Next Article in Journal
Experimental Study on the Out-of-Plane Seismic Performance of Shear Walls with Bolted Connections in Nuclear Power Plants
Previous Article in Journal
Multi-Objective Comparative Analysis of Various Ventilation–Radiant Coupled Heating Systems
 
 
Font Type:
Arial Georgia Verdana
Font Size:
Aa Aa Aa
Line Spacing:
Column Width:
Background:
Article

Structural Analysis Methods and Key Influencing Factors on the Performance of Segmented Steel–Concrete Hybrid Wind Turbine Towers

1
Guiyang Engineering Corporation Limited of Power China, Guiyang 550081, China
2
Department of Structural Engineering, Tongji University, Shanghai 200092, China
3
Tongji Architectural Design (Group) Co., Ltd., Shanghai 200092, China
*
Author to whom correspondence should be addressed.
Buildings 2025, 15(20), 3786; https://doi.org/10.3390/buildings15203786
Submission received: 9 September 2025 / Revised: 9 October 2025 / Accepted: 15 October 2025 / Published: 20 October 2025
(This article belongs to the Section Building Structures)

Abstract

The development of wind power aligns with the strategy of low-carbon development and plays a crucial role in the global transition to a green economy. The segmented steel–concrete wind turbine tower offers advantages such as modular fragment prefabrication, prestressed structural enhancement, and integrated intelligent construction. To investigate the structural performance of such towers, this paper established a numerical model based on an existing project. The model was validated against previous experiments and used for parametric analysis. A numerical model of a segmented steel–concrete wind turbine tower was developed to evaluate its overall deformation, stress distribution, and vertical and horizontal joint separation under various conditions. The concrete segment of the tower was numerically simplified, and a comparative analysis of structural performance was conducted between the detailed and simplified models. Based on the simplified model, the effects of the friction coefficient, prestress loss, and contact area on the anti-slip performance of the transition section of the towers were investigated and analyzed. The results indicated that the validity of the modeling approach was confirmed through the existing experimental results. The top displacement of the model incorporating vertical and horizontal joints (Model 1) did not exceed the limit of 1/100 under the safety factor considerations, indicating that the structure could ensure safety. The simplified model (Model 2) showed consistent behavior with Model 1, thereby providing a reliable basis for parametric studies. A reduction in the steel-to-steel friction coefficient, steel strand prestress, and contact area between the steel transition section and the embedded anchor plate resulted in an increase in the horizontal relative displacement between the steel transition section and the embedded anchor plate to varying extents. Notably, a more pronounced increase in displacement was observed under higher loading conditions. Overall, the horizontal relative displacement between the steel transition section and embedded anchor plate under single-loading conditions was below one millimeter in most of the studied conditions, which was relatively small compared to the assembly tolerance of the structure.

1. Introduction

Wind power represents a form of clean and renewable energy [1,2,3]. The advancement of wind power aligns with the concept of green development, facilitates the transition of the energy structure towards a low-carbon direction, and provides critical support for achieving the goals of carbon peaking and carbon neutrality [4]. With ongoing advancements in wind power technology [5,6], the wind power industry is poised to enter a phase characterized by higher quality and more sustainable development [7,8].
The segmented steel–concrete wind turbine tower is an innovative structural form proposed for ultra-large wind turbines and complex terrain conditions. Its core concept is to solve the bottleneck problems of traditional cast-in-place concrete towers or steel towers in transportation, construction, and environmental adaptability through modular prefabrication, segmented assembly, and material performance optimization [9,10]. A series of research works showed that the segmented steel–concrete wind turbine tower is feasible and applicable. Fürll et al. [11,12] determined the torsional bearing capacity of segmented steel–concrete wind turbine towers under individual and combined loads of prestress, bending, and torsion through experiments and simulation. Zhang et al. [13] obtained the mechanical response and failure mode of the prestressed segmented steel–concrete wind turbine tower through 107 high-cycle fatigue performance tests and large-scale model tests, etc., and verified the feasibility of the structural system and design of the prestressed segmented steel–concrete wind turbine tower.
The size and form of concrete tower parts and connecting pieces affect the strength, stiffness, and reliability of segmented steel–concrete wind turbine towers. Yue et al. [14] established a finite element model of a 40 m cross-section segmented steel–concrete wind turbine tower for modal analysis, and carried out a static analysis of the local refinement model. The results showed that the stiffness of the segmented steel–concrete wind turbine tower could be increased by dividing each segment of the tower part into two sections, increasing the tower part height, and adopting grouting connections of longitudinal and staggered longitudinal joints. Wang et al. [15] analyzed the influence of geometric parameters and reinforcement parameters on the overall response of the segmented steel–concrete wind turbine tower through the local response of connections, including connection curvature, material stress, and strain. The results showed that when there was a significant gap along the tower height, the lateral displacement load could be increased to 2.2 times the decompression load, while the stiffness hardly decreased. Lu et al. [16] studied the load transfer path and stress distribution characteristics of a multi-segment anchorage structure with exposed steel anchor boxes through finite element analysis, and the results showed that the horizontal component was borne by the side plates of steel anchor boxes and the diaphragm and side walls of concrete tower columns while the vertical component was transferred by steel anchor boxes and concrete tower columns. The stud groups of anchor structures mainly bore horizontal and vertical shear forces. Zhang et al. [17] investigated the influence of segment thickness and maximum mass factors of the blades, hub, and nacelle on the natural frequency and vibration mode of precast segmented steel–concrete wind turbine towers and verified the theoretical model of the simplified degree of freedom system by using the finite element analysis results. In addition, the use of ultra-high-performance fiber concrete could significantly improve the strength and stiffness of segmented steel–concrete wind turbine towers under a lateral dynamic load [18].
Current research has largely overlooked the potential slippage at the interface between the steel transition section and the embedded anchor plate in segmented steel–concrete hybrid wind turbine towers. Excessive relative displacement at this interface may induce shear failure of the prestressed strands, posing serious structural safety risks. Moreover, key parameters influencing the anti-slip performance, such as the friction coefficient, prestress loss, and effective contact area, have not been adequately considered in existing studies.
To address these gaps, this study developed a detailed finite element model based on an existing hybrid tower design, which was validated using experimental data from previous work. The model was employed to assess structural performance with emphasis on global deformation, stress distribution in the tower, and the mechanical behavior of vertical and horizontal joints. A simplified numerical approach was introduced for the concrete tower segments to improve computational efficiency. Based on this model, the effects of the friction coefficient, prestress loss, and contact area on the anti-slip behavior of the transition section were systematically investigated and summarized.

2. Structural Configuration

This study focused on a practical project as the analysis object. The project is in a suburb of Anhui Province, China. There are 14 steel–concrete hybrid segmented wind turbine towers with a hub height of 160 m, a rated power of 5 MW, and a rotor diameter of 195 m. The segmented steel–concrete hybrid towers consist of the concrete tower part, transition section, steel tower part, nacelle, and blade (Figure 1). Due to production and transportation reasons, the concrete tower part needs to be segmented horizontally and vertically, forming horizontal and vertical joints. A single piece of concrete tower is called a concrete tower segment, and a tube formed by several concrete segments is called a concrete tower section. When the concrete tower sections are vertically stacked into a tower part, the vertical joints between adjacent sections need to be staggered by a certain angle to keep away from continuous vertical joints.
The steel tower part is not the primary focus of this study, as its structure is relatively straightforward and does not necessitate finite element analysis. In contrast, the concrete tower part and the transition section represent the more vulnerable aspects of the overall structure, which will henceforth be referred to as the segmented concrete tower in this text. To explore the structural performance of segmented steel–concrete wind turbine towers, this study established a numerical model of the segmented concrete tower to investigate its structural performance under various conditions and the effects of the friction coefficient, prestress loss, and contact area on the anti-slip performance of the transition section of the towers. The tower model structure and parameters are shown in Figure 2. The tower model mainly employs a structural form consisting of a transition section (steel and concrete transition section) and a concrete tower part. The concrete tower part is 112.28 m in height and consists of 31 concrete tower sections. The concrete transition section and the steel transition section are connected by prestressed steel strands. According to the China standard for steel strands for prestressed concrete (GB/T 5224-2023) [19], a total of 36 high-strength and low-relaxation prestressed steel strands are utilized in a circular uniform layout. According to the China standard for design of tall structures (GB 50135-2019) [20], the safety grade of the tower is grade 2 (which means the damage consequences are serious and the type of high-rise structure is a general high-rise structure), and the design service life is 20 years.

3. Numerical Modeling

3.1. Model

ABAQUS 2020 software was utilized to build the finite element model of the segmented concrete tower. The model consisted of the steel transition section, embedded anchor plate, concrete transition section, concrete tower part, prestressed steel strand, and concrete tower foundation. Among them, the steel transition section, embedded anchor plate, concrete transition section, concrete tower part, and concrete tower foundation were all established using the C3D8R elements. The entire tower was modeled using approximately 110,000 C3D8R elements, with a basic grid spacing of 500 mm and a finer grid spacing of 100 mm for the critical analysis sections at the top. Referring to the relevant literature [21,22], all components, including steel transition sections and concrete sections, had more than three elements set along the thickness direction. The line model of prestressed steel strands was established using the B31 elements. As shown in Figure 3, the specific details of modeling were as follows:
(1)
A model with vertical and horizontal joints (set as Model 1) of a segmented concrete tower was established according to the actual situation.
(2)
In the steel and concrete transition section, the prestressed holes for steel strands were opened on the lower flange, while the holes on the upper flange were omitted.
(3)
Prestressed holes were considered in the embedded anchor plate.
(4)
The concrete foundation was not the primary focus of this study; rather, it served as a reasonable boundary condition for the upper tower while providing a lower anchorage point for the prestressed steel strand. Thus, the geometric parameters of the concrete foundation were not entirely accurate, and its mechanical response was not examined.

3.2. Boundary Condition and Interaction

The boundary condition and interaction of the model are shown in Figure 4. The bottom of the concrete foundation was set and completely fixed. The top surface of the foundation was in contact with the bottom surface of the tower, the upper and lower surfaces of each section inside the tower were in contact with each other, and the top surface of the embedded anchor plate was in contact with the bottom surface of the steel transition section, considering the contact displacement of the above parts. The pressure was transferred in the normal direction. Normal behavior was hard contact, simulating contact separation. The friction was transferred in the tangential direction. Finite sliding was adopted. The tangential friction coefficients were consistent, specifically 0.6 for concrete–concrete interactions and 0.4 for concrete–steel interactions. The bottom surface of the embedded anchor plate was tied to the top surface of the concrete tower, regardless of their displacement. The upper-end point of the strand was coupled with the opening on the upper surface of the lower flange of the transition section, and the lower-end point of the strand was coupled with the opening on the inner lower surface of the foundation platform.

3.3. Model Parameters

The parameter values of concrete and steel are shown in Table 1 and Table 2. The concrete tower part and foundation adopted an elastic constitutive model, according to the China standard for design of concrete structures (GB/T 50010-2010) [23]. The steel adopted the ideal elastic–plastic constitutive model, which mainly included the steel transition section, embedded anchor plate, and prestressed steel strand, according to the China standard for design of steel structures ((GB 50017-2017) [24] and steel strand for prestressed concrete (GB/T 5224-2023) [19]).
The ultimate strength of the prestressed steel strand was 1860 MPa. A single 1 × 7 steel strand with a nominal diameter of 15.2 mm and a nominal area of 140 mm2 was utilized. A total of 36 bundles of steel strands, each consisting of eight steel strands, were distributed uniformly along the ring direction to apply pre-pressure to the concrete tower part. According to Figure 1, the calculated tension stress was 1250 MPa.

3.4. Load Cases

In line with established methodologies in the literature [25,26], this study employed an equivalent static loading approach, excluding dynamic and fatigue effects from the analysis. In the simulation, four load conditions were considered: prestressed situations, normal operation (WC-1), safety factor considerations (WC-2), and extreme loads (WC-3). The load values of the last three load conditions are shown in Table 3.
As shown in Figure 5, reference points were selected on both the embedded anchor plate and the steel transition section. These reference points were positioned on the outermost side of the tensile side corresponding to the main bending moment. Initially, when no load was applied, these two reference points coincided perfectly. However, they experienced relative displacement once loads were introduced. WC-1 represents the load value under normal operating conditions, where adjustments to the loading direction identified the X-direction as the most unfavorable—specifically indicating that My and Fx reached their maximum values—which facilitated subsequent research and analysis. WC-2 denotes the load value under ultimate loading conditions incorporating a safety factor; this involved multiplying by an importance factor of 1.1 to derive its final value. In contrast, WC-3 refers to loads calculated under ultimate loading conditions using partial factors: here, vertical load Fz was multiplied by a partial factor of 1.2 while lateral loads Fx, My, and Mz were each multiplied by a partial factor of 1.4, ultimately yielding results through overall multiplication by an importance factor of 1.1.

4. Model Verification

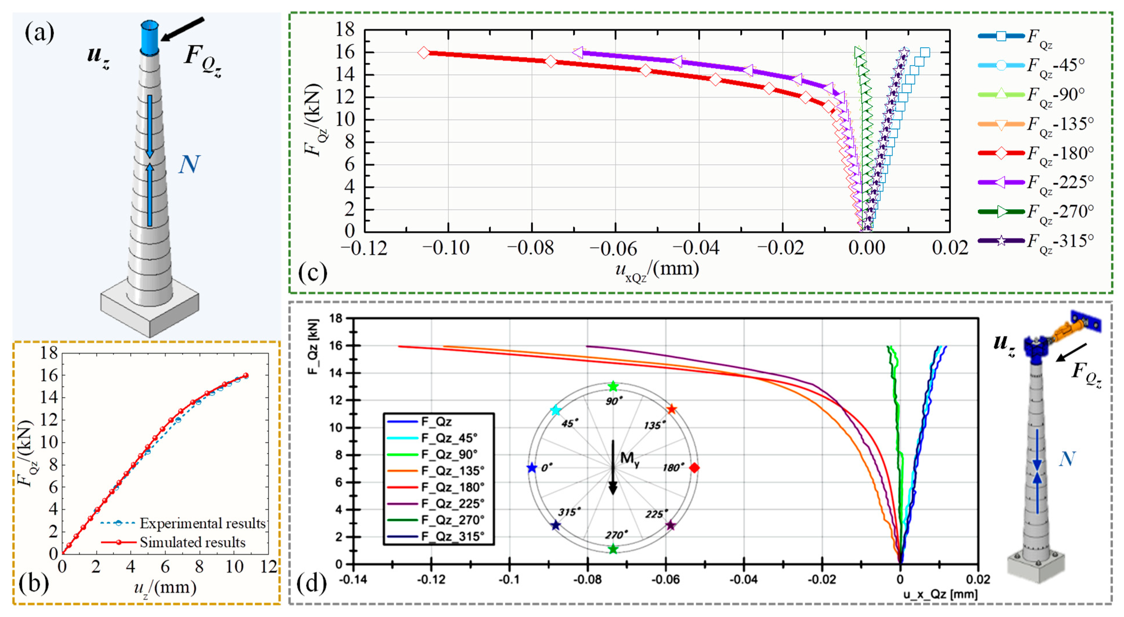
The simulation methodology presented in this study was validated through comparison with the physical experimental results reported in [12]. A numerical model was constructed to replicate the experimental setup, which comprised a concrete foundation and sixteen concrete tower sections (Figure 6 and Table 4). The geometry of the concrete tower model was identical to that used in the experiments. The foundation was modeled with a fixed boundary condition at its base, and surface-to-surface contact interactions were defined between adjacent tower sections. Loading was applied via steel components positioned at the top of the structure. Prestressed steel strands, which traversed through the interior of the tower segments, were anchored at both ends: at the bottom to the foundation and at the top to the steel loading components. In accordance with the experimental procedure, a lateral force FQz was applied to examine the load–deformation curves at the tower head due to bending shear load (FQz-Uz) and at various measurement points located in the top joint of the bottom section (FQz-UXQz).
As shown in Figure 6 and Table 4, the simulated and experimental results are in good agreement at the large-scale level (the deformations at the tower head), and there is a slight deviation between the simulation and the experiment at the small-scale level (the deformations at various measurement points located in the top joint of the bottom section). On the one hand, this was due to the inaccuracy of the measurement at the small scale; on the other hand, it was because of the obvious unevenness in the production and manufacturing of concrete (which is an explanation in Klein’s paper), which was also reasonable. Overall, the simulated results demonstrated close agreement with the experimental results, confirming the validity and accuracy of the proposed modeling approach.

5. Simulated Results

5.1. Tower Deformation

The X-direction deformation and the three-direction composite deformation contours of the overall model under the normal operating conditions (WC-1) and safety factor considerations (WC-2) are shown in Figure 7.
The deformation scale was enlarged 10 times for observation. The results showed that the overall deformation mode was tipping towards the maximum bending moment, and the deformation mode was reasonable. The model deformation was dominated by the horizontal displacement in the X-direction, which accounted for most of the three-way synthetic deformation. There was a maximum value of deformation at the top of the whole model. Under WC-1, the maximum value of horizontal displacement in the X-direction was 415.56 mm. Under WC-2, the maximum horizontal displacement in the X-direction was 932.41 mm, and the top height of the transition section was 113.73 m, which met the requirement of 1/100 deformation.

5.2. Tower Part Stress

The minimum and maximum principal stress contours of the tower under the normal operating (WC-1) and safety factor considerations (WC-2) are shown in Figure 8. For convenience, when the minimum value of the maximum principal stress was 0.00 MPa, the elements less than this value are shown in black, indicating three-way compression elements. When the maximum value of the minimum principal stress was 0.00 MPa, the elements greater than this value are displayed in gray, indicating the three-way tension elements. The results showed that most tensile stresses were not more than 1.00 MPa and a small part of them had a stress concentration phenomenon. The distribution of compressive stress was uniform, and there was a high distribution area of compressive stress on the compressive side under the action of the central bending moment. Under WC-1, the maximum compressive stress of concrete was 23.99 MPa; under WC-2, the maximum compressive stress of concrete was 30.60 MPa, which satisfied the design value of C70 compressive strength (31.80 MPa), and could meet safety standards.

5.3. Tower Joint Separation

The bottom and top vertical joint separation contours of the tower under the normal operating (WC-1) and safety factor considerations (WC-2) are shown in Figure 9. Model 1 considered the vertical joints of the concrete tower part. The most unfavorable situation was assumed, and there was no connection set between the vertical joints of the model (while there is a bolt connection between the vertical joints in actual engineering). Thus, under the action of load, vertical joint separation would occur on the tension side of the maximum central bending moment. The results showed that under WC-1, the whole vertical joint separations of the tower were not obvious, and the severest part of the separations was less than 1 mm. Under WC-2, the maximum horizontal separation value of the vertical joint was 16.47 mm, which was on the tension side of the C9. Overall, most separations were not more than 10 mm, and the separations at the bottom of the tower were more obvious than those at the top. Vertical joint separation existed, but it was not obvious numerically. Thus, the overall safety of the tower could be considered.
Model 1 considered the horizontal joints in the concrete tower part, setting up hard contacts to allow separation between the tower segments. Thus, intersegment separation might occur on the tension side under the maximum central bending moment. Seven typical contact surfaces, namely foundation-C1, C1–C2, C7–C8, C15–C16, C22–C23, C29–C30, and C30–C31, were selected for investigation. The results showed that under WC-1, the horizontal joint separations of the tower were not obvious, and the seven surfaces were completely in contact with each other without separation. Under WC-2, the maximum vertical separation values of the above seven surfaces were 0.71 mm, 2.86 mm, 2.68 mm, 2.48 mm, 1.07 mm, 0.08 mm, and 0 mm (no separation), respectively.
The horizontal joint separation contours of some representative concrete segments of the tower under WC-2 (no separation occurred under WC-1) are shown in Figure 10, where the torus depicted represents the contact surface. The minimum horizontal joint separation value was 0.00 mm, as shown in Figure 9. Areas below this threshold are displayed in black, indicating good contact. Conversely, areas exceeding this threshold are displayed in color, signifying contact separation (more than 0.1 mm). These values represent the distance of normal separation. The results showed that only certain areas on the tension side exhibited separation, and these separations were minimal. Overall, most horizontal joint separations were on the order of 1 mm, and the separations in the middle of the tower were larger than at the top and bottom. Notably, separations were present solely under WC-2 and remained minor throughout. Thus, the overall safety of the tower could be considered.

5.4. Transition Section and Embedded Anchor Plate

The Mises stress contours of the steel transition section and embedded anchor plate under the normal operating (WC-1) and safety factor considerations (WC-2) are shown in Figure 11. The results showed that the tension stress distribution of the transition section and embedded anchor plate was uniform and reasonable, and there was a high-stress zone on the side wall of the compression side under the central bending moment. Under WC-1, the maximum stress of the transition section was 80.66 MPa, and that of the embedded anchor plate was 22.81 MPa. Under WC-2, the maximum stress of the transition section was 151.92 MPa, and that of the embedded anchor plate was 38.42 MPa. The maximum stresses were smaller than 355 MPa, the yield strength of Q355, which could meet safety standards.
The contact stress contours of the contact surface between the embedded anchor plate and steel transition section under the normal operating (WC-1) and safety factor considerations (WC-2) are shown in Figure 12. The minimum contact stress value was 0.01 MPa. Areas below this threshold are displayed in black, indicating that the contact between the transition section and the embedded anchor plate was disconnected or insufficient. The results showed that under prestressed situations, the whole transition section and the embedded anchor plate were in contact, and there was a high-stress zone around the prestressed hole wall, which accorded with the actual situation. Under WC-1, the contact part between the transition section and the embedded anchor plate was disconnected, and the tension side under the central bending moment was obvious, which accorded with the ideal hypothesis. Under WC-2, the contact between the transition section and the embedded anchor plate was detached, and about 50% of the surface was no longer in contact.
The contact contours of the contact surface between the embedded anchor plate and steel transition section under the normal operating (WC-1) and safety factor considerations (WC-2) are shown in Figure 13. The minimum value was 0.1 mm. Areas below this threshold are displayed in black, indicating slight contact or separation between the transition section and the embedded anchor plate. Conversely, areas exceeding this threshold are displayed in color, signifying contact separation (more than 0.1 mm). The results showed that the contact contour was consistent with the contact stress contour. Under WC-1, the contact separation area between the transition section and the embedded anchor plate was not large and focused on the tension side edge under the central bending moment. Under WC-2, the contact separation area between the transition section and the embedded anchor plate increased.

5.5. Prestressed Strand

The Mises stress contours of the prestressed steel strand under the prestressed situations, normal operation (WC-1), and safety factor considerations (WC-2) are shown in Figure 14. The results showed that under the prestressed situations, the prestress of the steel strand was evenly distributed, about 1250.73 MPa, which aligns with the design value of 1250 MPa. This consistency suggested that the application of prestressing met expectations. Under WC-1 and WC-2, due to deformation coordination, the prestress on the tension side increased, while the prestress on the compression side decreased, which accorded with the ideal situation. The maximum prestress value was 1336.39 MPa, less than the strength value (1860 MPa), which could meet safety standards.

6. Model Simplification and Comparison

Based on Model 1, only the vertical joints in the segmented concrete tower part were simplified. The simplified model (set as Model 2) with only horizontal joints was established, as shown in Figure 15.
The comparison of some extreme value parameters of Model 2 and Model 1 is shown in Table 5. The deviation calculation was based on Model 2. Model 2 and Model 1 were in good agreement, with the deviation of most parameters within 5%. Some parameters, such as the deviation of the maximum principal stress of the tower, indicated that the vertical joint affected the extreme tensile stress of the concrete. The high-tensile-stress area was only a small part of the stress concentration, but the overall stress distribution and deformation in both tower models were still in good agreement. By comprehensive comparison, the vertical joint of Model 1 would not affect the tower integrity too much, and Model 2 could also simulate the actual vertical joint segmented structure well. The parameter analysis was carried out based on Model 2 to improve the calculation efficiency.

7. Parameter Analysis

The existing studies lacked research on the anti-slip performance between the steel transition section and the embedded anchor plate. Based on Model 2, critical parameters were analyzed, including the steel-to-steel friction coefficient, the prestress (loss), and the contact surface between the steel transition section and the embedded anchor plate. With Tower-01 as the reference model, the steel-to-steel friction coefficient was 0.4, the prestress of each strand was 1400 kN, and the contact between the transition section and the embedded anchor plate was a complete surface (100%). The anti-slip performance between the steel transition section and the embedded anchor plate of the towers was investigated under normal operations (WC-1), safety factor considerations (WC-2), extreme loads (WC-3), and prestressed situations. The specific parameter settings are shown in Table 6. The range of the steel-to-steel friction coefficient was adopted as 0.05 to 0.4, which was a relatively practical range of the friction coefficient. Generally, the steel-to-steel friction coefficient is approximately 0.4 [27,28]. The range of prestress loss was from 10% to 30%. Under normal circumstances, the prestress loss is around 10%. A prestress loss exceeding 30% would significantly lead to the overall insecurity of the tower frame, and such a loss was unreasonable. The area of the contact surface was 25% to 100%, which was also based on the actual situation. The ideal situation would be a 100% contact surface, while the most unfavorable situation would be an only 25% contact surface.
The setting diagram of the contact surface of Tower-08 and Tower-09 is shown in Figure 16, and is displayed on the upper surface of the embedded anchor plate. The highlighted area in red was the actual contact surface between the transition section and the embedded anchor plate. In Tower-08, the contact surface was set as a ring with the prestressed hole line as the symmetry axis, extending inside and outside, and the area was about 50% of the total section. In Tower-09, the contact surface was set as a ring around the prestressed hole plus two large rings inside and outside to simulate the actual situation of the waterproof rubber segment area, and the area was about 25% of the total section.
The horizontal displacement at the midpoint of the concrete tower top Uxy, the horizontal relative displacement between the steel transition section and the embedded anchor plate ΔUxy, and the vertical relative displacement between the steel transition section and the embedded anchor plate ΔUz were selected as the investigation response for comparison. According to the simulation results, in Tower-01, (1) the Uxy values under WC-1, WC-2, and WC-3 were 398.68 mm, 843.99 mm, and 1803.63 mm, respectively, which was in line with expectations; (2) the ΔUxy values under WC-1, WC-2, and WC-3 were 0.14 mm, 0.30 mm, and 0.56 mm, respectively, and increased gradually with the increase in load; (3) the ΔUz values under WC-1, WC-2, and WC-3 were 0.52 mm, 3.17 mm, and 7.57 mm, respectively, indicating that the relative displacement between the steel transition section and the embedded anchor plate was mainly vertical.

7.1. Friction Coefficient

Data were selected from Tower-01, Tower-02, Tower-03, and Tower-04 for comparison, as shown in Figure 17. The Uxy had no change with the decrease in the steel-to-steel friction coefficient, indicating that the steel-to-steel friction coefficient had almost no effect on the overall displacement response of the tower. With the decrease in the steel-to-steel friction coefficient, the ΔUxy and the ΔUz both increased, and sliding was increased under the larger load condition, indicating that the decrease in the steel-to-steel friction coefficient would increase the relative displacement between the transition section and the embedded anchor plate, and the influence on the horizontal displacement was significantly greater than that on the vertical displacement.
In particular, when the steel-to-steel friction coefficient was 0.05, excessive horizontal sliding led to non-convergence of the simulation, reaching only 80% of the expected load (WC-2). The horizontal relative displacement between the steel transition section and the embedded anchor plate was too large, reaching 7.66 mm. Thus, when the steel-to-steel friction coefficient was reduced to 0.05, the overall structure safety could not be guaranteed due to the excessive relative displacement between the steel transition section and the embedded anchor plate. This indicated that the steel-to-steel friction coefficient was the critical parameter controlling the relative displacement between the steel transition section and the embedded anchor plate.

7.2. Prestress Loss

Data were selected from Tower-01, Tower-05, Tower-06, and Tower-07 for comparison, as shown in Figure 18. The results showed that the Uxy increased significantly with the increase in the prestress loss of the strand, and the increase was more obvious with the increase in the load. When the prestress loss reached 20% (1120 kN for a single beam), the Uxy under WC-2 reached 1179.08 mm, while the top height of the tower was 112.28 m, which exceeded the limit of 1/100 deformation, indicating that the prestress loss had a significant impact on the overall displacement response of the tower. As the prestress loss of the strand increased, the ΔUxy and the ΔUz both increased significantly, and the proportion increased more obviously under WC-2. This indicated that the increase in prestress loss would increase the relative displacement between the steel transition section and the embedded anchor plate, and the influence on the vertical displacement was more than that on the horizontal displacement.

7.3. Contact Area

Data were selected from Tower-01, Tower-08, and Tower-09 for comparison, as shown in Figure 19. The contact area between the steel transition section and the embedded anchor plate decreased, and the Uxy had no change, indicating that the contact area between the steel transition section and the embedded anchor plate had almost no effect on the overall displacement response of the tower. As the contact area between the steel transition section and the embedded anchor plate decreased, the ΔUxy and the ΔUz both increased significantly. The horizontal relative displacement increased significantly under the higher load condition, and the vertical relative displacement increased significantly under WC-2. The results showed that the decrease in the contact area would increase the relative displacement, and the effect on the horizontal displacement was greater than that on the vertical displacement.

8. Conclusions

Based on an existing project involving segmented steel–concrete wind turbine towers, a finite element (FE) model of the tower was developed using ABAQUS and validated through previous experimental tests to assess its structural performance under various loading conditions. For the concrete segment of the tower, appropriate simplifications were introduced into the numerical model, and a comparative analysis was conducted to evaluate the structural behavior of both the detailed and simplified models. Based on the simplified model, the effects of the friction coefficient, prestress loss, and contact area on the anti-slip performance of the transition section of segmented concrete towers were investigated and summarized. The main conclusions are as follows:
The validity of the modeling approach was confirmed through the existing experimental results. The top displacement of the model with vertical and horizontal joints (Model 1) did not exceed the limit of 1/100 under the safety factor considerations, indicating that the structure could ensure safety. The overall structure deformation mode was reasonable, and the horizontal displacement of the tower top met the requirements. Most concrete remained elastic. The tensile and compressive stress of concrete met the design value requirements. The Mises stress in the embedded anchor plate and steel transition section was within the limit stress, which satisfied the design requirements. Vertical joint separation existed in the concrete tower part at the bottom of the tower, but the value was small. The separation range between the steel transition section and the embedded anchor plate was relatively large. The separation exceeded part of the prestressed holes under normal operating conditions (WC-1), and the separation area exceeded 50% under the safety factor considerations (WC-2), indicating that the connection between the two was weak.
The simplified model (Model 2) showed good agreement with Model 1, enabling parameter analysis based on Model 2. A reduction in the steel-to-steel friction coefficient, strand prestress, and contact area between the steel transition section and the embedded anchor plate resulted in an increase in the horizontal relative displacement between the steel transition section and the embedded anchor plate to varying extents. Notably, a more pronounced increase in displacement was observed under the higher load condition. At the same time, a reduction in the strand prestress increased the overall structure deformation. Excessive displacement at the top of the towers could lead to serious safety problems, including damage to cabin equipment and overall tower collapse.
The horizontal relative displacement between the steel transition section and embedded anchor plate under single-loading conditions was below one millimeter in most of the studied conditions, which was relatively small compared to the assembly tolerance of the structure. However, under long-term loading conditions, there might be a cumulative relative displacement reaching magnitudes of up to 10 mm in a specific direction. High-strength prestressed steel strands experienced significant tensile stress over extended periods and exhibited poor shear resistance. Excessive horizontal relative displacement could result in shearing of the prestressed steel strands within the duct, thereby increasing their susceptibility to breakage and leading to severe consequences. It was recommended that rigid shear measures be implemented to mitigate potential displacement issues.
Based on the above conclusions, the following suggestions are put forward:
(1)
Currently, there is a lack of relevant standards for the disengagement and sliding of transverse joints both at home and abroad. Both engineering practice and numerical simulations show that the disengagement and sliding of transverse joints are inevitable. Therefore, it is necessary to establish relevant standards.
(2)
For the connection between the concrete transition section and the steel transition section, considering that the steel strands are prone to damage due to compression and shearing after sliding at the steel–concrete interface, it is recommended to set anchor bolts or stud anti-shear keys at the steel–concrete interface.
(3)
In this study, the minimum recommended value of the steel-to-steel friction coefficient is 0.4, which is also the conventional value that can be achieved by current technical means. At the same time, it is recommended that waterproofing work be performed thoroughly to prevent the friction coefficient from decreasing after rainwater intrusion.
(4)
In this study, the initial prestress of the steel–concrete hybrid wind turbine tower is 1250 MPa, and the maximum recommended value for the prestress loss is 160 MPa, which is approximately 13% of the initial prestress. And the prestress of the steel strands needs to be monitored in real time or inspected regularly.
In the future, the influence of key parameters and their interdependencies will be further quantified. Meanwhile, relevant studies such as systematic sensitivity analysis will be conducted, referring to the relevant literature [29,30,31].

Author Contributions

Conceptualization, Y.D. and W.P.; Methodology, Z.T., W.P. and Z.W.; Software, Z.W.; Validation, K.Z. and W.P.; Formal analysis, Z.T. and Z.W.; Investigation, K.Z. and W.P.; Resources, Y.D. and M.H.; Writing—original draft, H.F.; Writing—review & editing, H.F. and Z.W.; Visualization, H.F. and Z.W.; Supervision, Y.D. and M.H.; Project administration, M.H.; Funding acquisition, M.H. All authors have read and agreed to the published version of the manuscript.

Funding

This research was funded by the National Key Research and Development Project of China (No. 2024YFF0505400).

Data Availability Statement

The original contributions presented in this study are included in the article. Further inquiries can be directed to the corresponding author.

Conflicts of Interest

Authors Yifan Dong, Kun Zeng and Zhongxiang Tu were employed by the company Guiyang Engineering Corporation Limited of Power China. Authors Minjuan He and Wenbing Peng were employed by the company Tongji Architectural Design (Group) Co., Ltd. The remaining authors declare that the research was conducted in the absence of any commercial or financial relationships that could be construed as a potential conflict of interest.

References

  1. Nwaigwe, K.N. Assessment of wind energy technology adoption, application and utilization: A critical review. Int. J. Environ. Sci. Technol. 2022, 19, 4525–4536. [Google Scholar] [CrossRef]
  2. Fan, T.-H.; Zeng, J.-J.; Su, T.-H.; Hu, X.; Yan, X.-K.; Sun, H.-Q. Innovative FRP reinforced UHPC floating wind turbine foundation: A comparative study. Ocean Eng. 2025, 326, 120799. [Google Scholar] [CrossRef]
  3. Fan, T.-H.; Zeng, J.-J.; Hu, X.; Chen, J.-D.; Wu, P.-P.; Liu, H.-T.; Zhuge, Y. Flexural fatigue behavior of FRP-reinforced UHPC tubular beams. Eng. Struct. 2025, 330, 119848. [Google Scholar] [CrossRef]
  4. Cai, Y.F.; Li, X.Y.; Ren, Z.D.; Sun, S. Wind resource analysis of airborne wind energy systems. Acta Energiae Solaris Sin. 2025, 46, 624–632. [Google Scholar]
  5. Li, T.H.; Liu, Y.H.; Lv, A.F. Review of research on the present situation of development and resource potential of wind and solar energy in China. Energies 2024, 17, 4158. [Google Scholar] [CrossRef]
  6. Wang, Z.X.; Jiang, C.W.; Ai, Q.A.; Cheng, M.W. The key technology of offshore wind farm and its new development in China. Renew. Sustain. Energy Rev. 2009, 13, 216–222. [Google Scholar] [CrossRef]
  7. Tan, J.-K.; Zheng, W.-L.; Wang, Y.-H.; Su, M.-N.; Zhao, L.; Zhang, Y.-H.; Feng, Y.; Chen, D.-X. Finite element modelling and design of concrete wind turbine towers subjected to combined compression and bending. Structures 2025, 77, 108811. [Google Scholar] [CrossRef]
  8. Fang, X.B.; Wei, W.H.; Bao, X. Shaking table tests on seismic responses of offshore wind turbines considering fluid-soil coupling. Adv. Struct. Eng. 2025, 26, 13694332251334832. [Google Scholar] [CrossRef]
  9. Zhang, S.; Yang, Y.; Liu, X.; Liu, G.; Xu, J. Study on axial compression performance of curved steel-concrete-steel composite wall of wind turbine tower. Structures 2025, 75, 108794. [Google Scholar] [CrossRef]
  10. Li, B.-L.; Feng, C.-Q.; Wei, S.-H.; Liu, Y.-F. Concrete wind turbine tower crack assessment based on drone imaging using computer vision and artificial intelligence. Adv. Struct. Eng. 2025, 20, 13694332251344664. [Google Scholar] [CrossRef]
  11. Fürll, F.; Klein, F.; Hartwig, S.; Kang, C.; Betz, T.; Marx, S. Experimental and analytical study on the load-bearing capacity of segmented tower structures with dry joints under combined loading. Struct. Concr. 2024, 25, 3347–3360. [Google Scholar] [CrossRef]
  12. Klein, F.; Fürll, F.; Betz, T.; Marx, S. Experimental study on the joint bearing behavior of segmented tower structures subjected to normal and bending shear loads. Struct. Concr. 2022, 23, 1370–1384. [Google Scholar] [CrossRef]
  13. Zhang, M.S.; Zhang, G.J.; Huang, W.Z.; Ge, J.Q.; Xu, R.L. Study on mechanical performance of pre-stressed assembled towering wind tower. J. Build. Struct. 2022, 43, 62–78. [Google Scholar]
  14. Yue, Y.C.; Tian, J.J.; Mu, Q.Y. Feasibility of segmented concrete in wind turbine tower: Numerical studies on its mechanical performance. Int. J. Damage Mech. 2021, 30, 518–536. [Google Scholar] [CrossRef]
  15. Wang, Y.; Xu, S.; Zhou, X.; Zhang, L.; Huang, X. Lateral load behavior of prestressed segmental concrete towers with hollow tapered geometry. Thin-Walled Struct. 2025, 209, 112914. [Google Scholar] [CrossRef]
  16. Lu, W.R.; Zhao, M.; Jia, L.L. Mechanical behavior of a multisegmented tower anchorage structure with an exposed steel anchor box. Adv. Mater. Sci. Eng. 2021, 2021, 5599845. [Google Scholar] [CrossRef]
  17. Zhang, D.; Bhattarai, H.B.; Wang, F.; Zhang, X.; Hwang, H.J.; Wu, X.; Tang, Y.; Kang, S. Dynamic characteristics of segmental assembled HH120 wind turbine tower. Eng. Struct. 2024, 303, 117438. [Google Scholar] [CrossRef]
  18. Hashim, D.T.; Hejazi, F.; Jaafar, M.S.; Lai, V.Y. Performance evaluation of circular flange bolted connection in ultra high performance fiber reinforced concrete segmented communication tower. Period. Polytech. Civ. Eng. 2019, 63, 971–988. [Google Scholar] [CrossRef]
  19. GB/T 5524-2023; Steel Strand for Prestressed Concrete. Ministry of Housing and Urban-Rural Development of the People’s Republic of China: Beijing, China, 2023.
  20. GB 50135-2019; Standard for Design of Tall Structures. Ministry of Housing and Urban-Rural Development of the People’s Republic of China: Beijing, China, 2019.
  21. Klein, F.; Marx, S. Effects of warping shear deformation on the torsional load-bearing behaviour of assembled half-shell structures for wind energy towers. Eng. Struct. 2025, 269, 114728. [Google Scholar] [CrossRef]
  22. Tao, W.-F.; TseDan, D.; Zhang, D.-L.; Huang, C.-R.; Fu, K.; Zhao, C.; Zhang, J.-W.; Li, J.-L.; Wan, Z.-Q. Torsional capacity of prestressed assembled quarter-shell concrete tower with adhesive bonded vertical joints. Case Stud. Constr. Mater. 2025, 23, e04947. [Google Scholar] [CrossRef]
  23. GB/T 50010-2010; Standard for Design of Concrete Structures (2024 Edition). Ministry of Housing and Urban-Rural Development of the People’s Republic of China: Beijing, China, 2011.
  24. GB/T 50017-2017; Standard for Design of Steel Structures. Ministry of Housing and Urban-Rural Development of the People’s Republic of China: Beijing, China, 2017.
  25. Wu, X.; Zhang, X.; Bhattarai, H.B.; Hwang, H.-J.; Yang, J.; Kang, S. Structural behavior analysis of UHPC hybrid tower for 3-MW super tall wind turbine under rated wind load. Int. J. Concr. Struct. Mater. 2022, 16, 52. [Google Scholar] [CrossRef]
  26. Lin, L.; Zhang, X.; Zhang, D.; Wu, X.; Liu, Y.; Wang, X.; Wang, H.; Wang, F.; Yang, T. Damage evolution and failure analysis of the advanced transition segment behavior of wind turbine tower. Eng. Fail. Anal. 2023, 152, 107527. [Google Scholar] [CrossRef]
  27. Baltay, P.; Gjelsvik, A. Coefficient of friction for steel on concrete at high normal stress. J. Mater. Civ. Eng. 1990, 02, 46–49. [Google Scholar] [CrossRef]
  28. CEN. EN 1993-1-8:2005; Eurocode 3: Design of Steel Structures––Part 1–8: Design of Joints. British Standard: London, UK, 2005.
  29. Gholizadeh, S.; Moloud, M. Reliability-based seismic optimization of steel frames by metaheuristics and neural networks. J. Risk Uncertain. Eng. Syst. Part A Civ. Eng. 2016, 3, 04016013. [Google Scholar] [CrossRef]
  30. Gholizadeh, S.; Aligholizadeh, V. Reliability-based optimum seismic design of RC frames by a metamodel and metaheuristics. Struct. Des. Tall Spec. Build. 2018, 28, e1552. [Google Scholar] [CrossRef]
  31. Gholizadeh, S.; Fattahi, F. Damage-controlled performance-based design optimization of steel moment frames. Struct. Des. Tall Spec. Build. 2018, 27, e1498. [Google Scholar] [CrossRef]
Figure 1. Segmented steel–concrete wind turbine towers.
Figure 1. Segmented steel–concrete wind turbine towers.
Buildings 15 03786 g001
Figure 2. Structures and parameters of segmented concrete towers.
Figure 2. Structures and parameters of segmented concrete towers.
Buildings 15 03786 g002
Figure 3. The model with vertical and horizontal joints of segmented concrete towers.
Figure 3. The model with vertical and horizontal joints of segmented concrete towers.
Buildings 15 03786 g003
Figure 4. Boundary condition and interaction.
Figure 4. Boundary condition and interaction.
Buildings 15 03786 g004
Figure 5. Load schematic diagram.
Figure 5. Load schematic diagram.
Buildings 15 03786 g005
Figure 6. Model verification: (a) model; (b) simulated and experimental results (FQz-Uz); (c) simulated results (FQz-UXQz); (d) experimental results (FQz-UXQz) [12].
Figure 6. Model verification: (a) model; (b) simulated and experimental results (FQz-Uz); (c) simulated results (FQz-UXQz); (d) experimental results (FQz-UXQz) [12].
Buildings 15 03786 g006
Figure 7. Tower deformation contour: (a) X-direction; (b) three-way synthesis.
Figure 7. Tower deformation contour: (a) X-direction; (b) three-way synthesis.
Buildings 15 03786 g007
Figure 8. Tower part principal stress contours: (a) minimum; (b) maximum.
Figure 8. Tower part principal stress contours: (a) minimum; (b) maximum.
Buildings 15 03786 g008
Figure 9. Tower vertical joint separation contour: (a) bottom; (b) top.
Figure 9. Tower vertical joint separation contour: (a) bottom; (b) top.
Buildings 15 03786 g009
Figure 10. Tower horizontal joint separation contour under WC-2.
Figure 10. Tower horizontal joint separation contour under WC-2.
Buildings 15 03786 g010
Figure 11. Mises stress contour: (a) transition section; (b) embedded anchor plate.
Figure 11. Mises stress contour: (a) transition section; (b) embedded anchor plate.
Buildings 15 03786 g011
Figure 12. Embedded anchor plate contact stress contour.
Figure 12. Embedded anchor plate contact stress contour.
Buildings 15 03786 g012
Figure 13. Embedded anchor plate contact contour.
Figure 13. Embedded anchor plate contact contour.
Buildings 15 03786 g013
Figure 14. Prestressed strand Mises stress contour.
Figure 14. Prestressed strand Mises stress contour.
Buildings 15 03786 g014
Figure 15. Model simplification.
Figure 15. Model simplification.
Buildings 15 03786 g015
Figure 16. Contact surface area.
Figure 16. Contact surface area.
Buildings 15 03786 g016
Figure 17. Influence of the friction coefficient on the anti-slip performance between the steel transition section and the embedded anchor plate: (a) Uxy; (b) ΔUxy; (c) ΔUz.
Figure 17. Influence of the friction coefficient on the anti-slip performance between the steel transition section and the embedded anchor plate: (a) Uxy; (b) ΔUxy; (c) ΔUz.
Buildings 15 03786 g017
Figure 18. Influence of prestress loss on the anti-slip performance between the steel transition section and the embedded anchor plate: (a) Uxy; (b) ΔUxy; (c) ΔUz.
Figure 18. Influence of prestress loss on the anti-slip performance between the steel transition section and the embedded anchor plate: (a) Uxy; (b) ΔUxy; (c) ΔUz.
Buildings 15 03786 g018
Figure 19. Influence of contact area on the anti-slip performance between the steel transition section and the embedded anchor plate: (a) Uxy; (b) ΔUxy; (c) ΔUz.
Figure 19. Influence of contact area on the anti-slip performance between the steel transition section and the embedded anchor plate: (a) Uxy; (b) ΔUxy; (c) ΔUz.
Buildings 15 03786 g019
Table 1. Performance parameters of concrete.
Table 1. Performance parameters of concrete.
ComponentStrength GradeMOE
(MPa)
Poisson’s RatioDensity
(kg/m3)
Constitutive Model
FoundationC4032,5000.22400Elasticity
Tower partC7037,0000.22400Elasticity
Concrete transition sectionC7037,0000.22400Elasticity
Table 2. Performance parameters of steel.
Table 2. Performance parameters of steel.
ComponentMaterialsDensity (kg/m3)MOE
(MPa)
Yield Strength (MPa)Poisson’s Ratio
Steel transition sectionQ3557800200,0004000.3
Embedded anchor plateQ3557800200,0004000.3
Prestressed steel strands15.27800195,00018600.3
Table 3. Load conditions.
Table 3. Load conditions.
Working ConditionMy (kN∙m)Mz (kN∙m)Fx (kN)Fz (kN)
Normal operation
(WC-1)
35,976.90−1762.76751.39−3727.11
Safety factor considerations
(WC-2)
58,488.65−2719.781381.12−4536.58
Extreme loads
(WC-3)
74,440.06−3461.541757.79−4948.98
Note: My and Mz are the bending moments along the y and z axes, respectively; Fy and Fz are the loads along the y and z axes, respectively.
Table 4. Verification data of the load–deformation curves (FQz-Uz).
Table 4. Verification data of the load–deformation curves (FQz-Uz).
FQz/kNUz-Ref/mmUz-Sim/mmRelative Deviation (RD)/%
0.0000.0000.0000
3.8242.0281.9802.4
5.9283.1743.0723.2
9.1545.0144.7535.2
11.9886.7786.3236.7
13.5977.9557.5964.5
14.4128.7548.4503.5
14.8369.2448.9882.8
15.2279.7349.4912.5
Note: Uz-Ref and Uz-Sim are the deformations at the tower head in Reference [12] and this paper, respectively.
Table 5. Model comparison.
Table 5. Model comparison.
Analysis IndexWorking ConditionModel 2Model 1Error
X-direction deformation (mm)WC-1411.36415.561.02%
WC-2874.05932.416.68%
Three-way synthesis deformation (mm)WC-1413.91417.890.96%
WC-2874.74933.186.68%
Tower maximum principal stress (MPa)WC-17.969.5519.97%
WC-211.0213.1118.97%
Tower minimum principal stress (MPa)WC-125.3123.99−5.22%
WC-232.3630.60−5.44%
Transition section Mises stress (MPa)WC-182.3080.66−1.99%
WC-2153.10151.92−0.77%
Embedded anchor plate Mises stress (MPa)WC-124.2722.81−6.02%
WC-234.6738.4210.82%
Embedded anchor plate contact stress (MPa)Prestressed situations17.3715.97−8.06%
WC-118.6018.48−0.65%
WC-236.0935.43−1.83%
Prestressed strand Mises stress (MPa)Prestressed situations1251.201250.78−0.03%
WC-11285.291285.21−0.01%
WC-21331.351336.390.38%
Table 6. Parameter settings.
Table 6. Parameter settings.
ModelFriction CoefficientPrestress Loss (kN)Contact SurfaceLoading Case
Tower-010.41400Contact surface—100%WC-1/2/3
Tower-020.21400Contact surface—100%WC-1/2/3
Tower-030.11400Contact surface—100%WC-1/2/3
Tower-040.051400Contact surface—100%WC-1/2/3
Tower-050.41260 (Loss—10%)Contact surface—100%WC-1/2/3
Tower-060.41120 (Loss—20%)Contact surface—100%WC-1/2/3
Tower-070.4980 (Loss—30%)Contact surface—100%WC-1/2/3
Tower-080.41400Contact surface—50%WC-1/2/3
Tower-090.41400Contact surface—25%WC-1/2/3
Disclaimer/Publisher’s Note: The statements, opinions and data contained in all publications are solely those of the individual author(s) and contributor(s) and not of MDPI and/or the editor(s). MDPI and/or the editor(s) disclaim responsibility for any injury to people or property resulting from any ideas, methods, instructions or products referred to in the content.

Share and Cite

MDPI and ACS Style

Dong, Y.; He, M.; Zeng, K.; Fu, H.; Tu, Z.; Peng, W.; Wang, Z. Structural Analysis Methods and Key Influencing Factors on the Performance of Segmented Steel–Concrete Hybrid Wind Turbine Towers. Buildings 2025, 15, 3786. https://doi.org/10.3390/buildings15203786

AMA Style

Dong Y, He M, Zeng K, Fu H, Tu Z, Peng W, Wang Z. Structural Analysis Methods and Key Influencing Factors on the Performance of Segmented Steel–Concrete Hybrid Wind Turbine Towers. Buildings. 2025; 15(20):3786. https://doi.org/10.3390/buildings15203786

Chicago/Turabian Style

Dong, Yifan, Minjuan He, Kun Zeng, Haiyan Fu, Zhongxiang Tu, Wenbing Peng, and Ziwei Wang. 2025. "Structural Analysis Methods and Key Influencing Factors on the Performance of Segmented Steel–Concrete Hybrid Wind Turbine Towers" Buildings 15, no. 20: 3786. https://doi.org/10.3390/buildings15203786

APA Style

Dong, Y., He, M., Zeng, K., Fu, H., Tu, Z., Peng, W., & Wang, Z. (2025). Structural Analysis Methods and Key Influencing Factors on the Performance of Segmented Steel–Concrete Hybrid Wind Turbine Towers. Buildings, 15(20), 3786. https://doi.org/10.3390/buildings15203786

Note that from the first issue of 2016, this journal uses article numbers instead of page numbers. See further details here.

Article Metrics

Back to TopTop