Abstract
Prestressed, precast composite panels are a type of building component that combines prestressing technology with composite materials; but, for most of them, it is difficult to balance structural stress performance and assembly efficiency. This paper proposes a series of novel bidirectional, prestressed, prefabricated, composite slabs, aiming to enhance their bidirectional force characteristics and assembly efficiency. By implanting a kind of specially designed concrete movable core rib with the same geometry as the cavity in the hollow-core slab at medium spacing, the transverse stressing performance of the structure is enhanced without affecting the unidirectional structural performance. Then, in the pre-set transverse apertures, several pieces of unidirectional, prestressed, precast hollow-core slabs that are implanted in the core mold are connected in series with high-strength strands and prestressed; finally, we obtain a bidirectional, prestressed, prefabricated composite slab. Two types of slabs (i.e., 3.3 m × 4.5 m and 4.5 m × 4.5 m) are selected and their mechanical behavior is investigated experimentally and by the finite element method, and the results are in good agreement. The proposed bidirectional, prestressed, precast composite slab not only has better overall bearing performance but also improves the structural stiffness and assembly rate, which can greatly improve the economic benefits and is of great significance for the popularization and application of assembled concrete structures.
1. Introduction
1.1. Motivation and Background
As the need for fast-track construction develops, the use of assembled buildings is becoming more widespread. In many industrialized building systems, floor structures can be categorized into cast-in-place slabs, stacked slabs, and precast slabs. The construction of cast-in-place slabs is time-consuming and costly [1]. Stacked slabs are a combination of precast and cast-in-place processes, where a concrete stack is poured on top of a precast base plate to form a monolithic assembled component [2]. Compared with cast-in-place slabs and laminated slabs, prefabricated slabs have higher assembly efficiency and lower cost and have wider development and application prospects in the current situation of vigorous development of assembled structures. However, traditional precast slabs are unfavorable for seismic resistance due to unidirectional stressing, and the joints between slabs are susceptible to leakage due to the poor treatment of the joints between slabs. Therefore, many scholars have devoted themselves to the study of prestressed, precast hollow-core slabs [3,4]; on the one hand, these reduce the structural deadweight and positively influence the design of columns and foundations [5], and on the other hand, they enhance overall structural stress characteristics and improve assembly efficiency.
1.2. Literature Survey
The research methods of prefabricated hollow-core slabs mainly include theoretical methods [6,7], experimental methods [8], and finite element methods (FEMs) [9]. Theoretical methods usually use more assumptions and may have poorer computational errors. In contrast, experimental methods and FEM have better reliability and are more widely used. Recently, data-driven prediction methods of prestressed concrete hollow-core slabs have been presented and analyzed [10].
Due to the inherent shortcomings of unidirectional, prestressed, precast slabs in terms of force transfer mode, more and more research is being devoted to bidirectional, prestressed slabs, such as bidirectional, prestressed, laminated concrete slabs. Lei et al. [11] conducted experimental studies on the flexural resistance of existing prestressed hollow-core slab beams. Li et al. [12] investigated the negative bending behavior of a prestressed hollow-core slab with a cast-in-place RC layer in the RC beam–slab joint area. Su et al. [7] analyzed the flexural performance of old full-scale hollow slab beams by theoretical methods, FEM, and experimental methods. In contrast to flexural capacity, hollow-core slabs mostly fail in shear, and the failure mode is related to the floor height [13]. The core-filling method is one of the shear reinforcement methods for prestressed hollow-core slabs. Hollow-core slabs filled with core material do not contribute to the improvement of shear strength. Souza et al. [14] analyzed the shear capacity of prestressed hollow-core slabs in flexible support by FEM. A few studies aim to enhance the performance of bidirectional, prestressed, laminated concrete slabs by introducing new materials. Wang et al. [15] used experiments to analyze the structural performance of prestressed concrete hollow-core slabs strengthened with externally bonded bamboo laminates. Zhang et al. [16] used experiments to study the performance of prestressed concrete hollow slab beams reinforced by grouting with ultra-high-performance concrete. Moldovan et al. [17] used FEM to analyze the performance of hollow-core slabs strengthened with CFRP. Although some progress has been made in research related to bidirectional, prestressed, laminated concrete slabs, the influence of the cast-in-place process has limited their overall performance and assembly rate.
Some academics have also worked on bidirectional, prestressed, precast slabs. Derkowski et al. [18] used FEM and experiments and discussed the influence of the flexibility of girders in slim floor structures on the reduced load capacity of prestressed HC slabs. Di et al. [19] conducted an experimental investigation of the shear performance of existing PC hollow slabs. They found that laying an additional layer of structural topping on precast hollow-core slabs significantly increased the shear capacity of the floor, and thus safety of the structure. Joo et al. [20] analyzed the composite behavior of hollow-core slabs and core-filled concrete on the inner surface of hollow-core slabs. Cheng et al. [21] conducted internal force calculation and numerical analysis of unbonded and bonded prestressed hollow beams with a mix of two-way system board structures. Yi et al. [22] experimentally investigated the impact-resistant capacity and failure behavior of bidirectional prestressed concrete slabs, but not hollow-core slabs. Moreover, the uncertainty analysis for structures are quite vital [23]. However, most of the existing research focuses on improving the performance of materials and structures and lacks in enhancing and improving the assembly rate, thus limiting the popularization of precast slabs. New prestressed precast hollow-core slabs need to not only meet the requirements of existing codes (e.g., GB 50010-2010 [24]), but also verify the strength of the design through experiments and methods such as FEM.
1.3. Contributions
This paper aims to propose a series of bidirectional, prestressed, precast hollow-core slabs that balances mechanical properties and assembly rate. The main contributions of this study are summarized as follows:
- (i)
- A series of new bidirectional, prestressed, precast hollow-core slabs are proposed, which are not only suitable for floor slabs of various spans, but also facilitate assembly construction, improve the structural stress performance, and have excellent potential for application in assembled buildings.
- (ii)
- The bearing performance of the proposed bidirectional, prestressed, precast hollow-core slabs is analyzed in depth using theoretical methods, experiments, and FEM.
- (iii)
- The deformation, stress, strain, and crack distribution characteristics of prestressed, precast hollow-core slabs under various loads are discussed in depth.
The paper is organized as follows: Section 2 introduces the basic information and theoretical analysis of the proposed bidirectional, prestressed, precast hollow-core slabs. Section 3 presents the experimental and numerical settings for two kinds of bidirectional, prestressed, precast hollow-core slabs under various loadings. Section 4 discusses the results of hollow-core slabs, including deformations, stress, strain, and cracking. Finally, Section 5 summarizes the main conclusions of this study.
2. Overview of Bidirectional, Prestressed, Prefabricated Composite Slab
2.1. Designs of Hollow Slab
In this paper, a new bidirectional, prestressed, precast hollow-core slab is proposed, as shown in Figure 1, where i1, i2, i3, i4 = 1~3. Generalized results are provided here, where a hollow-core slab may be constructed from multiple standard slabs spliced together.

Figure 1.
Illustration of bidirectional, prestressed, prefabricated composite slab.
Its overall construction method is as follows:
- (1)
- Firstly, the longitudinal and transverse bidirectional stressing bottom tendons are set in the shaped mold, after which the prestressing tensioning is carried out. The prestressing tendons are arranged uniformly in the transverse direction and constructed by the pretensioning method; the prestressing tendons are arranged centrally in the longitudinal direction and constructed by a post-tensioning method.
- (2)
- The circular core pipe is laid in the mold, and C40 concrete is poured afterward; then, it is vibrated densely.
- (3)
- The circular core pipe is extracted from the longitudinal mold side plate from the mold to form a longitudinal through-length empty core of concrete.
- (4)
- The piston of prefabricated C40 concrete, with a circular radius slightly smaller than the core pipe, is pushed into the longitudinal hollow core at equal distances according to the position of transverse prestressing reinforcement, so as to form transverse dense ribs to increase the transverse stiffness of the concrete slab; thus, the slab can meet the requirements of two-way force.
When tensioning prestressing wires, slow tensioning measures should be taken, and the compressive strength of the concrete cube when tensioning should not be less than 75% of the designed strength level of the concrete. During the tensioning process, attention should be paid to avoid the excessive pre-arching of the structure.
In short, each slab consists of many standard hollow-core slabs spliced together by prestressing steel bundles to provide transverse (x-direction) force transmission; each standard hollow-core slab provides longitudinal (z-direction) force transmission by prestressing steel wires, thus ensuring bidirectional force performance.
To facilitate the assembly construction, the standard hollow-core slabs are designed in three widths, B1, B2, and B3, corresponding to 0.9 m, 1.2 m, and 1.5 m, respectively. For example, a 3.3 m × 4.5 m hollow-core slab can be made by splicing three standard slabs with a width of 1.5 m, and a 3.3 m × 3.3 m hollow-core slab can be made by splicing two standard slabs with a width of 1.2 m and one standard slab with a width of 0.9 m. The length of a single standard slab takes the value of 2.7 m~6 m and its modulus is 0.3 m; there are a total of twelve kinds of specifications. When the length of the standard slab is less than 3.9 m, the thickness of the slab is 120 mm and the diameter of the hole is 70 mm; when the length of the standard slab is more than 3.9 m, the thickness of the plate is 140 mm and the diameter of the hole is 90 mm. These parameters are determined while taking into account the forces and ease of construction of the hollow-core slab. Detailed information for the three kinds of single standard slabs is shown in Table 1. The obvious limitation of the proposed bidirectional prestressed hollow-core slab is that it is not applicable to floor slabs with a single span exceeding 6 m.
Table 1.
Standard slab specifications and dimensional characteristics.
2.2. Theoretical Analysis
2.2.1. Designing of Internal Force Combinations
According to the load capacity limit state design, the load combination of the hollow-core slab is given in the following equation.
where S denotes the load combination value; SGK denotes the standard value of uniform constant load; SQK denotes the standard value of uniform live load; denotes the constant load sub-coefficient; denotes the live load sub-coefficient.
The design value of uniform load can be calculated according to Equation (1). Assuming that the bidirectional, prestressed, precast hollow-core slab is simply supported on all sides, combined with the span of the hollow-core slab in both horizontal directions, the design values of the bending moment of the hollow-core slab in both horizontal directions are obtained as follows:
where L1 and L2 denote the span of the hollow-core slab in two horizontal directions and it is assumed that L1 ≤ L2; m1 and m2 denote the corresponding bending moment coefficient in two horizontal directions, and they can be interpolated from Table 2; and M1 and M2 denote the designing value of the bending moment in the two horizontal directions. It should be noted that the span in the long direction of the bidirectional, prestressed, precast hollow-core slab must not exceed twice the span in the short direction, i.e., 0.5 ≤ L1/L2 ≤ 1.
Table 2.
Moment coefficients of four-side simply supported slab.
2.2.2. Bending Capacity of Normal Section
Bidirectional, prestressed, precast hollow-core slabs have holes parallel to the z-direction, so that the two directions of the hollow-core slabs have very different shapes in the positive section. The bidirectional slab is calculated as a rectangular cross-section in the x-direction and a T-shaped cross-section in the z-direction. T-section bending calculations are divided into two categories: the first is where the center-closing axis is inside the flange, and the second is where the center-closing axis is outside the flange. Figure 2 illustrates the three kinds of analytical models of normal cross-section bearing capacity of hollow slabs.

Figure 2.
Analytical model of normal cross-section bearing capacity of hollow slabs.
The rectangular positive section forces are simplified equivalently according to 0 (a). The following equations can be obtained from the combined force and moment balance.
where fc denotes the tensile strength of concrete; fy denotes the tensile strength of steel; b denotes the section width; h denotes the section height; h0 denotes the effective height of the cross-section, h0 = h − c; c denotes the thickness of the protective layer of concrete; As denotes the area of the tensile zone of reinforcement; x denotes the height of the concrete equivalent rectangular compression; and denotes the equivalent rectangular stress coefficient of the compression zone of the concrete.
Then, the area of the tensile reinforcement can be calculated as:
Super-stiffness damage should be avoided according to Equation (10).
where denotes the equivalent rectangular stress coefficient in the compression zone of concrete; Es denotes the modulus of elasticity of concrete; denotes the ultimate compressive strain of concrete under non-uniform compression.
In addition, under-barring should be avoided, using Equation (11).
The T-shaped positive section forces are simplified equivalently according to 0 (b) and (c), corresponding to Type 1 and Type 2, respectively. When or , it is Type 1. Otherwise, it is Type 2.
For Type 1, the calculation is similar to that for rectangular positive section forces, with the difference that the bending moment changes from M1 to M2. For Type 2, we can first calculate the moment generated by removing all the compression of the concrete of the wing rib width in the flange, and then calculate the remaining moment according to the reinforcement calculation of rectangular cross-section bending, and add the two reinforcements together.
Therefore, after selecting materials such as concrete, prestressing reinforcement and ordinary reinforcement, and also determining the dimensions of the hollow-core slab, theoretical formulas can be used to calculate the area of prestressing tendons to be used in both directions, so as to determine the number of reinforcement bars to be used, e.g., 5, 7 and so on. For hollow-core slabs of different sizes, it is important to determine which standard slabs are combined; then, simply follow the standard procedures for construction.
3. Experimental and Numerical Program
3.1. Experimental Program
3.1.1. Testing Hollow-Core Slabs
For the proposed bidirectional, prestressed, assembled floor structure, two types of prefabricated slabs with dimensions of 3.3 m × 1.5 m and 4.5 m × 1.5 m were fabricated, and three panels were transversally connected by wet joints and prestressed steel wires to form a large-scale integral floor slab with dimensions of 3.3 m × 4.5 m and 4.5 m × 4.5 m, respectively, as shown in Figure 3. The points A, B and C are the centers of each standard slab. The thickness of the two kinds of slabs are 0.12 m and 0.14 m, respectively. There is no definite reason for the selection of these two types of panels, with the main consideration being the conditions of construction and applied loads.
Figure 3.
Dimensions of hollow-core slab.
In this bidirectional, prestressed, precast hollow-core slab, the concrete strength class is C40, the longitudinal prestressing steel wire is ϕ5, the transverse prestressing strand is 7ϕ5, and the design value of the tensile strength is 1320 MPa. The tension control stress of the prestressing steel bar is . The non-prestressing reinforcement adopts an HPB300 hot-rolled steel bar with tensile strength of 300 MPa. It has a yield strength of about 235 MPa. The environmental category is Class I, and the coefficient of structural importance is 1.0. The longitudinal and transverse prestressing steel wires need to be polished and cleaned before applying the resistive strain gauges and waterproof treatment. In the designing load, the constant load is 4.5 kN/m2 and the live load is 2.0 kN/m2.
During the fabrication of bidirectional, prestressed hollow-core slabs, the construction process is controlled in strict accordance with the requirements, thus guaranteeing the strength requirements of concrete and prestressing steel reinforcement.
The key to making this bidirectional, prestressed, precast hollow-core slab is to push the precast concrete pistons into the longitudinal through-core at equal distances from the transverse prestressing bars to form transverse dense ribs to increase the transverse stiffness of the concrete slab.
3.1.2. Loading Scheme
Considering the test conditions and structural design loads, four loads (i.e., 2 kN/m2, 4 kN/m2, 6 kN/m2, and 8 kN/m2) were applied using water. We are more concerned with the safety of the structure under design load conditions. Therefore, the maximum load for the test was determined based on the design load. Moreover, considering the convenience of loading, the above four loading conditions were designed. Loading too quickly can cause instantaneous shock effects that can affect the results. In addition, loading for too short a period can result in incomplete deformation of the structure and inaccurate measurement results. Graded loading was used, increasing by 2 kN/m2 each time for 15 min. The experiment was unloaded in two stages after completion of the experiment, with the first unloading value being to 2.5 kN/m2 and the second unloading value being to 0, as shown in Figure 4.
Figure 4.
Loading case of hollow-core slab.
3.1.3. Measurements
Hollow-core slabs are often subjected to bending, so it is crucial to assess the bending performance of the structure, and deflection is one of the assessment indicators of bending performance. Three measurements are set to record the vertical displacements at the bottom of the slab while observing the cracks, as shown in Figure 5. The reason for placing the measurement points at the bottom of the slab is the ease of measurement, which is easier at the bottom than at the top. Physical quantities with a dimension, such as displacement, can intuitively reflect the degree of deformation of the structure, and all the physical quantities given in the code are dimensioned; therefore, this paper directly compares the dimensioned indexes rather than the dimensionless indexes.
Figure 5.
Layout of measurements.
3.2. Finite Element Model
3.2.1. Modeling and Meshing
The finite element method is an effective means of analyzing the internal forces and deformations of structures. This bidirectional prestressed hollow-core slab has not been described in existing code GB 50010-2010. In this study, FEM models are established for the two kinds of slabs (i.e., 3.3 m × 4.5 m and 4.5 m × 4.5 m) based on commercial software ANSYS R16.0, as illustrated in Figure 6. The overall grid size is 0.2 m and the local grid size is 0.025 m.
Figure 6.
The meshing of hollow-core slab.
Concrete is simulated using the Solid 65 unit; reinforcement and prestressing tendons are simulated using the Link 180 unit. It is assumed that the reinforcements are bonded well to the concrete and there is no slippage. Due to the symmetry of the hollow-core slab, a 2D mesh can be generated by first generating a 2D mesh and then sweeping it to generate a 3D version. The number of discretized elements for the 3.3 m × 4.5 m slab and 4.5 m × 4.5 m slab are 18,200 and 26,700, respectively. Both hollow-core slabs had 27 holes and 30 prestressing steel wires. Different numbers of prestressing steel strands were used for the two kinds of hollow-core slabs, with two bundles for the 3.3 m × 4.5 m slab and three bundles for the 4.5 m × 4.5 m slab.
3.2.2. Concrete Model
The strength class of concrete is C40, its design value of axial compressive strength is 19.1 MPa, and its axial tensile strength is 1.71 MPa. They are tested and measured by cubic samples. The modulus of elasticity is 3.25 × 104 MPa, Poisson’s ratio is 0.2, and the density is 2500 kg/m3. The stress–strain relationship is based on the multilinear isotropic strengthening model (MISO). The model takes into account the differences in material tensile and compressive properties and can simulate the irrecoverable material degradation caused by damage. The Willam–Warnker five-parameter failure criteria were used for the concrete deconstruction determination. The stress–strain curve of concrete is shown in Equations (16) and (17).
where = 0.002.
3.2.3. Prestressing Reinforcement Model
The design value of prestressing tendon tensile and compressive strength is 1320 MPa, and the modulus of elasticity is 2.05 × 105 MPa. It is ensured that the stresses in the prestressing reinforcement do not exceed the design strength. The Poisson ratio is 0.3, and the density is 7800 kg/m3. The bilinear isotropic stiffening model (BISO) is used for the stress–strain relationship. To facilitate the application of prestressing, the separated reinforcement modeling method was adopted, using face-cut concrete units to obtain force reinforcement lines, and the material properties were set for the force reinforcement lines to achieve the bond between the reinforcement and the concrete; it was approximated to assume that the reinforcement and the prestressing steel were fully bonded without considering the bonding and slippage between them.
In prestressing the prestressing tendons by using the cooling method, an initial temperature is set for the force tendon unit, and a temperature drop value is given, which causes a shrinkage deformation of the force tendon unit; this initial strain will cause the force tendon to produce a prestressing effect, i.e., the prestressing force of the model. The temperature drop value of the reinforcement is given by Equation (18).
where denotes the temperature drop value of the force tendon; P denotes the prestressing applied value; E denotes the modulus of elasticity of the force tendon; A denotes the cross-sectional area of the force tendon; α denotes the linear expansion coefficient of the force tendon, which is taken as 1.2 × 10−5/°C according to the code GB 50010-2010.
The value of prestress loss due to anchorage deformation and internal contraction of reinforcement at the tensioned end is taken as 20 N/mm2. The bench is tensioned for production by the long wire method. When the concrete is heated and cured, the prestressing loss due to temperature difference is 50 N/mm2. When the short-wire method is used for tensioning outside the steel mold, the prestressing loss due to deformation of the tension anchorage and shrinkage of the reinforcement should not exceed 70 N/mm2. The value of the prestressing loss of the prestressing steel hinges shall be 80 N/mm2.
3.2.4. Settings
Considering that only prestressing steel and concrete play a dominant role in bidirectional, prestressed, precast hollow-core slabs, the model is simplified by disregarding non-prestressing steel. The constraints are set to be four-sided and simply supported, i.e., the four bottom edges of the hollow-core slab are restricted to moving flat in three directions. The uniform load applied on the top of the hollow slab is the same as that of the static load experiment, and four levels are used to load step by step, which are divided into 2 kN/m2, 4 kN/m2, 6 kN/m2, and 8 kN/m2. The conjugate gradient algorithm (PCG) is used for the iterative solution, with a time duration of 1 s and several sub-steps of 240, and the maximum number of iterations in each sub-step is 50. The linear search algorithm is carried out by using the full-Newton Raphson method with the time step turned on automatic prediction correction, and the iterative convergence condition is 3% of the displacement.
3.2.5. Grid-Independence Validation
Three mesh schemes are checked for the two kinds of slabs to validate the grid independence. For the 3.3 m × 4.5 m slab, the number of meshing for coarse, medium, and fine meshes are 7400, 18,200, and 40,900, respectively, while for the 4.5 m × 4.5 m slab they are 10,700, 26,700, and 46,700, respectively. The loading case of 8 kN/m2 is selected for comparison, and Figure 7 displays the vertical displacement for the three mesh schemes. The results show that the maximum error between the coarse scheme and fine scheme and between the medium scheme and fine scheme is 3.92% and 0.72% for the 3.3 m × 4.5 m slab, respectively, and 3.68% and 1.16% for the 4.5 m × 4.5 m slab, respectively. Therefore, considering the computational accuracy and efficiency, the medium scheme is chosen to carry out a follow-up study for both types of slabs.

Figure 7.
Grid-independence validation for FEM.
4. Results and Discussions
4.1. Validations for FEM Models
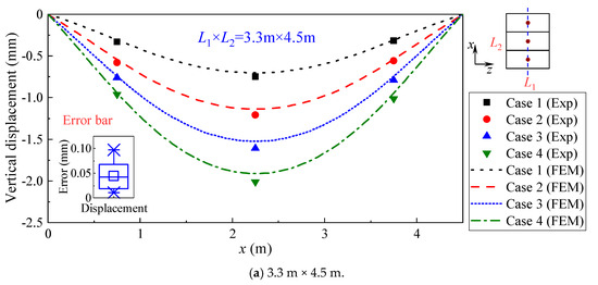
In this section, the experimental and FEM results of the two slabs are compared, and the comparison results are plotted in Figure 8 with error bars. Here, Case 1, Case 2, Case 3, and Case 4 correspond to the four loading cases, i.e., 2 kN/m2, 4 kN/m2, 6 kN/m2, and 8 kN/m2. It can be found that the experimental results and FEM results of both plates are in good agreement, indicating that the FEM simulation has a certain accuracy and reliability. For the 3.3 m × 4.5 m slab, both the mean and median errors of vertical displacements are 0.04 mm. For the 4.5 m × 4.5 m slab, the mean and median errors of vertical displacements are 0.06 mm and 0.04 mm, respectively. Therefore, the mean value of the overall prediction error of FEM for both slabs is 0.05 mm. Since the experimentally measured data are very limited and proved to be in good agreement with the FEM results through comparison, the subsequent analysis is mainly based on the FEM results.

Figure 8.
Vertical displacement of experimental and FEM results.
Furthermore, the theoretical analysis for the bending capacity of the two slabs can be easily checked and passed based on the aforementioned theories in Section 2.2.2.
4.2. Analysis of Hollow-Core Slabs
4.2.1. Deformations of Hollow-Core Slabs
- (1)
- Slab measuring 3.3 m × 4.5 m
Figure 9 illustrates the contour of vertical displacement for a 3.3 m × 4.5 m slab under the four loading schemes. It can be noted that the displacement form of the proposed bidirectional prestressed hollow-core slab is similar to that of the four-sided simply supported slab, which is characterized by a large middle and small four sides. This reflects the bidirectional force characteristics of the hollow-core slab. The mid-span deflection of the hollow-core slab increases gradually as the load increases. The maximum deflection of the hollow-core slab under Case 4 loading is 1.91 mm, which is much less than 1/300 of the span of the slab, indicating that the deflection of the structure under this load meets the safety requirements. The results for Case 4 loading are close to those of Wu et al. [8] for the 3.76 m × 3.76 m, i.e., 1.85 mm.

Figure 9.
Contour of vertical displacement for 3.3 m × 4.5 m slab.
Figure 10 shows the load–deflection curves for the 3.3 m × 4.5 m slab. The curve does not pass the origin because of the presence of self-weight of the slab and the displacement of the structure still exists when the load is zero. The first stage is loaded with 0–10 kN/m2 and the second stage is loaded with 12–26 kN/m2. When the loading reached 26 kN/m2, the maximum deflection of the slab reached 6.4 mm and the concrete cracked. Although there are no test data to support loads over 8 kN/m2, we believe that both the FEM results and the test data are in good agreement at less than or equal to 8 kN/m2; therefore, we assume that the FEM simulation results are also reliable at high loads. Such situations are similar to another kind of slab.
Figure 10.
Load–deflection curves for 3.3 m × 4.5 m slab.
- (2)
- Slab measuring 4.5 m × 4.5 m
Figure 11 displays the contour of vertical displacement for a 4.5 m × 4.5 m slab under the four loading schemes. It has a similar pattern for vertical displacement distribution when compared to the 3.3 m × 4.5 m slab. The vertical deflections appear to be locally extreme at the bundle locations when subjected to three prestressing steel bundles at low loads. As the load increases, these local maxima disappear. The maximum deflection of the hollow-core slab under Case 4 loading is 2.77 mm, which is also much less than 1/300 of the span of the slab.

Figure 11.
Contour of vertical displacement for 4.5 m × 4.5 m slab.
Figure 12 displays the load–deflection curves for 4.5 m × 4.5 m slab. The first stage is loaded with 0–10 kN/m2 and the second stage is loaded with 12–21 kN/m2. When the loading reached 21 kN/m2, the maximum deflection of the slab reached 8.1 mm, and the concrete cracked.
Figure 12.
Load–deflection curves for 4.5 m × 4.5 m slab.
4.2.2. Stress of Hollow-Core Slabs
- (1)
- Slab measuring 3.3 m × 4.5 m
The contours of first principal stress, third principal stress, and von Mises stress for the 3.3 m × 4.5 m slab are illustrated in Figure 13, Figure 14, and Figure 15, respectively. For all four cases, the tensile stresses of the structure reached the design value of tensile strength of concrete, but the compressive and von Mises stresses did not reach the design value of compressive strength of concrete.

Figure 13.
Contour of first principal stress for 3.3 m × 4.5 m slab.

Figure 14.
Contour of third principal stress for 3.3 m × 4.5 m slab.

Figure 15.
Contour of von Mises stress for 3.3 m×4.5 m slab.
- (2)
- Slab measuring 4.5 m × 4.5 m
The contours of first principal stress, third principal stress, and von Mises stress for the 4.5 m × 4.5 m slab are shown in Figure 16, Figure 17, and Figure 18, respectively. The three stress distribution patterns of this slab are similar to those of the 3.3 m × 4.5 m slab, and the three stresses are significantly larger than the latter due to the larger span of the slab.

Figure 16.
Contour of first principal stress for 4.5 m × 4.5 m slab.

Figure 17.
Contour of third principal stress for 4.5 m × 4.5 m slab.
Figure 18.
The contour of von Mises stress for 4.5 m × 4.5 m slab.
4.2.3. Strain of Hollow-Core Slabs
- (1)
- Slab measuring 3.3 m × 4.5 m
As for concrete, the magnitude of strain directly affects the strength and stability of the structure. Moreover, there is no slip in the reinforcement and concrete, so only the strain in the concrete needs to be analyzed. Figure 19 shows the Z-component of the elastic strain of Case 4 for a 3.3 m × 4.5 m slab. The distribution pattern is similar to vertical displacement, with a local extreme value in the middle of the slab. The top of the slab is under compression with a maximum strain of −200 and the bottom of the slab is under tension with a maximum strain of 306 .
Figure 19.
Z-component of the elastic strain of Case 4 for 3.3 m × 4.5 m slab.
- (2)
- Slab measuring 4.5 m × 4.5 m
Figure 20 displays the Z-component of the elastic strain of Case 4 for a 4.5 m × 4.5 m slab. The top of the slab is under compression with a maximum strain of −245 and the bottom of the slab is under tension with a maximum strain of 374 .
Figure 20.
Component of the elastic strain of Case 4 for 4.5 m × 4.5 m slab.
4.2.4. Cracking of Hollow-Core Slabs
- (1)
- Slab measuring 3.3. m × 4.5 m
Figure 21 shows the cracking process of Case 4 for a 3.3 m × 4.5 m slab. In stage 1, cracks occurred at the ends of the holes in the hollow-core slab and at the ends of the prestressing steel strands. In stage 2, cracks were concentrated at the ends of the prestressing steel strands. In terms of the cracking process, in the FEM simulation, the slab is subjected to a large pretension force by the prestressing, while the pressure around the slab is small, unlike the rest of the locations where the pretension force can be counteracted by the pressure generated by the loads and self-weight. Therefore, the slab is mainly cracked in tension around the perimeter. A similar phenomenon can be found in another slab.
Figure 21.
Cracking of Case 4 for 3.3 m × 4.5 m slab.
- (2)
- Slab measuring 4.5 m × 4.5 m
Figure 22 illustrates the cracking process of Case 4 for a 4.5 m × 4.5 m slab. The first concrete crack in this slab occurred in a similar location to the 3.3 m × 4.5 m slab. At the time of the second concrete crack occurrence, the slab had cracks not only at the ends of the prestressing steel strands but also at the ports of the holes close to the sides of the slab.

Figure 22.
Cracking of Case 4 for 4.5 m × 4.5 m slab.
5. Conclusions
In this paper, a bidirectional, prestressed, precast hollow-core slab is proposed. The main contributions and findings are as follows.
- (1)
- A series of novel bidirectional, prestressed, precast hollow-core slabs based on several standard precast hollow-core slabs is proposed. The design safeguards both the bidirectional force transfer nature of the slab and the assembly properties.
- (2)
- Theoretical analysis, FEM, and experiments are conducted for two kinds of bidirectional, prestressed, precast hollow-core slabs, i.e., 3.3 m × 4.5 m and 4.5 m × 4.5 m. The mean value of the deflection prediction error for both FEM and experiments is only 0.05 mm, indicating that FEM has good accuracy and reliability.
- (3)
- The distribution of deformations, stress, and strain for the two kinds of hollow-core slabs under four loading schemes are analyzed in-depth. Moreover, the cracking processes are compared and investigated. The results show that the deflections of the proposed 3.3 m × 4.5 m and 4.5 m × 4.5 m bidirectional, prestressed, precast hollow-core slabs under the design load are less than 1.91 mm and 2.77 mm, respectively, which are less than one-third of the span, and the structural resistance performance meets the requirements.
The main objective of this paper is to propose a series of bidirectional, prestressed, precast hollow-core slab for different sizes and taking into account the assemblage and overall stress performance, which provides a strong support for the rapid construction of assembled floor slabs and high-performance disaster prevention and mitigation.
Author Contributions
Methodology, F.Z.; Formal analysis, W.H.; Writing—original draft, J.J.; Writing—review & editing, B.W.; Funding acquisition, W.H. All authors have read and agreed to the published version of the manuscript.
Funding
The authors gratefully acknowledge the financial support provided by the National Natural Science Foundation of China (Grant No. 52478516, 52208479, 52468069), the Jiangxi Provincial Natural Science Foundation Project (Grant No. 20232BAB204082), and Technical Leader Training Programs in Major Disciplines (20243BCE51162).
Data Availability Statement
The original contributions presented in the study are included in the article, further inquiries can be directed to the corresponding author.
Conflicts of Interest
Author Fuyan Zheng was employed by the company Jiangxi Xintiandi Special Reinforcement Engineering Co., Ltd. The remaining authors declare that the research was conducted in the absence of any commercial or financial relationships that could be construed as a potential conflict of interest.
Notations
| Bi | Width of standard slab, i = 1, 2, 3 corresponding to 0.9 m, 1.2 m and 1.5 m, respectively |
| L1 | Length of hollow-core slab, 2.7~6.0 m with modulus of 0.3 m |
| L2 | Width of hollow-core slab, 2.7~6.0 m with modulus of 0.3 m |
| H | Thickness of hollow-core slab, 0.12 m or 0.14 m |
| p | Number of concealed beams |
| h1 | Thickness at bottom (top) |
| h2 | Diameter of holes |
| n | Number of holes |
| b1 | Distance between hole and edge of slab |
| b2 | Distance between holes |
| dn | Distance between hole and edge of slab |
| dm | Distance between holes |
| d1 | Length of end mandrel |
| d2 | Length of middle mandrel |
| S | Load combination value |
| SGK | Standard value of uniform constant load |
| SQK | Standard value of uniform live load |
| Constant load sub-coefficient | |
| Live load sub-coefficient | |
| M1 | Designing value of the bending moment in the length direction |
| M2 | Designing value of the bending moment in the width direction |
| m1 | Bending moment coefficient for M1 |
| m2 | Bending moment coefficient for M2 |
| fc | Tensile strength of concrete |
| fy | Tensile strength of steel |
| b | Section width |
| h | Section height |
| h0 | Effective height of the cross-section |
| c | Thickness of the protective layer of concrete |
| As | Area of the tensile zone of reinforcement |
| Equivalent rectangular stress coefficient of the compression zone of the concrete | |
| Equivalent stress coefficient of the compression zone of the concrete | |
| Es | Modulus of elasticity of concrete |
| Ultimate compressive strain of concrete under non-uniform compression |
References
- Liu, Z.; Qian, J.; Zhao, Z.; Xu, Y.; Zhao, L. Static test of a simple support prestressed concrete hollow slab with two-way tube fillers. China Civ. Eng. J. 2010, 43, 40–48. [Google Scholar] [CrossRef]
- Hou, H.; Feng, M.; Qiu, C.; Lan, R.; Qu, B.; Wang, Y.; Tian, L. Experimental and theoretical study on flexural behavior of prestressed concrete composite slab with steel rib. J. Build. Struct. 2018, 39, 103–110. [Google Scholar] [CrossRef]
- Cui, S.; Liu, C.; Liu, W.; Shi, L. Research on experiment and calculating methods of flexural stiffness in direction perpendicular to separating-type joints for concrete composite slab. J. Build. Struct. 2018, 39, 75–84. [Google Scholar] [CrossRef]
- Zhong, C. A study on the application of bi-directional prestressed precast hollow core slabs in the structural construction of house buildings. Urban Resid. 2020, 27, 206–207. [Google Scholar]
- Hegger, J.; Roggendorf, T.; Kerkeni, N. Shear capacity of prestressed hollow core slabs in slim floor constructions. Eng. Struct. 2009, 31, 551–559. [Google Scholar] [CrossRef]
- Derkowski, W.; Surma, M. Complex Stress State in Prestressed Hollow Core Slabs. In Recent Advances in Civil Engineering: Building Structures; Cracow University of Technology: Kraków, Poland, 2015. [Google Scholar]
- Xun, S.; Shiping, Y.; Yuhou, Y.; Jian, F.; Litao, L. Comparative analysis of flexural performance of old full-scale hollow slab beams reinforced with fiber composites. Constr. Build. Mater. 2022, 338, 127657. [Google Scholar] [CrossRef]
- Wu, F.; Deng, L.; Liu, B.; Li, J.; Chen, S. Experimental study on four-sides simply supported single-direction-prestress double-direction-tendon concrete composite floorslab. Build. Struct. 2014, 44, 6–11. [Google Scholar] [CrossRef]
- Liu, Z.; Xia, W. Study on the shear performance of cast-in-place prestressed concrete hollow-core slabs with bi-directional fabric pipes. Railw. Eng. 2009, 5, 119–122. [Google Scholar]
- Fan, S.; Nguyen, T.N.H.; Ren, H.; Wang, P. Data-driven shear strength predictions of prestressed concrete hollow-core slabs. J. Build. Eng. 2024, 95, 110343. [Google Scholar] [CrossRef]
- Lei, Z.; Zhong, F.; Yang, C.; Tong, L.; Xu, X.; You, Y. Experimental study on the flexural resistance of existing prestressed hollow-core slab beams. Structures 2024, 63, 106323. [Google Scholar] [CrossRef]
- Li, J.; Tang, W.; Liu, J.; Hu, H.; Chen, Y.F. Negative bending behavior of prestressed hollow core slab with cast-in-place RC layer in the RC beam-slab joint area. Structures 2024, 69, 107440. [Google Scholar] [CrossRef]
- de Lima Araújo, D.; Sales, M.W.R.; Silva, R.P.M.; Antunes, C.D.F.M.; de Araújo Ferreira, M. Shear strength of prestressed 160 mm deep hollow core slabs. Eng. Struct. 2020, 218, 110723. [Google Scholar] [CrossRef]
- de Souza, J.R.; de Lima Araújo, D. Shear capacity of prestressed hollow core slabs in flexible support using computational modelling. Eng. Struct. 2022, 260, 114243. [Google Scholar] [CrossRef]
- Wang, Z.; Wang, M.; Xu, Q.; Harries, K.A.; Li, X.; Gao, R. Experimental research on prestressed concrete hollow-core slabs strengthened with externally bonded bamboo laminates. Eng. Struct. 2021, 244, 112786. [Google Scholar] [CrossRef]
- Zhang, S.; Du, S.; Ang, Y.; Lu, Z. Study on performance of prestressed concrete hollow slab beams reinforced by grouting with ultra-high performance concrete. Case Stud. Constr. Mater. 2021, 15, e00583. [Google Scholar] [CrossRef]
- Moldovan, I.-F.; Nedelcu, M.; Buru, S.-M. Analysing the Performance of Hollow Core Slabs Strengthened with CFRP. In IOP Conference Series: Materials Science and Engineering; IOP Publishing: Bristol, UK, 2021; Volume 1203, p. 32056. [Google Scholar]
- Derkowski, W.; Surma, M. Prestressed hollow core slabs for topped slim floors—Theory and research of the shear capacity. Eng. Struct. 2021, 241, 112464. [Google Scholar] [CrossRef]
- Di, J.; Sun, Y.; Yu, K.; Liu, L.; Qin, F. Experimental investigation of shear performance of existing PC hollow slab. Eng. Struct. 2020, 211, 110451. [Google Scholar] [CrossRef]
- Joo, H.E.; Han, S.J.; Kim, K.S. Analytical model for shear strength of prestressed hollow-core slabs reinforced with core-filling concrete. J. Build. Eng. 2021, 42, 102819. [Google Scholar] [CrossRef]
- Cheng, H.; Nie, K. Internal Force Calculation and Ansys Analysis of Unbondedand Bonded Prestressed Hollow Beam Mixing Two-way System Board Structure. J. Hunan Inst. Eng. 2015, 25, 83–86. [Google Scholar] [CrossRef]
- Yi, N.-H.; Lee, S.-W.; Kim, J.-W.; Kim, J.-H.J. Impact-resistant capacity and failure behavior of unbonded bi-directional PSC panels. Int. J. Impact Eng. 2014, 72, 40–55. [Google Scholar] [CrossRef]
- Nassiraei, H. Probabilistic analysis of strength in retrofitted X-Joints under tensile loading and fire conditions. Buildings 2024, 14, 2105. [Google Scholar] [CrossRef]
- Ministry of Housing and Urban-Rural Development of the People’s Republic of China. GB 50010-2010; Code for Design of Concrete Structures. China Construction Industry Press: Beijing, China, 2010. [Google Scholar]
Disclaimer/Publisher’s Note: The statements, opinions and data contained in all publications are solely those of the individual author(s) and contributor(s) and not of MDPI and/or the editor(s). MDPI and/or the editor(s) disclaim responsibility for any injury to people or property resulting from any ideas, methods, instructions or products referred to in the content. |
© 2025 by the authors. Licensee MDPI, Basel, Switzerland. This article is an open access article distributed under the terms and conditions of the Creative Commons Attribution (CC BY) license (https://creativecommons.org/licenses/by/4.0/).