Study on the Impact of Design Parameters of Photovoltaic Combined Vacuum Glazing (PVCVG) on the Energy Consumption of Buildings in Lhasa
Abstract
1. Introduction
2. Research Methodology
2.1. Research Framework
2.2. Window Units
2.3. Building Prototype Modeling
2.3.1. Geometry and Parameters of Prototype
2.3.2. Scenarios of Window Proportion Design
2.3.3. Weather Data in Building Simulation
2.4. Methodology for the Calculation and Assessment of Energy Performance
2.5. Verification of the Reliability of Simulation Computation
3. Results
3.1. Energy Performance of Typical Window Units
3.1.1. Energy Performance Characteristics of Typical Windows
3.1.2. Net Energy Consumption of Typical Windows
3.1.3. Energy Satisfaction Ratio of PV Windows
3.2. PVCVG Energy Performance with Different Orientation and WWR
3.2.1. Lighting Energy Consumption
3.2.2. Heating Energy Consumption
3.2.3. Cooling Energy Consumption
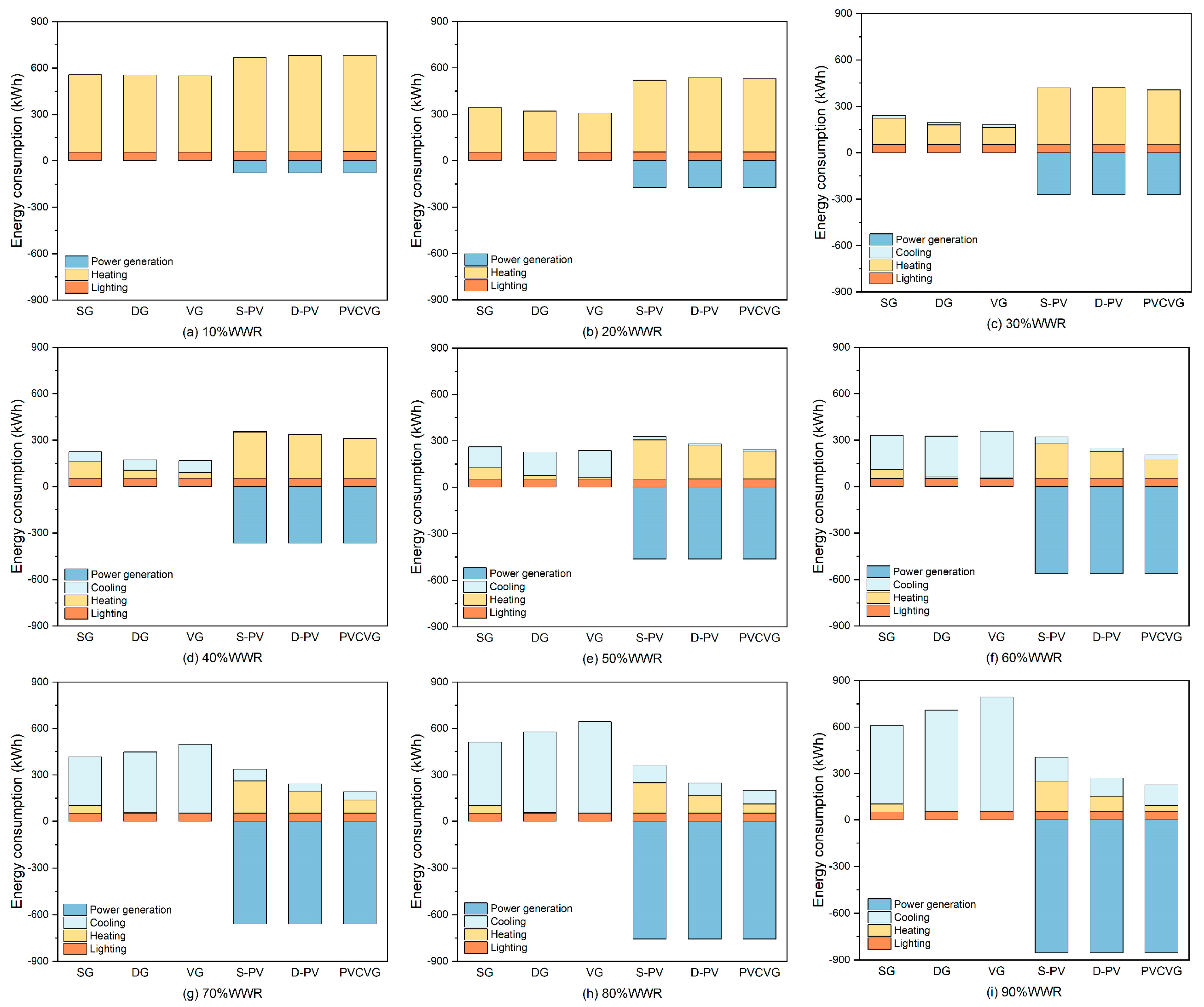
3.2.4. Overall Energy Consumption
3.2.5. Electrical Power Generation
3.2.6. Net Energy Consumption
3.3. Energy Satisfaction Ratio of PVCVG
4. Discussion
5. Conclusions
- When the WWR ≥ 30%, compared to traditional windows (e.g., Single PV Glazing, Double PV Glazing, and Vacuum Glazing), photovoltaic windows (e.g., Single PV Glazing, Double PV Glazing, and PV Combined Vacuum Glazing) greatly reduce the net energy consumption of buildings. However, when the south-facing WWR < 30%, adopting VG windows is more energy-efficient than the three photovoltaic windows.
- The correlation between the net energy consumption and lighting energy consumption is insignificant. The annual energy consumption of traditional windows mainly consists of heating consumption and cooling energy consumption, while the net energy consumption of PV windows is mainly related to heating energy consumption and energy production. When the south-facing WWR ≥ 40%, the energy generated by the three PV windows can meet the building’s requirements.
- The optimal WWR range for the three traditional windows in Lhasa is 30% to 40%. When the WWR is 60%, S-PV achieves its minimum energy consumption. When it is 70%, the lowest energy consumption for D-PV is reached. However, when the WWR amounts to 90%, the abundant energy generated by S-PV and D-PV leads to the lowest net zero energy consumption.
- PVCVG exhibits significant advantages in energy performance when compared among several window types. The best orientation for PVCVG is south, with the lowest annual energy consumption, followed by east and west. PVCVG reaches optimal energy satisfaction when the south-facing WWR is 85%. In the design of PVCVG, the WWR of east-facing windows should be at least 60% and that of west-facing windows should be at least 80% to meet the building’s energy requirements.
Author Contributions
Funding
Data Availability Statement
Conflicts of Interest
References
- Fang, Y.; Hyde, T.J.; Arya, F.; Hewitt, N.; Eames, P.C.; Norton, B.; Miller, S. Indium Alloy-Sealed Vacuum Glazing Development and Context. Renew. Sustain. Energy Rev. 2014, 37, 480–501. [Google Scholar] [CrossRef]
- Shukla, A.K.; Sudhakar, K.; Baredar, P. Recent Advancement in BIPV Product Technologies: A Review. Energy Build. 2017, 140, 188–195. [Google Scholar] [CrossRef]
- Shukla, A.K.; Sudhakar, K.; Baredar, P. A Comprehensive Review on Design of Building Integrated Photovoltaic System. Energy Build. 2016, 128, 99–110. [Google Scholar] [CrossRef]
- Ng, P.K.; Mithraratne, N. Lifetime Performance of Semi-Transparent Building-Integrated Photovoltaic (BIPV) Glazing Systems in the Tropics. Renew. Sustain. Energy Rev. 2014, 31, 736–745. [Google Scholar] [CrossRef]
- Lam, T.C.; Ge, H.; Fazio, P. Energy Positive Curtain Wall Configurations for a Cold Climate Using the Analysis of Variance (ANOVA) Approach. Build. Simul. 2016, 9, 297–310. [Google Scholar] [CrossRef]
- Ghosh, A.; Norton, B.; Duffy, A. Measured Thermal Performance of a Combined Suspended Particle Switchable Device Evacuated Glazing. Appl. Energy 2016, 169, 469–480. [Google Scholar] [CrossRef]
- Meral, M.E.; Dinçer, F. A Review of the Factors Affecting Operation and Efficiency of Photovoltaic Based Electricity Generation Systems. Renew. Sustain. Energy Rev. 2011, 15, 2176–2184. [Google Scholar] [CrossRef]
- Karlsson, J.; Roos, A. Annual Energy Window Performance vs. Glazing Thermal Emittance—the Relevance of Very Low Emittance Values. Thin Solid Film. 2001, 392, 345–348. [Google Scholar] [CrossRef]
- Hee, W.J.; Alghoul, M.A.; Bakhtyar, B.; Elayeb, O.; Shameri, M.A.; Alrubaih, M.S.; Sopian, K. The Role of Window Glazing on Daylighting and Energy Saving in Buildings. Renew. Sustain. Energy Rev. 2015, 42, 323–343. [Google Scholar] [CrossRef]
- Skandalos, N.; Karamanis, D. Investigation of Thermal Performance of Semi-Transparent PV Technologies. Energy Build. 2016, 124, 19–34. [Google Scholar] [CrossRef]
- Uddin, M.M.; Jie, J.; Wang, C.; Zhang, C.; Ke, W. A Review on Photovoltaic Combined Vacuum Glazing: Recent Advancement and Prospects. Energy Build. 2023, 286, 112939. [Google Scholar] [CrossRef]
- Uddin, M.M.; Wang, C.; Zhang, C.; Ji, J. Investigating the Energy-Saving Performance of a CdTe-Based Semi-Transparent Photovoltaic Combined Hybrid Vacuum Glazing Window System. Energy 2022, 253, 124019. [Google Scholar] [CrossRef]
- Zhou, H.; Peng, J.; Shi, W.; Yang, H. The Energy-Saving Potential of Solar PV Vacuum Glazing (SVG) Insulated Facades. J. Build. Eng. 2025, 100, 111719. [Google Scholar] [CrossRef]
- Qiu, C.; Yang, H.; Sun, H. Investigation on the Thermal Performance of a Novel Vacuum PV Glazing in Different Climates. Energy Procedia 2019, 158, 706–711. [Google Scholar] [CrossRef]
- Zhang, W.; Lu, L.; Chen, X. Performance Evaluation of Vacuum Photovoltaic Insulated Glass Unit. Energy Procedia 2017, 105, 322–326. [Google Scholar] [CrossRef]
- Qiu, C.; Yang, H.; Zhang, W. Investigation on the Energy Performance of a Novel Semi-Transparent BIPV System Integrated with Vacuum Glazing. Build. Simul. 2019, 12, 29–39. [Google Scholar] [CrossRef]
- Xu, S.; Liao, W.; Huang, J.; Kang, J. Optimal PV Cell Coverage Ratio for Semi-Transparent Photovoltaics on Office Building Façades in Central China. Energy Build. 2014, 77, 130–138. [Google Scholar] [CrossRef]
- Liao, W.; Xu, S. Energy Performance Comparison among See-through Amorphous-Silicon PV (Photovoltaic) Glazings and Traditional Glazings under Different Architectural Conditions in China. Energy 2015, 83, 267–275. [Google Scholar] [CrossRef]
- Ng, P.; Mithraratne, N.; Kua, H. Energy Analysis of Semi-Transparent BIPV in Singapore Buildings. Energy Build. 2013, 66, 274–281. [Google Scholar] [CrossRef]
- Chow, T.T.; Fong, K.F.; He, W.; Lin, Z.; Chan, A.L.S. Performance Evaluation of a PV Ventilated Window Applying to Office Building of Hong Kong. Energy Build. 2007, 39, 643–650. [Google Scholar] [CrossRef]
- Miyazaki, T.; Akisawa, A.; Kashiwagi, T. Energy Savings of Office Buildings by the Use of Semi-Transparent Solar Cells for Windows. Renew. Energy 2005, 30, 281–304. [Google Scholar] [CrossRef]
- Kapsis, K.; Athienitis, A.K. A Study of the Potential Benefits of Semi-Transparent Photovoltaics in Commercial Buildings. Sol. Energy 2015, 115, 120–132. [Google Scholar] [CrossRef]
- Zhang, W.; Lu, L.; Peng, J.; Song, A. Comparison of the Overall Energy Performance of Semi-Transparent Photovoltaic Windows and Common Energy-Efficient Windows in Hong Kong. Energy Build. 2016, 128, 511–518. [Google Scholar] [CrossRef]
- Olivieri, L.; Caamaño-Martin, E.; Olivieri, F.; Neila, J. Integral Energy Performance Characterization of Semi-Transparent Photovoltaic Elements for Building Integration under Real Operation Conditions. Energy Build. 2014, 68, 280–291. [Google Scholar] [CrossRef]
- Ma, R.; Ma, R.; Long, E. Analysis of the Rule of Window-to-Wall Ratio on Energy Demand of Residential Buildings in Different Locations in China. Heliyon 2023, 9, e12803. [Google Scholar] [CrossRef] [PubMed]
- Alghoul, S.K.; Rijabo, H.G.; Mashena, M.E. Energy Consumption in Buildings: A Correlation for the Influence of Window to Wall Ratio and Window Orientation in Tripoli, Libya. J. Build. Eng. 2017, 11, 82–86. [Google Scholar] [CrossRef]
- Mangkuto, R.A.; Rohmah, M.; Asri, A.D. Design Optimisation for Window Size, Orientation, and Wall Reflectance with Regard to Various Daylight Metrics and Lighting Energy Demand: A Case Study of Buildings in the Tropics. Appl. Energy 2016, 164, 211–219. [Google Scholar] [CrossRef]
- Huang, J.; Lv, H.; Gao, T.; Feng, W.; Chen, Y.; Zhou, T. Thermal Properties Optimization of Envelope in Energy-Saving Renovation of Existing Public Buildings. Energy Build. 2014, 75, 504–510. [Google Scholar] [CrossRef]
- Singh, R.; Lazarus, I.J.; Kishore, V.V.N. Effect of Internal Woven Roller Shade and Glazing on the Energy and Daylighting Performances of an Office Building in the Cold Climate of Shillong. Appl. Energy 2015, 159, 317–333. [Google Scholar] [CrossRef]
- WINDOW|Download|Windows & Daylighting. Available online: https://windows.lbl.gov/window-download (accessed on 6 February 2025).
- Tan, Y.; Peng, J.; Curcija, D.C.; Hart, R.; Jonsson, J.C.; Selkowitz, S. Parametric Study of the Impact of Window Attachments on Air Conditioning Energy Consumption. Sol. Energy 2020, 202, 136–143. [Google Scholar] [CrossRef]
- Alrashidi, H.; Issa, W.; Sellami, N.; Sundaram, S.; Mallick, T. Thermal Performance Evaluation and Energy Saving Potential of Semi-Transparent CdTe in Façade BIPV. Sol. Energy 2022, 232, 84–91. [Google Scholar] [CrossRef]
- Barman, S.; Chowdhury, A.; Mathur, S.; Mathur, J. Assessment of the Efficiency of Window Integrated CdTe Based Semi-Transparent Photovoltaic Module. Sustain. Cities Soc. 2018, 37, 250–262. [Google Scholar] [CrossRef]
- Meng, W.; Jinqing, P.; Hongxing, Y.; Yimo, L. Performance Evaluation of Semi-Transparent CdTe Thin Film PV Window Applying on Commercial Buildings in Hong Kong. Energy Procedia 2018, 152, 1091–1096. [Google Scholar] [CrossRef]
- Ghosh, A.; Norton, B.; Duffy, A. Measured Thermal & Daylight Performance of an Evacuated Glazing Using an Outdoor Test Cell. Appl. Energy 2016, 177, 196–203. [Google Scholar]
- Ghosh, A.; Sundaram, S.; Mallick, T.K. Investigation of Thermal and Electrical Performances of a Combined Semi-Transparent PV-Vacuum Glazing. Appl. Energy 2018, 228, 1591–1600. [Google Scholar] [CrossRef]
- Lee, J.-E. Flexible Unit Floor Plan of a Modular House Considering the Production System. LHI J. Land Hous. Urban Aff. 2021, 12, 67–78. [Google Scholar]
- General Code for Energy Efficiency and Renewable Energy Application in Buildings. Available online: https://www.soujianzhu.cn/NormAndRules/NormContent.aspx?id=509 (accessed on 6 February 2025).
- Design Standard for Energy Efficiency of Residential Buildings in Severe Cold and Cold Zones. Available online: https://gf.cabr-fire.com/article-63026.htm (accessed on 6 February 2025).
- Sun, Y.; Shanks, K.; Baig, H.; Zhang, W.; Hao, X.; Li, Y.; He, B.; Wilson, R.; Liu, H.; Sundaram, S.; et al. Integrated Semi-Transparent Cadmium Telluride Photovoltaic Glazing into Windows: Energy and Daylight Performance for Different Architecture Designs. Appl. Energy 2018, 231, 972–984. [Google Scholar] [CrossRef]
- DesignBuilder Software Ltd.—Simulation. Available online: https://designbuilder.co.uk/simulation (accessed on 6 February 2025).
- Khan, M.I.; Al Huneidi, D.I.; Asfand, F.; Al-Ghamdi, S.G. Climate Change Implications for Optimal Sizing of Residential Rooftop Solar Photovoltaic Systems in Qatar. Sustainability 2023, 15, 16815. [Google Scholar] [CrossRef]
- Wen, K.; He, Y.; Deng, Q.; Sun, J.; Zhou, J. Explore the Energy Performance of a University Building Integrated with Solar PV and Energy Storage. J. Phys. Conf. Ser. 2023, 2422, 12003. [Google Scholar] [CrossRef]
- Dong, Z.; Zhao, K.; Liu, Y.; Ge, J. Performance Investigation of a Net-Zero Energy Building in Hot Summer and Cold Winter Zone. J. Build. Eng. 2021, 43, 103192. [Google Scholar] [CrossRef]
- Yeom, S.; An, J.; Hong, T.; Kim, S. Determining the Optimal Visible Light Transmittance of Semi-Transparent Photovoltaic Considering Energy Performance and Occupants’ Satisfaction. Build. Environ. 2023, 231, 110042. [Google Scholar] [CrossRef]
- Hyun, J.Y.; Park, B.R.; Kim, N.H.; Moon, J.W. Building Energy Performance of DSSC BIPV Windows in Accordance with the Lighting Control Methods and Climate Zones. Sol. Energy 2022, 244, 279–288. [Google Scholar] [CrossRef]
- Xian, G.; Duan, Z.; Shan, K.; Dong, X. Energy-Saving Potential of Building-Integrated Photovoltaic Technology Applied to a Library in Changsha, China. Sustainability 2024, 16, 9565. [Google Scholar] [CrossRef]
- Farouk, N.; Babiker, S.G.; Alqsair, U.F. Boosting Electricity Generation Associated with Saudi Arabi Buildings Using PCM and PV Cells on Walls and Roof Leading to a Sustainable Building. Case Stud. Therm. Eng. 2024, 64, 105444. [Google Scholar] [CrossRef]
- Zukowski, M.; Kosior-Kazberuk, M.; Blaszczynski, T. Energy and Environmental Performance of Solar Thermal Collectors and PV Panel System in Renovated Historical Building. Energies 2021, 14, 7158. [Google Scholar] [CrossRef]
- Willmott, C.; Matsuura, K. Advantages of the Mean Absolute Error (MAE) over the Root Mean Square Error (RMSE) in Assessing Average Model Performance. Clim. Res. 2005, 30, 79–82. [Google Scholar] [CrossRef]
- Hodson, T.O. Root-Mean-Square Error (RMSE) or Mean Absolute Error (MAE): When to Use Them or Not. Geosci. Model Dev. 2022, 15, 5481–5487. [Google Scholar] [CrossRef]
- Musameh, H.; Alrashidi, H.; Al-Neami, F.; Issa, W. Energy Performance Analytical Review of Semi-Transparent Photovoltaics Glazing in the United Kingdom. J. Build. Eng. 2022, 54, 104686. [Google Scholar] [CrossRef]
- Liu, X.; Shen, C.; Bo, R.; Wang, J.; Ardabili, N.G. Experimental Investigation on the Operation Performance of Photovoltaic Double Skin Façade in Winter. Energy 2023, 283, 129040. [Google Scholar] [CrossRef]
- Liu, R.; Wang, G.; Deng, Q. Multi-Objective Optimization of Rural Residential Envelopes in Cold Regions of China Based on Performance and Economic Efficiency. Case Stud. Therm. Eng. 2024, 61, 104937. [Google Scholar] [CrossRef]

















| PVCVG Parameters | PVCVG Structure | ||
|---|---|---|---|
| PV glazing type | Structure | 3.2 mm cover plate + thin-film PV cell + 3.2 mm substrate | ![]() |
| Light transmittance | 40% | ||
| Thin-film cell | CdTe | ||
| Air gap | Thickness | 15 mm | |
| Vacuum glass type | Structure | 5 mm clear glass + 0.2 mm air gap + 5 mm clear glass | |
| Height of pillars | 0.2 mm | ||
| Diameter of pillars | 0.3 mm | ||
| Array spacing | 30 mm | ||
| Pressure | 0.001 pa | ||
| Window Units | Structure | U-Value | SHGC | TVIS |
|---|---|---|---|---|
| Single Glazing (SG) | 5 mm clear glass | 5.913 | 0.864 | 0.899 |
| Double Glazing (DG) | 5 mm clear glass + 15 mm air gap + 5 mm clear glass | 2.730 | 0.768 | 0.814 |
| Vacuum Glazing (VG) | 5 mm clear glass + 0.2 mm vacuum gap + 5 mm clear glass | 2.228 | 0.756 | 0.814 |
| Single PV Glazing (S-PV) | 7 mm PV glazing | 5.261 | 0.571 | 0.435 |
| Double PV Glazing (D-PV) | 7 mm PV glazing + 15 mm air gap + 5 mm clear glass | 2.657 | 0.470 | 0.398 |
| PV Combined Vacuum Glazing (PVCVG) | 7 mm PV glazing + 15 mm air gap + 5 mm clear glass + 0.2 mm vacuum gap + 5 mm clear glass | 1.574 | 0.410 | 0.366 |
Disclaimer/Publisher’s Note: The statements, opinions and data contained in all publications are solely those of the individual author(s) and contributor(s) and not of MDPI and/or the editor(s). MDPI and/or the editor(s) disclaim responsibility for any injury to people or property resulting from any ideas, methods, instructions or products referred to in the content. |
© 2025 by the authors. Licensee MDPI, Basel, Switzerland. This article is an open access article distributed under the terms and conditions of the Creative Commons Attribution (CC BY) license (https://creativecommons.org/licenses/by/4.0/).
Share and Cite
Zhong, L.; Wu, D.; Zhang, B.; Chen, L.; Xie, Y.; Zhang, Y.; Liang, X. Study on the Impact of Design Parameters of Photovoltaic Combined Vacuum Glazing (PVCVG) on the Energy Consumption of Buildings in Lhasa. Buildings 2025, 15, 649. https://doi.org/10.3390/buildings15040649
Zhong L, Wu D, Zhang B, Chen L, Xie Y, Zhang Y, Liang X. Study on the Impact of Design Parameters of Photovoltaic Combined Vacuum Glazing (PVCVG) on the Energy Consumption of Buildings in Lhasa. Buildings. 2025; 15(4):649. https://doi.org/10.3390/buildings15040649
Chicago/Turabian StyleZhong, Luyang, Dan Wu, Bo Zhang, Lixing Chen, Yibing Xie, Yingzi Zhang, and Xinchun Liang. 2025. "Study on the Impact of Design Parameters of Photovoltaic Combined Vacuum Glazing (PVCVG) on the Energy Consumption of Buildings in Lhasa" Buildings 15, no. 4: 649. https://doi.org/10.3390/buildings15040649
APA StyleZhong, L., Wu, D., Zhang, B., Chen, L., Xie, Y., Zhang, Y., & Liang, X. (2025). Study on the Impact of Design Parameters of Photovoltaic Combined Vacuum Glazing (PVCVG) on the Energy Consumption of Buildings in Lhasa. Buildings, 15(4), 649. https://doi.org/10.3390/buildings15040649

