Next Article in Journal
Impacts of Thermal Activation on Physical Properties of Coal Gangue: Integration of Microstructural and Leaching Data
Next Article in Special Issue
Experimental and Statistical Evaluations of Recycled Waste Materials and Polyester Fibers in Enhancing Asphalt Concrete Performance
Previous Article in Journal
Research on the Effect of Geometric Parameters on the Stress Concentration Factor of Multi-Planar KK-Joints and Carbon Fiber-Reinforced Polymer Wrapping Rehabilitation with Numerical Simulation
Previous Article in Special Issue
High-Temperature Deformation and Skid Resistance of Steel Slag Asphalt Mixture Under Heavy Traffic Conditions
 
 
Font Type:
Arial Georgia Verdana
Font Size:
Aa Aa Aa
Line Spacing:
Column Width:
Background:
Article

An Investigation of the Capabilities of Resin Tire Carbon Black “N-330” as a Waste Binder in Asphalt Concrete Mixtures

by
Amr. A. Nada
1,
Walid Fouad Edris
2,3,
Hebah Mohammad Al-Jabali
4,
Ahmed D. Almutairi
5,
Abd Al-Kader A. Al Sayed
3,* and
Shady Khairy
1
1
Department of Civil Engineering, Higher Technological Institute, 10th of Ramadan City 44629, Egypt
2
Department of Civil and Environmental Engineering, College of Engineering & Design, Kingdom University, Bahrain P.O. Box 40434, Bahrain
3
Department of Civil Engineering, Giza Engineering Institute, Giza 3387722, Egypt
4
Department of Civil Engineering, Hijjawi Faculty for Engineering Technology, Yarmouk University, P.O. Box 566, Irbid 21163, Jordan
5
Department of Civil Engineering, College of Engineering, Qassim University, Buraydah 51452, Saudi Arabia
*
Author to whom correspondence should be addressed.
Buildings 2025, 15(2), 158; https://doi.org/10.3390/buildings15020158
Submission received: 7 December 2024 / Revised: 30 December 2024 / Accepted: 3 January 2025 / Published: 8 January 2025
(This article belongs to the Special Issue Advanced Studies in Low-Carbon Building Materials)

Abstract

This study investigates the potential use of tire-derived carbon black “N-330” as a sustainable waste binder in asphalt concrete mixtures, combined with resin as an alternative to the usual binding material in asphalt mixtures, “bitumen”. With the increasing demand for environmentally friendly construction materials, this research aims to assess the feasibility of incorporating resin tire carbon black N-330 “RTCB N-330” into asphalt as a full replacement for conventional binders. A comprehensive experimental program has been designed to evaluate the mechanical and performance properties of asphalt mixtures containing varying proportions of RTCB N-330, ranging from 2% to 10% by weight of the binder. The impact of replacing bitumen with resin that contains TCB N-330 on the physical, rheological, and thermal characteristics of RTCB N-330 as a modified asphalt binder is assessed in this study. To assess the binders, a number of tests were carried out, including standard tests for ductility, the softening point, and penetration. DTG (Derivative Thermogravimetric Analysis) and testing the thermal susceptibility index were performed. A higher percentage of TCB N-330 reduced the penetration while increasing both the softening point and ductility. Resin with 8% of TCB N-330 was the optimum percentage, which was compared with bitumen as a new environmentally friendly binder. The testing program involved the preparation of asphalt concrete specimens using a Marshall mix design, followed by a Marshall Stability test to evaluate the deformation resistance of the modified mixtures. The results were anticipated to demonstrate that incorporating N-330 into asphalt mixtures can enhance stability. The Marshall test results indicated that samples with 6% resin tire carbon black as the binder percentage “AC-RTCB6” demonstrated the highest stability among all RTCB samples. Moreover, these samples outperformed asphalt mixtures using bitumen as the binder in terms of stability. Also, the AC-B mixes exhibited lower flow values compared to the AC-RTCB mixes. The higher flow observed in the AC-RTCB specimens suggests that the addition of 1.5% xylene as a solvent to the resin was effective and positively influenced the flow characteristics.

1. Introduction

With the global population growing at an exponential rate and transportation infrastructure developing, tire production for automobiles is rising significantly [1]. Non-biodegradable solid tire wastes are a major threat to the environment and public health [2]. Large amounts of rubber waste are created from used tires after their service duration [1,3]. Given that more than 2.9 billion tires were produced globally in a single year in 2017, tire waste is almost directly related to tire production [1,4].
A significant increase in production has occurred from 2017 until now; recently, as of 2023, the global tire industry is projected to produce approximately 2.47 billion tires annually, with a market valuation of around USD 262.2 billion [5]. This production volume reflects the industry’s recovery trajectory following the COVID-19 pandemic, with a compound annual growth rate (CAGR) of 3.5% anticipated over the next five years, leading to an estimated production of 2.94 billion tires by 2028 [5]. This enormous volume of waste that is not biodegradable takes up space and endangers the ecosystem [6]. Burning or utilizing tires as fuel can release dangerous gases into the atmosphere and pollute the natural air supply in a detrimental way [1,7]. As environmental concerns have grown, waste tires are increasingly being recycled in a way that benefits the economy as well as the environment [1]. Figure 1 illustrates that, according to a report by the US Tire Manufacturers Association [1,8], only sixteen percent of trash tires end up in landfills; the remaining sixty percent are recycled in various ways [1]. Around 6% to 8% of waste tires are being recycled as civil engineering materials in the US [1,9].
The aggregate amounts of polymeric trash, such as rubber tires, and polyethylene terephthalate bottles, which constitute a significant portion of solid waste, are rising quickly [10]. Because rubber tires have a unique form that allows for long-term storage of rainwater, when they are piled up, numerous pests—particularly dengue mosquitoes—can spawn in the water [10,11,12]. Burning rubber tires is the simplest and least expensive way to dispose of them but it releases dangerous gases into the air and pollutes the environment [10,13]. As an alternative, scrap rubber tires can be burned as fuel in cement kilns to create carbon black, which can then be melted and utilized as aggregate in cement-based products rather than natural aggregates for road asphalt pavements [10]. The usage of recycled tire rubber waste in asphalt pavements dates back more than a century [2]. In the 1840s, bitumen and natural rubber were first mixed [2,8]. The complete process of extracting RA from waste tires is represented in Figure 2 [1], which also depicts each step in employing mechanical grinding equipment to generate different types of RA from waste tires.
The wet asphalt technology, which involves recycled tire rubber partially reacting with asphalt binder, was developed and studied by Charles H. McDonald in the 1960s [2,14]. As per the recycled waste tire particles defined by ASTM D-6270 and the standard practice for using scrap tires in civil engineering applications, recycled tire rubber granules are obtained by shredding scrap tires in accordance with the required particle sizes, terminologies (Table 1a), and properties (Table 1b) [2]. The main components needed to make tires are steel (14–15%), fabric, filler, accelerators, carbon black (28%), natural and synthetic rubber (14%), and anti-zoonants (16–17%) [2,15,16]. The main chemical components of waste tire rubber include elastomers, polyisoprene, polybutadiene, styrene butadiene, carbon black (29%), additives (13%), complicated chemical combinations, and extender oil (1.9%) [2]. There are two approaches for producing asphalt–rubber mixtures: the wet process and the dry procedure [2]. Crumb rubber is added to the asphalt cement during the wet process to alter the chemical and physical properties of the asphalt cement used to create rubberized pavements [3,17]. The strength of dry-processed stone matrix asphalt including cement-precoated crumb tire rubber particles was examined by Khiong, Lim Min et al. [18]. According to their findings, the combination containing precoated rubber aggregate in the stone matrix asphalt outperformed the mixture containing untreated rubber aggregate in terms of strength and performance [2,18].
A typical distribution of the leftover recycled tire rubber in rubberized asphalt is depicted in Figure 3. The overall characteristics of the binder are impacted when recycled tire rubber waste is added to asphalt mixtures. For instance, Chlebnikovas et al. [8,19] found that the rheological characteristics of the modified asphalt binder were significantly impacted by the crumb rubber’s particle size, shape, and quantity. Kim et al. [20] studied the flow behavior, elasticity, loading, and temperature dependency of crumb-rubber-modified binders. Their results showed that the addition of crumb rubber as a modifier increased the viscosity of the binder, changed the flow characteristics from Newtonian to a shear thinning flow, reduced creep compliance values, improved stiffness and elasticity, increased the complex modulus at higher temperatures, and decreased the phase angle at lower temperatures.
The use of resins in asphalt concrete and asphalt mixtures has been a topic of growing interest in recent years, particularly as the construction industry seeks more sustainable, durable, and high-performance materials. One such resin, the Vipel® F737 series [(®) means it is a registered trademark], is a fire-retardant polyester resin that belongs to the family of Fiber-Reinforced Polymers (FRPs). Vipel® F737 FRP resins are known for their excellent mechanical properties, including high tensile and compressive strength, good chemical resistance, and fire-retardant properties. By increasing durability, flexibility, and resistance to environmental conditions, the addition of this resin to asphalt concrete and asphalt mixtures may improve the overall performance of road pavements. Vipel® F737 is manufactured by AOC, headquartered in Collierville, TN, USA and sourced from one of the suppliers on the Alibaba.com website.
The Vipel® F737 resin system is designed for applications requiring fire/heat-retardant properties without compromising mechanical strength. It is a type of unsaturated polyester resin that can be reinforced with glass fibers or other composite materials to enhance its structural capabilities [20]. The resin’s fire-retardant nature makes it particularly useful in construction scenarios where safety is paramount. It has high resistance to flames, which is a critical factor in road construction, especially in regions with extreme temperatures or fire-prone areas.
In addition to its fire-retardant qualities, Vipel® F737 offers good resistance to chemicals, which helps in environments where roads are exposed to various pollutants or corrosive substances. This characteristic is especially relevant in urban areas, industrial zones, or coastal regions, where exposure to oils, fuels, salts, and other chemicals can deteriorate traditional asphalt mixtures. The resin’s chemical resistance can help asphalt pavements maintain their integrity for longer periods, reducing the need for frequent repairs and lowering long-term maintenance costs. Incorporating Vipel® F737 FRP resin into asphalt concrete and asphalt mixtures can significantly improve the material’s mechanical and environmental performance. One of the primary challenges with conventional asphalt pavements is their susceptibility to cracking, rutting, and damage due to temperature fluctuations, heavy traffic loads, and exposure to water. Adding Vipel® F737 resin to the asphalt binder can improve the flexibility and tensile strength of the asphalt mixture, making it more resistant to deformation under heavy loads or temperature-induced expansion and contraction. Moreover, the fire-retardant properties of Vipel® F737 provide additional safety benefits for road pavements. Roads constructed in areas prone to wildfires or high temperatures would benefit from the resin’s ability to withstand extreme heat without igniting or degrading. This can be particularly important in the construction of highways, tunnels, or bridges, where fire safety is a major concern. Another key benefit of using Vipel® F737 in asphalt mixtures is its potential to improve the longevity of the pavement. The resin acts as a stabilizer, reducing the rate of oxidation and weathering in the asphalt binder. This means that roads constructed with resin-modified asphalt mixtures can have a longer service life compared to those made with conventional materials, reducing the frequency of maintenance and rehabilitation.

Research Significance

The investigation of resin tire carbon black “N-330” as a waste binder in asphalt concrete mixtures holds significant potential for advancing sustainable construction practices and enhancing the performance of asphalt pavements compared with bitumen as the binder. The disposal of used tires poses a major environmental challenge globally, with millions of tons of waste accumulating annually. By exploring the use of tire carbon black as a recycled material in asphalt mixtures, this study aligns with the growing need for eco-friendly solutions in the construction industry, promoting waste reduction and resource efficiency.
The potential for tire carbon black “N-330” to serve as a supplementary binder in asphalt concrete could introduce several benefits. First, it may improve the mechanical properties of asphalt mixtures, such as their durability, resistance to cracking, and rutting, which are critical for high-traffic roadways. Resin tire carbon black’s unique characteristics, including its high surface area and chemical stability, could enhance the bonding between aggregates and the asphalt binder, resulting in stronger and longer-lasting pavements. This could reduce the need for frequent maintenance and repairs, translating into cost savings over the life cycle of the pavement. Additionally, the use of resin tire carbon black in asphalt mixtures addresses environmental concerns related to the disposal of both waste tires and petroleum-based asphalt binders. Incorporating recycled materials not only reduces landfill waste but also decreases the demand for virgin materials, contributing to a more circular economy in the construction sector. Moreover, the modification of asphalt mixtures with tire carbon black could lower the overall carbon footprint of road construction projects, aiding in efforts to reduce environmental impacts associated with climate change. From a research perspective, this study will provide valuable insights into the behavior of asphalt mixtures containing tire carbon black under various conditions, including their mechanical performance, durability, and resistance to environmental factors like temperature variations and moisture. The findings of this research could inform future developments in asphalt technology, leading to innovative applications of recycled materials in infrastructure projects. Furthermore, by assessing the compatibility and effectiveness of tire carbon black “N-330” as a waste binder, this research could contribute to the broader field of sustainable engineering and material science. In summary, the significance of this research lies in its potential to improve the sustainability and performance of asphalt pavements by utilizing waste tire materials. It offers a promising solution to both environmental and engineering challenges, positioning tire carbon black as a viable alternative binder in asphalt concrete mixtures, with potential benefits in terms of economic savings, environmental protection, and infrastructure resilience. In addition, the purpose of this study was to investigate how rubber’s natural flexibility could be used with asphalt to produce a pavement surface that would last longer and to enhance the use of resin rubber asphalt for spray applications, hot mix binders, and crack sealants.

2. Materials

2.1. Asphalt Binder “Bitumen”

The liquid binder that binds asphalt together is called bitumen. An aggregate was placed on top of a bitumen layer that was sprayed to create a bitumen-sealed surface. After that, we repeated this to create a two-coat seal. SIKA Company supplied Sika ® Bitumen-W/60 basic asphalt binder (Obour City, Egypt). Table 2 provides the technical specifications of Bitumen-W.

2.2. Resin Tire Carbon Black [N-330]

The resin that was utilized to create the resin tire carbon black “N-330” as a bitumen substitute for the binder is appropriate for use in a number of manufacturing techniques, including pultrusion, winding, and manual lay-up. The basic resin, mostly made of polyester and peroxide, was widely utilized to make water pipes and other applications that required corrosion resistance. The resin employed in this investigation was an isophthalic polyester resin from the Vipel® F737 series, which is manufactured by AOC, USA. The resin has suitable mechanical properties in terms of tensile strength (89 MPa), tensile modulus (3.6 GPa), and tensile elongation (4.1%) according to the ASTM D 6114-97 test method [25], and a specific gravity of 1.12 as reported by the manufacturer. Tire carbon black N-330, as shown in Figure 4, was supplied through an electronic purchase process from Alibaba.com, and its properties were verified by conducting the necessary tests according to the standard specifications, as shown in Table 3. It is a high-performance grade of carbon black widely used as a reinforcing agent in rubber products, especially in tire manufacturing. It enhances the mechanical properties of rubber, such as tensile strength, wear resistance, and durability.
Recently, TCB N-330 has garnered attention for its potential use in asphalt concrete mixtures, aiming to improve pavement performance and sustainability. By incorporating resin tire carbon black N-330 into asphalt, the mixture gains enhanced flexibility, improved bonding between aggregates, and greater resistance to cracking and rutting, especially under heavy traffic loads. Figure 5 shows the grading size distribution of TCB N-330.

Preparation of Resin Tire Carbon Black “RTCB/N-330”

To enhance the resin properties against high temperatures, tire carbon black “N-330” was added to the resin. Tire carbon black “N-330” was added to the basic resin with percentages of 2%, 4%, 6%, 8%, and 10% from the volume of the resin. To mix the tire carbon black powder N-330 with resin, the following method was used, which is based on practices commonly referenced in material science and the composite manufacturing literature: First, we ensured that the N-330 was dry and had a uniform particle size distribution, which can be ensured by checking the listed specification when purchasing. Typical proportions range between 2%, 4%, 6%, 8%, and 10% by weight of the total composite, based on performance needs.
The rationale behind selecting specific percentages (2%, 4%, 6%, 8%, and 10%) of TCB N-330 as an additive with resin in asphalt concrete typically stems from scientific experimentation, practical engineering considerations, and material properties. Percentages such as 2%, 4%, 6%, 8%, and 10% provide a structured range to evaluate incremental changes in asphalt properties, such as stiffness, ductility, thermal resistance, and durability. Also, smaller increments (e.g., 2%) allow researchers to detect thresholds where performance improvements plateau or diminish. Meanwhile, excessively high concentrations (>10%) could cause issues such as reduced workability or uneven dispersion in the mix.
Research studies and industry guidelines often set benchmarks for evaluating additives in asphalt. Percentages around 2–10% are commonly used in experimental studies to align with the existing literature and ensure comparability. Also, carbon black as a filler has shown optimal performance improvements within the 2–10% range in enhancing stiffness and durability. Higher concentrations beyond 10% may lead to diminishing returns or negative impacts on flexibility and workability.
Secondly, we added a small amount of solvent (xylene-1.5%) to the resin and stirred until homogeneous. This step helped to reduce viscosity and enhance the wetting of carbon particles. Then, we gradually added N-330 to the resin mixture. We used a mechanical mixer set at low speed (500–1000 RPM) to avoid excessive heat generation or particle aggregation; this was mixed for 5–10 min per addition increment to ensure even distribution. After all of the N-330 was added, we increased the mixing speed slightly (1000–1500 RPM) and mixed for an additional 15–30 min to ensure the uniform dispersion of TCB N-330 particles within the resin. Tire carbon black (N-330) has a high surface area and strong inter-particle attraction, making it prone to agglomeration. Insufficient mixing can lead to uneven dispersion, resulting in non-uniform mechanical and rheological properties in the final mixture. By increasing the mixing speed, the shear forces in the mixture are enhanced, effectively breaking down any agglomerates of carbon black. This promotes thorough wetting of the particles by the resin, which is essential for achieving a homogenous composite with optimal structural integrity and performance. The extended mixing time further ensures that the resin penetrates into any remaining agglomerates and that the carbon black is uniformly distributed, enhancing the electrical conductivity, thermal stability, and mechanical strength of the mixture. This step is critical for producing a high-quality material with predictable and reproducible properties.
Based on the mixtures mentioned in Table 4, the necessary tests were conducted to determine the best and optimum percentage of added tire carbon black N-330 to the resin as a preliminary step for using it later in the asphalt mixtures and conducting tests on it.

2.3. Filler and Aggregates

The aggregate for the asphalt mixture was crushed limestone. The fine and coarse aggregates were separated into grades and sieved to guarantee the stability of the granular gradation. Table 5 displays the technical details and properties of the aggregates. With standard determination ASTM C33/C33M-08 [31,32], it should be noted that the aggregate was separated and sieved into coarse and fine aggregates with diameters greater or less than 4.75 mm, respectively, and as shown in Figure 6, after first being mixed in accordance with the aggregate gradation of the AC-20 mixture and according to [33]. The technical details of the limestone powder (LSP), which was utilized as a filler in the asphalt mixture, are also included in Table 3. The powder did not exhibit any clumping or wetness [34].

2.4. Asphalt Concrete Mix Design

To design an asphalt mixture using the Marshall method with graded limestone aggregate and bitumen/resin tire carbon black N-330, limestone aggregate based on ASTM D6927-15 [36] and AASHTO T245 [37] standards were used. We first mixed different aggregate sizes to achieve the desired gradation, meeting the limits specified in ASTM D3515 [38] and AASHTO M323 [39]. Gradation is crucial for achieving optimum density, durability, and load-bearing capacity in the asphalt mix. The binder (bitumen) type should be compatible with the expected traffic load and climate, typically graded according to the PG (performance grade) system. To determine the ideal binder content for the asphalt mix design, a Marshall mix design was carried out for four binder (bitumen/resin tire carbon black N-330) percentages (4%, 5%, 6%, and 7% by weight of aggregate). The aggregate-to-binder ratio was 5% by weight of the total mix. For limestone aggregate, guidelines for particle size distribution as per ASTM D3515 were followed. Then, we heated the aggregate to 300 °F (148 °C) and bitumen to 275–325 °F (135–163 °C) to ensure thorough mixing. We combined the aggregate and bitumen at specified temperatures until coated uniformly. The mixtures were produced with different binder (bitumen/resin tire carbon black N-330) contents for testing purposes. Then, we compacted the mixtures in a mold with 75 blows on each side using a Marshall compactor, as per ASTM D6927 [36]. Table 6 shows the asphalt concrete mixtures made with carbon or bitumen.

3. Tests Conducted

3.1. Standard Binder Examinations

A homogeneous mixture was achieved by maintaining the mixture between 160 and 170 degrees Celsius for an additional 15 min at a steady stirring speed of 5000 rpm. An identical procedure was also applied to the control sample, which was neat binder. The mixtures were then put in small containers for additional examination. Standard binder tests were conducted in accordance with ASTM D5-13 [21], ASTM D113-99 [40], and ASTM D3676 [25], respectively, for penetration, ductility, and the softening point. Per ASTM D5 [21], the penetration test was conducted at 25 °C with a 100 g load weight and a 5 s needle penetration period. The asphalt’s thermal susceptibility was estimated by measuring the ring and ball softening point of the material in accordance with ASTM D36 [41].
The viscosity test at 165 °C was carried out in accordance with the guidelines provided in ASTM D4402 [23] in order to measure the workability of asphalt and ascertain its flow at high temperatures. The ASTM D113 [40] standard was followed for performing the ductility test at 25 °C.

3.2. Thermal Susceptibility Index

The sensitivity of asphalt at various temperatures was investigated using the thermal susceptibility index, commonly known as the penetration index (PI). Equation (1) illustrates the process that Pfeiffer and Van Doormaal proposed in 1936 to evaluate the PI based on the petroleum asphalt’s softening point (SP) and penetration (Pen) at 25 °C.
P I = 1952 500 log P e n 20 S P 500 log P e n S P 120

3.3. Derivative Thermogravimetric Analysis (DTG)

The thermal behavior of binder and its composites was investigated in this work using Q600 Shimadzu DTG equipment. Tests were carried out in a nitrogen (N2) atmosphere to exclude the possibility of oxidation by ambient oxygen. At a rate of 10 °C per minute, a sample weighing around 20 ± 0.1 mg was heated from 25 to 600 °C.

3.4. Asphalt Concrete Properties

The intergranular void space between the aggregate particles in a compacted pavement mixture is known as the voids in the mineral aggregate, or VMA. It is stated as a percentage of the overall volume and comprises the air voids and the effective asphalt content. Air voids (Va), voids in mineral aggregate (VMA), and voids filled with asphalt (VFA) for each sample, according to ASTM D2726 [42], must be calculated.

3.5. Marshall Stability

The stability test measures how resistant asphalt materials are to shearing stress, rutting, displacement, and deformation. These effects mostly rely on internal friction brought on by aggregate interlocking and cohesion from the binder’s binding force in specimens. Throughout their service life, flexible pavements are occasionally subjected to heavy traffic loads, necessitating the use of an asphalt binder with low flow and relatively high stability. In order to ascertain the maximum load that RTCB/8 specimens can withstand, the Marshall stability test was carried out in this investigation in compliance with ASTM D6927-06 [43] at a loading rate of 50 mm/min at 60 °C.

4. Results and Discussion

4.1. Penetration

Consistency is represented by the asphalt binder penetration value, which describes the flow and deformation characteristics of binders and reflects the rheological characteristics of asphalt. Figure 7 illustrates how TCB N-300 percentage affects the RTCB’s binder penetration value.
Three samples of asphalt binder were made from a single batch in order to determine the corresponding RTCB-N330 concentration. The unaltered or control sample was the asphalt binder sample that contained 0% N-330. Figure 7 displays the penetration test findings. The control sample’s average penetration value was 84.5 mm, meeting the specifications for the penetration grade of 80/100 asphalt. Figure 7 illustrates how the penetration value drops as the amount of TCB-N330 rises. With each 2% increase in TCB N-330 applied to the resin, the penetration depth decreased by about 12–15%. For 2%, 4%, 6%, 8%, and 10% TCB-N330 content, the average values were 70 mm, 61.2 mm, 54.6 mm, 48 mm, and 38 mm, respectively. According to the overall penetration results, a larger TCB N-330 content increased the modified binder’s viscosity. The asphalt binder gradually tightened as the N-330 content was raised, as evidenced by the proportionate drop in penetration depth that occurred with the increase in TCB N-330 content. These outcomes are in line with those of Ibrahim et al. [30], who discovered a similar pattern when they added more and more crumb rubber to the asphalt binder using a wet technique. Nejad et al. [44] also observed this type of pattern, noting that the addition of crumb rubber decreased penetration both prior to and following the aging process in a rolling thin-film oven.

4.2. Ductility

The ability of asphalt binder to stretch or elongate before breaking under tension is known as ductility. High-ductility asphalt pavement lasts a long time. The asphalt’s ability to prevent cracking was evaluated using the ductility test. Because of its high ductility (which was not measured because it was beyond the 100 cm range of the ductility machine), neat asphalt has a great extension property, as shown in Figure 8. When RTCB N-330 was used as the binder, the ductility of the RTCB N-330 asphalts showed an obvious increase, similar to the results obtained by Didier Lesueur et al. [45].
The addition of TCB N-330 into the ternary composite binders induced a small ductility increase from 33 to 37–55 cm. These ductility values suggest that the modified RTCB N-330 binders became more elongated. The higher carbon content that was added to the resin is probably what caused the increase in ductility, which complies with [2,44,45]. The approximate equality of the values for both RTCB/8 and RTCB/10 is also notable.

4.3. Softening Point

The softening point determines the asphalt binder’s plastic flow and indicates how stable it is at high temperatures. In general, binder is more stable at high temperatures if its softening point is higher [3,17,46]. Figure 9 shows that the RTCB N-330 composite’s softening point is 15 C higher than that of the unmodified binder RTCB/0, indicating advantages in creep resistance [17,37,43]. The resulting mixture of RTCB N-330 composite has a higher softening point than RTCB/0 (neat binder) because of the strong strength of the polymers mixed with TCB % at higher temperatures. Nevertheless, the softening point of RTCB N-330 was almost equal in both mixtures RTCB/8 and RTCB/10.
Figure 9 makes clear that, with the exception of the RTCB/8 modified sample, all of the changed RTCB N-330 samples demonstrate a steady and directly proportionate rate of growth (around 7–12% on average) in terms of softening point. This suggests that the modified sample’s softening point grew as the TCB N-330 content increased. This suggests that the modified sample’s softening point rose as the TCB N-330 percentage increased. When TCB N-330 content was present, the asphalt binder stiffened, raising the softening point. This is in line with Abdulaziz Alsaif et al.’s study [17]. A stronger temperature resistance is shown by an increase in the softening point. The modified asphalt binders’ strong temperature resistance indicates that the addition of crumb rubber enhanced their viscosity. It suggests that an asphalt binder modified with crumb rubber that has a higher softening point is more viscous. Therefore, a modified asphalt binder with a higher softening point will be more serviceable when used in road construction, particularly in hotter climates [47,48].

4.4. PI—Thermal Susceptibility Index

The reaction of RTCB N-330 to temperature changes is gauged by the thermal susceptibility index (PI). PI used the penetration and softening point values to calculate the sensitivity of asphalt. The characteristics of asphalt vary depending on the road service temperature, making it a temperature-sensitive material. The neat binder (RTCB/0) had a PI value of −1.9, as shown in Figure 10, indicating that temperature variations had a significant impact on it. The PI value rose following the addition of 8% percent TCB N-330, indicating that the RTCB/modified asphalt blend is less sensitive to temperature changes.
The performance of the modified RTCB at high temperatures is significantly impacted by the addition of TCB N-330. Lesueur [49] states that the PI value is an excellent way to determine the type of bitumen; a gel bitumen is indicated by a PI > 2, whereas a conventional sol bitumen has a PI < 0. Consequently, the methods employed for asphalt modification in this study did not alter the binder’s internal structure. Furthermore, PI values for paving should fall between −2 and +2; therefore, the values of the PI are within the range specified, except for the value of the mixture RTCB/10, which is outside the range [48,49].

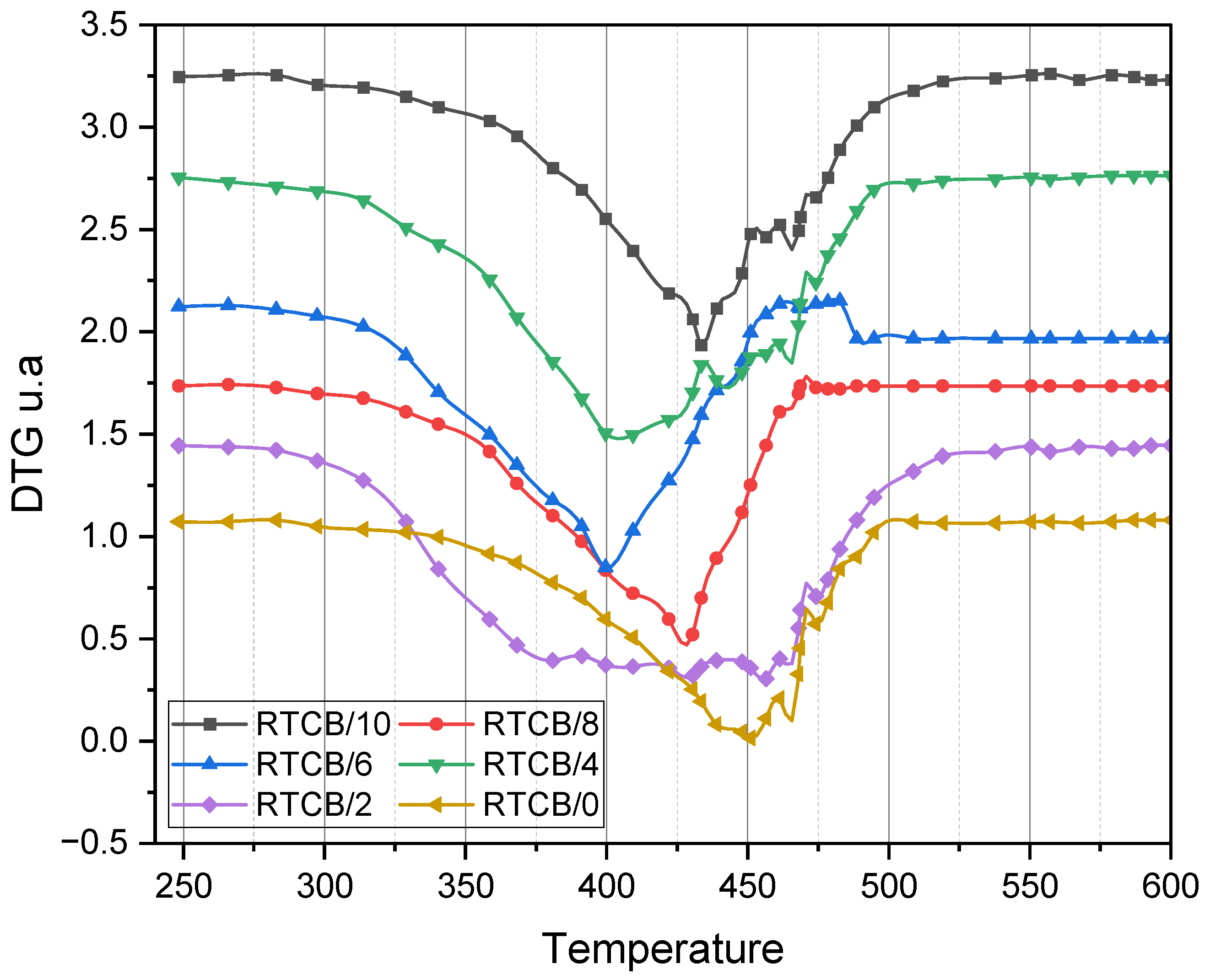
4.5. Derivative Thermogravimetric Analysis (DTG)

DTG was used in this study to examine the thermal stability of RTCB and the blends with N-330; Figure 11 displays the DTG results of the samples of RTCB/0 and RTCB-based N-330 [48,49]. The DTG curves for the RTCB N-330 binder indicate that two partially overlapping reactions are taking place in these binders.
In addition, the Derivative Thermogravimetric Analysis (DTG) results of the samples provide valuable insights into the thermal behavior and stability of asphalt mixtures incorporating resin tire carbon black (RTCB) as a waste binder. DTG measures the rate of mass loss over time, offering a clear representation of the thermal degradation and stability of the samples at various temperatures.
In comparison to the control sample (RTCB/0), which showed the lowest DTG value of 0 u.a at a temperature of 450 °C, the results for the RTCB-incorporated mixtures indicate a clear increase in thermal degradation rates as the concentration of carbon black increases. For instance, the DTG values for RTCB/2, RTCB/4, RTCB/6, RTCB/8, and RTCB/10 progressively increased to 0.3, 0.5, 1, 1.5, and 2 u.a, respectively. This rise in DTG values correlates with higher carbon black content, suggesting that RTCB enhances the rate of decomposition at elevated temperatures, possibly due to increased binder content or the catalytic effect of carbon black on binder degradation [50,51]. This observation aligns with previous studies where the addition of carbon black led to altered thermal behavior, enhancing the initial weight loss due to binder decomposition [52,53].
Furthermore, the temperatures at which the maximum DTG values were recorded also show variations. The control sample (RTCB/0) peaked at 450 °C, while the samples containing higher RTCB concentrations exhibited slightly lower peak temperatures: 460 °C for RTCB/2, 430 °C for RTCB/4, and 400 °C for both RTCB/6 and RTCB/8. RTCB/10 peaked at 425 °C. These temperature shifts indicate a possible reduction in the thermal stability of the binder as more carbon black is incorporated [54,55], consistent with the fact that carbon black can influence the thermal decomposition process by altering the chemical composition and structure of the binder [56].
In summary, the DTG analysis indicates that the addition of RTCB increases the rate of thermal degradation and reduces the temperature at which significant decomposition occurs [52,53]. The highest DTG value of 2 u.a at 400 °C for the RTCB/10 sample suggests the enhanced thermal response of the mixture with the highest carbon black content. Conversely, the control mixture (RTCB/0) showed the lowest DTG value, highlighting the stabilizing effect of traditional binders. These findings contribute to understanding the thermal behavior of asphalt mixtures with waste-derived materials and underscore the importance of optimizing RTCB content for better thermal performance in asphalt concrete applications.
As the amount of TCB N-330 increased, the modified binder’s initial degradation temperature dropped. Because of the poor thermal stability of TCB N-330, this behavior points to a minor loss of the thermal stability in modified RTCB N-330. The amount of TCB N-330 applied affected the initial degradation, which appeared to be strongly correlated with the thermal susceptibility index value.
Based on the information above, we determine that combination RTCB/8 has the best ductility, PI, elongation degree, and softening point for an asphalt binder. With the exception of the value of the mixture RTCB/10, which is beyond the range, the PI values fall within the range that has been set until RTCB/8, which can be considered as the optimum mixture where the highest values were obtained. Also, in terms of acceptance limits for the softening point temperature and traffic density, the RTCB/8 mixture is considered the best as it achieves acceptance limits [25] at a lower cost than its counterpart in RTCB/10. Regarding the asphalt binder ductility acceptance limitations [21] and the average temperature in the Arab globe, the RTCB/8 combination is said to be the best since it meets the acceptance criteria and is, therefore, less expensive than its RTCB/10 cousin. The same trend had been observed for DTG. In order to determine whether the resin binder is a suitable substitute for bitumen, particularly in road maintenance activities, it will be used and compared to samples that contain bitumen as an asphalt binder as follows.

4.6. Volumetric Properties and Marshall Stability

Figure 12 displays the outcomes of the Marshall stability tests conducted on the asphalt-concrete-based RTCB N-330 and asphalt-concrete-based bitumen (AC-B) as the binder mixtures. The RTCB N-330 mixes were noticeably more stable than the AC-B mixes, as this figure demonstrates. The AC-B mixes were more stable than the AC-RTCB mixes, which can be explained by their Pav and VMA. There were fewer air spaces and the AC-RTCB mixtures were denser. Furthermore, the AC-RTCB mixes were prepared with a more viscous binder, and therefore their binder–aggregate skeleton was much stronger than that of the AC-B mixes. Furthermore, the AC-RTCB mixes were more stable than the unmodified mixes (0% TCB N-330). On the one hand, for AC-B, the AC-B6 mix showed the maximum stability as 5987 N; on the other hand, the AC-RTCB6 mixes showed the maximum stability as 7910 N for AC-RTCB mixes. The obtained results comply with [44,55,56].
Table 7 illustrates the Marshall flow results. Additionally, Figure 12 displays the Marshall flow data for all asphalt-concrete-based RTCB N-330 and asphalt-concrete-based bitumen (AC-B). This figure displays a typical rising trend as the percentage of binder increases [57,58]. All of the AC-B and AC-RTCB mixes’ flow values fell within the permitted ranges listed in JKR/SPJ/REV2008-S4 [59]; however, the AC-B mixes had a higher flow than the AC-RTCB mixes, as evident from Figure 13. The higher flow values of the AC-RTCB specimens indicated that the addition of solvent (xylene-1.5%) to the resin was effective and indeed had a positive effect on the flow [60]. According to Table 6, the AC-RTCB specimens with increased flowability display a decrease in the air voids ratio.
  • Gmm, maximum specific gravity of paving;
  • Pav, air voids;
  • VMA, voids in mineral aggregates;
  • Gsb, bulk specific gravity of aggregate;
  • Gmb, bulk density of compacted specimen;
  • The RTCB used was RTCB/8, according its optimum behavior from the binder property tests.

5. An Analysis of the Comparison Between Bituminous and Resin Tire Carbon Black Mixtures Used in Asphalt Road Maintenance (Case Study)

To study the actual and practical application of using the RTCB N-330 with the selected optimum mixture in practice, a case study was conducted on asphalt road maintenance.
The maintenance was performed once using a bituminous asphalt mixture and another time using RTCB N-330. The comparison was between multiple factors, including the road’s length (1 km); location within a highway traffic road in Cairo—Ismailia Desert Road, Egypt; the time spent in implementation, with a description of the reasons; the initial cost of each method in US dollars; the quality of work completion; and endurance over time. Table 8 displays the comparative results.
In summary, while the RTCB N-330 mixture may involve higher initial costs and longer implementation times, it offers potential benefits in terms of quality and longevity, potentially leading to reduced maintenance needs and costs over the road’s lifespan.

Potential Limitations of Using RTCB N-330 as an Asphalt Binder

The use of resin mixtures with carbon black N330 as a binder has notable advantages but there are also potential limitations that need to be addressed. These limitations primarily relate to performance under varying climate conditions, high traffic loads, and economic feasibility. According to climate conditions, resin mixtures, though highly durable, may become overly stiff in extremely hot climates. This could lead to cracking under heavy loads or repetitive stresses. This behavior can be overcome by adding plasticizers or optimizing the resin-to-carbon-black ratio, which can improve flexibility and thermal stability [63]. On the other hand, resin mixtures generally perform well in freeze–thaw cycles; however, excessive stiffness at very low temperatures could lead to brittle fractures. This behavior can be overcome by adding modifiers or using a blend designed for cold climates that can help maintain elasticity and reduce brittleness.
In areas with high traffic loads, under heavy traffic, especially in urban areas with frequent stop-and-go movements, the stiffness of the resin mixture may lead to surface wear or microcracking. Over time, this could result in reduced structural integrity. The addition of elastomers or modifiers to improve fatigue resistance can help counteract wear. Designing the mix to withstand specific traffic loads is critical.
According to environmental impact, while resin mixtures are marketed as sustainable, the production and transportation of resin components may have a higher carbon footprint compared to locally sourced bitumen. Sourcing resins from sustainable manufacturers or incorporating recycled materials can offset environmental impacts.
While resin mixtures with carbon black N330 exhibit excellent durability, thermal resistance, and longevity, potential limitations include challenges in hot climates, high traffic loads, higher initial costs, and environmental concerns related to resin production. By addressing these issues through optimized formulations and innovative technologies, the performance and viability of this method can be significantly enhanced across a broader range of applications.

6. Conclusions

The findings of this study demonstrate the significant potential of resin tire carbon black (RTCB) N-330 as a waste binder in asphalt concrete mixtures. Incorporating RTCB N-330 not only supports waste recycling and reduces environmental impact but also aligns with sustainability goals. Increasing the concentration of RTCB N-330 enhances stiffness and softening points, improving performance under high temperatures.
The RTCB/8 composition, in particular, exhibits superior values for ductility, penetration index, elongation, and softening point, making it highly suitable for asphalt binder applications. Mixtures containing RTCB N-330 outperform conventional bitumen in terms of Marshall stability, mechanical strength, and durability, offering a viable and eco-friendly alternative that reduces the need for frequent repairs, especially in harsh climates. Additionally, resins such as Vipel® F737, when combined with tire waste, further extend the lifespan and thermal resistance of asphalt, contributing to more sustainable infrastructure. As the demand for durable and environmentally friendly materials grows, the adoption of RTCB N-330 and similar resins is expected to expand, supporting the development of sustainable, high-performance road networks.

Author Contributions

Conceptualization, H.M.A.-J., A.D.A. and S.K.; methodology, S.K., A.A.N., W.F.E. and H.M.A.-J.; formal analysis, S.K. and A.D.A.; data curation, A.A.-K.A.A.S., H.M.A.-J., W.F.E. and A.A.-K.A.A.S.; writing—original draft preparation, S.K.; writing—review and editing, A.A.-K.A.A.S. and H.M.A.-J.; supervision, W.F.E. and A.D.A. All authors have read and agreed to the published version of the manuscript.

Funding

This research was partially financed by Kingdom University, Bahrain, from the research grant number [KU-SRU-2024-05].

Data Availability Statement

The information provided in this study can be obtained upon request from the corresponding author.

Acknowledgments

The authors would like to acknowledge that this research work was partially financed by Kingdom University, Bahrain, from the research grant number [KU-SRU-2024-05]. Also, the authors would like to express gratitude to National Research Centre (NRC) for providing the raw materials and carrying out all tests, as well as to those who will review and support our research.

Conflicts of Interest

The authors declare no conflicts of interest.

References

  1. Siddika, A.; Al Mamun, M.A.; Alyousef, R.; Amran, Y.H.M.; Aslani, F.; Alabduljabbar, H. Properties and utilizations of waste tire rubber in concrete: A review. Constr. Build. Mater. 2019, 224, 711–731. [Google Scholar] [CrossRef]
  2. Alfayez, S.A.; Suleiman, A.R.; Nehdi, M.L. Recycling tire rubber in asphalt pavements: State of the art. Sustainability 2020, 12, 9076. [Google Scholar] [CrossRef]
  3. Aliyu Yaro, N.S.; Sutanto, M.H.; Habib, N.Z.; Usman, A.; Adebanjo, A.; Wada, S.A.; Jagaba, A.H. Predictive modelling of volumetric and Marshall properties of asphalt mixtures modified with waste tire-derived char: A statistical neural network approach. J. Road Eng. 2024, 4, 318–333. [Google Scholar] [CrossRef]
  4. Roychand, R.; Gravina, R.J.; Zhuge, Y.; Ma, X.; Youssf, O.; Mills, J.E. A comprehensive review on the mechanical properties of waste tire rubber concrete. Constr. Build. Mater. 2020, 237, 117651. [Google Scholar] [CrossRef]
  5. ConsumerAffairs. “Tire Industry Statistics 2025 [2024]” ConsumerAffairs.com. Available online: https://www.consumeraffairs.com/automotive/tire-industry-statistics.html (accessed on 26 June 2024).
  6. Lesueur, D.; Dekker, D.L.; Planche, J.-P. Comparison of carbon black from pyrolized tires to other fillers as asphalt rheology modifiers. Transp. Res. Rec. 1995, 1515, 47–55. [Google Scholar]
  7. Abdulfattah, O.; Alsurakji, I.H.; El-Qanni, A.; Samaaneh, M.; Najjar, M.; Abdallah, R.; Assaf, I. Experimental evaluation of using pyrolyzed carbon black derived from waste tires as additive towards sustainable concrete. Case Stud. Constr. Mater. 2022, 16, e00938. [Google Scholar] [CrossRef]
  8. Bastidas-Martínez, J.G.; Reyes-Lizcano, F.A.; Rondón-Quintana, H.A. Use of recycled concrete aggregates in asphalt mixtures for pavements: A review. J. Traffic Transp. Eng. (Engl. Ed.) 2022, 9, 725–741. [Google Scholar] [CrossRef]
  9. Martínez-Barrera, G.; del Coz-Díaz, J.J.; Álvarez-Rabanal, F.P.; López Gayarre, F.; Martínez-López, M.; Cruz-Olivares, J. Waste tire rubber particles modified by gamma radiation and their use as modifiers of concrete. Case Stud. Constr. Mater. 2020, 12, e00321. [Google Scholar] [CrossRef]
  10. Abbassi, F.; Ahmad, F. Behavior analysis of concrete with recycled tire rubber as aggregate using 3D-digital image correlation. J. Clean. Prod. 2020, 274, 123074. [Google Scholar] [CrossRef]
  11. Deng, Y.; Shi, X.; Kou, Y.; Chen, J.; Shi, Q. Optimized design of asphalt concrete pavement containing phase change materials based on rutting performance. J. Clean. Prod. 2022, 380, 134787. [Google Scholar] [CrossRef]
  12. Kumar, A.; Choudhary, R.; Kumar, A. Aging characteristics of asphalt binders modified with waste tire and plastic pyrolytic chars. PLoS ONE 2021, 16, e0256030. [Google Scholar] [CrossRef] [PubMed]
  13. Moasas, A.M.; Amin, M.N.; Khan, K.; Ahmad, W.; Al-Hashem, M.N.A.; Deifalla, A.F.; Ahmad, A. A worldwide development in the accumulation of waste tires and its utilization in concrete as a sustainable construction material: A review. Case Stud. Constr. Mater. 2022, 17, e01677. [Google Scholar] [CrossRef]
  14. National Research Council. Asphalts, Aggregates, Mixes, and Stress-Absorbing Membranes; National Academy of Sciences: Washington, DC, USA, 1976; 58p, Available online: https://worldcat.org/title/2902633 (accessed on 26 June 2024).
  15. Xu, X.; Luo, Y.; Sreeram, A.; Wu, Q.; Chen, G.; Cheng, S.; Chen, Z.; Chen, X. Potential use of recycled concrete aggregate (RCA) for sustainable asphalt pavements of the future: A state-of-the-art review. J. Clean. Prod. 2022, 344, 130893. [Google Scholar] [CrossRef]
  16. Al-Osta, M.A.; Al-Tamimi, A.S.; Al-Tarbi, S.M.; Baghabra Al-Amoudi, O.S.; Al-Awsh, W.A.; Saleh, T.A. Development of sustainable concrete using recycled high-density polyethylene and crumb tires: Mechanical and thermal properties. J. Build. Eng. 2022, 45, 103399. [Google Scholar] [CrossRef]
  17. Alsaif, A.; Albidah, A. Production of rubberized concrete utilizing reclaimed asphalt pavement aggregates and recycled tire steel fibers. Structures 2024, 68, 107174. [Google Scholar] [CrossRef]
  18. Khiong, L.M.; Safiuddin, M.; Mannan, M.A. Resdiansyah Material properties and environmental benefits of hot-mix asphalt mixes including local crumb rubber obtained from scrap tires. Environments 2021, 8, 47. [Google Scholar] [CrossRef]
  19. Chlebnikovas, A.; Marčiulaitienė, E.; Šernas, O.; Škulteckė, J.; Januševičius, T. Research on air pollutants and odour emissions from paving hot-mix asphalt with end-of-life tyre rubber. Environ. Int. 2023, 181, 108281. [Google Scholar] [CrossRef] [PubMed]
  20. Kim, H.S.; Lee, S.J.; Amirkhanian, S. Rheology investigation of crumb rubber modified asphalt binders. KSCE J. Civ. Eng. 2010, 14, 839–843. [Google Scholar] [CrossRef]
  21. Aliyu, A.A.; Ibrahim, M.H.B.W.; Alshalif, A.F.; Jaya, R.P.; Nindyawati, N. Mechanical and Microstructural Characteristics of High-Strength Self-Compacting Concrete (HSSCC) with Optimal Silica Fume and Fly Ash Cement Replacement. Int. J. Sustain. Constr. Eng. Technol. 2024, 15, 81–99. [Google Scholar]
  22. Statements, B.C.; Pycnometer, W. Standard Test Method for iTeh Standards. Iteh Stand. 2015, 22–25. [Google Scholar]
  23. ASTM-D4402-15; Standard Test Method for Viscosity Determination of Asphalt at Elevated Temperatures Using a Rotational Viscometer. American Society for Testing and Materials: West Conshohocken, PA, USA, 2015.
  24. ASTM-D113-99; Standard Test Method for Ductility of Bituminous Materials. American Association of State Highway and Transportation Officials: Washington, DC, USA, 1999; Volume 113, pp. 1–3.
  25. ASTM International. Astm Standard Test Method for iTeh Standards iTeh Standards Document Preview; ASTM International: West Conshohocken, PA, USA, 2010; Volume 1, pp. 5–7. Available online: https://www.scribd.com/document/586308625/ASTM-D6114-97-Standar-Specification-for-Asphalt-Rubber-Binder (accessed on 26 June 2024).
  26. ASTM-D1512-21; Standard Test Method for Carbon Black—pH Value. American Society for Testing and Materials: West Conshohocken, PA, USA, 2021.
  27. ASTM-D1509-18; Standard Test Methods for Carbon Black—Heating Loss. ASTM International: West Conshohocken, PA, USA, 2015; Volume i, pp. 1–4. [CrossRef]
  28. ASTM-D1506-15; Standard Test Methods for Carbon Black—Ash Content. ASTM International: West Conshohocken, PA, USA, 2018; Volume 09.01, pp. 1–4. Available online: https://www.astm.org/d1506-15.html (accessed on 26 June 2024).
  29. ASTM-D1513-05; Standard Test Method for Carbon Black—Pelleted—Pour Density. American Society for Testing and Materials: West Conshohocken, PA, USA, 2021; Last Previous Edition Approved in 2017 as D1513-05 (2017). [CrossRef]
  30. ASTM D1508-23; Standard Test Method for Carbon Black, Pelleted Fines and Attrition. American Society for Testing and Materials: Conshohocken, PA, USA, 2021; Last Previous Edition Approved in 2017 as D1508-05 (2017). [CrossRef]
  31. Paweł, S.; Kaźmierczak, U. Wear and fragmentation resistance of mineral aggregates—a review of micro-Deval and Los Angeles tests. Materials 2021, 14, 5456. [Google Scholar] [CrossRef] [PubMed]
  32. ASTM C33/C33M-24a; Standard Specification for Concrete Aggregates. American Society for Testing and Materials: Conshohocken, PA, USA, 2010; Volume i, pp. 1–11. [CrossRef]
  33. New Zeland Transport Agency. Specification for Dense Graded and SMA. Waka Kptahi 2014, 1, 1–30. [Google Scholar]
  34. Shaaban, M.; Edris, W.F.; Odah, E.; Ezz, M.S.; Al-Sayed, A.A.A. A Green Way of Producing High Strength Concrete Utilizing Recycled Concrete. Civ. Eng. J. 2023, 9, 2467–2985. [Google Scholar] [CrossRef]
  35. Al Sayed, A.A.A.; Al-Jabali, H.M.; Fahmy, M.; Mohamed, G.N. Evaluation of the structural performance of T-section beams with construction defects utilizing numerical analysis. Front. Built Environ. 2024, 10, 1280072. [Google Scholar] [CrossRef]
  36. ASTM C1709-18; Standard Guide for Evaluation of Alternative Supplementary Cementitious Materials (ASCM) for Use in Concrete. ASTM International: Conshohocken, PA, USA, 2000; Volume 8, pp. 3–4. [CrossRef]
  37. AASHTO-T245; Resistence to Plastic Flow of Bituminous Mixtures Using Marshall Apparatus. Annual Book of ASTM Standards: Philadelphia, PA, USA, 2008; Volume 97, pp. 1–5.
  38. ASTM D3515-01; Standard Specification for Hot-Mixed, Hot-Laid Bituminous Paving Mixtures. ASTM International: Conshohocken, PA, USA, 2001; Volume 9, pp. 1–5. Available online: https://www.scribd.com/document/413131278/ASTM-D-3515-2001-pdf (accessed on 26 June 2024).
  39. Kenneth Adomako Tutu, Simon Ntramah, Yaw Adubofour Tuffour, Superpave performance graded asphalt binder selection for asphalt mixture design in Ghana. Sci. Afr. 2022, 17, e01348. [CrossRef]
  40. ASTM D36-06; Standard Test Method for Softening Point of Bitumen (Ring-and-Ball Apparatus). ASTM International: Conshohocken, PA, USA, 2010; Volume 04. Available online: https://www.astm.org/standards/d36 (accessed on 26 June 2024).
  41. ASTM D36/D36M-14; Standard Test Method for Softening Point of Bitumen (Ring-and-Ball Apparatus). ASTM International: Conshohocken, PA, USA, 2017; Volume i, pp. 4–6. [CrossRef]
  42. ASTM D2726/D2726M-21; Standard Test Method for Bulk Specific Gravity and Density of Non-Absorptive Compacted Asphalt Mixtures. ASTM International: Conshohocken, PA, USA, 2015; Volume i, pp. 22–25. [CrossRef]
  43. ASTM-D6927-06; Standard Test Method for Marshall Stability and Flow of Bituminous Mixtures. ASTM International: West Conshohocken, PA, USA, 2015; pp. 6–8. [CrossRef]
  44. Golestani, B.; Nam, B.H.; Moghadas Nejad, F.; Fallah, S. Nanoclay application to asphalt concrete: Characterization of polymer and linear nanocomposite-modified asphalt binder and mixture. Constr. Build. Mater. 2015, 91, 32–38. [Google Scholar] [CrossRef]
  45. Lesueur, D. The colloidal structure of bitumen: Consequences on the rheology and on the mechanisms of bitumen modification. Adv. Colloid Interface Sci. 2009, 145, 42–82. [Google Scholar] [CrossRef]
  46. Yu, H.; Zhu, Z.; Leng, Z.; Wu, C.; Zhang, Z.; Wang, D.; Oeser, M. Effect of mixing sequence on asphalt mixtures containing waste tire rubber and warm mix surfactants. J. Clean. Prod. 2020, 246, 119008. [Google Scholar] [CrossRef]
  47. Hamim, O.F.; Aninda, S.S.; Hoque, M.S.; Hadiuzzaman, M. Suitability of pavement type for developing countries from an economic perspective using life cycle cost analysis. Int. J. Pavement Res. Technol. 2021, 14, 259–266. [Google Scholar] [CrossRef]
  48. Gao, X.; Yang, J.; Shao, J.; Zhu, H.; Xu, J.; Haruna, S.I. Regulation of carbon nanotubes on internal humidity of concrete with recycled tire rubber: Mechanism analysis and modeling. J. Build. Eng. 2024, 82, 108253. [Google Scholar] [CrossRef]
  49. Lesueur, D.; Petit, J.; Ritter, H.J. The mechanisms of hydrated lime modification of asphalt mixtures: A state-of-the-art review. Road Mater. Pavement Des. 2013, 14, 1–16. [Google Scholar] [CrossRef]
  50. Bressi, S.; Fiorentini, N.; Huang, J.; Losa, M. Crumb rubber modifier in road asphalt pavements: State of the art and statistics. Coatings 2019, 9, 384. [Google Scholar] [CrossRef]
  51. Wang, X.; Fan, Z.; Li, L.; Wang, H.; Huang, M. Durability evaluation study for crumb rubber–asphalt pavement. Appl. Sci. 2019, 9, 3434. [Google Scholar] [CrossRef]
  52. Aswin Ganesh, V.; Balakumaran, S.; Bharath Kumar, L.; Asri, Y.E.L.; Benaicha, M.; Zaher, M.; Alaoui, A.H.; Naranje, V.; Salunkhe, S. Material TECH 2022 (Second International Conference on Materials and Technologies); Elsevier Ltd.: Amsterdam, The Netherlands, 2022. [Google Scholar]
  53. Loganayagan, S.; Mohan, N.C.; Ramakrishnan, S.; Gokulakannan, T. Experimental study on practice of cement treated subbase (CTSB) layer in flexible pavement of national highways in India. In Sustainable Materials and Smart Practices: NCSMSP-2021; Materials Research Forum LLC: Millersville, PA, USA, 2022; Volume 23, p. 33. [Google Scholar]
  54. Yaro, N.S.A.; Sutanto, M.H.; Habib, N.Z.; Napiah, M.; Usman, A.; Jagaba, A.H.; Al-Sabaeei, A.M. Modeling and optimization of asphalt content, waste palm oil clinker powder and waste rice straw ash for sustainable asphalt paving employing response surface methodology: A pilot study. Clean. Mater. 2023, 8, 100187. [Google Scholar] [CrossRef]
  55. Abdullah, B.A.O.; Jakarni, F.M.; Al-Shakhrit, A.K.S.; Masri, K.A. The usage of recycled glass in hot mix asphalt: A review. Construction 2021, 1, 29–34. [Google Scholar] [CrossRef]
  56. Fahmi, Z.; Jaafar, M.; Waheed, U. Modeling of Asphalt Pavement Rutting for Ltpp Southern Region Using Multiple Linear Regression Method. Available online: https://www.researchgate.net/profile/Zul-Jaafar/publication/307573441_Modeling_of_Asphalt_Pavement_Rutting_for_LTPP_Southern_Region_Using_Multiple_Linear_Regression_Method/links/5c5c41fc45851582c3d580b0/Modeling-of-Asphalt-Pavement-Rutting-for-LTPP-Southern-Region-Using-Multiple-Linear-Regression-Method.pdf (accessed on 26 June 2024).
  57. Airey, G.D. Rheological properties of styrene butadiene styrene polymer modified road bitumens. Fuel 2003, 82, 1709–1719. [Google Scholar] [CrossRef]
  58. Patel, A.; Chahan, S.J.; Prajapati, B.; Kanojia, N. Cost Comparison Plastic Road with Regular Bitumen Road. Int. J. Res. Trends Innov. 2018, 3, 131–132. [Google Scholar]
  59. Haezah, N.A.; Jamal, M.S.; Ismail, A.M.I. The Study Of Road Maintenance Work By Using Cipr Rehabilitation Technique In Johor, Malaysia. In Proceedings of the the Study of Road Maintenance Work by Using Cipr Rehabilitation Technique, Johor, Malaysia, 8 January 2021. [Google Scholar]
  60. Mashaan, N.S.; Rezagholilou, A.L.I.; Nikraz, H.; Cheqenizadeh, A. A review on using waste polymer as additive in asphalt mixture. Int. J. Adv. Sci. Eng. Technol. 2019, 7, 58–60. [Google Scholar]
  61. Alaloul, W.S.; Altaf, M.; Musarat, M.A.; Javed, M.F.; Mosavi, A. Systematic review of life cycle assessment and life cycle cost analysis for pavement and a case study. Sustainability 2021, 13, 4377. [Google Scholar] [CrossRef]
  62. Babashamsi, P.; Md Yusoff, N.I.; Ceylan, H.; Md Nor, N.G.; Salarzadeh Jenatabadi, H. Evaluation of pavement life cycle cost analysis: Review and analysis. Int. J. Pavement Res. Technol. 2016, 9, 241–254. [Google Scholar] [CrossRef]
  63. Yildirim, Y. Polymer modified asphalt binders. Constr. Build. Mater. 2007, 21, 66–72. [Google Scholar] [CrossRef]
Figure 1. Tire waste disposal in the United States (2017) [1].
Figure 1. Tire waste disposal in the United States (2017) [1].
Buildings 15 00158 g001
Figure 2. The complete process of extracting RA from waste tires by Shuliy Machinery [1].
Figure 2. The complete process of extracting RA from waste tires by Shuliy Machinery [1].
Buildings 15 00158 g002
Figure 3. An example of how waste rubber from recycled tires, N-330, is distributed within rubberized asphalt.
Figure 3. An example of how waste rubber from recycled tires, N-330, is distributed within rubberized asphalt.
Buildings 15 00158 g003
Figure 4. Used tire carbon black N-330.
Figure 4. Used tire carbon black N-330.
Buildings 15 00158 g004
Figure 5. X-ray diffraction (XRD) measurements of tire carbon black N-330.
Figure 5. X-ray diffraction (XRD) measurements of tire carbon black N-330.
Buildings 15 00158 g005
Figure 6. Distribution of particle sizes for coarse aggregate (CA) and fine aggregate (FA).
Figure 6. Distribution of particle sizes for coarse aggregate (CA) and fine aggregate (FA).
Buildings 15 00158 g006
Figure 7. Penetration of the RTCB N-330 mix.
Figure 7. Penetration of the RTCB N-330 mix.
Buildings 15 00158 g007
Figure 8. Ductility at 25 °C of the RTCB N-330 mix.
Figure 8. Ductility at 25 °C of the RTCB N-330 mix.
Buildings 15 00158 g008
Figure 9. Softening point in °C of the RTCB N-330 mix.
Figure 9. Softening point in °C of the RTCB N-330 mix.
Buildings 15 00158 g009
Figure 10. Thermal susceptibility (PI) of the RTCB N-330 mix.
Figure 10. Thermal susceptibility (PI) of the RTCB N-330 mix.
Buildings 15 00158 g010
Figure 11. DTG curves for RTCB N-330 mix.
Figure 11. DTG curves for RTCB N-330 mix.
Buildings 15 00158 g011
Figure 12. Impact of RTCB N-330 on the Marshall stability.
Figure 12. Impact of RTCB N-330 on the Marshall stability.
Buildings 15 00158 g012
Figure 13. Impact of RTCB N-330 on the Marshall flow.
Figure 13. Impact of RTCB N-330 on the Marshall flow.
Buildings 15 00158 g013
Table 1. Common names, characteristics, and makeup of tire wastes [2].
Table 1. Common names, characteristics, and makeup of tire wastes [2].
(a) Terminology for Recycled Waste Tire Particles(b) Recycled Tire Materials Properties
ClassificationLower Limit (mm)Upper Limit (mm)MaterialTire Chips (%)Crumb Rubber (%)Steel Cords (%)
Chopped TiteUnspecified dimensionsUnspecified dimensionsRubber Volume95–9999–10035–75
Rough shred50 × 50 × 50762 × 50 × 100
Tire-Derived Aggregate12305Steel volume1.5–8035–75
Tire Shreds50305
Tire Chips1250
Granulated Rubber0.42512Density (gm/cm3)0.8–1.60.7–1.11.5–3.9
Ground Rubber---<0.425
Powder Rubber---<0.425
Table 2. Properties of used bitumen.
Table 2. Properties of used bitumen.
MaterialTestValue (Limits)UnitSpecifications
Sika® Bitumen-W/60 basic asphalt binderPenetration-25 °C72.4 (60–80)0.1 mmASTM D-5 [21]
Soft. Point46.5 (≥46)°CASTM D-36 [22]
D. Viscosity-60 °C183 (≥180)Pa.sASTM D-4402 [23]
Ductility-10 °C47.2 (15)cmASTM D-113 [24]
Table 3. Tire carbon black “N-330” technical specifications.
Table 3. Tire carbon black “N-330” technical specifications.
Quality ParameterValueTest Method
pH, value7.8ASTM D-1512 [26]
Heat loss at 125 °C, %1ASTM D-1509 [27]
Ash content0.45ASTM D-1506 [28]
Pour density, kg/m3380ASTM D-1513 [29]
Fines content, packing, %8ASTM D-1508 [30]
Table 4. RTCB-N330 sample designation and composition.
Table 4. RTCB-N330 sample designation and composition.
Asphalt Binder DesignationRTCB/0RTCB/2RTCB/4RTCB/6RTCB/8RTCB/10
N-330 content-%0246810
RTCB/2 means “resin tire carbon black, N-330 content was 2% from the volume of the resin”.
Table 5. Coarse aggregate, fine aggregate, and filler properties.
Table 5. Coarse aggregate, fine aggregate, and filler properties.
AggregateMeasured ValueResults
Filler—LSPApparent density2.7 g/m3
Plasticity index3.2
Fine aggregate—FASoundness11.5%
Specific gravity2.57
Volume density1670
Clay content1.2
Coarse aggregate—CA [35]Los Angeles abrasion 21.9%
Water absorption1.44%
Specific gravity2.67
Volume density1445
Soundness11%
Table 6. Asphalt concrete designations and compositions to determine the optimum % of asphalt binder.
Table 6. Asphalt concrete designations and compositions to determine the optimum % of asphalt binder.
Bitumen, %AC-B4AC-B5AC-B6AC-B7
4567
RTCB, % *AC-RTCB4AC-RTCB5AC-RTCB6AC-RTCB7
4567
*: RTCB, % means “optimum % of RTCB that was obtained through tests conducted on the mixtures listed in Table 4”.
Table 7. The results of Marshall stability testing with all volumetric properties.
Table 7. The results of Marshall stability testing with all volumetric properties.
Mix DesignationStabilityFlowp av-%VMA
Nmm%%
AC-B454673.44.128.51
AC-B562353.553.808.15
AC-B659873.73.357.85
AC-B758103.752.97.71
AC-RTCB467703.184.88.11
AC-RTCB578203.44.197.88
AC-RTCB679103.513.577.42
AC-RTCB776303.583.356.90
Table 8. Comparative results between bituminous asphalt mixture and resin tire carbon black RTCB N-330 in maintenance (case study).
Table 8. Comparative results between bituminous asphalt mixture and resin tire carbon black RTCB N-330 in maintenance (case study).
FactorBituminous Asphalt MixtureResin Tire Carbon Black RTCB N-330
Time Used in Implementation [56,59]Shorter (approx. 3–5 days)Moderate (approx. 5–7 days)
Easier and faster to apply as it requires lower temperatures for mixing and compaction.Requires more preparation and precise handling due to higher mixing and curing temperatures.
Simpler machinery and techniques needed.Specialized equipment and processes may increase setup time.
Initial Cost (1 km)USD 25,000–35,000USD 40,000–50,000
Lower material and labor costs.Higher costs due to specialized resins and additives.
Equipment and transport are typically standard and cheaper.Requires specialized resin and higher initial investment.
Quality of Work Completion [60,61]GoodExcellent
May require higher precision during compaction to avoid early failures [62].Superior smoothness and surface finish due to better flexibility and bonding properties.
More prone to cracking and rutting under heavy loads.Higher resistance to deformation and cracking.
Endurance Over Time [55,56,59]Moderate (10–15 years with regular maintenance)High (15–20 years with less maintenance)
Prone to fatigue, oxidation, and moisture damage over time, especially in freeze–thaw cycles.Enhanced durability due to better mechanical and thermal properties.
Requires regular maintenance, including crack-filling and overlays.Longer intervals between maintenance cycles, reducing overall upkeep [62].
Disclaimer/Publisher’s Note: The statements, opinions and data contained in all publications are solely those of the individual author(s) and contributor(s) and not of MDPI and/or the editor(s). MDPI and/or the editor(s) disclaim responsibility for any injury to people or property resulting from any ideas, methods, instructions or products referred to in the content.

Share and Cite

MDPI and ACS Style

A. Nada, A.; Edris, W.F.; Al-Jabali, H.M.; D. Almutairi, A.; A. Al Sayed, A.A.-K.; Khairy, S. An Investigation of the Capabilities of Resin Tire Carbon Black “N-330” as a Waste Binder in Asphalt Concrete Mixtures. Buildings 2025, 15, 158. https://doi.org/10.3390/buildings15020158

AMA Style

A. Nada A, Edris WF, Al-Jabali HM, D. Almutairi A, A. Al Sayed AA-K, Khairy S. An Investigation of the Capabilities of Resin Tire Carbon Black “N-330” as a Waste Binder in Asphalt Concrete Mixtures. Buildings. 2025; 15(2):158. https://doi.org/10.3390/buildings15020158

Chicago/Turabian Style

A. Nada, Amr., Walid Fouad Edris, Hebah Mohammad Al-Jabali, Ahmed D. Almutairi, Abd Al-Kader A. Al Sayed, and Shady Khairy. 2025. "An Investigation of the Capabilities of Resin Tire Carbon Black “N-330” as a Waste Binder in Asphalt Concrete Mixtures" Buildings 15, no. 2: 158. https://doi.org/10.3390/buildings15020158

APA Style

A. Nada, A., Edris, W. F., Al-Jabali, H. M., D. Almutairi, A., A. Al Sayed, A. A.-K., & Khairy, S. (2025). An Investigation of the Capabilities of Resin Tire Carbon Black “N-330” as a Waste Binder in Asphalt Concrete Mixtures. Buildings, 15(2), 158. https://doi.org/10.3390/buildings15020158

Note that from the first issue of 2016, this journal uses article numbers instead of page numbers. See further details here.

Article Metrics

Back to TopTop