Study on the Bending-Shear Performance of Sandwich Insulation Composite Wall Panels with GFRP Connectors After Fatigue Damage
Abstract
1. Introduction
2. Experimental Investigation
2.1. Specimen Design
2.2. Specimen Fabrication
2.3. Experimental Loading Scheme
3. Specimen Failure and Failure Characteristics Analysis
3.1. Static Load Failure Characteristics
3.1.1. Uniaxial Tensile Failure
3.1.2. Unidirectional Bending-Shear Failure
3.2. Fatigue Damage Characteristics
3.3. Static Load Failure Characteristics After Fatigue Damage
4. Experimental Results and Analysis
4.1. Unidirectional Test Results
4.1.1. Unidirectional Tensile Ultimate Load Capacity
4.1.2. Unidirectional Bending-Shear Ultimate Load Capacity
4.2. Fatigue Damage Test Results
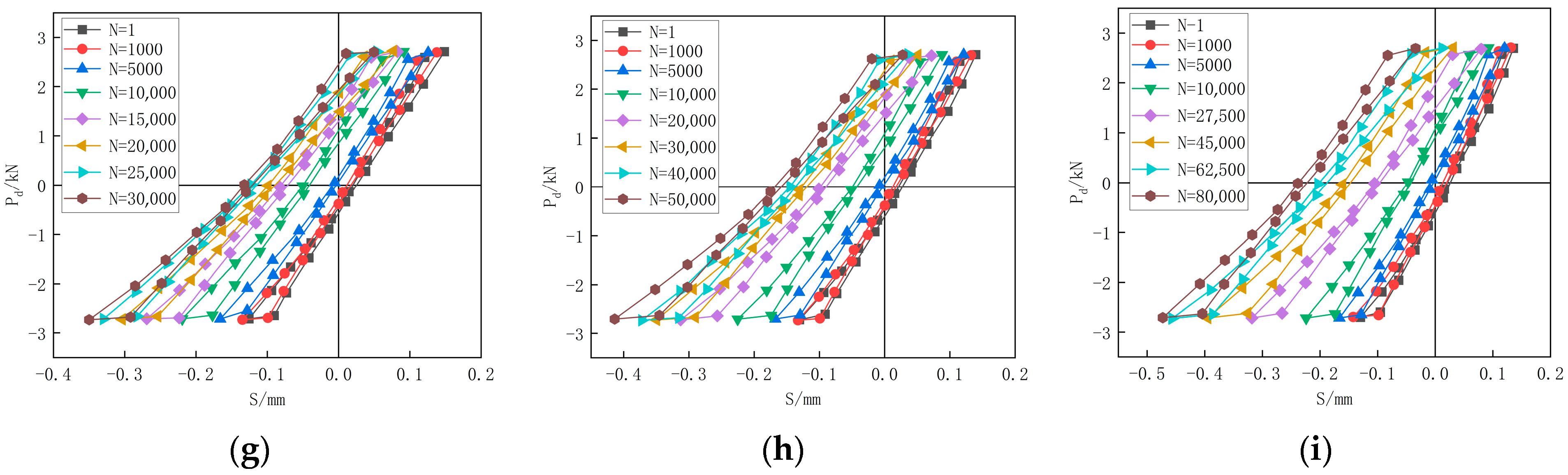
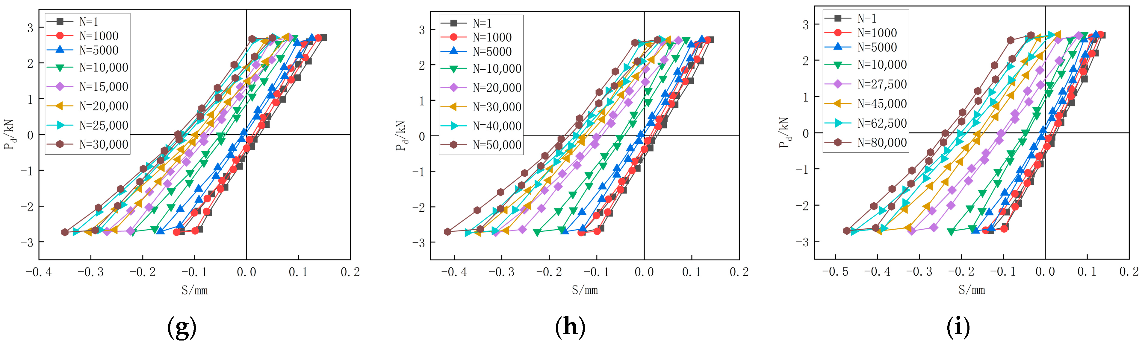
4.2.1. Damage Hysteresis Curve
4.2.2. Fatigue Damage Degree Calculation
4.3. Bending-Shear Mechanical Performance Test Results After Fatigue Damage
4.3.1. Bending-Shear Load-Carrying Capacity After Fatigue Damage
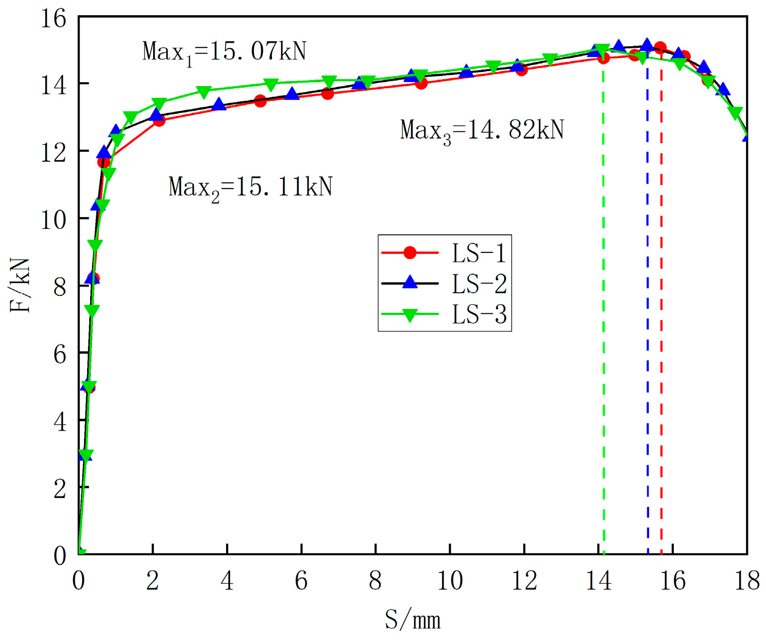
4.3.2. Load–Displacement Curve
4.3.3. The Law of Bearing Capacity Variation
5. Analysis of the Degree of Influence of Dual Factors on Bending-Shear Capacity
6. Conclusions
- (1)
- The GFRP tie bars of the sandwich insulation composite wall panel exhibit two distinct failure modes, namely, tie bar fracture and concrete crushing in the anchorage zone, as the load amplitude increases. Compared to the number of cyclic loads, the load amplitude has a greater influence on the failure modes of the GFRP tie bars.
- (2)
- The GFRP tie bar specimens of the sandwich insulation composite wall panel were tested after 30,000, 50,000, and 80,000 cycles of loading. These specimens showed no significant failure characteristics, except for cracking between the insulation board and the concrete board. Additionally, the three-stage fatigue damage model was used to calculate the damage degree of the GFRP tie bars. Under load amplitudes of 2.7 kN, 4.0 kN, and 5.4 kN, the damage degree was found to range between 0.33 and 0.76 after 30,000 to 80,000 cycles of loading.
- (3)
- Under fatigue loading, the bending-shear capacity of the GFRP tie bars exhibits a “slow at first, then rapid” degradation pattern. In the static load failure tests after fatigue, the load amplitude was 2.7 kN, and the number of cycles was 30,000. Under these conditions, the degradation of bending-shear capacity was minimal. The capacity decreased by only 1.82% compared to the ultimate capacity of the undamaged specimen. However, when the load amplitude is 5.4 kN and the number of cycles reaches 80,000, the degradation of bending-shear capacity is most pronounced, reaching 37.11%.
- (4)
- Two-factor analysis of variance was performed. The results show that load amplitude has a significant impact on the bending-shear capacity of the sandwich insulation composite wall panel GFRP tie bars. Fatigue loading cycles also have a significant impact on the bending-shear capacity. Compared to load amplitude, the number of cyclic loads has a more significant effect on the bending-shear capacity of the specimens.
Author Contributions
Funding
Data Availability Statement
Conflicts of Interest
References
- Ministry of Housing and Urban-Rural Development: Issued the “14th Five-Year Plan for Building Energy Conservation and Green Building Development”. Energy Conserv. Environ. Prot. 2022, 3, 6.
- Einea, A.; Salmon, D.C.; Fogarasi, G.J.; Culp, T.D.; Tadros, M.K. State-of-the-art of precast concrete sandwich panels. PCI J. 1991, 36, 78–98. [Google Scholar] [CrossRef]
- Abdul Ghafar, W.; Tao, Z.; Tao, Y.; He, Y.; Wu, L.; Zhang, Z. Experimental and numerical study of an innovative infill web-strips steel plate shear wall with rigid beam-to-column connections. Buildings 2022, 12, 1560. [Google Scholar] [CrossRef]
- Abdul Ghafar, W.; Zhong, T.; Abid, M.; Faizan, E.; Mohamed, A.; Yosri, A.M. Seismic performance investigation of an innovative steel shear wall with semi-rigid beam-to-column connections. Front. Mater. 2022, 9, 1075300. [Google Scholar] [CrossRef]
- Wu, X.G.; Tao, X.K.; Yu, S.Y.; Li, S.; Zang, R.; Liu, H.; Qian, Q.; Xin, S. Research Progress on the Application of High-Performance Composite Sandwich Exterior Wall Panels. J. Build. Struct. 2020, S01, 611–616. [Google Scholar]
- Guo, M.P.; Chen, G.X.; Zhang, Y.C.; Liu, J. Study on the Mechanical Properties of GFRP-Y Type Tie-Bonded Components for Sandwich Insulated Composite Wall Panels. Compos. Sci. Eng. 2024, 1–11. [Google Scholar]
- Chen, A.; Norris, T.G.; Hopkins, P.M.; Yossef, M. Experimental Investigation and Finite Element Analysis of Flexural Behavior ofInsulated Concrete Sandwich Panels with FRP Plate Shear Connectors. Eng. Struct. 2015, 98, 95–108. [Google Scholar] [CrossRef]
- Cadenazzi, T.; Dotelli, G.; Rossini, M.; Nolan, S.; Nanni, A. Cost and environmental analyses of reinforcement alternatives for a concrete bridge. Struct. Infrastruct. Eng. 2020, 16, 787–802. [Google Scholar]
- Manalo, A.; Maranan, G.; Benmokrane, B.; Cousin, P.; Alajarmeh, O.; Ferdous, W.; Liang, R.; Hota, G. Comparative durability of GFRP composite reinforcing bars in concrete and in simulated concrete environments. Cem. Concr. Compos. 2020, 109, 103564. [Google Scholar] [CrossRef]
- Maranan, G.; Manalo, A.; Benmokrane, B.; Karunasena, W.; Mendis, P.; Nguyen, T. Shear behaviour of geopolymer-concrete beams transversely reinforced with continuous rectangular GFRP composite spirals. Compos. Struct. 2018, 187, 454–465. [Google Scholar] [CrossRef]
- Dutta, D.; Jawdhari, A.; Fam, A. A New Studded Precast Concrete Sandwich Wall with Embedded Glass-Fiber Reinforced Polymer Channel Sections. PCI J. 2020, 65, 78–99. [Google Scholar] [CrossRef]
- Huang, J.; Dai, J. Direct shear tests of glass fiber reinforced polymer connectors for use in precast concrete sandwich panels. Compos. Struct. 2019, 207, 136–147. [Google Scholar]
- Choi, K.B.; Choi, W.C.; Feo, L.; Jang, S.J.; Yun, H.D. In-plane shear behavior of insulated precast concrete sandwich panels reinforced with corrugated GFRP shear connectors. Compos. Part B 2015, 79, 419–429. [Google Scholar]
- Pan, P.; He, Z.; Wang, H.; Kang, Y. Experimental investigation of C-shaped glass-fiber-reinforced polymer connectors for sandwich insulation wall panels. Eng. Struct. 2022, 250, 113462. [Google Scholar]
- He, Z.; Pan, P.; Ren, J.; Wang, H. Experimental and numerical investigation of novel I-shaped GFRP connectors for insulated precast concrete sandwich wall panels. J. Compos. Constr. 2020, 24, 04020040. [Google Scholar]
- He, Z.Z.; Peng, P.; Wang, H.S. Study on the Axial Performance of GFRP Connectors for Sandwich Insulated Walls. Eng. Mech. 2021, 38, 112–121. [Google Scholar]
- Choi, I.; Kim, J.H.; You, Y.C. Effect of cyclic loading on composite behavior of insulated concrete sandwich wall panels with GFRP shear connectors. Compos. Part B Eng. 2016, 96, 7–19. [Google Scholar]
- Mincigrucci, L.; Civera, M.; Lenticchia, E.; Ceravolo, R.; Rosano, M.; Russo, S. Comparative structural analysis of GFRP, reinforced concrete, and steel frames under seismic loads. Materials 2023, 16, 4908. [Google Scholar] [CrossRef]
- Chu, K.; Hossain, K.M.A.; Lachemi, M. Experimental and numerical study on joint-free bridges with steel or gfrp-reinforced ecc link slab subjected to static loading. Constr. Build. Mater. 2022, 327, 127035. [Google Scholar] [CrossRef]
- Cox, B.; Syndergaard, P.; Al-Rubaye, S.; Pozo-Lora, F.F.; Tawadrous, R.; Maguire, M. Lumped GFRP star connector system for partial composite action in insulated precast concrete sandwich panels. Compos. Struct. 2019, 229, 111465. [Google Scholar]
- Mocko, W. The influence of stress-controlled tensile fatigue loading on the stress-strain characteristics of AISI 1045 steel. Mater. Des. 2014, 58, 145–153. [Google Scholar]
- Zhang, C.; Wang, R.; Zhu, H. Experimental study on mechanical properties of Q690 high strength steel after fatigue damage. Jianzhu Jiegou Xuebao 2021, 42, 177–184. [Google Scholar]
- Mariappan, K.; Shankar, V.; Sandhya, R.; Bhaduri, A.K.; Laha, K. A comparative evaluation of the effect of low cycle fatigue and creep-fatigue interaction on surface morphology and tensile properties of 316 L (N) stainless steel. Met. Mater. Trans. A 2016, 47, 1575–1586. [Google Scholar]
- Mariappan, K.; Shankar, V.; Sandhya, R.; Mathew, M.D.; Bhaduri, A.K. Influence ofprior fatigue damage on tensile properties of 316 L (N) stainless steel and modified 9Cr1Mo steel. Met. Mater. Trans. A 2015, 46, 989–1003. [Google Scholar]
- Luo, N.; Zhou, T.; Zhang, C. Mechanical properties of Q345 structural steel after pre-fatigue loading. Structures 2023, 56, 104944. [Google Scholar]
- Mariappan, K.; Shankar, V.; Sandhya, R.; Bhaduri, A.K.; Laha, K. Comparative assessment of remnant tensile properties of modified 9Cr-1Mo steel under prior low cycle fatigue and creep-fatigue interaction loading. Int. J. Fatigue 2017, 103, 342–352. [Google Scholar]
- Wang, X.; Zhang, W.; Ni, J.; Zhang, T.; Gong, J.; Wahab, M.A. Quantitative description between pre-fatigue damage and residual tensile properties of P92 steel. Mater. Sci. Eng. A 2019, 744, 415–425. [Google Scholar]
- Hamdoon, M.; Das, S.; Zamani, N.; Grenier, D. Experimental study on the effect of strain cycles on mechanical properties of AISI 1022 steel. Strain 2011, 47, 386–392. [Google Scholar]
- Moćko, W.; Brodecki, A.; Kruszka, L. Mechanical response of dual phase steel at quasistatic and dynamic tensile loadings after initial fatigue loading. Mech. Mater. 2016, 92, 18–27. [Google Scholar]
- Moćko, W.; Kruszka, L. A viscoplastic response of a dual phase steel exposed to prior cyclic loadings. Mech. Mater. 2017, 113, 126–135. [Google Scholar]
- Xu, J.; Zhu, P.; Qu, W. Experimental study on the fatigue bond behavior of concrete beams reinforced with hybrid fiber-reinforced polymer and steel bars. Struct. Concr. 2023, 24, 6451–6466. [Google Scholar] [CrossRef]
- Deng, W.; Xiong, Y.; Liu, D.; Zhang, J. Static and fatigue behavior of shear connectors for a steel-concrete composite girder. J. Constr. Steel Res. 2019, 159, 134–146. [Google Scholar] [CrossRef]
- Wang, B.; Huang, Q.; Zhou, Y.; Li, W. Study on the Residual Mechanical Properties of PBL Shear-Resistant Connectors after Fatigue. J. Hunan Univ. Nat. Sci. Ed. 2017, 44, 128–135. [Google Scholar]
- Liang, G.; Yang, J.N.; Li, S.M.; Liu, H. Study on the Mechanical Properties of Q460 High-Strength Steel Staggered Hole Plates after Fatigue Damage. J. Vib. Shock 2023, 42, 307–315. [Google Scholar]
- Huang, Y.P.; Zheng, X.H.; Zhou, H.; Guo, X.; Han, Q. Fatigue Performance of CFRP-Concrete Interface. J. South China Univ. Technol. Nat. Sci. Ed. 2012, 40, 184–189. [Google Scholar]
























| Compressive Strength (MPa) | Tensile Strength (MPa) | Modulus of Elasticity (GPa) |
|---|---|---|
| 33.6 | 2.7 | 28.9 |
| D (mm) | Tensile Strength (MPa) | Yield Strength (MPa) | Modulus of Elasticity (GPa) |
|---|---|---|---|
| 6 | 579 | 395 | 200 |
| 8 | 586 | 407 | 200 |
| Tensile Strength (MPa) | Tensile Modulus of Elasticity (GPa) | Compressive Strength (MPa) | Compressive Modulus of Elasticity (GPa) | Bending-Shear Strength (MPa) |
|---|---|---|---|---|
| 800 | 58.9 | 429 | 85.82 | 47.8 |
| Number | Pmax/kN | Pmin/kN | Pd/kN | N/Cycle | n/Cycle | D |
|---|---|---|---|---|---|---|
| PS1-A-1/2 | 12 | 1.2 | 5.4 | 116,071 | 30,000 | 0.43 |
| PS1-B-1/2 | 50,000 | 0.57 | ||||
| PS1-C-1/2 | 80,000 | 0.76 | ||||
| PS2-A-1/2 | 9 | 0.9 | 4.0 | 162,978 | 30,000 | 0.38 |
| PS2-B-1/2 | 50,000 | 0.47 | ||||
| PS2-C-1/2 | 80,000 | 0.61 | ||||
| PS3-A-1/2 | 6 | 0.6 | 2.7 | 256,073 | 30,000 | 0.33 |
| PS3-B-1/2 | 50,000 | 0.39 | ||||
| PS3-C-1/2 | 80,000 | 0.48 |
| Number | Pd/kN | N/Cycle | F/kN | Fa/kN | S/mm | Sa/mm |
|---|---|---|---|---|---|---|
| ZJ-1 | 0 | 0 | 8.92 | 9.35 | 5.44 | 6.06 |
| ZJ-2 | 9.97 | 6.16 | ||||
| ZJ-3 | 9.16 | 6.59 | ||||
| PS1-A-1 | 5.4 | 30,000 | 8.15 | 8.26 | 7.88 | 7.97 |
| PS1-A-2 | 8.37 | 8.06 | ||||
| PS2-A-1 | 4.0 | 9.05 | 8.96 | 6.79 | 6.85 | |
| PS2-A-2 | 8.87 | 6.91 | ||||
| PS3-A-1 | 2.7 | 9.01 | 9.18 | 5.99 | 6.21 | |
| PS3-A-2 | 9.35 | 6.43 | ||||
| PS1-B-1 | 5.4 | 50,000 | 6.98 | 7.31 | 8.86 | 8.96 |
| PS1-B-2 | 7.64 | 9.06 | ||||
| PS2-B-1 | 4.0 | 7.61 | 7.83 | 8.22 | 8.25 | |
| PS2-B-2 | 8.05 | 8.28 | ||||
| PS3-B-1 | 2.7 | 8.93 | 8.87 | 7.28 | 7.13 | |
| PS3-B-2 | 8.81 | 6.98 | ||||
| PS1-C-1 | 5.4 | 80,000 | 5.97 | 5.88 | 10.21 | 10.00 |
| PS1-C-2 | 5.79 | 9.79 | ||||
| PS2-C-1 | 4.0 | 6.25 | 6.68 | 9.15 | 9.39 | |
| PS2-C-2 | 7.11 | 9.63 | ||||
| PS3-C-1 | 2.7 | 7.53 | 7.75 | 8.28 | 8.33 | |
| PS3-C-2 | 7.97 | 8.38 |
| Fw/kN | Factor B (Pd) | |||
|---|---|---|---|---|
| B1 = 2.7 kN | B2 = 4.0 kN | B3 = 5.4 kN | ||
| Factor A (cycle) | A1 = 30,000 | 9.18 | 8.96 | 8.26 |
| A2 = 50,000 | 8.87 | 7.83 | 7.31 | |
| A3 = 80,000 | 7.75 | 6.68 | 5.88 | |
| B1 | B2 | B3 | |||
|---|---|---|---|---|---|
| A1 | 9.18 | 8.96 | 8.26 | 8.80 | 0.4616 |
| A2 | 8.87 | 7.83 | 7.31 | 8.00 | 1.2619 |
| A3 | 7.75 | 6.68 | 5.88 | 6.77 | 1.7606 |
| 8.60 | 7.80 | 7.15 | 7.85 | ||
| 1.1318 | 2.6009 | 2.7806 |
| Origin | Sum of Squares | Degrees of Freedom | Sum of Squares | F-Value | Quantile |
|---|---|---|---|---|---|
| A | 6.2742 | r − 1 = 2 | 3.1371 | FA = 38.129 | F0.95(2,4) = 6.94 |
| B | 3.1650 | s − 1 = 2 | 1.5825 | FB = 19.234 | F0.95(2,4) = 6.94 |
| Error | 0.3291 | (r − 1)(s − 1) = 4 | 0.0823 | / | / |
| Sum | 9.7638 | rs − 1 = 8 | / | / | / |
Disclaimer/Publisher’s Note: The statements, opinions and data contained in all publications are solely those of the individual author(s) and contributor(s) and not of MDPI and/or the editor(s). MDPI and/or the editor(s) disclaim responsibility for any injury to people or property resulting from any ideas, methods, instructions or products referred to in the content. |
© 2025 by the authors. Licensee MDPI, Basel, Switzerland. This article is an open access article distributed under the terms and conditions of the Creative Commons Attribution (CC BY) license (https://creativecommons.org/licenses/by/4.0/).
Share and Cite
Liu, J.; He, Y.; Chen, G.; Mao, C. Study on the Bending-Shear Performance of Sandwich Insulation Composite Wall Panels with GFRP Connectors After Fatigue Damage. Buildings 2025, 15, 1004. https://doi.org/10.3390/buildings15071004
Liu J, He Y, Chen G, Mao C. Study on the Bending-Shear Performance of Sandwich Insulation Composite Wall Panels with GFRP Connectors After Fatigue Damage. Buildings. 2025; 15(7):1004. https://doi.org/10.3390/buildings15071004
Chicago/Turabian StyleLiu, Jian, Yating He, Guoxin Chen, and Chenyu Mao. 2025. "Study on the Bending-Shear Performance of Sandwich Insulation Composite Wall Panels with GFRP Connectors After Fatigue Damage" Buildings 15, no. 7: 1004. https://doi.org/10.3390/buildings15071004
APA StyleLiu, J., He, Y., Chen, G., & Mao, C. (2025). Study on the Bending-Shear Performance of Sandwich Insulation Composite Wall Panels with GFRP Connectors After Fatigue Damage. Buildings, 15(7), 1004. https://doi.org/10.3390/buildings15071004
