was trained using the trainlm function in MATLAB, which implements the Levenberg–Marquardt (LM) algorithm. The LM algorithm combines the advantages of Newton’s method and gradient descent, thereby providing fast convergence []. The trainlm function applies a second-order optimization method using Hessian approximation; thus, it does not require the specification of a learning rate. Equation (8) shows the weight update rule used in the LM algorithm.
Figure 4.
Structure of ANN model.
The maximum number of training iterations was set to 1000, and the early stopping criterion based on validation checks was set to 30. This mechanism is intended to prevent the overfitting of the ANN model. If the validation loss increased consecutively for 30 epochs, the training process was terminated under the assumption that overfitting had occurred.
The proposed method enables the design of RC beam cross-sections with minimum cost using only two input variables: and h. These variables were selected as input data for the following reasons: (i) the designed beam cross-section must be capable of resisting the , and (ii) the h is a critical factor in determining the story height during structural design. Using this approach, users can efficiently obtain detailed cross-sectional design information for beams, traditionally derived through complex and repetitive procedures in practice, using minimal input data.
4. Dataset
This study assesses the efficacy of employing a cost-optimized dataset generated through the CSA by comparing its outcomes with those derived from a randomly generated dataset. Consequently, we generated two independent datasets: one that is optimized for the CSA and another that is generated randomly.
The parameters used in the CSA to generate the dataset for training the ANN model are summarized in Table 2. , which served as a constraint, was varied from 500 to 8000 kN·m in increments of 10 kN·m. h was varied from 500 to 1200 mm in 50 mm increments to ensure a uniform distribution of h values within the dataset. If there is no defined range for the variable h, the CSA dataset exhibits a tendency to favor larger values of h. This inclination is attributed to the higher cost of rebar compared to concrete, prompting the CSA to optimize by enlarging the h dimension of the beam.
Table 2.
CSA parameters for data collection.
For the random sampling process, h is limited to the range of 500 to 1200 mm, and the b is randomly selected within 0.3–0.8 times h. The diameter of the reinforcement bars is randomly selected within the range of 10–30 mm. The number of reinforcement bars are also randomly selected within the allowable range, from the minimum required to the maximum possible number, as determined based on the beam cross-sectional area.
Figure 5 presents a 3D visualization of the datasets generated through the CSA and random sampling. Among the 11,265 data that were generated using combinations of the and h in the CSA method, only 5884 data satisfied all the constraint conditions. Approximately 47.8% of the data (i.e., 5381 samples) were excluded because of constraint violations (i.e., equation ). This high exclusion rate is primarily attributed to the fact that beam cross-sections with small h values are not capable of resisting large , making such configurations infeasible. The distribution of the generated data is presented in Figure 6.
Figure 5.
Dataset for beam section prediction: (a) dataset using CSA; (b) dataset using randomly generated data.
Figure 6.
Dataset distribution set for beam section prediction: (a) dataset using CSA; (b) dataset using randomly generated data.
Figure 7 presents a scaled visualization of the training data corresponding to values in the range of 2000 to 2100 kN·m. In the case of the CSA-based dataset, a clear trend was observed due to the use of cost as the objective function in data generation. This trend reflects the optimization process targeting minimum-cost designs. In contrast, the randomly generated dataset does not exhibit such consistency, as the design variables were selected arbitrarily within their respective ranges, making it difficult to identify any discernible patterns.
Figure 7.
Dataset for beam section prediction at 2000–2100 kN·m: (a) dataset using CSA; (b) dataset using randomly generated data.
For the accurate training of ANN models, it is essential that the training data exhibit clear and consistent trends. In particular, if the training data lack discernible patterns or are heavily affected by noise due to random variability, the model may suffer from overfitting or a poor generalization performance [].
5. Results and Discussion
5.1. Prediction Results
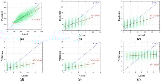
Figure 8 and Figure 9 present the scatter plots of the ANN model predictions trained on the CSA-based and randomly generated datasets, respectively. Each plot includes the coefficient of determination (R2), which serves as an indicator of the model’s generalization performance. An R2 value closer to one suggests a higher level of predictive accuracy and a better generalization capability. Based on the results shown in Figure 8 and Figure 9, the following conclusions can be drawn.
Figure 8.
Results using CSA dataset: (a) b; (b) nR1; (c) nR2; (d) nR3; (e) nR4; (f) D1; (g) D2; (h) D3; (i) D4.

Figure 9.
Results using randomly generated dataset: (a) b; (b) nR1; (c) nR2; (d) nR3; (e) nR4; (f) D1; (g) D2; (h) D3; (i) D4.
- In the two datasets, the coefficients of determination for b were 0.9978 and 0.6656, respectively, indicating the highest prediction accuracy among all the output variables. This result suggests that b has the most linear relationship with the input variables h and . In contrast, the R2 values for nR1–4 and D1–4 were relatively lower, indicating more nonlinear prediction behavior. This can be attributed to the fact that multiple combinations of nR and D can resist the same , illustrating the presence of diverse solution patterns in the design of RC beam cross-sections and the complex interactions among design variables.
- Among the R2 values for nR in both datasets, nR1 yielded the highest values, 0.9143 and 0.4001, respectively. A decreasing trend in R2 was observed from nR1 to nR4. This reflects the typical reinforcement pattern in RC beams, where tensile reinforcement is prioritized over compressive reinforcement under the loading conditions. In other words, tensile reinforcement exhibits a stronger linear relationship with the input variables than compressive reinforcement.
- The R2 values for D showed noticeable differences between the two datasets. In the CSA-based dataset, D2 had the highest R2 value of 0.6778, whereas in the randomly generated dataset, D1 showed the highest R2 value at only 0.0689. Additionally, D1 had the lowest R2 value of 0.2907 in the CSA dataset, while D4 had the lowest value of 0.0037 in the random dataset. The relatively low R2 value of D1 in the CSA dataset is likely due to the tendency of the cost optimization process to favor larger reinforcement bar diameters, depending on the values of h and , rather than producing a wide distribution of diameters.
Overall, the ANN model trained with the CSA-based dataset exhibited stronger linear characteristics and higher R2 values across all the design variables than the model trained with the randomly generated dataset.
Figure 10 presents the Shapley additive explanations (SHAP) analysis results of the CSA-based and randomly generated datasets, visualized on a logarithmic scale. A SHAP analysis is increasingly utilized in machine learning to enhance model interpretability. SHAP values help demystify the predictions of complex models, such as neural networks, quantifying the contribution of each feature to the final output []. In our models, the SHAP analysis quantitatively measures the contribution of input variables h and to the prediction of each output variable. In both datasets, b consistently exhibited the highest contribution, with having a greater influence than h. Notably, the CSA-based dataset demonstrated a more pronounced pattern with significantly higher contributions from key variables, indicating a clearer and stronger structural trend. This suggests that the ANN model trained on the CSA data was able to learn the underlying structural relationships more effectively than the model trained on the random dataset.
Figure 10.
SHAP analysis results: (a) dataset using CSA; (b) dataset using randomly generated data.
5.2. RC Beam Design Scenario
Figure 11 depicts the design scenario of an RC beam that was automatically designed using the trained ANN model. The beam has a span length (L) of 10,000 mm and an h of 1000 mm and is modeled as a statically indeterminate structure with fixed supports at both ends. For , it is assumed that 2500 kN·m acts on the beam. In the automatic design of beam sections, only the variables h and are utilized as input values.
Figure 11.
Scenario model.
The design results for the given scenario based on each dataset are summarized in Table 3. The ANN model trained with the CSA-based dataset proposes a beam cross-section of 520 × 1000 mm, whereas the model trained with the randomly generated dataset suggests a larger section of 591 × 1000 mm. The CSA-based design yields a more efficient solution with a smaller b and less reinforcement, while still satisfying the flexural demand. In contrast, the design based on the random dataset results in an inefficient layout for both the b and reinforcement configuration. The estimated total cost of the structure in the scenario was KRW 947,429.70 for the CSA-based design and KRW 1,145,314.83 for the random design. These results demonstrate a cost reduction of approximately 17.3% when utilizing the CSA-trained model compared to the randomly trained model. However, the cost of this scenario did not account for the inclusion of the vertical stirrup and the length of the rebar settlement. These results highlight the significant influence of training data on the predictive performance of the ANN model and underscore the importance of high-quality optimized data in achieving accurate and efficient design outcomes.
Table 3.
Results of RC beam design scenario.
6. Conclusions and Future Work
This study proposes an approach to optimize training data for the automatic design of RC beams using ANNs, in which the CSA was applied to generate cost-efficient training data.
The structural components were parameterized for the application of the CSA to reinforced concrete sections. The parameterized variables include the height and the width of the beam, as well as the number and the diameter of the reinforcement bars in each reinforcement layer. These determined variables facilitate the derivation of the design bending moment and the cost of the section. The prediction used by ANN relies on two values: the height and the design bending moment of the beam section.
The predictive performance of the ANN model trained with the CSA-based data was compared to that of a model trained using randomly generated data. The CSA-based dataset demonstrated a superior prediction accuracy across all the output variables compared with the random dataset. This performance difference is attributed to the stronger trends and regularities present in the cost-optimized data, which facilitate more effective learning using the ANN model. Among the output variables, b exhibited the highest prediction accuracy, while nR and D showed relatively lower accuracy. Furthermore, a SHAP analysis was employed to enhance the model’s interpretability, thereby facilitating a clearer identification of the relationship between input and output values. This is due to the difference between the linearity and nonlinearity of the training data and is a good example of the RC design problem.
In addition, the construction cost was predicted by assuming a design scenario of a 10 m long structure with fixed supports at both ends. As a result, it was confirmed that the ANN model trained on the CSA dataset reduced the construction cost by approximately 17.3% compared to the model trained on the random dataset.
The ANN model is sensitive to the results predicted by the input variables, and this suggests that predictions can satisfy versatile functions through the optimization of training data for other design purposes, as well as minimum costs. Future research could incorporate additional design objectives, such as carbon emissions and constructability, by generating multi-objective optimized training data. Moreover, as the current study remains at a conceptual level, further development is required to extend the practical automatic design system to be suitable for real-world engineering applications.
Author Contributions
Conceptualization, J.S. (Jaemin So), J.S. (Jonghyeok Seong), S.L. and D.L.; methodology, J.S. (Jaemin So), J.S. (Jonghyeok Seong) and D.L.; software, J.S. (Jonghyeok Seong); validation, J.S. (Jonghyeok Seong) and D.L.; formal analysis, J.S. (Jaemin So); investigation, J.S. (Jaemin So), J.S. (Jonghyeok Seong) and D.L.; data curation, J.S. (Jaemin So), D.L. and S.L.; writing—original draft preparation, J.S. (Jaemin So) and D.L.; writing—review and editing, J.S. (Jaemin So) and D.L.; visualization, J.S. (Jaemin So), J.S. (Jonghyeok Seong), S.L. and D.L.; supervision, S.L. and D.L.; project administration, S.L. and D.L.; funding acquisition, S.L. All authors have read and agreed to the published version of the manuscript.
Funding
This research was supported by the National Research Foundation of Korea (NRF) and was grant-funded by the Ministry of Science and ICT (RS-2024-00352968).
Data Availability Statement
The data are contained within the article. The data from this research can be accessed upon request by contacting the corresponding author.
Conflicts of Interest
The authors declare no conflicts of interest.
References
- Yadav, U.; Shrawankar, U. Artificial Intelligence Across Industries: A Comprehensive Review with a Focus on Education. In AI Applications and Strategies in Teacher Education; Krista, L.K., Ed.; IGI Global: Hershey, PA, USA, 2025; pp. 275–320. [Google Scholar]
- Bhatta, S.; Dang, J. Seismic damage prediction of RC buildings using machine learning. Earthq. Eng. Struct. Dyn. 2023, 52, 3504–3527. [Google Scholar] [CrossRef]
- Hariharan, S.; Karnan, H.; Maheswari, D.U. Automated mechanical ventilator design and analysis using neural network. Sci. Rep. 2025, 15, 3212. [Google Scholar] [CrossRef] [PubMed]
- Aderibigbe, A.A.; Ogunsola, A.D.; Fadiji, E.A.; Adeyi, O.; Adeyi, A.J.; Owoo, E.A. Performance Prediction for Spark Ignition Engines Using Artificial Neural Networks: Model Design and Validation. Asian J. Adv. Res. Rep. 2025, 19, 201–212. [Google Scholar] [CrossRef]
- Zhang, X. Design optimization of irregularity RC structure based on ANN-PSO. Heliyon 2024, 10, e27179. [Google Scholar] [CrossRef]
- Rajput, A. Predictive Modeling of Structural Performance Using Machine Learning: A Comprehensive Review. Int. J. Adv. Eng. AI Robot. Autom. 2024, 1, 34–37. [Google Scholar]
- Alhusban, M.; Alhusban, M.; Alkhawaldeh, A.A. The efficiency of using machine learning techniques in fiber-reinforced-polymer applications in structural engineering. Sustainability 2024, 16, 11. [Google Scholar] [CrossRef]
- Yücel, M.; Bekdaş, G.; Nigdeli, S.M. Evaluation of performance of different machine learning techniques for structural models. In Proceedings of the International Conference on Intelligent Computing & Optimization, Hua Hin, Thailand, 27–28 April 2023. [Google Scholar]
- Kong, X.; Wu, Y.; Zhu, P.; Zhi, P.; Yang, Q. Novel Artificial Neural Network Aided Structural Topology Optimization. Appl. Sci. 2024, 14, 11416. [Google Scholar] [CrossRef]
- Kang, I.S.; Moon, J.W.; Park, J.C. Recent research trends of artificial intelligent machine learning in architectural field-review of domestic and international journal papers. J. Archit. Inst. Korea Struct. Constr. 2017, 33, 63–68. [Google Scholar] [CrossRef]
- Thai, H.T. Machine learning for structural engineering: A state-of-the-art review. Structures 2022, 38, 448–491. [Google Scholar] [CrossRef]
- Negrin, I.; Kripka, M.; Yepes, V. Metamodel-assisted design optimization in the field of structural engineering: A literature review. Structures 2023, 52, 609–631. [Google Scholar] [CrossRef]
- Armaghani, D.J.; Hatzigeorgiou, G.D.; Karamani, C.; Skentou, A.D.; Zoumpoulaki, I.; Asteris, P.G. Soft computing-based techniques for concrete beams shear strength. Procedia Struct. Integr. 2019, 17, 924–933. [Google Scholar] [CrossRef]
- Abambres, M.; Lantsoght, E.O. Neural network-based formula for shear capacity prediction of one-way slabs under concentrated loads. Eng. Struct. 2020, 211, 110501. [Google Scholar] [CrossRef]
- Tran, V.L.; Kim, S.E. A practical ANN model for predicting the PSS of two-way reinforced concrete slabs. Eng. Comput. 2021, 37, 2303–2327. [Google Scholar] [CrossRef]
- Hong, W.K.; Nguyen, V.T.; Nguyen, M.C. Artificial intelligence-based novel design charts for doubly reinforced concrete beams. J. Asian Archit. Build. Eng. 2022, 21, 1497–1519. [Google Scholar] [CrossRef]
- Hong, W.K.; Nguyen, M.C.; Pham, T.D. Optimized Interaction PM diagram for Rectangular Reinforced Concrete Column based on Artificial Neural Networks. J. Asian Archit. Build. Eng. 2023, 22, 201–225. [Google Scholar] [CrossRef]
- Das, S.; Datta, A.K.; Topdar, P.; Pal, A. Innovative approaches to concrete health monitoring: Wavelet transform and artificial intelligence models. Asian J. Civ. Eng. 2024, 26, 107–120. [Google Scholar] [CrossRef]
- Hong, W.K.; Nguyen, M.C.; Pham, T.D. Pre-tensioned concrete beams optimized with a unified function of objective (UFO) using ANN-based Hong-Lagrange method. J. Asian Archit. Build. Eng. 2024, 23, 1573–1595. [Google Scholar] [CrossRef]
- Kim, J.; Lee, D.; Ubysz, A. Comparative analysis of cement grade and cement strength as input features for machine learning-based concrete strength prediction. Case Stud. Constr. Mater. 2024, 21, e03557. [Google Scholar] [CrossRef]
- Afzal, M.; Liu, Y.; Cheng, J.C.; Gan, V.J. Reinforced concrete structural design optimization: A critical review. J. Clean. Prod. 2020, 260, 120623. [Google Scholar] [CrossRef]
- Toklu, Y.C.; Bekdas, G.; Nigdeli, S.M. Metaheuristics for Structural Design and Analysis, 3rd ed.; John Wiley & Sons: Hoboken, NJ, USA, 2021. [Google Scholar]
- Coello, C.C.; Hernández, F.S.; Farrera, F.A. Optimal design of reinforced concrete beams using genetic algorithms. Expert Syst. Appl. 1997, 12, 101–108. [Google Scholar] [CrossRef]
- Koumousis, V.K.; Arsenis, S.J. Genetic algorithms in optimal detailed design of reinforced concrete members. Comput.-Aided Civ. Infrastruct. Eng. 1998, 13, 43–52. [Google Scholar] [CrossRef]
- Bekdaş, G.; Nigdeli, S.M. Optimum design of reinforced concrete beams using teaching-learning-based optimization. In Proceedings of the 3rd International Conference on Optimization Techniques in Engineering (OTENG’15), Rome, Italy, 7–9 November 2015. [Google Scholar]
- Amaral, R.R.; Barazzutti, L.F.; Gomes, H.M. Optimization of reinforced concrete structures using population-based metaheuristic algorithms. Ciência Nat. 2023, 45, e74927. [Google Scholar] [CrossRef]
- Duysak, Y.; Nigdeli, S.M.; Bekdaş, G. Optimum design of reinforced concrete beam sections with JAYA algorithm. Chall. J. Concr. Res. Lett. 2024, 15, 134–141. [Google Scholar] [CrossRef]
- Gupta, D.; Sundaram, S.; Khanna, A.; Ella Hassanien, A.; de Albuquerque, V.H.C. Improved diagnosis of Parkinson’s disease using optimized crow search algorithm. Comput. Electr. Eng. 2018, 68, 412–424. [Google Scholar] [CrossRef]
- Hussien, A.G.; Amin, M.; Wang, M.; Liang, G.; Alsanad, A.; Gumaei, A.; Chen, H. Crow search algorithm: Theory, recent advances, and applications. IEEE Access 2020, 8, 173548–173565. [Google Scholar] [CrossRef]
- Meraihi, Y.; Gabis, A.; Ramdane-Cherif, A.; Acheli, D. A comprehensive survey of Crow Search Algorithm and its applications. Artif. Intell. Rev. 2021, 54, 2669–2716. [Google Scholar] [CrossRef]
- McCulloch, W.S.; Pitts, W.A. logical calculus of the ideas immanent in nervous activity. Bull. Math. Biophys. 1943, 5, 115–133. [Google Scholar] [CrossRef]
- Kim, P. MATLAB Deep Learning, 1st ed.; Apress: Berkeley, CA, USA, 2017; p. 151. [Google Scholar]
- Li, G.; Zhang, T.; Tsai, C.Y.; Yao, L.; Lu, Y.; Tang, J. Review of the metaheuristic algorithms in applications: Visual analysis based on bibliometrics (1994–2023). Expert Syst. Appl. 2024, 255, 124857. [Google Scholar] [CrossRef]
- Ikotun, A.M.; Ezugwu, A.E.; Abualigah, L.; Abuhaija, B.; Heming, J.K. means clustering algorithms: A comprehensive review, variants analysis, and advances in the era of big data. Inf. Sci. 2023, 622, 178–210. [Google Scholar] [CrossRef]
- Lee, D.; Kim, J.; Shon, S.; Lee, S. An Advanced Crow Search Algorithm for Solving Global Optimization Problem. Appl. Sci. 2023, 13, 6628. [Google Scholar] [CrossRef]
- Lee, D.; Kim, H.; Kim, J.; Lee, S. Improved convergence performance of advanced crow search algorithm and application to optimal design of large-scale truss dome structures. J. Asian Archit. Build. Eng. 2024, 1–16. [Google Scholar] [CrossRef]
- Sekar, K.R. Metaheuristic Algorithms in Optimizing Structural Design of Bridges: A Review. Metaheuristic Optim. Rev. 2025, 3, 11–20. [Google Scholar] [CrossRef]
- Askarzadeh, A. A novel metaheuristic method for solving constrained engineering optimization problems: Crow search algorithm. Comput. Struct. 2016, 169, 1–12. [Google Scholar] [CrossRef]
- Zamani, H.; Nadimi-Shahraki, M.H. An evolutionary crow search algorithm equipped with interactive memory mechanism to optimize artificial neural network for disease diagnosis. Biomed. Signal Process. Control 2024, 90, 105879. [Google Scholar] [CrossRef]
- Kaklauskas, G.; Sokolov, A.A. peculiar value of M to Mcr ratio: Reconsidering assumptions of curvature analysis of reinforced concrete beams. Appl. Eng. Sci. 2021, 7, 100053. [Google Scholar]
- ACI CODE-318-14; Building Code Requirements for Structural Concrete and Commentary. American Concrete Institute: Farmington Hills, MI, USA, 2014; p. 411.
- Nu, Q.; Smith, S.M. Direct Differentiation Based Hessian Formulation for Training Multilayer Feed forward Neural Networks using the LM Algorithm-Performance Comparison with Conventional Jacobian-Based Learning. Glob. J. Technol. Optim. 2018, 9, 223. [Google Scholar]
- Xue, Y. An Overview of Overfitting and its Solutions. J. Phys. Conf. Ser. 2019, 1168, 022022. [Google Scholar]
- Greenwood, G.W.; Abbass, H.; Hussein, A. Interpretation of Neural Network Players for a Generalized Divide the Dollar Game Using SHAP Values. In Proceedings of the 2023 IEEE Symposium Series on Computational Intelligence (SSCI), Mexico City, Mexico, 5–8 December 2023. [Google Scholar]
Disclaimer/Publisher’s Note: The statements, opinions and data contained in all publications are solely those of the individual author(s) and contributor(s) and not of MDPI and/or the editor(s). MDPI and/or the editor(s) disclaim responsibility for any injury to people or property resulting from any ideas, methods, instructions or products referred to in the content. |
© 2025 by the authors. Licensee MDPI, Basel, Switzerland. This article is an open access article distributed under the terms and conditions of the Creative Commons Attribution (CC BY) license (https://creativecommons.org/licenses/by/4.0/).

