Impacts of Thermal Activation on Physical Properties of Coal Gangue: Integration of Microstructural and Leaching Data
Abstract
1. Introduction
2. Materials and Methods
2.1. Materials
2.2. Test Methods
2.2.1. Characterization of Mineral Composition of Thermally Activated Coal Gangue
2.2.2. Leaching Properties of Thermally Activated Coal Gangue
2.2.3. Thermogravimetric Analysis of the Gangue During Thermal Activation
2.2.4. Characterization of Pore Evolution in Thermally Activated Gangue
2.2.5. Micro-Morphological Testing of Thermally Activated Gangue
2.2.6. Methods for Testing the Density of Gangue Powder
3. Results and Discussion
3.1. Effect of Calcination Temperature on the Composition of Gangue Phases
3.2. Effect of Calcination Temperature on the Physical Properties of Coal Gangue
3.2.1. Effect of Calcination Temperature on Density of Coal Gangue
3.2.2. Effect of Calcination Temperature on the Pore Structure of Coal Gangue
3.2.3. Effect of Calcination Temperature on the Pore Size Distribution of Coal Gangue
3.2.4. Effect of Calcination Temperature on the Specific Surface Area of Coal Gangue
3.2.5. Effect of Calcination Temperature on pH of Calcined Coal Gangue
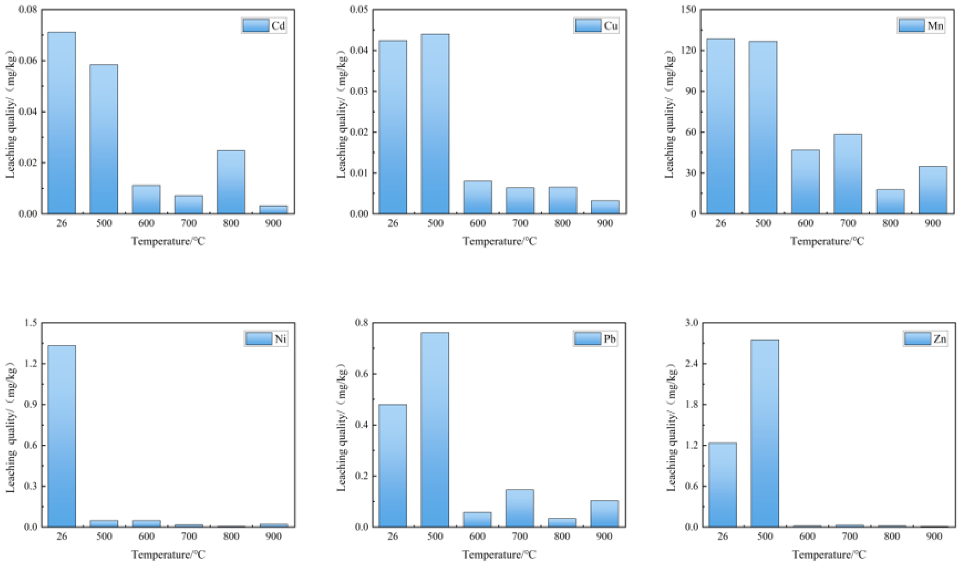
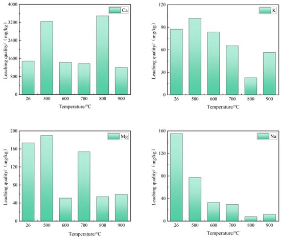
3.3. Effect of Calcination Temperature on the Leaching of Elements from Gangue
3.3.1. Leaching Evaluation of Calcined Coal Gangue
3.3.2. Alkali Metal Ions
3.3.3. Reactive Si and Al Leaching Behavior
3.3.4. Leaching Rate of Reactive Silica-Aluminum Ions
4. Conclusions
- Kaolinite, geodes, pyrite, and quartz are the main mineral components in coal gangue from Wuhai. After calcination, the density of thermally activated coal gangue was increased with the increase in calcination temperature because of the burning of organic and reconstruction of pyrite and kaolinite. Furthermore, the pH was gradually increased from 4.8 (G26) to 7.1 (G900).
- The mineral phase transformation of coal gangue during calcination strongly influenced the pore structure. The calcination process decreased the macropore volume (>50 nm), while the mesopore (<5 nm) volume was increased.
- The leaching results indicate that thermally activated coal gangue was helpful to reduce the leachable heavy metals, including Mn, Zn, Cd, Ni, Cu, and P. At 800 degrees, the leaching of Ni, Cd, Mn, Cu, Zn and Pd decreased by 99%, 67%, 86%, 40%, 99% and 93%, respectively. The reduction in heavy metal in calcined coal gangue can be attributed to the transformation of pyrite and the volatility at high temperatures. Some heavy metal can be solidified in amorphous phases of calcined kaolinite.
- The formation of reactive Si and Al in calcined coal gangue (G800 °C) was confirmed. The high amount of leachable Si and Al was detected in the alkaline environment (pH = 12). After 48 h, leachable Al reached 106.4 mg/kg, while leachable Si reached 86.1 mg/kg. Calcined coal gangue has the potential to be used in the preparation of cementitious material.
- In general, thermal activation is a crucial step in the process of reutilization of coal gangue as it can not only improve the activity of coal gangue but also significantly reduce the amount of heavy metal leaching. Under a reasonable heat treatment temperature, the low environmental risk of treated coal gangue is promising. In addition, it has been mentioned that some organic matters exist in coal gangue, which can be fully utilized during the calcination process, which can effectively reduce energy consumption. In addition, many policies strongly support the recycling and utilization of solid wastes, which promotes the development of new treatment technologies. Therefore, thermally activated coal gangue in building materials and other applications could be potential sustainable materials.
Author Contributions
Funding
Data Availability Statement
Conflicts of Interest
References
- Wang, X.; Niu, Y. Review of research on coal gangue with its classification, hazards and comprehensive utilization. Ind. Miner. Process. 2023, 52, 18–25. [Google Scholar] [CrossRef]
- Li, J.; Wang, J. Comprehensive utilization and environmental risks of coal gangue: A review. J. Clean. Prod. 2019, 239, 117946. [Google Scholar] [CrossRef]
- Li, Z.; Wang, J.; Shen, L.; Zhao, J.; Shi, P.; Wang, J.; Zhu, T. Influence of the physical and chemical composition of coal gangue on its resource utilization. Clean Coal Technol. 2020, 26, 34–44. [Google Scholar] [CrossRef]
- Zhao, Y.; Qiu, J.; Ma, Z.; Sun, X. Eco-friendly treatment of coal gangue for its utilization as supplementary cementitious materials. J. Clean. Prod. 2021, 285, 124834. [Google Scholar] [CrossRef]
- Liu, X.; Zhang, J.; Li, Q.; Liang, W. Preparation of technosol based on coal gangue and its impact on plant growth in coal mining area. J. Clean. Prod. 2024, 467, 142998. [Google Scholar] [CrossRef]
- Liu, F.; Song, H.; Wu, H.; Feng, Z.; Feng, Z.; Zhang, J.; Zhou, J. Research Progress on the Utilization of Coal Gangue for Soil Remediation and as Soil Amendment Agents. Conserv. Util. Miner. Resour. 2023, 43, 14–26. [Google Scholar] [CrossRef]
- Koshy, N.; Dondrob, K.; Hu, L.; Wen, Q.; Meegoda, J.N. Synthesis and characterization of geopolymers derived from coal gangue, fly ash and red mud. Constr. Build. Mater. 2019, 206, 287–296. [Google Scholar] [CrossRef]
- Koshy, N.; Dondrob, K.; Hu, L.; Wen, Q.; Meegoda, J.N. Mechanical Properties of Geopolymers Synthesized from Fly Ash and Red Mud under Ambient Conditions. Crystals 2019, 9, 572. [Google Scholar] [CrossRef]
- Njimou, J.R.; Pengou, M.; Tchakoute, H.K.; Sieugaing Tamwa, M.; Tizaoui, C.; Fannang, U.; Lemougna, P.N.; Nanseu-Njiki, C.P.; Ngameni, E. Removal of lead ions from aqueous solution using phosphate-based geopolymer cement composite. J. Chem. Technol. Biotechnol. 2021, 96, 1358–1369. [Google Scholar] [CrossRef]
- Guo, Y.; Zhang, Y.; Cheng, F. Industrial development and prospect about comprehensive utilization of coal gangue. Huagong XuebaoCIESC J. 2014, 65, 2443–2453. [Google Scholar] [CrossRef]
- Wang, Y. Status and prospect of harmless disposal and resource comprehensive utilization of solid waste of coal gangue. Coal Geol. Explor. 2022, 50, 54–66. [Google Scholar] [CrossRef]
- Jin, Y.; Liu, Z.; Han, L.; Zhang, Y.; Li, L.; Zhu, S.; Li, Z.P.J.; Wang, D. Synthesis of coal-analcime composite from coal gangue and its adsorption performance on heavy metal ions. J. Hazard. Mater. 2022, 423, 127027. [Google Scholar] [CrossRef] [PubMed]
- Xu, B.; Liu, Q.; Ai, B.; Ding, S.; Frost, R.L. Thermal decomposition of selected coal gangue. J. Therm. Anal. Calorim. 2018, 131, 1413–1422. [Google Scholar] [CrossRef]
- Hao, M.; Chen, H.; Li, S.; Hu, B.; Xia, C.; Shang, Y.; Zhang, X.; Liu, W.; Miao, Y.; Gao, F. Research Progress on the Preparation of Aerogel from Coal Gangue. Conserv. Util. Miner. Resour. 2022, 42, 172–178. [Google Scholar] [CrossRef]
- Liu, Z.-S.; Wey, M.-Y.; Lu, S.-J. Thermal treatment for incinerator ash: Evaporation and leaching rates of metals. J. Environ. Eng. 2003, 129, 258–266. [Google Scholar] [CrossRef]
- Zhang, Y.; Liu, L.; Wang, X.; Zhang, Z.; Nakano, J. Trace element partitioning behavior of coal gangue-fired CFB plant: Experimental and equilibrium calculation. Environ. Sci. Pollut. Res. 2015, 22, 15469–15478. [Google Scholar] [CrossRef] [PubMed]
- Ptáček, P.; Šoukal, F.; Opravil, T.; Havlica, J.; Brandštetr, J. The kinetic analysis of the thermal decomposition of kaolinite by DTG technique. Powder Technol. 2011, 208, 20–25. [Google Scholar] [CrossRef]
- Zhang, Y.; Ge, X.; Nakano, J.; Liu, L.; Wang, X.; Zhang, Z. Pyrite transformation and sulfur dioxide release during calcination of coal gangue. RSC Adv. 2014, 4, 42506–42513. [Google Scholar] [CrossRef]
- Sperinck, S.; Raiteri, P.; Marks, N.; Wright, K. Dehydroxylation of Kaolinite to Metakaolin—A Molecular Dynamics Study. J. Mater. Chem. 2011, 21, 2118–2125. [Google Scholar] [CrossRef]
- Wang, H.; Li, C.; Peng, Z.; Zhang, S. Characterization and thermal behavior of kaolin. J. Therm. Anal. Calorim. Int. Forum Therm. Stud. 2011, 105, 157–160. [Google Scholar] [CrossRef]
- Cheng, H.; Liu, Q.; Yang, J.; Frost, R.L. Thermogravimetric analysis of selected coal-bearing strata kaolinite. Thermochim. Acta 2010, 507, 84–90. [Google Scholar] [CrossRef]
- Pourmortazavi, S.; Rahimi-Nasrabadi, M.; Kohsari, I.; Hajimirsadeghi, S. Non-isothermal kinetic studies on thermal decomposition of energetic materials. J. Therm. Anal. Calorim. 2012, 110, 857–863. [Google Scholar] [CrossRef]
- Xue, H.; Dong, X.; Fan, Y.; Ma, X.; Yao, S. Study of Structural Transformation and Chemical Reactivity of Kaolinite-Based High Ash Slime during Calcination. Minerals 2023, 13, 466. [Google Scholar] [CrossRef]
- Li, L.; Zhang, Y.; Zhang, Y.; Sun, J.; Hao, Z. The thermal activation process of coal gangue selected from Zhungeer in China. J. Therm. Anal. Calorim. 2016, 126, 1559–1566. [Google Scholar] [CrossRef]
- Smith, F.G. Variation in the properties of pyrite. Am. Mineral. 1942, 27, 1–19. [Google Scholar]
- Iveson, S.M.; Holt, S.; Biggs, S. Advancing contact angle of iron ores as a function of their hematite and goethite content: Implications for pelletising and sintering. Int. J. Miner. Process. 2004, 74, 281–287. [Google Scholar] [CrossRef]
- Mac-Eteli, H.D.; Sopakirite, S. Experimental Analysis on the Effect of Calcination on the Index and Engineering Properties of Clay Soil. Saudi J. Civ. Eng. 2021, 5, 133–138. [Google Scholar]
- Song, Z.; Abide, A.; Lyu, M.; Jiang, F.; Liu, Z.; Zheng, W.; Zhang, Y.; Wang, X. Quantitative analysis of nitrogen adsorption hysteresis loop and its indicative significance to pore structure characterization: A case study on the Upper Triassic Chang 7 Member, Ordos Basin. Oil Gas Geol. 2023, 44, 495–509. [Google Scholar] [CrossRef]
- Cao, Z.; Cao, Y.; Dong, H.; Zhang, J.; Sun, C. Effect of calcination condition on the microstructure and pozzolanic activity of calcined coal gangue. Int. J. Miner. Process. 2016, 146, 23–28. [Google Scholar] [CrossRef]
- Kuila, U.; Prasad, M. Specific surface area and pore-size distribution in clays and shales. Geophys. Prospect. 2013, 61, 341–362. [Google Scholar] [CrossRef]
- Ren, J. Study on Formation and Treatment of Acid Mine Water. Adv. Environ. Prot. 2021, 11, 492–496. [Google Scholar] [CrossRef]
- Guo, S. Trace Elements in Coal Gangue: A Review. In Contributions to Mineralization; IntechOpen: London, UK, 2017; ISBN 978-953-51-3749-8. [Google Scholar]
- Zhou, C.; Liu, G.; Yan, Z.; Fang, T.; Wang, R. Transformation behavior of mineral composition and trace elements during coal gangue combustion. Fuel 2012, 97, 644–650. [Google Scholar] [CrossRef]
- Li, Q.; Chen, P.; Chen, J.; Hu, Y. Modes of Occurrence of Cr, Co, Ni, Cu, Cd, and Pb in the Main Coal Seams of Southwestern China’s Nantong Coalfield. Geochem. Int. 2018, 56, 1220–1232. [Google Scholar] [CrossRef]
- Zhou, C.; Liu, G.; Wu, D.; Ting, F.; Wang, R.; Xiang, F. Mobility behavior and environmental implications of trace elements associated with coal gangue: A case study at the Huainan Coalfield in China. Chemosphere 2014, 95, 193–199. [Google Scholar] [CrossRef]
- Sun, Y.; Zhao, L.; Luo, S.; Zhang, L.; Sun, C.; Li, B. Comparison of dissolution characteristics of organic matter in coal gangue of different geological time. Meitiandizhi Yu Kantan/Coal Geol. Explor. 2019, 47, 172–178. [Google Scholar] [CrossRef]
- Zhao, L.; Zhang, Y.; Du, C.; Jiang, B.; Wei, L.; Li, Y. Characterization of dissolved organic matter derived from coal gangue packed in underground reservoirs of coal mines using fluorescence and absorbance spectroscopy. Environ. Sci. Pollut. Res. 2021, 28, 17928–17941. [Google Scholar] [CrossRef]
- Lazo, D.E.; Dyer, L.G.; Alorro, R.D. Silicate, phosphate and carbonate mineral dissolution behaviour in the presence of organic acids: A review. Miner. Eng. 2017, 100, 115–123. [Google Scholar] [CrossRef]
- Bennett, P.C.; Melcer, M.E.; Siegel, D.I.; Hassett, J.P. The dissolution of quartz in dilute aqueous solutions of organic acids at 25 °C. Geochim. Cosmochim. Acta 1988, 52, 1521–1530. [Google Scholar] [CrossRef]
- Xie, M.; Liu, F.; Zhao, H.; Ke, C.; Xu, Z. Mineral phase transformation in coal gangue by high temperature calcination and high-efficiency separation of alumina and silica minerals. J. Mater. Res. Technol. 2021, 14, 2281–2288. [Google Scholar] [CrossRef]
- He, M.-C.; Zhao, J.; Fang, Z.-J. First-principles study of atomic and electronic structures of kaolinite in soft rock. Chin. Phys. B 2012, 21, 039101. [Google Scholar] [CrossRef]














| Compound Formula | SiO2 | Al2O3 | CaO | Fe2O3 | K2O | MgO | TiO2 | Na2O | SO3 |
|---|---|---|---|---|---|---|---|---|---|
| Concentration Unit (wt.%) | 60.10 | 28.66 | 3.40 | 2.25 | 1.95 | 1.39 | 0.74 | 0.59 | 0.63 |
Disclaimer/Publisher’s Note: The statements, opinions and data contained in all publications are solely those of the individual author(s) and contributor(s) and not of MDPI and/or the editor(s). MDPI and/or the editor(s) disclaim responsibility for any injury to people or property resulting from any ideas, methods, instructions or products referred to in the content. |
© 2025 by the authors. Licensee MDPI, Basel, Switzerland. This article is an open access article distributed under the terms and conditions of the Creative Commons Attribution (CC BY) license (https://creativecommons.org/licenses/by/4.0/).
Share and Cite
Fan, W.; Chen, Y.; Zhang, R.; Chen, X.; Li, J.; Gu, Z.; Wang, J. Impacts of Thermal Activation on Physical Properties of Coal Gangue: Integration of Microstructural and Leaching Data. Buildings 2025, 15, 159. https://doi.org/10.3390/buildings15020159
Fan W, Chen Y, Zhang R, Chen X, Li J, Gu Z, Wang J. Impacts of Thermal Activation on Physical Properties of Coal Gangue: Integration of Microstructural and Leaching Data. Buildings. 2025; 15(2):159. https://doi.org/10.3390/buildings15020159
Chicago/Turabian StyleFan, Wangtao, Yuan Chen, Runxia Zhang, Xiaoguang Chen, Jin Li, Zhaolin Gu, and Jianyun Wang. 2025. "Impacts of Thermal Activation on Physical Properties of Coal Gangue: Integration of Microstructural and Leaching Data" Buildings 15, no. 2: 159. https://doi.org/10.3390/buildings15020159
APA StyleFan, W., Chen, Y., Zhang, R., Chen, X., Li, J., Gu, Z., & Wang, J. (2025). Impacts of Thermal Activation on Physical Properties of Coal Gangue: Integration of Microstructural and Leaching Data. Buildings, 15(2), 159. https://doi.org/10.3390/buildings15020159

