Analysis of the Strength Development, CO2 Emissions, and Optimized Low-Carbon Design of Fly-Ash-Enhanced Composite Concrete
Abstract
1. Introduction
2. Concrete Strength Model
3. CO2 Emissions Model
4. Carbonation Model
- As illustrated in Figure 8a–c, an increase in the FA/(C + FA) resulted in a greater carbonation depth. This occurs because fly ash is less reactive than cement, leading to an increase in concrete’s porosity and a higher CO2 diffusion coefficient.
- Figure 8a–c correspond to W/(C + FA) ratios of 0.50, 0.40, and 0.30, respectively. As the W/(C + FA) ratio decreases, the amount of carbonatable material increases, the porosity decreases, and the carbonation depth significantly decreases.
- Figure 8d shows how the CO2 concentration affects the carbonation depth. An increase in the CO2 concentration leads to an increase in the carbonation depth.
5. Optimal Design of Low-CO2 Composite Concrete with Fly Ash
5.1. Optimized Design—Case 1: 28-Day Design Strengths of 30 (M1), 40 (M2), and 50 MPa (M3), Excluding Carbonation
5.2. Optimized Design—Case 2: Incorporating Carbonation with a 0.04% CO2 Concentration
5.3. Optimized Design—Case 3: High CO2 Concentration of 0.05%
6. Discussions
7. Improvement of the Proposed Optimal Design Model
7.1. Model Limitations—Influence of Aggregates
7.2. Model Limitation—Fixed Water Content Assumption
7.2.1. Optimal Design with a Unit of Water Consumption of 150 kg/m3
Case 1: Carbonation Is Not Considered, with a Water Content of 150 kg/m3
Case 2: CO2 Concentration of 0.04%, with a Water Content of 150 kg/m3
Case 3: CO2 Concentration of 0.05%, with a Water Content of 150 kg/m3
7.2.2. Optimal Design of the Unit of Water Consumption: 200 kg/m3
Case 1: Carbonation Is Not Considered, with a Water Content of 200 kg/m3
Case 2: CO2 Concentration of 0.04%, with a Water Content of 200 kg/m3
Case 3: CO2 Concentration of 0.05%, with a Water Content of 200 kg/m3
7.2.3. Summary of the Influence of Concrete’s Unit of Water Content on the Optimal Mix Ratio
Common Points
Differences
7.3. CO2 Emissions Analysis: Production and Transportation Emissions
7.4. CO2 Emissions Analysis—Regional Variability in Emissions
7.5. Limited Durability Factors
7.6. Assumed CO2 Concentration
7.7. Data Diversity
7.7.1. Outline of Dataset
7.7.2. Regression of the Strength at 28 Days of Age
7.7.3. Optimal Design Constraints
7.7.4. Optimal Design Results
7.7.5. The Impacts of Using Different Datasets on the Optimization of the Design
Difference
Similarities
7.8. Real-World Applicability
7.9. Environmental and Economic Trade-Offs
8. Conclusions
Author Contributions
Funding
Institutional Review Board Statement
Informed Consent Statement
Data Availability Statement
Conflicts of Interest
References
- Yu, J.; Lu, C.; Leung, C.K.Y.; Li, G. Mechanical properties of green structural concrete with ultrahigh-volume fly ash. Constr. Build. Mater. 2017, 147, 510–518. [Google Scholar] [CrossRef]
- Zhang, G.-Z.; Liu, C.; Cheng, P.-F.; Li, Z.; Han, Y.; Wang, X.-Y. Enhancing the interfacial compatibility and self-healing performance of microbial mortars by nano-SiO2-modified basalt fibers. Cem. Concr. Compos. 2024, 152, 105650. [Google Scholar] [CrossRef]
- Nayak, D.K.; Abhilash, P.P.; Singh, R.; Kumar, R.; Kumar, V. Fly ash for sustainable construction: A review of fly ash concrete and its beneficial use case studies. Clean. Mater. 2022, 6, 100143. [Google Scholar] [CrossRef]
- Moghaddam, F.; Sirivivatnanon, V.; Vessalas, K. The effect of fly ash fineness on heat of hydration, microstructure, flow and compressive strength of blended cement pastes. Case Stud. Constr. Mater. 2019, 10, e00218. [Google Scholar] [CrossRef]
- Soutsos, M.; Kanavaris, F.; Elsageer, M. Accuracy of maturity functions’ strength estimates for fly ash concretes cured at elevated temperatures. Constr. Build. Mater. 2021, 266, 121043. [Google Scholar] [CrossRef]
- Hwang, K.; Noguchi, T.; Tomosawa, F. Prediction model of compressive strength development of fly-ash concrete. Cem. Concr. Res. 2004, 34, 2269–2276. [Google Scholar] [CrossRef]
- Papadakis, V.G. Effect of fly ash on Portland cement systems: Part I. Low-calcium fly ash. Cem. Concr. Res. 1999, 29, 1727–1736. [Google Scholar] [CrossRef]
- Han, S.-H.; Kim, J.-K.; Park, Y.-D. Prediction of compressive strength of fly ash concrete by new apparent activation energy function. Cem. Concr. Res. 2003, 33, 965–971. [Google Scholar] [CrossRef]
- Yeh, I.-C. MODELING OF STRENGTH OF HIGH-PERFORMANCE CONCRETE USING ARTIFICIAL NEURAL NETWORKS. Cem. Concr. Res. 1998, 28, 1797–1808. [Google Scholar] [CrossRef]
- Krishnya, S.; Herath, C.; Elakneswaran, Y.; Gunasekara, C.; Law, D.W.; Setunge, S. Modeling of hydration products and strength development for high-volume fly ash binders. Constr. Build. Mater. 2022, 320, 126228. [Google Scholar] [CrossRef]
- Vargas, J.; Halog, A. Effective carbon emission reductions from using upgraded fly ash in the cement industry. J. Clean. Prod. 2015, 103, 948–959. [Google Scholar] [CrossRef]
- Han, Y.; Lin, R.-S.; Wang, X.-Y. Compressive Strength Estimation and CO2 Reduction Design of Fly Ash Composite Concrete. Buildings 2022, 12, 139. [Google Scholar] [CrossRef]
- Wang, J.; Wang, Y.; Sun, Y.; Tingley, D.D.; Zhang, Y. Life cycle sustainability assessment of fly ash concrete structures. Renew. Sustain. Energy Rev. 2017, 80, 1162–1174. [Google Scholar] [CrossRef]
- Papadakis, V.G.; Antiohos, S.; Tsimas, S. Supplementary cementing materials in concrete, Part II: A fundamental estimation of the efficiency factor. Cem. Concr. Res. 2002, 32, 1533–1538. [Google Scholar] [CrossRef]
- Papadakis, V.G.; Tsimas, S. Supplementary cementing materials in concrete Part I: Efficiency and design. Cem. Concr. Res. 2002, 32, 1525–1532. [Google Scholar] [CrossRef]
- Demis, S.; Efstathiou, M.P.; Papadakis, V.G. Computer-aided modeling of concrete service life. Cem. Concr. Compos. 2014, 47, 9–18. [Google Scholar] [CrossRef]
- Mehta, P.; Monterio, P. Concrete-Microstructure-Properties-and-Materials, 3rd ed.; McGraw-Hill Companies: New York, NY, USA, 2006. [Google Scholar]
- Yeh, I.-C. Computer-aided design for optimum concrete mixtures. Cem. Concr. Compos. 2007, 9, 193–202. [Google Scholar] [CrossRef]
- Dinakar, P. Design of self-compacting concrete with fly ash. Mag. Concr. Res. 2012, 64, 401–409. [Google Scholar] [CrossRef]
- Kim, T.; Tae, S.; Roh, S. Assessment of the CO2 emission and cost reduction performance of a low-carbon-emission concrete mix design using an optimal mix design system. Renew. Sustain. Energy Rev. 2013, 25, 729–741. [Google Scholar] [CrossRef]
- Papadakis, V.G. Effect of fly ash on Portland cement systems: Part II. High-calcium fly ash. Cem. Concr. Res. 2000, 30, 1647–1654. [Google Scholar] [CrossRef]
- Papadakis, V.G. Effect of supplementary cementing materials on concrete resistance against carbonation and chloride ingress. Cem. Concr. Res. 2000, 30, 291–299. [Google Scholar] [CrossRef]
- Lam, L.; Wong, Y.L.; Poon, C.S. EFFECT OF FLY ASH AND SILICA FUME ON COMPRESSIVE AND FRACTURE BEHAVIORS OF CONCRETE. Cem. Concr. Res. 1998, 28, 271–283. [Google Scholar] [CrossRef]
- 7D-Software, Auto2Fit 2010. Available online: http://www.7d-soft.com/en/auto2fit.htm (accessed on 30 September 2024).
- MathWorks, MATLAB. in: Moler, C., Ed. 2024. Available online: https://www.mathworks.com/matlabcentral/fileexchange/74447-molarconcentration2molalconcentration2massfractionconverter?s_tid=FX_rc2_behav (accessed on 30 September 2024).
- Bonavetti, V.; Donza, H.; Menéndez, G.; Cabrera, O.; Irassar, E.F. Limestone filler cement in low w/c concrete: A rational use of energy. Cem. Concr. Res. 2003, 33, 865–871. [Google Scholar] [CrossRef]
- Wang, X.-Y.; Park, K.-B. Analysis of compressive strength development of concrete containing high volume fly ash. Constr. Build. Mater. 2015, 98, 810–819. [Google Scholar] [CrossRef]
- Kou, S.C.; Poon, C.S.; Chan, D. Influence of Fly Ash as Cement Replacement on the Properties of Recycled Aggregate Concrete. J. Mater. Civ. Eng. 2007, 19, 709–717. [Google Scholar] [CrossRef]
- Siddique, R. Performance characteristics of high-volume Class F fly ash concrete. Cem. Concr. Res. 2004, 34, 487–493. [Google Scholar] [CrossRef]
- Choi, J.-H.; Kim, D.; Ko, M.-S.; Lee, D.-E.; Wi, K.; Lee, H.-S. Compressive strength prediction of ternary-blended concrete using deep neural network with tuned hyperparameters. J. Build. Eng. 2023, 75, 107004. [Google Scholar] [CrossRef]
- Demis, S.; Papadakis, V.G. A software-assisted comparative assessment of the effect of cement type on concrete carbonation and chloride ingress. Comput. Concr. 2012, 10, 373–389. [Google Scholar] [CrossRef]
- Oh, B.H.; Jang, S.Y. Prediction of diffusivity of concrete based on simple analytic equations. Cem. Concr. Res. 2004, 34, 463–480. [Google Scholar] [CrossRef]
- Song, H.-W.; Kwon, S.-J.; Byun, K.-J.; Park, C.-K. Predicting carbonation in early-aged cracked concrete. Cem. Concr. Res. 2007, 36, 979–989. [Google Scholar] [CrossRef]
- Lim, C.-H.; Yoon, Y.-S.; Kim, J.-H. Genetic algorithm in mix proportioning of high-performance concrete. Cem. Concr. Res. 2004, 34, 409–420. [Google Scholar] [CrossRef]
- Stewart, M.G.; Wang, X.; Nguyen, M.N. Climate change impact and risks of concrete infrastructure deterioration. Eng. Struct. 2011, 33, 1326–1337. [Google Scholar] [CrossRef]
- Campos, H.F.; Klein, N.S.; Marques Filho, J. Proposed mix design method for sustainable high-strength concrete using particle packing optimization. J. Clean. Prod. 2020, 265, 121907. [Google Scholar] [CrossRef]
- Bajaber, M.A.; Hakeem, I.Y. UHPC evolution, development, and utilization in construction: A review. J. Mater. Res. Technol. 2021, 10, 1058–1074. [Google Scholar] [CrossRef]
- Zhang, H.; Liang, Q.; Shao, M.; Jiang, N.; Ma, W.; Ge, Z.; Šavija, B. Optimization of low-carbon lightweight foamed concrete using ground circulating fluidized bed fly ash. J. Clean. Prod. 2025, 489, 144697. [Google Scholar] [CrossRef]
- Larrard, F.d.; Belloc, A. The Influence of Aggregate on the Compressive Strength of Normal and High-Strength Concrete. ACI Mater. J. 1997, 94, 417–426. [Google Scholar]
- Yang, K.-H.; Jung, Y.-B.; Cho, M.-S.; Tae, S.-H. Effect of supplementary cementitious materials on reduction of CO2 emissions from concrete. J. Clean. Prod. 2015, 103, 774–783. [Google Scholar] [CrossRef]
- Yuan, S.; Xu, Z.; Liu, J. Insights and challenges of predicting concrete pumpability: A state-of-art review. J. Build. Eng. 2024, 95, 110265. [Google Scholar] [CrossRef]






















| W/(C + FA) Ratio | Fly Ash Content (%) | 3 | 7 | 28 | 56 | 90 | 180 |
|---|---|---|---|---|---|---|---|
| Age (Days) | |||||||
| 0.3 | 0 | 64.9 | 75.5 | 86.8 | 87.2 | 95.7 | 97.7 |
| 0.3 | 15 | 52.1 | 66.4 | 86.0 | 94.8 | 99.6 | 106.3 |
| 0.3 | 25 | 48.0 | 65.7 | 85.4 | 90.4 | 95.4 | 107.8 |
| 0.3 | 45 | 34.1 | 49.2 | 71.8 | 85.4 | 87.7 | 97.7 |
| 0.3 | 55 | 22.3 | 36.4 | 57.4 | 66.6 | 72.8 | 79.9 |
| 0.4 | 0 | 35.0 | 48.4 | 60.7 | 67.1 | 70.5 | 70.6 |
| 0.4 | 15 | 29.3 | 39.9 | 56.0 | 63.4 | 68.5 | 72.1 |
| 0.4 | 25 | 24.7 | 33.7 | 49.3 | 60.8 | 66.2 | 70.2 |
| 0.4 | 45 | 14.5 | 20.3 | 43.9 | 54.1 | 61.2 | 63.7 |
| 0.4 | 55 | 13.6 | 19.8 | 37.3 | 47.1 | 52.9 | 63.2 |
| 0.5 | 0 | 26.1 | 36.9 | 50.8 | 57.1 | 58.1 | 60.6 |
| 0.5 | 15 | 23.3 | 32.3 | 48.9 | 55.7 | 62.6 | 64.8 |
| 0.5 | 25 | 18.4 | 26.2 | 41.7 | 49.1 | 53.7 | 57.9 |
| 0.5 | 45 | 13.4 | 18.4 | 35.6 | 47.0 | 54.1 | 56.6 |
| 0.5 | 55 | 7.8 | 11.3 | 24.0 | 33.7 | 41.4 | 48.3 |
| p1 | 12.6560781294096 |
| p2 | −737.463018107988 |
| p3 | 5851.6566961759 |
| p4 | 4.74219749077367 |
| p5 | −792.091567707525 |
| p6 | 804.679183423334 |
| p7 | 450.692181214833 |
| p8 | −7.67772411194393 |
| p9 | −21.9581536975 |
| Target function | CO2V |
| Strength constraint | Real strength ≥ design strength |
| Water (slump) constraint | W = 170 kg/m3 |
| Fly ash replacement constraint | FA/(C + FA) ≤ 0.55 |
| Water/binder ratio constraint | 0.3 ≤ W/(C + FA) ≤ 0.5 |
| Carbonation constraint | Carbonation depth ≤ cover depth |
| Case | Mix | Water | Cement | Fly Ash |
|---|---|---|---|---|
| (kg/m3) | ||||
| Case 1 | M1 | 170 | 169.92 | 207.68 |
| M2 | 170 | 200.78 | 245.40 | |
| M3 | 170 | 230.14 | 281.28 | |
| Case 2 | M4 | 170 | 219.66 | 268.47 |
| M5 | 170 | 219.66 | 268.47 | |
| M6 | 170 | 230.14 | 281.28 | |
| Case 3 | M7 | 170 | 235.18 | 287.44 |
| M8 | 170 | 235.18 | 287.44 | |
| M9 | 170 | 235.18 | 287.44 | |
| Case | Mix | W/(C + FA) | FA/(C + FA) | CO2 Emissions (kg/m3) | Carbonation Depth at 50 Years (mm) | Real Strength (MPa) | Design Strength (MPa) |
|---|---|---|---|---|---|---|---|
| Case 1 | M1 | 0.450 | 0.55 | 162.179 | 37.31 | 30 | 30 |
| M2 | 0.381 | 0.55 | 191.633 | 28.86 | 40 | 40 | |
| M3 | 0.332 | 0.55 | 219.656 | 23.17 | 50 | 50 | |
| Case 2 | M4 | 0.348 | 0.55 | 209.653 | 25.00 | 46.37 | 30 |
| M5 | 0.356 | 0.55 | 209.453 | 25.00 | 46.37 | 40 | |
| M6 | 0.332 | 0.55 | 219.656 | 23.17 | 50 | 50 | |
| Case 3 | M7 | 0.325 | 0.55 | 224.466 | 25.00 | 51.76 | 30 |
| M8 | 0.325 | 0.55 | 224.466 | 25.00 | 51.76 | 40 | |
| M9 | 0.325 | 0.55 | 224.466 | 25.00 | 51.76 | 50 |
| Mix | Water | Cement | Fly Ash | |
|---|---|---|---|---|
| (kg/m3) | ||||
| Case 1 | M10 | 150 | 149.93 | 183.24 |
| M11 | 150 | 177.16 | 216.53 | |
| M12 | 150 | 203.06 | 248.19 | |
| Case 2 | M13 | 150 | 201.42 | 246.18 |
| M14 | 150 | 201.42 | 246.18 | |
| M15 | 150 | 203.06 | 248.19 | |
| Case 3 | M16 | 150 | 215.50 | 263.39 |
| M17 | 150 | 215.50 | 263.39 | |
| M18 | 150 | 215.50 | 263.39 | |
| Mix | W/(C + FA) | FA/(C + FA) | CO2 Emissions (kg/m3) | Carbonation Depth at 50 Years (mm) | Real Strength (MPa) | Design Strength (MPa) | |
|---|---|---|---|---|---|---|---|
| Case 1 | M10 | 0.450 | 0.55 | 143.101 | 39.72 | 30 | 30 |
| M11 | 0.381 | 0.55 | 169.090 | 30.72 | 40 | 40 | |
| M12 | 0.332 | 0.55 | 193.819 | 24.66 | 50 | 50 | |
| Case 2 | M13 | 0.335 | 0.55 | 192.242 | 25 | 49.34 | 30 |
| M14 | 0.335 | 0.55 | 192.242 | 25 | 49.34 | 40 | |
| M15 | 0.332 | 0.55 | 193.819 | 25 | 50 | 50 | |
| Case 3 | M16 | 0.313 | 0.55 | 205.686 | 25 | 54.96 | 30 |
| M17 | 0.313 | 0.55 | 205.686 | 25 | 54.96 | 40 | |
| M18 | 0.313 | 0.55 | 205.686 | 25 | 54.96 | 50 |
| Mix | Water | Cement | Fly Ash | |
|---|---|---|---|---|
| (kg/m3) | ||||
| Case 1 | M19 | 200 | 199.91 | 244.33 |
| M20 | 200 | 236.21 | 288.71 | |
| M21 | 200 | 270.76 | 330.92 | |
| Case 2 | M22 | 200 | 245.68 | 300.27 |
| M23 | 200 | 263.69 | 321.80 | |
| M24 | 200 | 270.76 | 330.92 | |
| Case 3 | M25 | 200 | 263.39 | 321.81 |
| M26 | 200 | 263.39 | 321.81 | |
| M27 | 200 | 270.76 | 330.92 | |
| Mix | W/(C + FA) | FA/(C + FA) | CO2 Emissions (kg/m3) | Carbonation Depth at 50 Years (mm) | Real Strength (MPa) | Design Strength (MPa) | |
|---|---|---|---|---|---|---|---|
| Case 1 | M19 | 0.450 | 0.55 | 190.802 | 34.39 | 30 | 30 |
| M20 | 0.381 | 0.55 | 225.454 | 26.61 | 40 | 40 | |
| M21 | 0.332 | 0.55 | 258.425 | 21.36 | 50 | 50 | |
| Case 2 | M22 | 0.342 | 0.55 | 234.490 | 25 | 42.69 | 30 |
| M23 | 0.342 | 0.55 | 258.425 | 25 | 42.69 | 40 | |
| M24 | 0.332 | 0.55 | 258.425 | 21.36 | 50 | 50 | |
| Case 3 | M25 | 0.342 | 0.55 | 251.303 | 25 | 47.79 | 30 |
| M26 | 0.342 | 0.55 | 251.303 | 25 | 47.79 | 40 | |
| M27 | 0.332 | 0.55 | 258.425 | 21.36 | 50 | 50 |
| TD1 | 277 km |
| TD2 | 322 km |
| TC1 | 5.18 × 10−5 kg CO2/(kg·km) |
| TC2 | 5.18 × 10−5 kg CO2/(kg·km) |
| PC | 0.00768 |
| Mix | Water | Cement | Fly Ash | |
|---|---|---|---|---|
| (kg/m3) | ||||
| Case 1 | M28 | 170 | 169.92 | 207.68 |
| M29 | 170 | 200.78 | 245.40 | |
| M30 | 170 | 230.14 | 281.28 | |
| Case 2 | M31 | 170 | 219.66 | 268.47 |
| M32 | 170 | 219.66 | 268.47 | |
| M33 | 170 | 230.14 | 281.28 | |
| Case 3 | M34 | 170 | 235.18 | 287.44 |
| M35 | 170 | 235.18 | 287.44 | |
| M36 | 170 | 235.18 | 287.44 | |
| Mix | W/(C + FA) | FA/(C + FA) | CO2 Emissions (kg/m3) | Carbonation Depth at 50 Years (mm) | Real Strength (MPa) | Design Strength (MPa) | |
|---|---|---|---|---|---|---|---|
| Case 1 | M28 | 0.450 | 0.55 | 170.562 | 37.31 | 30 | 30 |
| M29 | 0.381 | 0.55 | 201.539 | 28.86 | 40 | 40 | |
| M30 | 0.332 | 0.55 | 231.009 | 23.17 | 50 | 50 | |
| Case 2 | M31 | 0.348 | 0.55 | 220.490 | 25.00 | 46.37 | 30 |
| M32 | 0.356 | 0.55 | 220.490 | 25.00 | 46.37 | 40 | |
| M33 | 0.332 | 0.55 | 231.009 | 23.17 | 50 | 50 | |
| Case 3 | M34 | 0.325 | 0.55 | 236.068 | 25.00 | 51.76 | 30 |
| M35 | 0.325 | 0.55 | 236.068 | 25.00 | 51.76 | 40 | |
| M36 | 0.325 | 0.55 | 236.068 | 25.00 | 51.76 | 50 |
| Mix | Water | Cement | Fly Ash | |
|---|---|---|---|---|
| (kg/m3) | ||||
| Case 1 | M37 | 170 | 169.92 | 207.68 |
| M38 | 170 | 200.78 | 245.40 | |
| M39 | 170 | 230.14 | 281.28 | |
| Case 2 | M40 | 170 | 219.66 | 268.47 |
| M41 | 170 | 219.66 | 268.47 | |
| M42 | 170 | 230.14 | 281.28 | |
| Case 3 | M43 | 170 | 235.18 | 287.44 |
| M44 | 170 | 235.18 | 287.44 | |
| M45 | 170 | 235.18 | 287.44 | |
| Mix | W/(C + FA) | FA/(C + FA) | CO2 Emissions (kg/m3) | Carbonation Depth at 50 Years (mm) | Real Strength (MPa) | Design Strength (MPa) | |
|---|---|---|---|---|---|---|---|
| Case 1 | M37 | 0.450 | 0.55 | 163.199 | 37.31 | 30 | 30 |
| M38 | 0.381 | 0.55 | 192.838 | 28.86 | 40 | 40 | |
| M39 | 0.332 | 0.55 | 221.037 | 23.17 | 50 | 50 | |
| Case 2 | M40 | 0.348 | 0.55 | 210.971 | 25.00 | 46.37 | 30 |
| M41 | 0.356 | 0.55 | 210.971 | 25.00 | 46.37 | 40 | |
| M42 | 0.332 | 0.55 | 221.037 | 23.17 | 50 | 50 | |
| Case 3 | M43 | 0.325 | 0.55 | 225.877 | 25.00 | 51.76 | 30 |
| M44 | 0.325 | 0.55 | 225.877 | 25.00 | 51.76 | 40 | |
| M45 | 0.325 | 0.55 | 225.877 | 25.00 | 51.76 | 50 |
| Target function | CO2V = 0.93 × C + 0.02 × FA |
| Strength constraint | Real strength ≥ design strength |
| Water (slump) constraint | W = 170 kg/m3 |
| Fly ash replacement constraint | FA/(C + FA) ≤ 0.55 |
| Water/binder ratio constraint | 0.27 ≤ W/(C + FA) ≤ 0.9 |
| Carbonation constraint | Carbonation depth ≤ cover depth |
| Mix | Water | Cement | Fly Ash | |
|---|---|---|---|---|
| (kg/m3) | ||||
| Case 1 | M46 | 170 | 163.69 | 200.07 |
| M47 | 170 | 205.83 | 251.57 | |
| M48 | 170 | 247.97 | 303.07 | |
| Case 2 | M49 | 170 | 219.66 | 268.47 |
| M50 | 170 | 219.66 | 268.47 | |
| M51 | 170 | 247.97 | 303.07 | |
| Case 3 | M52 | 170 | 235.18 | 287.45 |
| M53 | 170 | 235.18 | 287.45 | |
| M54 | 170 | 247.97 | 303.07 | |
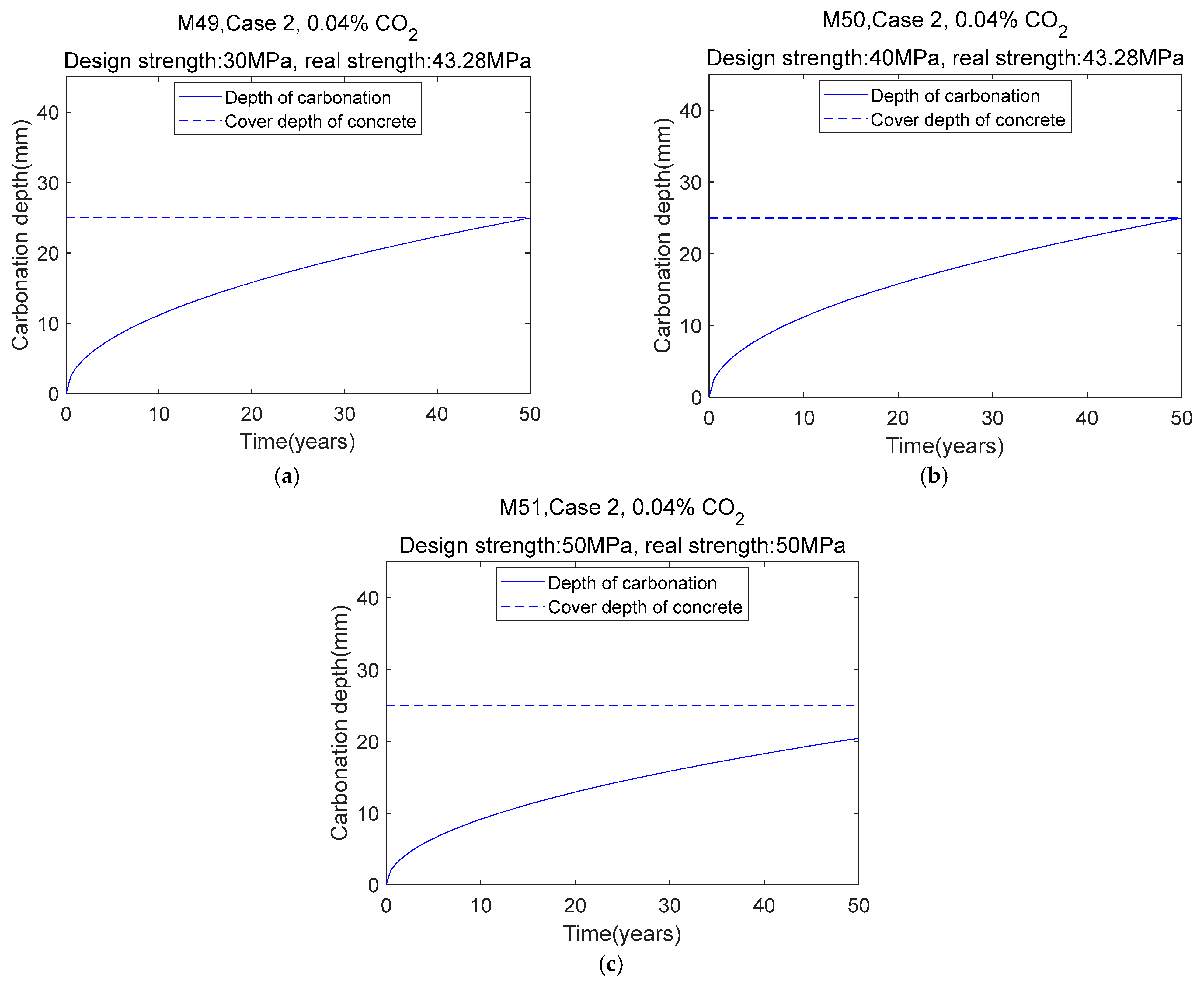
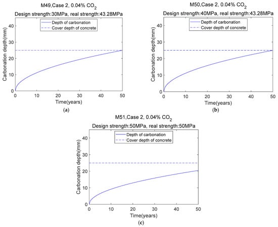
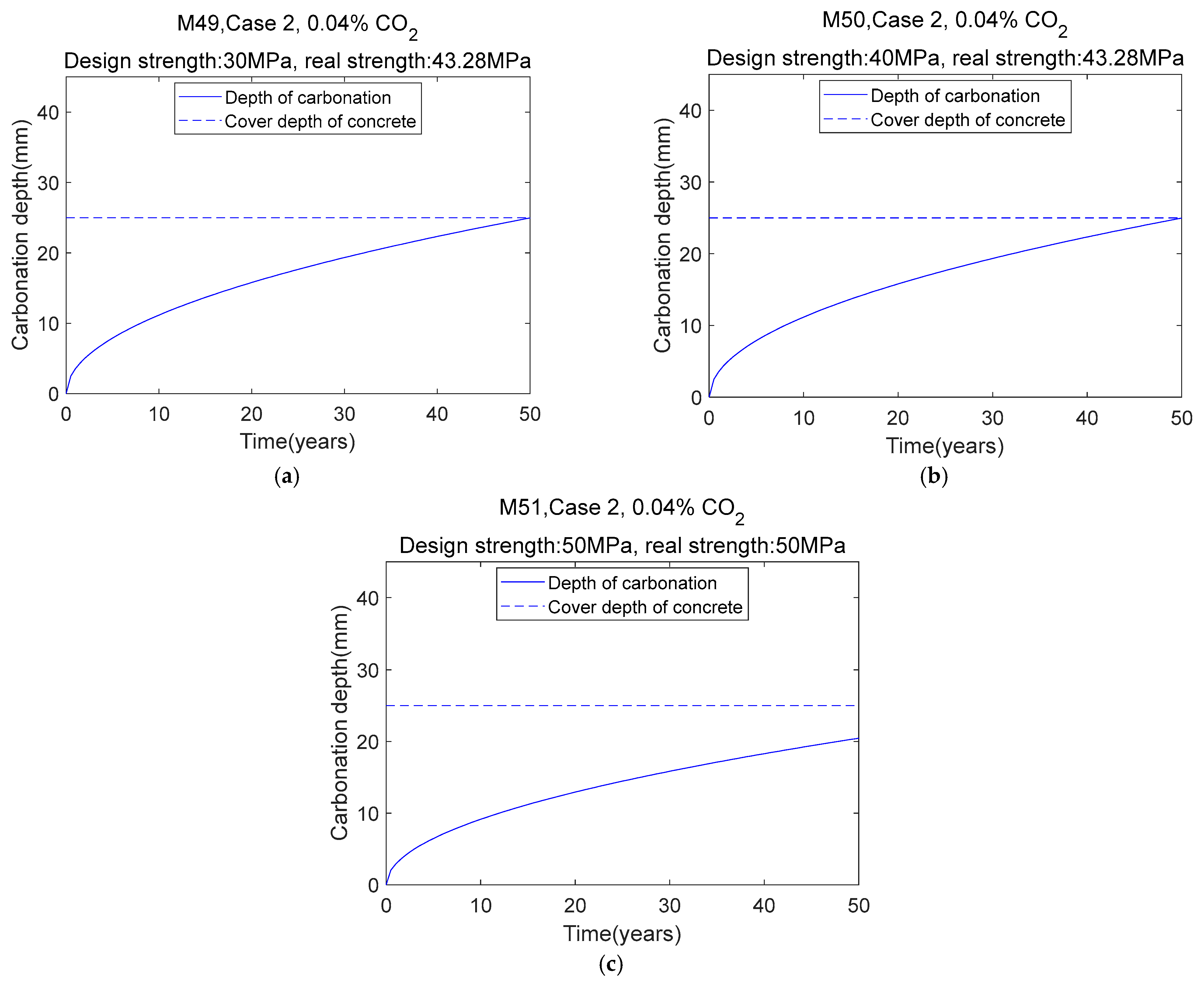
| Mix | W/(C + FA) | FA/(C + FA) | CO2 Emissions (kg/m3) | Carbonation Depth at 50 Years (mm) | Real Strength (MPa) | Design Strength (MPa) | |
|---|---|---|---|---|---|---|---|
| Case 1 | M46 | 0.467 | 0.55 | 156.241 | 39.43 | 30 | 30 |
| M47 | 0.471 | 0.55 | 196..457 | 27.74 | 40 | 40 | |
| M48 | 0.308 | 0.55 | 236.674 | 20.48 | 50 | 50 | |
| Case 2 | M49 | 0.348 | 0.55 | 209.654 | 25 | 43.28 | 30 |
| M50 | 0.348 | 0.55 | 209.654 | 25 | 43.28 | 40 | |
| M51 | 0.308 | 0.55 | 236.674 | 20.48 | 50 | 50 | |
| Case 3 | M52 | 0.325 | 0.55 | 224.472 | 25 | 46.97 | 30 |
| M53 | 0.325 | 0.55 | 224.472 | 25 | 46.97 | 40 | |
| M54 | 0.308 | 0.55 | 236.674 | 22.90 | 50 | 50 |
Disclaimer/Publisher’s Note: The statements, opinions and data contained in all publications are solely those of the individual author(s) and contributor(s) and not of MDPI and/or the editor(s). MDPI and/or the editor(s) disclaim responsibility for any injury to people or property resulting from any ideas, methods, instructions or products referred to in the content. |
© 2025 by the authors. Licensee MDPI, Basel, Switzerland. This article is an open access article distributed under the terms and conditions of the Creative Commons Attribution (CC BY) license (https://creativecommons.org/licenses/by/4.0/).
Share and Cite
Yang, B.; Dong, Y.; Wang, X.-Y. Analysis of the Strength Development, CO2 Emissions, and Optimized Low-Carbon Design of Fly-Ash-Enhanced Composite Concrete. Buildings 2025, 15, 532. https://doi.org/10.3390/buildings15040532
Yang B, Dong Y, Wang X-Y. Analysis of the Strength Development, CO2 Emissions, and Optimized Low-Carbon Design of Fly-Ash-Enhanced Composite Concrete. Buildings. 2025; 15(4):532. https://doi.org/10.3390/buildings15040532
Chicago/Turabian StyleYang, Bo, Yu Dong, and Xiao-Yong Wang. 2025. "Analysis of the Strength Development, CO2 Emissions, and Optimized Low-Carbon Design of Fly-Ash-Enhanced Composite Concrete" Buildings 15, no. 4: 532. https://doi.org/10.3390/buildings15040532
APA StyleYang, B., Dong, Y., & Wang, X.-Y. (2025). Analysis of the Strength Development, CO2 Emissions, and Optimized Low-Carbon Design of Fly-Ash-Enhanced Composite Concrete. Buildings, 15(4), 532. https://doi.org/10.3390/buildings15040532

