Abstract
The proper selection of the model error covariance matrix and the measurement noise covariance matrix of Kalman filter is an optimization problem. Some scholars have studied this, but there is relatively little research on the selection of the two covariance matrices for Kalman filters with an unknown input. Recently, the authors proposed a modified directed bat algorithm (MDBA) which introduces the best historical location of individuals and the elimination strategy to effectively prevent falling into local optimal solution. So, two methods are proposed in this paper to optimize the model error covariance matrix and measurement noise covariance matrix of Kalman filter with unknown inputs (KF-UI) and extended Kalman filter with unknown inputs (EKF-UI) by MDBA, respectively. The objective functions are constructed using the measurement vectors and the corresponding estimated values, and MDBA is adopted to optimize the two covariance matrices of KF-UI and EKF-UI. To validate the effectiveness of proposed methods, two simple structure examples and a benchmark example are adopted. The influence of structural parameter uncertainties on KF-UI is also considered. The result shows that the MDBA-optimized KF-UI has a strong convergence and can take into account the effect of parameter uncertainties. Then, the effectiveness of the proposed MDBA-optimized EKF-UI method is validated by comparing it with EKF-UI with empirically selected covariance values through trial-and-error. The identification results showed that the proposed methods achieved better identification accuracy and enhanced convergence compared to KF-UI and EKF-UI with empirical covariance values.
1. Introduction
Structural system identification is typically an ill-posed inverse problem [1,2,3] which encounters challenges such as a limited number of sensors, contamination from measurement noise, and model uncertainties. The Kalman filter and extended Kalman filter provide a means to identify both the structural state and parameters using limited structural response data [4,5,6]. These methods also account for the effects of model uncertainties and measurement noise through the model error covariance matrix Q and the measurement noise covariance matrix R. However, the accuracy and effectiveness of identification heavily depend on the appropriate selection of Q and R. Thus, determining suitable values for these covariance matrices is critical for achieving reliable Kalman filter-based identification [7,8].
In order to treat the impact of the two covariance matrix parameters on the identification results by Kalman filter approaches, many scholars have conducted research using traditional methods, e.g., Yuen et al. [9] proposed a Bayesian probability algorithm for estimating the model error covariance matrix Q and the measurement noise covariance matrix R of the Unscented Kalman filter (UKF). The optimal matrix parameters are obtained by the algorithm through the minimization of the objective function derived from the posterior probability density function. Danniz et al. [10] proposed an expectation-maximization method based on Bayesian probability, using the expectation-maximization algorithm to iteratively search for the most likely model error covariance matrix Q and measurement noise covariance matrix R.
Since the parameter setting of the two covariance matrices involves finding a set of values that minimize the performance indicators of Kalman filter, the process of selecting the model error covariance matrix Q and the observation error covariance matrix R are optimization problems in essence. Odry et al. [11] used the Particle Swarm Optimization (PSO) algorithm to optimize the model error covariance matrix Q and the observation error covariance matrix R of the Kalman Filter (KF) and used the improved KF for the state estimation of mobile robots. Kaba et al. [12] have used an evolutionary algorithm to optimize the model error covariance matrix Q and the observation error covariance matrix R of the KF, and their results indicate that the optimized KF is effective for the state estimation of aircraft. Wang et al. [13] combine the neural network and the Kalman filter, using the gain matrix of the Kalman network output, thus requiring no Gaussian assumption or explicit noise covariance. There are also some scholars that have optimized the covariance matrices of other KF-based identification approaches, e.g., Saleem et al. [14] optimized the model error covariance matrix Q and the observation error covariance matrix R of the augmented Kalman filter (AKF) using a genetic algorithm, effectively improving the accuracy of state identification results. Medjghou et al. [15] used a particle swarm optimization algorithm to optimize the model error covariance matrix Q and the observation error covariance matrix R of the extended Kalman filter, and then applied the optimized Kalman filter method to the control system. Cocucci et al. [16] maximized the likelihood function via the expectation–maximization (EM) algorithm to infer the model error covariance and combined it with ensemble Kalman filters and particle filters to estimate the state. However, the above studies focus on the Kalman filter of known inputs, while the structural external excitation may be unknown in practical engineering.
To address this, the authors have developed KF-UI [17] and EKF-UI [18]. Furthermore, a joint state-parameter identification algorithm of a structure with a non-diagonal mass matrix based on UKF with unknown mass is proposed [19]. A modal extended Kalman filter (MEKF-UI) is also proposed for joint state-unknown input identification [20]. The uncertain model parameter is also studied [21]. However, the covariance matrices of these methods are selected through trial-and-error. To the best knowledge of the authors, there are still relatively few optimization studies on the model error covariance matrix Q and the observed error covariance matrix R of KF-UI and EKF-UI.
As for the optimization algorithms, the bat optimization algorithm is an intelligent algorithm proposed by Yang [22] in 2010, who was inspired by bats using sonar in nature to detect prey and avoid obstacles. The random search process of the bat algorithm consists of three parts: global search, local search, and parameter update. The bat algorithm has been widely used in various fields due to its advantages of few parameters, fast convergence rate, and strong feasibility [23]. Recently, the authors proposed a modified directed bat algorithm (MDBA) [24], which enhances the directed bat algorithm optimization by combining individual best solutions and elimination strategies. Bats update positions using personal best solutions to broaden search directions and enhance global search. The elimination strategy addresses the local optimal solution by removing poorly fitting solutions and adding random ones to boost diversity, allowing the algorithm to escape local optima and continue searching effectively.
In this paper, the MDBA is used to optimize the model error covariance matrix Q and observation error covariance matrix R for KF-UI and EKF-UI, respectively. First, for optimizing the covariance matrices for KF-UI, an objective function is constructed by minimizing the error between the observation vector and the corresponding estimated values. Then, the MDBA is used to optimize the model error covariance matrix Q and the observation error covariance matrix R, and the uncertainty of model parameters is considered during the identification process. Furthermore, a joint state-parameter identification algorithm with a non-diagonal mass matrix structure based on UKF with unknown mass is proposed [18]. And a modal extended Kalman filter (MEKF-UI) is proposed for joint state-unknown input identification [19]. The uncertain model parameter is also studied [20]. Then, it is extended to construct an objective function to optimize the model error covariance matrix Q and the observation error covariance matrix R for the EKF-UI. The effectiveness of the proposed MDBA-optimized EKF-UI method is validated by using a numerically simulated shear frame model and comparing it with the EKF-UI with empirical covariance matrix values.
The main contributions of this paper are: (1) the proposal of a method based on MDBA for the optimization of model error covariance matrix Q and observation error covariance matrix R of Kalman filter with unknown input; (2) the effective consideration of the influence of structural parameter uncertainty on KF-UI using the proposed optimization method; (3) the proposal of a method based on MDBA for the optimization of model error covariance matrix Q and observation error covariance matrix R of extended Kalman filter with unknown input.
2. Optimization of KF-UI Covariance Matrices Using MDBA
Liu et al. [17] proposed a Kalman filter with an unknown input, which can identify unknown input and structural states in real-time. When external excitations of a linear structure are unknown, the discrete form of structural state equation can be represented as
where is the state vector at time , is the unknown input vector, is the system matrix, is the unknown force influence matrix, and is the model error, with a mean of zero and covariance .
If only the acceleration response is used as an observation vector, there will be a “drift” problem in the identification results. Adding structural displacements via data fusion of observation can solve this problem. Thus, the observation equation can be written as
where and are the partial observations of acceleration and displacement responses at time step k + 1, respectively, is the position matrix of observing accelerations, is the position matrix of observing displacements, is the state observation matrix, is the unknown force observation matrix, and is the observation error with a mean of zero and covariance .
First, structural state prediction is performed:
where is the state prediction vector at time , is the state estimate vector at time , and is the estimated vector of the unknown force at time .
Then, structural state estimation is carried out:
where is the estimated vector of the unknown force at time and is the Kalman gain matrix, which can be obtained by the following equation
When the number of observation vectors is more than that of unknown forces, the unknown force estimates at time can be obtained using the least squares [17].
The acceleration responses can be computed by using the following equation
Other error covariance matrice details during the KF-UI iteration can be found in [17]. The Kalman gain matrix includes the model error covariance matrix Q and the observation error covariance matrix R, which affect the state estimation. During optimization, the number of parameters to be identified can be reduced by setting the covariance matrix as the diagonal matrix [23] and optimizing only the diagonal elements of the covariance matrix, since the influence of non-diagonal elements on the identification results are relatively small. Furthermore, since the object of study in this paper is a time-invariant system, the covariance matrices Q and R do not vary with time. The diagonal elements of the covariance matrix Q are set to the same parameters [25], denoted q. For the observation error covariance matrix R, different sensors should have different values for the corresponding diagonal elements [8], so there are two parameters to be identified for the covariance matrix R. The diagonal element of the observation noise covariance matrix R corresponding to acceleration is denoted as , and the diagonal element corresponding to displacement is denoted as . Using q, , and in the covariance matrix as the optimization variable, the objective function is constructed. By minimizing the root mean square (RMS) value between the observation vector and the corresponding estimated value, an objective function can be constructed to obtain the optimized Q and R, as shown in Equation (8)
where
and is the time history of displacement observation, is corresponding displacements identified from Equation (4), is the time history of the acceleration observation, is the corresponding identified acceleration from Equation (7), and are the position matrix of the displacement and acceleration sensors, respectively, denotes the root mean square value of the vector inside the parentheses, and represents the transpose of the vector.
The MDBA starts by setting initial parameters. For the bat population m, each bat is assigned a set of random initial optimization variables , , , which represent the bat’s position (), and the maximum number of iterations . The frequency (j = 1, 2, 3) affects the speed of flight, thereby influencing the update of . Regarding loudness , bats with higher loudness are more inclined to perform random searches, while those with lower loudness are more likely to search around the current optimal solution; the pulse frequency serves as a threshold to determine whether a bat engages in local search, with bats with a lower pulse frequency having a higher probability of conducting local search. is a parameter that adjusts the search range, consisting of the upper limit matrix and the lower limit for each parameter in the independent variable . k is the elimination interval step size. According to the MDBA developed by the authors [24], the initial parameter settings are as follows: minimum frequency ; maximum frequency ; initial loudness ; final loudness ; initial pulse frequency ; final pulse frequency ; elimination interval step size k = 10. The elimination strategy means eliminating the weakest 20% and then generating new individuals that inherit the characteristics from the best performing zbest and selecting the best individual. The specific optimization process of MDBA is shown in Figure 1.
Figure 1.
The flow chart of the proposed method.
3. Optimization of EKF-UI Covariance Matrices Using MDBA
Liu et al. [18] proposed an extended Kalman filter with unknown input, which can simultaneously identify unknown forces, structural parameters, and structural states. For a structure subjected to unknown external excitation, its equation of motion can be represented as
where are structural displacement, speed, and acceleration response vector, respectively, and are the unknown excitation and its corresponding position matrix, respectively, and is the time-invariant vector of structural parameter.
Then, structural extended state vector is defined as ,
and the observation equation is
Both the state equation and observation equation are linearized by first-order Taylor expansion as
where is the estimated state vector at the k-th time step, and are the estimated unknown excitation at the k-th and (k + 1)-the time step, respectively, and is the predicted value of the state vector as shown in the following Equation (14).
First, structural state prediction is
Then, based on the observation, structural state can be estimated by
in which is unknown and can be solved by minimizing the observation equation error.
Other corresponding covariance matrices are derived in [18].
Here, the same objective function by Equation (8) in Section 2 is constructed to optimize the elements of covariance matrix. is the diagonal element of the model error covariance matrix Q, is the diagonal element of measurement noise covariance matrix R associated with acceleration response, and is the diagonal element of measurement noise covariance matrix R associated with displacement response. , , and are set as the parameters to be optimized by the MDBA. The initial values of the MDBA parameters are the same as those for KF-UI and will not be repeated here.
The method of using MDBA to optimize the two covariance matrices of EKF-UI is similar to that of KF-UI, and the main steps are as follows.
- (1)
- Set the initial values for the parameters required by the MDBA and the EKF-UI method.
- (2)
- Randomly generate , , and as the independent variables for the MDBA and randomly create an initial population. Substitute them into the EKF-UI to calculate the estimated values corresponding to the observed response to form the objective function.
- (3)
- Estimate the fitness values corresponding to the observed and estimated values through the objective function Equation (8) and select the historical best and individual best solutions based on the objective function.
- (4)
- Perform a global search to update and .
- (5)
- If (), conduct local search to update the optimization parameters; otherwise, proceed to the next step directly.
- (6)
- If , update the parameters ; otherwise, proceed to the next step directly.
- (7)
- Estimate the corresponding fitness values through the objective function Equation (8) and update the optimal bat position .
- (8)
- Update the parameters of the MDBA and select the current optimal solution.
- (9)
- If , where k is the elimination interval step size, then adjust the population through an elimination strategy, removing 20% of the individuals with poor fit from the population, and regenerate new individuals that inherit part of the coordinates of the optimal individuals ; otherwise, proceed directly to the next step.
- (10)
- Determine whether the stopping iteration requirements are met; if not, return to step (3).
- (11)
- After the iteration is completed, output the optimal covariance matrix parameters q, r1, and r2 and substitute them into the EKF-UI to identify the extended state vector.
4. Numerical Validations
4.1. Validation of the Proposed Optimization of KF-UI Covariance Matrices Using MDBA
The proposed method is validated through a 10-element simply supported beam model, as shown in Figure 2. The stiffness of the simply supported beam model is , and the mass density is . The dimension of the beam is length L = 1 m, width b = 0.15 m, and height h = 0.06 m. The beam model is assumed to have Rayleigh damping with two damping coefficients of 0.0014 and 0.4258, respectively. The simply supported beam has a total of 20 degrees of freedom, including 9 vertical degrees of freedom and 11 rotational degrees of freedom. The 10th degree of freedom of the simply supported beam is subjected to white noise excitation. The vertical acceleration responses of the 2nd, 10th, and 18th degrees of freedom are measured, as well as the vertical displacement response at the 2nd and 18th degrees of freedom. Measurements noises are considered by adding Gaussian white noises, with 5% in root mean square to the calculated structural responses. Figure 3 shows the comparison of noise-free and noisy measurements.
Figure 2.
Schematic diagram of the simple support beam.
Figure 3.
Comparison of noise-free and noisy measurements: (a) 9th DOF displacement; (b) 9th DOF acceleration.
KF-UI requires known structural parameters. But in practical engineering, there is often a certain deviation between structural parameters and their design values. Therefore, this paper considers the impact of model parameter uncertainty; a 10% reduced Young’s modulus E is adopted as the known structural parameter. is the diagonal elements’ value of model error covariance matrix Q, the acceleration measurement noise covariance matrix’s diagonal element is , and the displacement measurement noise covariance matrix’s diagonal element is which are obtained through MDBA optimization. The identification results of KF-UI using the aforementioned covariance matrices with model errors are shown in Figure 4. As can be seen from Figure 4, the identified displacement, velocity, and unknown excitation coincide with their corresponding states. The results show that the proposed KF-UI method for MDBA optimization can take into account the effect of model error by finding the optimal covariance matrix.
Figure 4.
Identification results: (a) identification of displacement response; (b) identification of velocity response; (c) identification of unknown input.
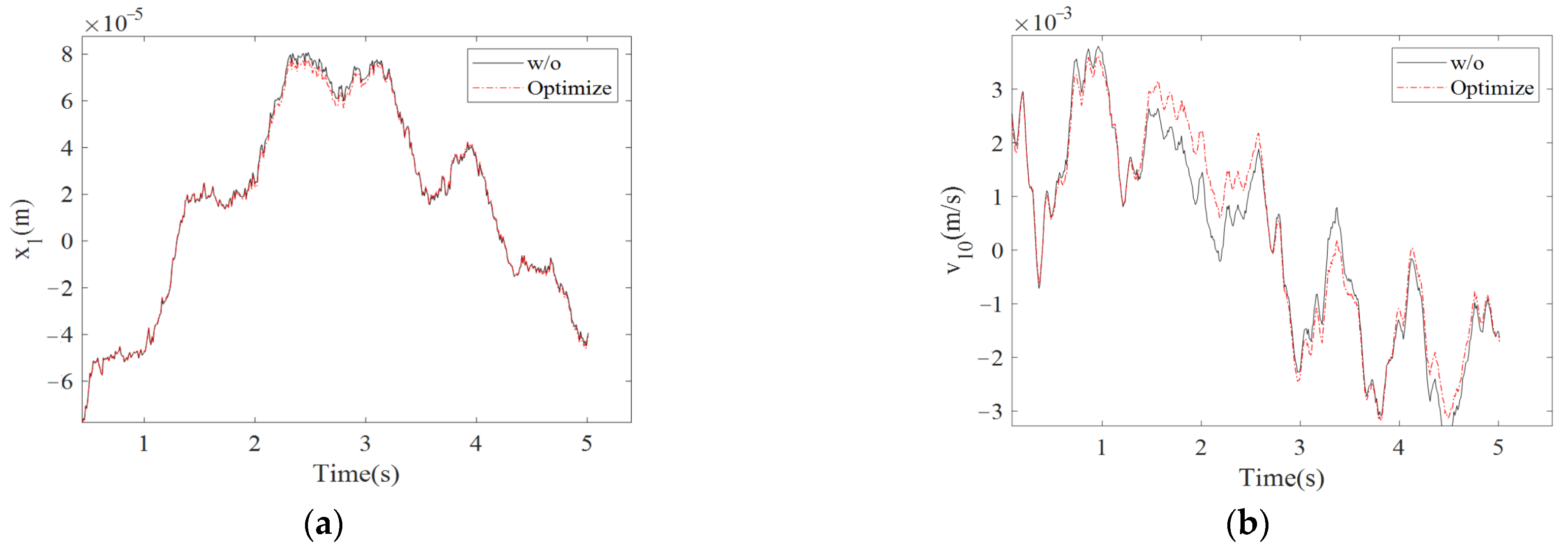
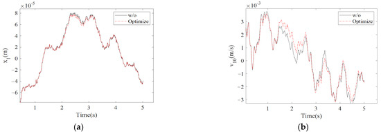
By comparing the identification results (denoted as w/o) of the KF-UI with covariance matrices obtained empirically as the values of , , , it can be seen from Figure 5 that the identification accuracy of the method is improved, thus demonstrating the effectiveness of the proposed method.
Figure 5.
Comparison of the identification results: (a) identification of displacement response; (b) identification of velocity response.
4.2. Validation of the Proposed Optimization of EKF-UI Covariance Matrices Using MDBA
The effectiveness of the proposed method for the optimization of EKF-UI covariance matrices is validated using a 6-story shear frame model, as shown in Figure 6. It is assumed that the structural stiffness of each story is and the mass of each story is . The shear frame is assumed to have Rayleigh damping with two damping coefficients, and . The sampling frequency is 1000 Hz. White noise excitation is applied to the 5th story of the frame. The horizontal acceleration of the 1st, 4th, and 5th stories and the displacement responses of the 2nd and 6th stories are measured. Measurement noises are also considered by adding Gaussian white noise with 3% in root mean square.
Figure 6.
Schematic diagram of the shearing frame.
Based on the optimization using MDBA, the diagonal elements , and the diagonal element and , the identification results of EKF-UI with the aforementioned optimized covariance matrices are shown in Figure 7. It can be seen that the accuracy and convergence of identification results are in good agreement with their exact values.
Figure 7.
The identification results: (a) identification of displacement response; (b) identification of velocity response; (c) identification of stiffness parameter; (d) identification of unknown input.
The results are compared with the identification results obtained by the EKF-UI with empirical values of , , and . Table 1 and Table 2 compare the root mean square errors (RMSE) of the identified states and parameters with empirical and optimization values of the covariance matrices, respectively. It can be seen that the identification performance is improved by the proposed optimization method.
Table 1.
Comparison of structural stiffness identification errors (%).
Table 2.
Comparison of structural state identification errors (%).
4.3. Benchmark Model Validation of the Proposed Method
The finite element model of a 76-story concrete office building is used in this section [26]. Figure 8 shows the cross-section and profile of the benchmark model. This building is located in the city of Melbourne, Australia, with an elongated shape and a height-to-width ratio of 7.3. The model has 76 translational and 76 rotational degrees of freedom, and all 76 rotational degrees of freedom are removed by static condensation. The wind load of the structure is simulated by the Davenport spectrum. Ten displacements and 20 acceleration responses of the structure are observed and the effect of 1% noise is considered. First, the load and state of the structure are identified in mode space using the KF-UI method, then the physical responses and loads of the structure are reconstructed by the mode transformation. The mode truncation is conducted by POD to take the first five modes. Considering the impact of model parameter uncertainty, a 10% reduced K is adopted as the structural parameter.
Figure 8.
Cross-section and profile of the benchmark model [26].
Based on the optimization using MDBA, the diagonal elements of the model error covariance matrix Q are and the diagonal element of the acceleration measurement noise covariance matrix are and . The identification results of KF-UI with the aforementioned optimized covariance matrices are shown in Figure 9. It can be seen that the identification results of structural displacement and velocity responses are in good agreement with their exact values and can effectively correct the effect of the model error.
Figure 9.
Identification results: (a) identified 20th floor displacement response; (b) identified 55th floor displacement response; (c) identified 20th floor velocity response; (d) identified 55th floor velocity response.
5. Conclusions
This paper proposes a method to optimize the model error covariance matrix and the measurement noise covariance matrix of the Kalman filter with unknown inputs using the modified directional bat algorithm (MBDA). An optimization objective function is constructed to minimize the errors between the observation vector and the estimated values, allowing the MBDA to estimate the optimal diagonal elements of the covariance matrices without trial-and-error or empirical selection. The method also considers the influence of uncertain model parameters and is extended to optimize the covariance matrices of the extended Kalman filter with unknown inputs, estimating the optimal diagonal elements for the extended state vector.
The proposed methods for optimized KF-UI and EKF-UI demonstrate accurate identification results, effectively correcting the influence of model errors. Compared to the traditional trial-and-error approach for selecting covariance values, the optimized methods achieve improved performance. Numerical validation, including a benchmark model, confirms the effectiveness of proposed methods, even for complex structures.
The proposed methods are limited to the identification of time-invariant systems, so investigations are required for the complex optimization of time-varying structural model error and observation noise covariance matrices.
Author Contributions
L.L.: methodology, investigation, writing—review and editing; C.Y.: formal analysis and investigation, writing; Y.S.: investigation, writing—original draft preparation; Y.L. (Yinghai Lin): investigation, software; Y.L. (Ying Lei): conceptualization, writing—review editing, funding acquisition, supervision. All authors have read and agreed to the published version of the manuscript.
Funding
This research in this paper is financially supported by the National Natural Science Foundation of China through the Grant No. 52178304 and 2022 Xiamen Construction Technology Project XJK2022-1-2.
Data Availability Statement
All data and results from this study are available upon reasonable request to the corresponding author.
Conflicts of Interest
The authors declare no conflicts of interest.
References
- Yang, Y.; Tan, X.; Lu, H.; Xue, S.; Wang, R.; Zhang, Y. Indirect approach to identify girder bridge element stiffness based on blind source separation. Symmetry 2022, 14, 1963. [Google Scholar] [CrossRef]
- Yang, Y.; Zhang, Y.; Tan, X. Review on vibration-based structural health monitoring techniques and technical codes. Symmetry 2021, 13, 1998. [Google Scholar] [CrossRef]
- Huang, K.; Yuen, K.V.; Wang, L. Real-time simultaneous input-state-parameter estimation with modulated colored noise excitation. Mech. Syst. Signal Process. 2022, 165, 108378. [Google Scholar] [CrossRef]
- Liang, J.; Fu, Y.; Wang, Y.; Ou, J. Identification of equivalent wind and wave loads for monopile-supported offshore wind turbines in operating condition. Renew. Energy 2024, 237, 121525. [Google Scholar] [CrossRef]
- Ji, X.; Ren, L.; Fu, X.; Zhang, Q.; Li, H. Deformation Monitoring of Monopole Communication Towers Based on Multi-Source Data Fusion. Buildings 2023, 13, 2709. [Google Scholar] [CrossRef]
- He, J.; Tong, Z.; Zhang, X.; Chen, Z. Optimal sensor placement for joint reconstruction of multiscale responses and unknown inputs using modal Kalman filter. Struct. Des. Tall Spec. Build. 2024, 33, e2125. [Google Scholar] [CrossRef]
- Zhang, X.; He, J.; Hua, X.; Chen, Z. Identification of time-varying stiffness with unknown mass distribution based on extended Kalman filter. Mech. Syst. Signal Process. 2024, 211, 111218. [Google Scholar] [CrossRef]
- Lu, W.; Zhang, Y.; Teng, J.; Hu, W. Structural response estimation based on Kalman filter with known frequency component of external excitation and multitype measurements for beam-type structure. J. Aerosp. Eng. 2021, 34, 04021078. [Google Scholar] [CrossRef]
- Yuen, K.V.; Liu, Y.S.; Yan, W.J. Estimation of time-varying noise parameters for unscented Kalman filter. Mech. Syst. Signal Process. 2022, 180, 109439. [Google Scholar] [CrossRef]
- Teymouri, D.; Sedehi, O.; Katafygiotis, L.S.; Papadimitriou, C. A Bayesian Expectation-Maximization (BEM) methodology for joint input-state estimation and virtual sensing of structures. Mech. Syst. Signal Process. 2022, 169, 108602. [Google Scholar] [CrossRef]
- Odry, Á.; Fullér, R.; Rudas, I.J.; Odry, P. Kalman filter for mobile-robot attitude estimation: Novel optimized and adaptive solutions. Mech. Syst. Signal Process. 2018, 110, 569–589. [Google Scholar] [CrossRef]
- Kaba, A.; Kıyak, E. Optimizing a Kalman filter with an evolutionary algorithm for nonlinear quadrotor attitude dynamics. J. Comput. Sci. 2020, 39, 101051. [Google Scholar] [CrossRef]
- Wang, Y.; Song, M.; Wang, A.; Sun, L. Structural Dynamic Response Reconstruction Based on Recurrent Neural Network–Aided Kalman Filter. Struct. Control Health Monit. 2024, 2024, 7481513. [Google Scholar] [CrossRef]
- Saleem, M.M.; Jo, H. Impact force localization for civil infrastructure using augmented Kalman filter optimization. Smart Struct. Syst. 2019, 23, 123–139. [Google Scholar]
- Medjghou, A.; Ghanai, M.; Chafaa, K. Improved feedback linearization control based on PSO optimization of an extended Kalman filter. Optim. Control Appl. Methods 2018, 39, 1871–1886. [Google Scholar] [CrossRef]
- Cocucci, T.J.; Pulido, M.; Lucini, M.; Tandeo, P. Model error covariance estimation in particle and ensemble Kalman filters using an online expectation–maximization algorithm. Q. J. R. Meteorol. Soc. 2021, 147, 526–543. [Google Scholar] [CrossRef]
- Liu, L.; Zhu, J.; Su, Y.; Lei, Y. Improved Kalman filter with unknown inputs based on data fusion of partial acceleration and displacement measurements. Smart Struct. Syst. 2016, 17, 903–915. [Google Scholar] [CrossRef]
- Liu, L.; Su, Y.; Zhu, J.; Lei, Y. Data fusion based EKF-UI for real-time simultaneous identification of structural systems and unknown external inputs. Measurement 2016, 88, 456–467. [Google Scholar] [CrossRef]
- Wang, S.; Lei, Y. A Joint State-Parameter Identification Algorithm of a Structure with Non-Diagonal Mass Matrix Based on UKF with Unknown Mass. Buildings 2022, 12, 826. [Google Scholar] [CrossRef]
- Zhao, P.N.; Liu, L.J.; Lei, Y. Identification of Wind Loads on Structures Based on Modal Kalman Filter with Unknown Inputs. Buildings 2022, 12, 1003. [Google Scholar] [CrossRef]
- Huang, J.; Li, X.; Zhang, F.; Lei, Y. Identification of joint structural state and earthquake input based on a generalized Kalman filter with unknown input. Mech. Syst. Signal Process. 2021, 151, 107362. [Google Scholar] [CrossRef]
- Yang, X.S. A New Metaheuristic Bat-Insspired Algorithm. Nature Inspired Cooperative Strategies for Optimization. In Studies in Computational Intelligence; Springer: Berlin/Heidelberg, Germany, 2010; pp. 65–74. [Google Scholar]
- Yang, X.S.; He, X. Bat algorithm: Literature review and applications. Int. J. Bio-Inspired Comput. 2013, 5, 141–149. [Google Scholar] [CrossRef]
- Su, Y.; Liu, L.; Lei, Y. Structural damage identification using a modified directional bat algorithm. Appl. Sci. 2021, 11, 6507. [Google Scholar] [CrossRef]
- Bian, X.; Wei, Z.; He, J.; Yan, F.; Liu, L. A two-step parameter optimization method for low-order model-based state-of-charge estimation. IEEE Trans. Transp. Electrif. 2020, 7, 399–409. [Google Scholar] [CrossRef]
- Yang, J.N.; Agrawal, A.K.; Samali, B.; Wu, J.-C. Benchmark problem for response control of wind-excited tall buildings. J. Eng. Mech. 2004, 130, 437–446. [Google Scholar] [CrossRef]
Disclaimer/Publisher’s Note: The statements, opinions and data contained in all publications are solely those of the individual author(s) and contributor(s) and not of MDPI and/or the editor(s). MDPI and/or the editor(s) disclaim responsibility for any injury to people or property resulting from any ideas, methods, instructions or products referred to in the content. |
© 2025 by the authors. Licensee MDPI, Basel, Switzerland. This article is an open access article distributed under the terms and conditions of the Creative Commons Attribution (CC BY) license (https://creativecommons.org/licenses/by/4.0/).








