Abstract
The prediction of structural damage through vibrational analysis is a critical task in the field of composite structures. Structural defects and damage can negatively influence the load-carrying capacity of the beam. Therefore, detecting structural damage early is essential to preventing catastrophic failures. This study addresses the challenge of predicting damage in composite concrete–steel beams using a vibration-based finite element approach. To tackle this complex task, a finite element model to a quasi-static analysis emulating a four-point pure bending experimental test was performed. Notably, the numerical model equations were carefully modified using the Newton–Raphson method to account for the stiffness degradation resulting from material strains. These modified equations were subsequently employed in a modal analysis to compute modal shapes and natural frequencies corresponding to the stressed state. The difference between initial and damaged modal shape curvatures served as the foundation for predicting a damage index. The approach effectively captured stiffness degradation in the model, leading to observable changes in modal responses, including a reduction in natural frequencies and variations in modal shapes. This enabled the accurate prediction of damage instances during construction, service, or accidental load scenarios, thereby enhancing the structural and operational safety of composite system designs. This research contributes to the advancement of vibration-based methods for damage detection, emphasizing the complexities in characterizing damage in composite structural geometries. Further exploration and refinement of this approach are essential for the precise classification of damage types.
1. Introduction
Over the past few decades, the use of steel–concrete composite structures has increased significantly due to their exceptional structural performance in high-rise buildings and long-span bridges. This structural configurationintegrates the behavior of concrete and structural steel within a unified composite section to yield higher strength and stiffness when compared to traditional reinforced concrete or structural steel structures [1,2]. This enhanced stiffness and strength enables the design of elements with smaller cross sections, thereby improving the dynamicresponse of these structures when subjected to loads such as those generated duringearthquakes. Moreover, the use of smaller section elements results in material savings and a reduction in construction times, thereby generating economic benefits [3].
Composite construction usually consists of a concrete slab pre-cast onto a profiled cold-formed steel sheet, and attached to a structural steel beam with a mechanical connection welded to the top flange of the steel element [4]. The resulting composite structure possesses greater mechanical performance compared with its individual components. The primary design consideration for these composite elements is flexural bending [5], where the concrete slab takes the stresses in compression, while the tensile stress is resisted by the steel section [6]. For composite concrete and steel systems to behave as a single flexural element, the concrete slab and steel must be rigidly attached. Traditionally, headed steel shear stud anchors are welded to and distributed along the top of the steel element to ensure the horizontal shear is effectively transferred across the concrete steel interface [7,8]. However, relative longitudinal displacements occur due to the flexible shear connection, causing the concrete near the connection to crack [9,10].
Damage in steel–concrete composite beams is frequently relatedto long-term cyclic loads from traffic on parking buildings or bridges, fatigue on shear stud anchors, or seismic loads [11,12]. When damage occurs in composite structures, cracking in the concrete slab and shear connector failure-induced slip between the beam and slab are among the most common types of damage that occur during service [13]. These damage types are the primary cause of stiffness degradation, leading to a decrease in the load-bearing capacity of the structure [14]. Moreover, with the increasing number of existing structures entering the aging period of their life, damage of the composite structure is becoming an evident problem that appears to be crucial to study in depth.
To minimize the risk of strength reduction in composite systems, Structural Health Monitoring (SHM) can be used to assess the damage status through in situ measurements and structural analysis, preventing premature collapse [15,16,17,18]. More recently, further progress has been made toward the concept of data processing for modal identification [19]. For instance, Mostafaei et al. [20] presented a fully automated modal identification algorithm to identify modal parameters for an unknown system based on its output information. The proposed algorithm identified modal parameters using only one dataset of a five-story steel building structure, increasing accuracy and robustness with the repeatable result as compared to similar algorithms. Out of the various measurement techniques used in SHM,vibration-based damage detection (VBDD) methods are among the mostpowerful tools for detecting and assessing structural damage. Since damage affects the dynamic properties of structures, VBDD methods rely on changes in vibratory characteristics such as natural frequency, vibration modes, modal damping, and frequency response functions [21]. Damage-related changes in these vibration properties include a reduction in natural frequency, an increase in modal damping, and variation in vibration modes [22]. Among the VBDD methods, the one based on changes in vibration modes is most suitable for detecting damage because it is less affected by operational uncertainties [23].
To detect and assess damage, the vibration modes of the initial state of the structure are compared with the current (damaged) states using a damage detection algorithm. For instance, Xiao et al. [24] investigated the damage identification problem of a large-scale three-dimensional (3D) truss structure using a stiffness separation method to identify the damage to a truss structure. Xiao et al. [25] extended the previous problem by applying a partial model-based damage identification method for the damage identification of long-span steel truss bridges. Xiao et al. [26] uses the stiffness separation method to asses damage in large-scale structures. Yu et al. [27] introduced a hybrid framework for structural damage diagnosis that combines principal component analysis (PCA), deep stacked autoencoders (DSAE), and data fusion techniques. To enhance the performance of the diagnostic model, the authors utilized the enhanced whale optimization algorithm (EWOA) to optimize the DSAE’s meta-parameters, including the dropout rate, weight decay coefficient, learning rate, and the number of neurons in the hidden layers. Seguel and Meruane [28] used Mode Shape Curvature (MSC), Uniform Load Surface, and Strain Energy Method detection algorithms to assess the damage of an aluminum honeycomb sandwich panel. The MSC algorithm detects and locates damage using curvature vibration modes, where abrupt changes or discontinuities in curvature are caused by local loss of stiffness, representing structural damage [22]. Curvature-based damage detection methods have been used to diagnose damage in steel–concrete composite beams. Meruane et al. [29] presented a damage detection problem in a steel–concrete composite structure using an impact-hammer-based modal testing procedure. The mode shape curvatures change due to the loss of stiffness in the presence of cracks; a change in curvature was adopted as a criterion to quantify stiffness reduction.
During the process of identifying and assessing damage in structures, finite element (FE) models are often used to extract the vibration response of the undamaged condition. The initial response is then compared with experimental vibration measurements. However, several researchers have reported modified procedures to implement FE models to better represent the damaged condition in the vibrational response. Pachón et al. [30] performed a numerical study based on Operational Modal Analysis at the San Jerónimo de Buenavista Monastery (Seville, Spain). This study implemented an FE model of the structure to calculate the initial and current modal responses. To represent the current condition, the model was updated using a genetic algorithm based on the ambient vibration tests. The modal responses were obtained from the updated FE model and validated with the experimental vibration modes through the Modal Assurance Criterion. Altunışık et al. [31] performed ambient vibration tests and FE models of cantilever beams to obtain the vibrational responses in the initial and damaged state. To represent the damage state in the numerical models, an automated model updated with the use of the modal assurance criterion (MAC) and the coordinated modal assurance criterion (COMAC) in ambient vibration tests was implemented to identify the size and location of crack. However, the model updating process was used to maintain the exact boundary condition for the laboratory model. On the other hand, Sridhar and Prasad [32] and Salazar [33] represented the damage through discontinuities in the geometry of the model to compute the damaged vibration modes. FE models can mathematically represent composite steel–concrete beams, which are composed of nodes, elements, constitutive models, and boundary conditions. To model FE composite steel–concrete beams, several authors used many FE-technology and materials models to represent concrete and steel components. Queiroz et al. [2] conducted FE modeling of a composite beam subjected to bending to analyze the influence of shear connector failure on the beam response in Ansys V7.0 software. The beam was modeled using Shell43, Solid65, and Combin39 elements for the steel beam, concrete slab, and shear connectors, respectively. A multilinear isotropic hardening model with the von Mises yield criterion was used to represent the concrete and steel material behavior. Hu et al. [34] conducted an FE modeling of a composite beam to evaluate the maximum flexural capacity in Ansys Mechanical. The composite beam was modeled using the Solid65 element for the concrete slab and the Solid45 element for the steel girder and shear connectors. To represent the concrete and steel, were used the constitutive relationships proposed by Wang et al. [35] and Esmaeily and Xiao [36], respectively. Also, the concrete compressive and tension behavior can be modeled according to Subramani et al. [37] and Dahmani et al. [38] using the Solid65 element and a non-linear constitutive model with the failure criterion proposed by Willam and Warnke [39] to model the concrete in a reinforced concrete beam in Ansys V8.0 software. Mahmoud [40] also used a multilinear isotropic material, using the Von Mises yield criterion for steel and the Willam and Warnke failure criteria for concrete.
The objective of this study is to propose and implement an efficient vibration-based damage detection method applied to a steel–concrete composite beam finite element (FE) model, addressing critical gaps in existing research. A key innovation of this work lies in the ability of the numerical model to dynamically represent the damaged state of the structure by updating the tangent stiffness matrix through a quasi-static nonlinear analysis. This approach accounts for geometric, material, and contact nonlinearities, which are often overlooked in conventional vibration-based damage detection studies. The implementation of the Newton–Raphson method within the Linear Perturbation Modal Analysis (LPMA) framework enables the representation of stiffness degradation caused by mechanical loads. This allows for the extraction of vibration modes that incorporate the effects of structural stiffness degradation, revealing essential damage indicators such as reductions in natural frequencies and increases in vibration mode amplitudes compared to the undamaged state. Furthermore, the modal responses are analyzed using the Modal Shape Curvature (MSC) algorithm, which successfully localizes and quantifies damage in the numerical model. These results are validated by comparing with experimental bending test data from Meruane et al. [29], demonstrating the robustness and accuracy of the proposed methodology.
2. Numerical Framework
In this section, the numerical framework for damage prediction based on vibration modes is discussed. The methods employed are based on the Ansys Mechanical theory reference [41] and previous work done by Pandey et al. [22]. In the Ansys Mechanical theory reference, linear perturbation theory is based on the principles of linear elasticity and assumes that the deformation of a solid body under small perturbations can be described by a linear relationship between the stress and strain tensors.
To extract and compare the vibration modes from the initial and stressed states of the FE model, two different analyses were required: (1) a modal analysis was performed to calculate the vibration modes in the initial condition, and (2) a linear perturbation modal analysis (LPMA) was conducted to compute the vibration modes considering the stress effects in the structure. Vibrational responses were obtained by modal analysis instead of a dynamic analysis due to avoid computational resource constraints and numerical stability issues arising from the large number of equations and nonlinearities in the model [42]. Consequently, LPMA was more suitable for the purpose of this study. Finally, the MSC algorithm was then applied to derive the vibration modes curvatures from the modal responses extracted. This algorithm allowed the definition of a damage index that enables the identification, location, and severity assessment of the damage.
2.1. Extraction of the Vibration Modes
The mathematical background for the vibration modes extraction from the composite beam FE model initial and stressed states is presented coming up. Section 2.1.1 presents the modal analysis mathematical expressions to compute the modal shapes and natural frequencies principally from the initial state. Section 2.1.2 is shows a procedure for updating the FE model equations which were used in a modified modal analysis to achieve the modal shapes and natural frequencies affected by stresses.
2.1.1. Modal Analysis
Modal analysis is a technique employed to determine the dynamic properties or modal parameters for linear-elastic structures, which includes the vibration modes and natural frequencies [43].
The non-forced vibratory response for a systems of various degrees of freedom is formulated as
, , and are the mass, damping, and stiffness structural matrices, respectively. Also, , , and correspond to the displacement, velocity, and acceleration vectors. For a linear system, free vibrations will be harmonics of the form, as follows:
where is the eigenvector representing the mode shape of the natural frequency, correspond to the natural circular frequency (radians per unit time), and t concerns time.
The Equation (2) and their time derivatives are replaced in Equation (1) and operating mathematically an expression is obtained as a function of modal shapes (eigenvectors) and natural circular frequencies (eigenvalues) in the form, as follows:
The eigensolution from Equation (3) allows the extraction of the vibration modes and their natural frequencies.
2.1.2. Linear Perturbation Modal Analysis
LPMA is a numerical technique designed to calculate modal responses from stressed structure FE models, taking into account the nonlinearities associated with material models, contact elements, and significant changes in geometry that can occur during a structural analysis. This approach employ the Newton–Raphson method to derive the tangent stiffness matrix in order to calculate nonlinear preloaded solutions. Then, the stressed solution matrices will be used to compute modal responses. This procedure consists of three phases: In the first phase, a nonlinear base static analysis is performed to obtain the model stress state. In the next phase, the nonlinear base analysis is restarted at a point of interest and the information from the converged sub-step is utilized to regenerate the tangent stiffness matrix. The regeneration of the tangent stiffness matrix considers the nonlinearity of the material through the tangent in the material constitutive curve for a stress state obtained at an interesting point in the analysis. This tangent in the material constitutive curve replaces the initial elastic modulus as the elastic constant for subsequent analyses that consider material nonlinear effects in the stress states. The last phase involves the FE model nodal coordinates updating due to the total displacement from the nonlinear base analysis, the mass and damping matrices generation, as well as the use of the tangent stiffness matrix generated at previous phases for defining the eigenvalue problem to be solved by a modal analysis for the vibration modes extraction considering the stress effects in the numerical model.
The global tangent stiffness matrix defined in the LPMA second phase is composed as follows:
where is the contribution to the tangent stiffness coming from the material properties, the stress stiffening matrix, the load stiffening matrix, the total stiffness matrix contributed from contact elements of the model, and the spin-softening matrix introduced by rotational velocities. The subscript i refers to the sub-step of interest in the base analysis solution.
Therefore, the global tangent stiffness matrix represented by Equation (4) and the mass and damping matrices generated during LPMA are used to reformulate the governing Equation (1) presented as
Analogously, Equation (5) is mathematically manipulated similarly in Section 2.1.1 to define the governing equation in an eigenvalue problem form.
The eigensolution from Equation (6) allows the extraction of the vibration modes and their natural frequencies for an FE model considering the current stress state.
2.2. Damage Index with Shape Curvature Algorithm
The MSC is a method proposed by Pandey et al. [22] where the vibration mode curvatures are used for damage detection. The damage corresponds to a local stiffness degradation represented by peaks or sudden changes in the curvature slope. These peaks and slope changes are obtained by the absolute difference between damaged and non-damaged vibration mode curvatures.
To calculate the vibration mode curvatures, an algorithm was performed based on the central difference approximation utilizing the nodal displacements from FE modal analysis through the following expression:
Equation (7) corresponds to a numerical approximation to the vibration mode second derivative for a 2D system. refers to modal shape, and h is the uniform separation from the modal shape discrete points (FE nodal solution). The absolute difference between damaged and non-damaged modal shape curvatures is defined as
Then, Equation (8) is known as damage index , corresponding to the mode at any internal point . Also, refers to the modal shape of the damaged structure and represents the modal shape from the non-damaged structure.
In 3D FE problems, the curvature of a vibration mode is able to be computed by a similar procedure as mentioned before for 2D cases. Hence, Equation (7) needs to be extended to consider plate, shell, or solid elements. At any internal point , the curvature of the vibration mode may be calculated using a second-order central scheme.
and
Equations (9) and (10) allow for computing 3D surface curvatures in X and Y directions, respectively. These surface curvatures are obtained for damaged and non-damaged conditions, which are also used to determine the damage index defined as
Then, Equation (11) performs the absolute difference for current and initial curvatures in X and Y directions, at the same time deriving a resultant surface curvature.
The total damage index for the point may be estimated through the following expression if there are m distinct vibration modes, as follows:
In a case when the damage is detected, Equation (12) must be represented by a regular surface curvature. However, if , the damage is not detected and is represented by a smooth or flat surface curvature.
3. Numerical Model
The present study employed a numerical model, which was executed using the software Ansys Mechanical 2022 R2 version. This model simulated an experimental specimen in laboratory conditions. Initial stages of numerical simulation focused on defining the geometry of the model, specifying the properties of the constituent materials, and setting the boundary constraints. The selection of finite element technology and material models available in the aforementioned software determined the mathematical model used. Geometric and material nonlinearities were addressed to account for any nonlinear response of the experimental composite beam that may arise during the simulation. These considerations are crucial for understanding the impact of stress and strain states, including nonlinear sources, on modal responses. Neglecting geometric and material nonlinearities would result in unchanged modal responses regardless of the loading state, thereby compromising the damage detection process. Without variations in modal responses, the algorithm would fail to identify damage.
3.1. Model Geometry
The numerical model was based on a full-scale composite concrete–steel beam that was previously investigated by Meruane et al. [29] and constructed in compliance with Eurocode 4 [44]. The experimental setup is depicted in Figure 1.
Figure 1.
Scheme of the experimental four-point bending test setup [29].
The concrete slab had dimensions of 5500 mm length, 1300 mm width, and 170 mm thickness and was cast on a 0.8 mm thick steel deck profile. The slab was joined to the steel beam using 18 shear stud anchors with a diameter of 19 mm in a row along the longitudinal axis. The steel beam utilized in the experimental setup was 5500 mm long, 270 mm high, and featured flanges with a width of 280 mm and thickness of 13 mm, as well as a web thickness of 8 mm.
The model geometry was represented by 95,871 nodes and 101,534 elements, which were adapted to the dimensions and configuration of the beam components displayed in Figure 2. To represent the structural behavior accurately, the FE model considered two planes of symmetry and simplified the geometry of the original structure. Suitable boundary conditions were defined in the model for this purpose.
Figure 2.
Composite concrete–steel beam FE model.
3.2. Material Properties
The material properties used in the FE model were obtained from experimental data for the full-scale composite concrete–steel beam investigated by Meruane et al. [29]. The structural response of the model was intended to match the experimental test. Two tables summarize the mechanical characteristics of the concrete and structural steel components in composite beams. These properties include the elastic modulus (E), Poisson’s ratio (), yield stress (), yield strain (), and tangent modulus (). Additional parameters were required to define the Menetrey–Willam model for concrete as plastic strain at uniaxial compressive strength (), plastic strain at the transition from power law to exponential softening (), relative stress at the start of nonlinear hardening (), residual relative stress at (), residual compressive relative stress (), mode I area-specific fracture energy (), and residual tensile relative stress (). These parameters were defined from relations between uniaxial compressive strength and elastic modulus.
Table 1 outlines the elastic properties of G-25 concrete according experimental data by Meruane et al. [29]. Table 2 shows the Menetrey–Willam input parameters based on G-25 concrete properties and Table 3 reports the mechanical properties of the HEA280 section beam of grade A-36, grade 37 trapezoidal profiled sheet, and grade A-108 shear anchors according to their technical specifications. In particular, the lower Poisson’s ratio for the profiled steel sheeting is a result of manufacturing processes (such as profiling or corrugation), variations in material composition, or internal microstructure, which may influence its lateral strain response. This value differs from typical structural steel (i.e., the steel beam and stud anchors), where the isotropic response is expected when undergoing elastic deformation uniformly in all directions under stress. Numerically, a higher Poisson’s ratio of the standard steel beam may contribute to greater lateral stiffness, which might influence dynamic characteristics differently than the profiled steel sheeting with its lower Poisson ratio.
Table 1.
Mechanical properties of G-25 concrete.
Table 2.
Menetrey–Willam input parameters for G-25 concrete.
Table 3.
Mechanical properties of steel elements.
3.3. Finite Element Technology, Meshing, and Constitutive Laws
The FE technology used in the concrete slab modeling was Solid185, which represents solid structures with plasticity, stress stiffening, large deflection, and large strain, and supports linear perturbation analysis. Figure 3 displays the finite element mesh of the concrete slab composed of 81,628 nodes and 71,352 elements. The structural steel beam and steel deck were modeled using the Shell181 FE technology, which is suitable for linear, large rotation, or large strain nonlinear applications and supports linear perturbation analysis. In Figure 4 the structural steel beam FE mesh composed by 5362 nodes and 5166 elements are illustrated, as well as the steel deck FE mesh by 6496 nodes and 6255 elements. The shear stud anchors were modeled by the Solid185 FE technology, and their meshing involved 2385 nodes and 1368 elements. The constitutive law used to represent the nonlinear behavior of the modeled steel components was the bilinear isotropic hardening material model and the von Mises yield criterion. The constitutive stress-strain relationship is linear-elastic until the yield stress; beyond their elastic limit, the material becomes plastic due to the strains being unrecovered.
Figure 3.
Concrete slab finite element model.
Figure 4.
Modeling of the composite beam steel components. (a) Structural steel beam FE mesh. (b) Steel deck FE mesh. (c) Shear stud FE mesh.
The Menetrey–Willam concrete model was utilized to simulate the mechanical response of concrete in the FE model. This model is generally better for simulating the behavior of bonded aggregates such as concrete and it is capable of capturing the material responses to both compression and tension through the Willam–Warnke yield surface, which is a stress boundary that separates the elastic and plastic regions of the stress-strain curve [39]. This yield surface and flow potentials can be defined by the strength parameters of the concrete, such as the uniaxial yield stress, uniaxial compression, and biaxial compression. Hardening and softening functions can also be defined from these mentioned parameters to represent the hardening-softening behavior of the yield surfaces [39]. Figure 5 shows the compressive and tension stress-strain curve of the Menetrey–Willam concrete model for a unitary specimen numerical model utilizing the material properties mentioned in Section 3.2.
Figure 5.
Menetrey–Willam concrete model stress-strain response.
The Menetrey–Willam material model was chosen over other concrete models available in the Ansys 2022 R2 software, such as the Drucker–Prager Concrete Model, the Willam and Warnke model, and the Microplane model, based on a combination of parameter availability and compatibility with the finite element (FE) technology required to perform the Linear Perturbation Modal Analysis (LPMA) procedure. In fact, the Menetrey–Willam Model was selected because its input parameters—tensile and compressive strengths, residual stress parameters, and fracture energy—could be directly derived from accessible experimental strength data. Additionally, the finite element technology supported by this model allowed for the required LPMA procedure, enabling the simulation of stiffness degradation and modal response due to damage. On the other hand, the Drucker–Prager Concrete and Willam–Warnke models are limited by their associated finite element formulations. Specifically, the Willam–Warnke model requires the use of the Solid65 element, which is not compatible with the LPMA framework. Similarly, the Drucker–Prager model does not offer the necessary compatibility to simulate the damage effects through modal analyses. Finally, the Microplane model requires parameters, such as specific microstructural properties, that were not available within our experimental dataset. Furthermore, this model operates with the CPT215 element, which is incompatible with the LPMA procedure used in this study.
3.4. Contact Conditions
In the FE modeling of the composite concrete–steel beam, contact conditions were defined to simulate the interaction between the different components of the composite system. The FE contact technology employed for simulating these interactions is listed in Table 4. The composite beam elements were in contact on their boundary surfaces represented by surface–surface contacts, except for the profiled steel sheet and shear anchors interaction. The edge of the profiled steel sheet was in contact with the surface of the shear anchor represented by line–surface contact. The surface–surface contact is capable of modeling the contact between 3D solid and/or shell surfaces by the contact pair Conta174-Targe170 and line–surface contact can be used to model a 3D beam or shell edge contacting solid or shell elements surfaces through the pair Conta177-Targe170. The contact behavior was defined by the standard contact model avoiding the rigid element from penetrating the flexible element, which also allows for the separation in a normal direction and the tangential sliding between the bodies in contact. In modeling the components of the composite beam, the surfaces of the components in contact were considered frictionless.In particular, the shear stud connection was modeled using a fully bonded contact behavior to simulate the weld between the shear stud and the beam, avoiding slippage and separation between the contact surfaces. Additionally, the interaction of the shear studs with other components was represented using standard contact, where normal pressure becomes zero if separation occurs, allowing gaps to form between bodies based on the applied loading.
Table 4.
FE contact technology definition for composite beam.
3.5. Boundary Conditions
Boundary conditions refer to displacement constraints and external loads applied to the bodies external surfaces. The followings boundary conditions were defined to represent the loading and support conditions of the experimental four-point bending test performed by Meruane et al. [29]. Since the FE model consisted in a quarter part of the experimental specimen, were considered additional degrees of freedom (DOFs) constraints to establish symmetry conditions.
The loading conditions for the experimental setup included two line loads applied on the slab’s upper surface. Due to the FE model symmetry conditions, the half of a line load was modeled by equivalent nodal loads in a row on the concrete upper surface displayed in Figure 6. Meanwhile, the support conditions were established by restricted translational DOFs of the steel beam lower flange to represent the simple support condition plotted in Figure 6, corresponding to one support of the two experimental specimen supports due to the symmetry conditions previously mentioned. Finally, the FE model symmetry conditions were modeled by constraining all DOFs , and for the Y-Z plane, and , , and at the nodes located in the X-Y plane reflect realistic structural behavior.
Figure 6.
Boundary conditions for the FE composite beam model.
3.6. Loading Steps
The experimental test performed by Meruane et al. [29] of the concrete–steel composite beam was subjected to a defined loading protocol presented in Figure 7 to evaluate the damage obtained at each loading step until collapse. In order to minimize the effect on the results, the experimental loading protocol was implemented in the numerical simulation to closely replicate the results observed in the experimental tests. In this work, the finite element model presented in the previous subsection simulated the aforementioned experimental test by performing a quasi-static structural analysis by applying the experimental loading protocol to compute the stress-strain state at each loading step. Once the structural response was calculated, the methods presented in Section 2 were applied to extract the vibration modes affected by the stresses and then detect the damage through the curvatures of the vibration modes.
Figure 7.
Loading protocol.
4. Results and Discussion
This section reports the outcomes obtained from the analyses described in Section 2. In the beginning, the accuracy of the FE model was confirmed by comparing the load-displacement response obtained from a quasi-static analysis with that of an experimental test. Then, the vibratory behavior was presented by showcasing the vibration modes and natural frequencies computed for some loadsteps. In the end, the vibration mode curvature calculated for each loadstep was demonstrated, identifying the damage in the numerical model.
4.1. Numerical Model Validation
The FE simulation response was compared against the experimental four-point bending test performed by Meruane et al. [29] to assess the accuracy of the numerical model. The consideration of geometric and material nonlinearities in the modeling allowed for obtaining nonlinear solutions from the quasi-static analysis that were well approximated to the response of the experimental test.
Figure 8 shows the load-midspan deflection curves for the experimental and numerical composite systems. As can be seen, the numerical simulation showcased a nonlinear behavior similar to the experimental response. The discrepancies between the numerical and experimental responses can be attributed to several factors. These include variations between the input parameters used in the numerical model and the actual properties of the concrete measured during the experiment, as well as the ability of the numerical model to accurately predict damage in both concrete and steel. Additionally, the contact modeling approach employed in the simulation may also contribute to the observed discrepancies. Finally, plastic deformations are observed from material yielding during the numerical simulation.
Figure 8.
Load-midspan deflection curve obtained from FE simulations compared with experimental test results from Meruane et al. [29].
4.2. Vibration Response
After assessing the numerical model quasi-static nonlinear solution, the free vibration responses were extracted by a modal analysis for the initial state and LPMA for the stressed state outlined in Section 2. The simulation involved several loadsteps corresponding to the loading and unloading stages mentioned in Section 3.6. Therefore, the modal shapes affected by the stresses caused by loads during the quasi-static analysis of 40kN, 70kN, 100kN, and 250kN were obtained. For each loading stage, including the initial state, five vibration modes with vertical modal displacement, as illustrated by Figure 9, were estimated. These modal shapes were selected because they are considered representative of the modes measured in experimental vibration-based damage detection procedures in bending specimens, according to the investigation realized by Altunışık et al. [31].
Figure 9.
Contour plots for the modal displacements.
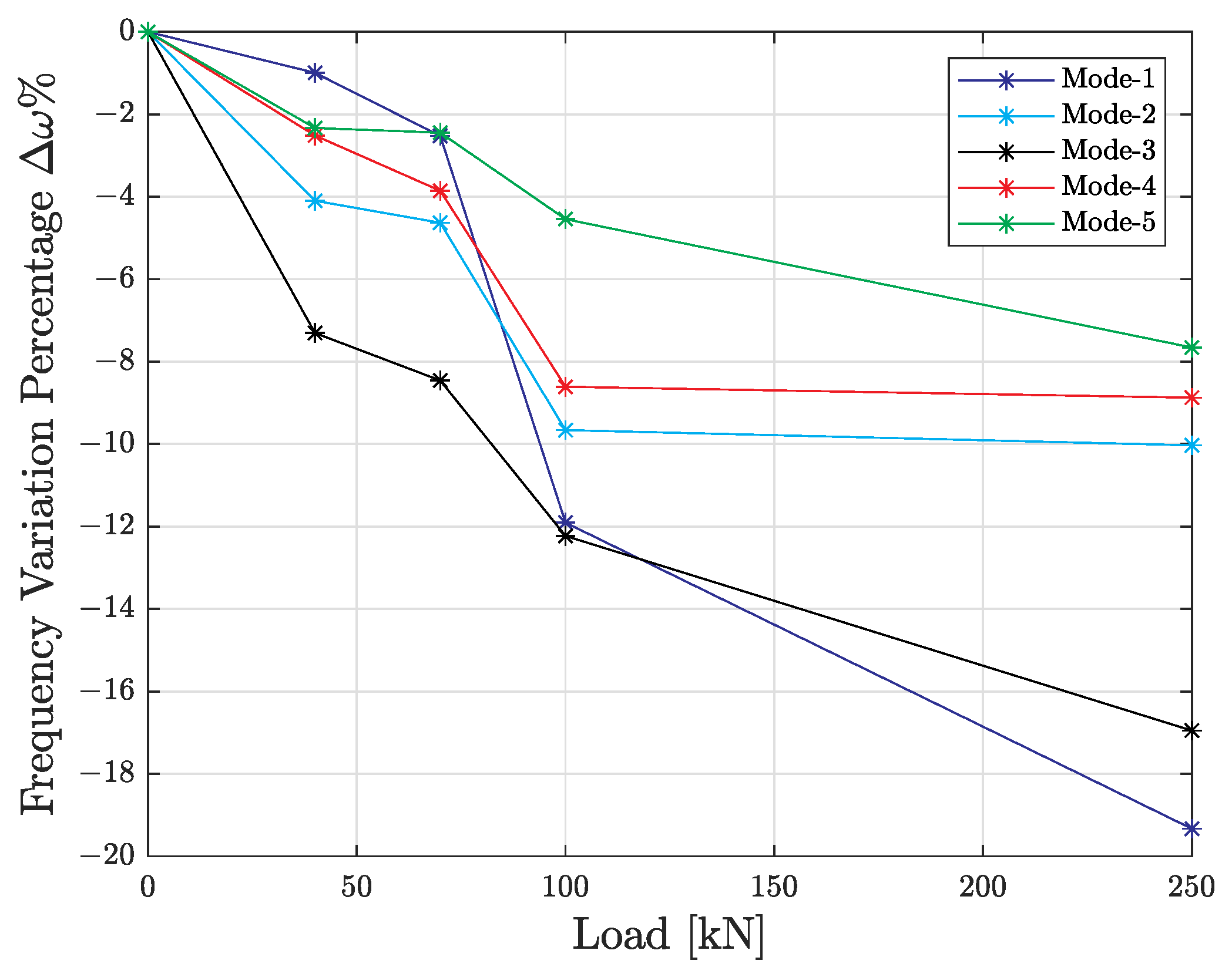
The natural frequencies belonging to the free vibration responses were obtained for each vibration mode in initial and stressed states. Figure 10 plots the percentage of how much the natural frequencies were reduced for each loading stage with respect to the initial natural frequencies. As can be observed, the natural frequencies of each vibration mode decreased as the load magnitude increased, this is according to Pandey et al. [22] where the reduction in natural frequency and changes in vibration amplitude are caused by stiffness degradation associated with possible damage related with cracking in the concrete slab and steel components yielding.
Figure 10.
Natural frequency reduction percentages.
4.3. Numerical Analysis
The vibration mode nodal results obtained from the FE simulation were exported and utilized in the numerical software Matlab R2022b. The nodal displacements from the numerical model upper nodes were selected to derive the curvature for the vibration modes through the MSC algorithm. The MSC algorithm is based on a finite differences routine to obtain the curvatures from discrete points and determine a damage index. Figure 11 illustrates the difference between the initial and stressed vibration modes curvatures realized by the MSC algorithm for each loading stage, resulting in sharped curvatures that provide the first evidence of damage according to Pandey et al. [22]. These graphics are represented by the numerical model dimensions delimited in the horizontal plane and the damage index in the vertical axis, where the peaks in the curvatures reveal the damaged zones in the numerical model and the damage index gives the intensity. As can be seen in Figure 11, the maximum damage of the FE model occurred at the flexural critical section at the end of the model representing the experimental specimen middle part due to the symmetry conditions. The damage consisted mainly of concrete cracking and shear studs yielding at early loading stages. For later loading stages, the concrete cracks increased and all steel components finally yielded in relation to the augmented load magnitudes until collapse.
Figure 11.
Numerical model MSC and damage index.
Figure 12 shows the damage percentage obtained for each loading stage based on the damage index maximum value of the curvatures plotted in Figure 11. The accumulative damage for loadings of 40kN, 70kN, and 100kN corresponded to 22% of the total damage, showing a tendency in the loading–damage relation. For the last loading state of 250kN, the damage increased considerably from the previous loading stages, representing 78% of the total damage, and also affected the loading–damage relation. The damage index shows a significant increase at the final load stage reflected in a steeper slope. Unlike the slope of the previous loading stages, this behavior can be attributed to increased nonlinear effects, such as steel components yielding and cracking the concrete slab.
Figure 12.
Numerical damage index.
5. Conclusions
In this study, an efficient approach to predicting damage using vibration-based detection techniques was presented, employing a numerical model capable of representing the structure-damaged condition by updating the tangent stiffness matrix after a quasi-static nonlinear solution. The Newton–Rhapson method through the Linear Perturbation Modal Analysis (LPMA) framework updated the tangent stiffness matrix, representing the structural stiffness degradation caused by mechanical loads including the effects of geometrical, material, and contact nonlinearities during the quasi-static solution. This allowed the obtaining of the vibration modes considering the stiffness degradation effects, playing a key role in revealing crucial damage indicators.Specifically, the reduction in natural frequencies and the increase in amplitudes of the vibration modes with respect to those calculated for the initial stiffness matrix. Then, the modal responses were used to determine the curvatures of the vibration modes performing the MSC algorithm, obtaining pronounced curvatures that confirm the presence of damage within our model and coincide with the damage observed in the experimental bending test performed by Meruane et al. [29].
Despite that our study has demonstrated the successful application of vibration-based methods for damage detection in a numerical model capable of representing the damage condition after a static analysis, it is essential to recognize the inherent challenges associated with characterizing the specific type of damage detected, particularly in models featuring intricate or composite geometries, as exemplified in our research. The complexity of such structures introduces a level of difficulty when interpreting the type of damage due to factors such as the number of elements that compose them. In this case, damage characterization for the studied finite element model was based on prior knowledge of the damage presented in the experimental test mentioned above. However, the type of damage can be defined by interpreting the stress-strain response of the numerical model components, taking into account the damage produced by the different failure mechanisms of the structures.
It is important to recognize that the numerical approach has taken into account some assumptions. For instance
- Only a quarter of the full-size experimental setup was considered in the numerical model. This was possible due to the symmetry in geometry, boundary conditions, and applied loads. The symmetry conditions were implemented in the model by nodal displacement restrictions indicated in Figure 6. We believe that this assumption has no impact on the final results and conclusions.
- The constitutive models assumed for concrete and steel are a simplified representation of the real mechanical response. In general, more realistic and complex constitutive models for materials entail a higher degree of numerical complexity and hence major convergence difficulties. In this case, simpler constitutive models were used because contact and geometric nonlinearities were also accounted for. Figure 8 shows that the predicted capability of the model fairs quite well when compared with the experimental data. Hence, the modeling assumptions do not seem to have a relevant impact on the global response of the structure.
- The contact between both concrete and the steel elements was defined as frictionless. This assumption will lead to a lower interface stiffness that would be reflected in the global structural response. In fact, if we look at the results shown in Figure 8, although the peak load is predicted quite well by the model, the numerical model presents a lower initial stiffness than the one obtained experimentally.
While the methodology employed in this study is effective for small to medium-scale structures, its scalability to larger systems may present certain challenges. One key limitation is the increased computational demand as the size and complexity of the structure grow. Larger structural systems involve a higher number of elements and degrees of freedom, which require significant computational resources. In addition, contact effects in large systems can introduce complexities that may not be captured accurately by the current modeling approach. In practical applications, challenges may be found in the availability and accuracy of input data. Detailed material properties, geometric data, and boundary conditions must be obtained with high precision, which can be difficult to obtain. Also, in situ testing and monitoring for large systems may require advanced equipment and logistics, which could complicate data collection and validation processes. To address these limitations, future work could focus on developing more efficient numerical techniques, such as reduced-order modeling or parallel computing, to handle the increased computational demands.
Further research and improvements of our approach will be conducted to achieve a more accurate classification of damage types. Therefore, a more extensive experimental study will be conducted to validate the proposed model under a wider range of loading conditions. Additionally, the integration of advanced machine learning techniques will be explored to further refine the damage prediction capabilities of our model.
Author Contributions
Conceptualization, S.J.Y., E.I.S.-F. and M.D.C.-R.; methodology, S.J.Y., E.I.S.-F. and M.D.C.-R.; software, M.D.C.-R.; validation, S.J.Y., E.I.S.-F. and M.D.C.-R.; formal analysis, S.J.Y., E.I.S.-F. and M.D.C.-R.; investigation, S.J.Y. and M.D.C.-R.; resources, S.J.Y.; data curation, M.D.C.-R.; writing—original draft preparation, S.J.Y. and M.D.C.-R.; writing—review and editing, S.J.Y., E.I.S.-F., J.C.P. and C.F.G.; visualization, S.J.Y. and C.F.G.; supervision, S.J.Y. and E.I.S.-F.; project administration, S.J.Y.; funding acquisition, S.J.Y. All authors have read and agreed to the published version of the manuscript.
Funding
This research was funded by the Chilean National Agency for Research and Development (ANID), Fondecyt Iniciación project 11240462.
Data Availability Statement
Data are contained within the article.
Conflicts of Interest
The authors declare no conflicts of interest.
References
- Yanez, S.J.; Dinehart, D.W.; Santhanam, S. Composite steel joist analysis using experimental stiffness factor from push-out tests. J. Constr. Steel Res. 2017, 137, 1–7. [Google Scholar] [CrossRef]
- Queiroz, F.; Vellasco, P.; Nethercot, D. Finite element modelling of composite beams with full and partial shear connection. J. Constr. Steel Res. 2007, 63, 505–521. [Google Scholar] [CrossRef]
- Loqman, N.; Safiee, N.A.; Bakar, N.A.; Nasir, N.A.M. Structural Behavior of Steel-Concrete Composite Beam using Bolted Shear Connectors: A Review. In Proceedings of the MATEC Web of Conferences, Kuala Lumpur, Malaysia, 13–14 August 2018; EDP Sciences: Les Ulis, France, 2018; Volume 203, p. 06010. [Google Scholar]
- Shamass, R.; Cashell, K. Behaviour of composite beams made using high strength steel. In Structures; Elsevier: Amsterdam, The Netherlands, 2017; Volume 12, pp. 88–101. [Google Scholar]
- Lacki, P.; Derlatka, A.; Kasza, P.; Gao, S. Numerical study of steel–concrete composite beam with composite dowels connectors. Comput. Struct. 2021, 255, 106618. [Google Scholar] [CrossRef]
- Ding, R.; Fan, S.; Wu, M.; Li, Y. Numerical study on fire resistance of rectangular section stainless steel-concrete composite beam. Fire Saf. J. 2021, 125, 103436. [Google Scholar] [CrossRef]
- Yanez, S.J.; Dinehart, D.W.; Pina, J.C.; Guzmán, C.F. Nonlinear numerical model of headed shear stud anchors for composite open web steel joists. Steel Compos. Struct. 2022, 44, 545–555. [Google Scholar]
- Chen, J.; Zhang, H.; Yu, Q.Q. Monotonic and fatigue behavior of steel-concrete composite beams subjected to corrosion. In Structures; Elsevier: Amsterdam, The Netherlands, 2021; Volume 34, pp. 1973–1984. [Google Scholar]
- Ranzi, G.; Zona, A. A steel–concrete composite beam model with partial interaction including the shear deformability of the steel component. Eng. Struct. 2007, 29, 3026–3041. [Google Scholar] [CrossRef]
- Loh, H.Y.; Uy, B.; Bradford, M.A. The effects of partial shear connection in composite flush end plate joints Part II—Analytical study and design appraisal. J. Constr. Steel Res. 2006, 62, 391–412. [Google Scholar] [CrossRef]
- Xu, J.; Sun, H.; Chen, W.; Guo, X. Experiment-Based Fatigue Behaviors and Damage Detection Study of Headed Shear Studs in Steel–Concrete Composite Beams. Appl. Sci. 2021, 11, 8297. [Google Scholar] [CrossRef]
- Wu, X.; Ghaboussi, J.; Garrett, J.H. Use of neural networks in detection of structural damage. Comput. Struct. 1992, 42, 649–659. [Google Scholar] [CrossRef]
- Ding, J.; Li, Y.; Xing, W.; Ren, P.; Kong, Q.; Yuan, C. Mechanical properties and engineering application of single-span steel-concrete double-sided composite beams. J. Build. Eng. 2021, 40, 102644. [Google Scholar] [CrossRef]
- Yam, L.; Yan, Y.; Jiang, J. Vibration-based damage detection for composite structures using wavelet transform and neural network identification. Compos. Struct. 2003, 60, 403–412. [Google Scholar] [CrossRef]
- Li, H.N.; Li, D.S.; Song, G.B. Recent applications of fiber optic sensors to health monitoring in civil engineering. Eng. Struct. 2004, 26, 1647–1657. [Google Scholar] [CrossRef]
- Mostafaei, H. Modal Identification Techniques for Concrete Dams: A Comprehensive Review and Application. Science 2024, 6, 40. [Google Scholar] [CrossRef]
- Feng, Y.; Su, Y.; Zhao, C.; Zhu, Y.; Sun, Q. A two-stage automated OMA framework for transmission towers based on clustering algorithms. In Structures; Elsevier: Amsterdam, The Netherlands, 2024; Volume 61, p. 106023. [Google Scholar]
- Sivasuriyan, A.; Vijayan, D.S.; Górski, W.; Wodzyński, Ł.; Vaverková, M.D.; Koda, E. Practical implementation of structural health monitoring in multi-story buildings. Buildings 2021, 11, 263. [Google Scholar] [CrossRef]
- Dorvash, S.; Pakzad, S.N.; Cheng, L. An iterative modal identification algorithm for structural health monitoring using wireless sensor networks. Earthq. Spectra 2013, 29, 339–365. [Google Scholar] [CrossRef]
- Mostafaei, H.; Mostofinejad, D.; Ghamami, M.; Wu, C. Fully automated operational modal identification of regular and irregular buildings with ensemble learning. In Structures; Elsevier: Amsterdam, The Netherlands, 2023; Volume 58, p. 105439. [Google Scholar]
- Yoon, M.; Heider, D.; Gillespie, J., Jr.; Ratcliffe, C.; Crane, R. Local damage detection using the two-dimensional gapped smoothing method. J. Sound Vib. 2005, 279, 119–139. [Google Scholar] [CrossRef]
- Pandey, A.; Biswas, M.; Samman, M. Damage detection from changes in curvature mode shapes. J. Sound Vib. 1991, 145, 321–332. [Google Scholar] [CrossRef]
- Sadeghi, F.; Yu, Y.; Zhu, X.; Li, J. Damage identification of steel-concrete composite beams based on modal strain energy changes through general regression neural network. Eng. Struct. 2021, 244, 112824. [Google Scholar] [CrossRef]
- Xiao, F.; Mao, Y.; Sun, H.; Chen, G.S.; Tian, G. Stiffness Separation Method for Reducing Calculation Time of Truss Structure Damage Identification. Struct. Control Health Monit. 2024, 2024, 5171542. [Google Scholar] [CrossRef]
- Xiao, F.; Mao, Y.; Tian, G.; Chen, G.S. Partial-Model-Based Damage Identification of Long-Span Steel Truss Bridge Based on Stiffness Separation Method. Struct. Control Health Monit. 2024, 2024, 5530300. [Google Scholar] [CrossRef]
- Xiao, F.; Yan, Y.; Meng, X.; Xu, L.; Chen, G.S. Parameter identification of beam bridges based on stiffness separation method. In Structures; Elsevier: Amsterdam, The Netherlands, 2024; Volume 67, p. 107001. [Google Scholar]
- Yu, Y.; Li, J.; Li, J.; Xia, Y.; Ding, Z.; Samali, B. Automated damage diagnosis of concrete jack arch beam using optimized deep stacked autoencoders and multi-sensor fusion. Dev. Built Environ. 2023, 14, 100128. [Google Scholar] [CrossRef]
- Seguel, F.; Meruane, V. Damage assessment in a sandwich panel based on full-field vibration measurements. J. Sound Vib. 2018, 417, 1–18. [Google Scholar] [CrossRef]
- Meruane, V.; Yanez, S.J.; Quinteros, L.; Saavedra Flores, E.I. Damage Detection in Steel–Concrete Composite Structures by Impact Hammer Modal Testing and Experimental Validation. Sensors 2022, 22, 3874. [Google Scholar] [CrossRef] [PubMed]
- Pachón, P.; Infantes, M.; Cámara, M.; Compán, V.; García-Macías, E.; Friswell, M.I.; Castro-Triguero, R. Evaluation of optimal sensor placement algorithms for the Structural Health Monitoring of architectural heritage. Application to the Monastery of San Jerónimo de Buenavista (Seville, Spain). Eng. Struct. 2020, 202, 109843. [Google Scholar] [CrossRef]
- Altunışık, A.C.; Okur, F.Y.; Kahya, V. Modal parameter identification and vibration based damage detection of a multiple cracked cantilever beam. Eng. Fail. Anal. 2017, 79, 154–170. [Google Scholar] [CrossRef]
- Sridhar, R.; Prasad, R. Vibration Based Damaged Detection of Steel Fiber Reinforced concrete. Mater. Today Proc. 2019, 18, 3321–3329. [Google Scholar] [CrossRef]
- Salazar, I. Detección de Daños en Losas Colaborantes. Master’s Thesis, Universidad de Chile, Santiago, Chile, 2018. [Google Scholar]
- Hu, Y.; Meloni, M.; Cheng, Z.; Wang, J.; Xiu, H. Flexural performance of steel-UHPC composite beams with shear pockets. In Structures; Elsevier: Amsterdam, The Netherlands, 2020; Volume 27, pp. 570–582. [Google Scholar]
- Wang, Z.; Nie, X.; Fan, J.S.; Lu, X.Y.; Ding, R. Experimental and numerical investigation of the interfacial properties of non-steam-cured UHPC-steel composite beams. Constr. Build. Mater. 2019, 195, 323–339. [Google Scholar] [CrossRef]
- Esmaeily, A.; Xiao, Y. Behavior of reinforced concrete columns under variable axial loads: Analysis. ACI Struct. J. 2005, 102, 736. [Google Scholar]
- Subramani, T.; Manivannan, R.; Kavitha, M. Crack identification in reinforced concrete beams using ANSYS software. J. Eng. Res. Appl. 2014, 4, 133–141. [Google Scholar]
- Dahmani, L.; Khennane, A.; Kaci, S. Crack identification in reinforced concrete beams using ANSYS software. Strength Mater. 2010, 42, 232–240. [Google Scholar] [CrossRef]
- Willam, K.; Warnke, E. Constitutive Model for the Triaxial Behavior of Concrete-Proceedings; Internacional Association for Bridge and Structural Engineering; ISMES: Bergamo, Italy, 1975; Volume 19. [Google Scholar]
- Mahmoud, A.M. Finite element modeling of steel concrete beam considering double composite action. Ain Shams Eng. J. 2016, 7, 73–88. [Google Scholar] [CrossRef]
- Linear Perturbation Analysis; Springer: Singapore, 2021.
- Dokainish, M.; Subbaraj, K. A survey of direct time-integration methods in computational structural dynamics—I. Explicit methods. Comput. Struct. 1989, 32, 1371–1386. [Google Scholar] [CrossRef]
- Chopra, A.K.; Murrieta, J.E. Dinámica de Estructuras, 4th ed.; Pearson Educación: London, UK, 2014; pp. 475–476. [Google Scholar]
- European Committee for Standardization. European Code for Design of Concrete Structures, European Committee for Standardization (CEN). 2004. Available online: http://eurocodes.jrc.ec.europa.eu/ (accessed on 18 September 2022).
Disclaimer/Publisher’s Note: The statements, opinions and data contained in all publications are solely those of the individual author(s) and contributor(s) and not of MDPI and/or the editor(s). MDPI and/or the editor(s) disclaim responsibility for any injury to people or property resulting from any ideas, methods, instructions or products referred to in the content. |
© 2025 by the authors. Licensee MDPI, Basel, Switzerland. This article is an open access article distributed under the terms and conditions of the Creative Commons Attribution (CC BY) license (https://creativecommons.org/licenses/by/4.0/).











