Personalized Human Thermal Sensation Prediction Based on Bayesian-Optimized Random Forest
Abstract
1. Introduction
2. Methodology
2.1. Data Collection
2.1.1. Measurement Equipment
2.1.2. Thermal Sensation Data Collection
2.2. Data Preprocessing
2.2.1. Data Standardization
2.2.2. Data Imbalance Handling
2.3. Data Analysis
2.3.1. Multiple Linear Regression
2.3.2. Machine Learning Algorithms
- (1)
- The Backpropagation Neural Network
- (2)
- Random Forest
- (3)
- Support Vector Regression
- (4)
- K-Nearest Neighbors
2.4. The Bayesian Optimization Method
- (1)
- Initialization: Randomly select a small number of initial points (x1, x2,…, xn) and compute their objective function values y = f(x).
- (2)
- Gaussian Process Modeling: Assume f(x) follows a Gaussian Process: f(x)∼GP(μ(x), k(x, x′)), where μ(x) is the mean function and k(x, x’) is the covariance kernel function (e.g., RBF kernel). Update the posterior distribution based on observed data to predict the mean and variance at new points xnew.
- (3)
- Acquisition Function Optimization: Design an acquisition function α(x) (e.g., Expected Improvement EI, Upper Confidence Bound UCB) based on the posterior distribution to select the next evaluation point:
- (4)
- Iterative Update: Compute f(xnext), add the new data to the observation set, update the Gaussian Process model, and repeat steps 2–3 until convergence.
2.5. Model Performance Evaluation Metrics
3. Results and Analysis
3.1. Human Thermal Sensation Prediction Based on the PMV Model
3.2. Human Thermal Sensation Prediction Model Based on Multiple Linear Regression
3.3. Personalized Human Thermal Sensation Prediction Models Based on Machine Learning
3.3.1. Inputs and Outputs of the Model
3.3.2. Hyperparameter Optimization for Machine Learning Models
3.3.3. Prediction Results and Comparison of Machine Learning Models
3.4. Personalized Human Thermal Sensation Prediction Model Based on Bayesian-Optimized Random Forest
3.5. Feature Importance Analysis
4. Discussion
- (1)
- Experimental results indicate that the traditional PMV model struggles to accurately reflect individuals’ actual thermal sensations in most scenarios, particularly under conditions of significant individual variability or intense environmental fluctuations, where its predictive deviation is substantial. This aligns with existing research conclusions that the PMV model is effective for standardized populations but lacks adaptability to individuals.
- (2)
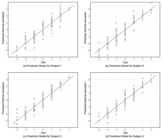
- In contrast, while the multiple linear regression model improves fitting performance to some extent, it still exhibits certain errors in scenarios with complex nonlinear relationships or prominent feature interactions. Nevertheless, it is certain that personalized thermal sensation regression prediction achieves higher accuracy than aggregated regression prediction.
- (3)
- The introduction of machine learning models significantly improved thermal sensation prediction accuracy, demonstrating the advantages of data-driven approaches for this task. Machine learning models can capture complex nonlinear feature mapping relationships and exhibit superior generalization performance. This study aims to explore a low-complexity, engineering-feasible personalized thermal sensation prediction model for practical deployment in smart building control systems. The four machine learning models employed (e.g., Random Forest, Support Vector Machine, and K-Nearest Neighbors) cover both linear and nonlinear methods, as well as ensemble and distance-based learning approaches, with clear performance differences. Overall prediction accuracy meets practical application requirements. Given the low-dimensional input features (only six indoor and outdoor environmental variables) and relatively limited sample size, data-intensive deep learning architectures such as LSTM or Bi-LSTM were not adopted. Moreover, compared to black-box complex neural networks, this study prioritizes model interpretability and engineering feasibility for real-world deployment.
- (4)
- Incorporating Bayesian optimization into the hyperparameter tuning process further enhanced the predictive performance of the Random Forest model. Compared to traditional grid search, Bayesian optimization identified a superior hyperparameter combination with fewer evaluations, ultimately improving model accuracy. Wilcoxon signed-rank test results confirmed statistically significant optimization effects (p < 0.05), indicating the strategy’s effectiveness and efficiency in model fine-tuning.
- (5)
- This study utilized real-world building environment data, selecting six environmental parameters—indoor/outdoor temperature, humidity, air velocity, and solar radiation—as input variables. Feature importance analysis via the Random Forest model revealed that indoor air temperature remains the primary factor influencing thermal sensation, while outdoor solar radiation and temperature also play non-negligible roles. Although these external parameters do not directly affect the human body, they indirectly contribute to thermal perception by influencing the indoor thermal environment.
- (6)
- However, this study has certain limitations: First, the limited sample size necessitates further validation of model generalizability across larger-scale buildings in different climatic zones. Second, while real-world survey data were used, individual characteristics (e.g., age, gender, and physique) were not incorporated into the model. Future research could build upon this foundation to develop a more comprehensive personalized modeling framework.
5. Conclusions
- (1)
- The predicted values of the traditional PMV thermal sensation model exhibit significant discrepancies with the actual human thermal sensation values, with a linear fitting accuracy R2 value of only 2%, indicating that the traditional PMV model inadequately represents actual human thermal sensation.
- (2)
- The personalized thermal sensation linear prediction model for participants achieved an average R2 value of 0.823, representing a 40.01% improvement compared to the generalized prediction model that does not account for personalized thermal sensation.
- (3)
- The predictive accuracy of machine learning models surpasses that of simple linear regression models. Upon determining the hyperparameters of various machine learning models using grid search, the predictive accuracy of the four algorithms, in descending order, are: Random Forest, the BPNN neural network, K-Nearest Neighbors, and Support Vector Regression. In terms of prediction accuracy, the Random Forest algorithm performed the best in the task of human thermal sensation prediction, achieving an accuracy rate of 0.916.
- (4)
- By applying Bayesian optimization to optimize the hyperparameters of the Random Forest personalized human thermal sensation prediction model, it was observed that the prediction accuracy R2 value of the optimized Random Forest model increased to 0.945, representing a 2.89% improvement over the original model, with its RMSE value reaching 0.393. The Wilcoxon signed-rank test confirmed that the Bayesian optimization strategy is statistically effective.
- (5)
- Feature importance analysis revealed that indoor air temperature is the primary factor influencing thermal sensation, followed by outdoor solar radiation, outdoor air temperature, indoor relative humidity, outdoor wind speed, and outdoor relative humidity. Although outdoor environmental parameters do not directly affect the human body, they indirectly contribute to thermal perception by influencing the indoor thermal environment.
Author Contributions
Funding
Data Availability Statement
Conflicts of Interest
References
- Liu, M.; Ooka, R.; Choi, W.; Ikeda, S. Experimental and numerical investigation of energy saving potential of centralized and decentralized pumping systems. Appl. Energy 2019, 251, 113359. [Google Scholar] [CrossRef]
- Fanger, P. Thermal Comfort: Analysis and Applications in Environmental Engineering; Danish Technical Press: København, Denmark, 1970. [Google Scholar]
- ASHRAE Standard 55; Thermal Environmental Conditions for Human Occupancy. ASHRAE: Atlanta, GA, USA, 2013.
- Yan, H.; Mao, Y.; Yang, L. Thermal adaptive models in the residential buildings in different climate zones of Eastern China. Energy Build. 2017, 141, 28–38. [Google Scholar] [CrossRef]
- Bermejo, P.; Redondo, L.; de la Ossa, L.; Rodríguez, D.; Flores, J.; Urea, C.; Gámez, J.A.; Puerta, J.M. Design and simulation of a thermal comfort adaptive system based on fuzzy logic and on-line learning. Energy Build. 2012, 49, 367–379. [Google Scholar] [CrossRef]
- Hussain, S.; Gabbar, H.A.; Bondarenko, D.; Musharavati, F.; Pokharel, S. Comfort-based fuzzy control optimization for energy conservation in HVAC systems. Control. Eng. Pract. 2014, 32, 172–182. [Google Scholar] [CrossRef]
- Ku, K.; Liaw, J.-S.; Tsai, M.; Liu, T. Automatic control system for thermal comfort based on predicted mean vote and energy saving. IEEE Trans. Autom. Sci. Eng. 2014, 12, 378–383. [Google Scholar] [CrossRef]
- Klaučo, M.; Kvasnica, M. Explicit MPC approach to PMV-based thermal comfort control. In Proceedings of the 53rd IEEE Conference on Decision and Control, Los Angeles, CA, USA, 15–17 December 2014; IEEE: Piscataway, NJ, USA, 2015; pp. 4856–4861. [Google Scholar]
- Ascione, F.; Bianco, N.; De Stasio, C.; Mauro, G.M.; Vanoli, G.P. Simulation-based model predictive control by the multi-objective optimization of building energy performance and thermal comfort. Energy Build. 2016, 111, 131–144. [Google Scholar] [CrossRef]
- Nowak, M.; Urbaniak, A. Application of predictive control algorithms for thermal comfort and energy saving in the classroom. In Proceedings of the 2016 17th International Carpathian Control Conference (ICCC), High Tatras, Slovakia, 29 May–1 June 2016; IEEE: Piscataway, NJ, USA, 2016; pp. 527–532. [Google Scholar]
- Du, H.; Lian, Z.; Lai, D.; Duanmu, L.; Zhai, Y.; Cao, B.; Zhang, Y.; Zhou, X.; Wang, Z.; Zhang, X. Evaluation of the accuracy of PMV and its several revised models using the Chinese thermal comfort Database. Energy Build. 2022, 271, 112334. [Google Scholar] [CrossRef]
- Lan, H.; Hou, H.C.; Gou, Z. A machine learning led investigation to understand individual difference and the human-environment interactive effect on classroom thermal comfort. Build. Environ. 2023, 236, 110259. [Google Scholar] [CrossRef]
- Gao, S.; Ooka, R.; Oh, W. Experimental investigation of the effect of clothing insulation on thermal comfort indices. Build. Environ. 2021, 187, 107393. [Google Scholar] [CrossRef]
- Liu, G.; Luo, X.; Yu, J.; Sun, Y.; Zhang, B. Prediction model for personalized thermal comfort of indoor office workers based on non-skin contact wearable device. Build. Environ. 2025, 272, 112686. [Google Scholar] [CrossRef]
- Karjalainen, S. Thermal comfort and gender: A literature review. Indoor Air 2012, 22, 96–109. [Google Scholar] [CrossRef] [PubMed]
- Maykot, J.K.; Rupp, R.F.; Ghisi, E. A field study about gender and thermal comfort temperatures in office buildings. Energy Build. 2018, 178, 254–264. [Google Scholar] [CrossRef]
- Haselsteiner, E. Gender matters! Thermal comfort and individual perception of indoor environmental quality: A literature review. In Rethinking Sustainability Towards a Regenerative Economy; Springer: Cham, Switzerland, 2021; pp. 169–200. [Google Scholar]
- Thapa, S. Insights into the thermal comfort of different naturally ventilated buildings of Darjeeling, India–Effect of gender, age and BMI. Energy Build. 2019, 193, 267–288. [Google Scholar] [CrossRef]
- Luo, M.; Wang, Z.; Ke, K.; Cao, B.; Zhai, Y.; Zhou, X. Human metabolic rate and thermal comfort in buildings: The problem and challenge. Build. Environ. 2018, 131, 44–52. [Google Scholar] [CrossRef]
- Ji, W.; Luo, M.; Cao, B.; Zhu, Y.; Geng, Y.; Lin, B. A new method to study human metabolic rate changes and thermal comfort in physical exercise by CO2 measurement in an airtight chamber. Energy Build. 2018, 177, 402–412. [Google Scholar] [CrossRef]
- Chaudhuri, T.; Soh, Y.C.; Bose, S.; Xie, L.; Li, H. On assuming Mean Radiant Temperature equal to air temperature during PMV-based thermal comfort study in air-conditioned buildings. In Proceedings of the IECON 2016—42nd Annual Conference of the IEEE Industrial Electronics Society, Florence, Italy, 23–26 October 2016; IEEE: Piscataway, NJ, USA, 2016; pp. 7065–7070. [Google Scholar]
- Li, J.; Liu, N. The perception, optimization strategies and prospects of outdoor thermal comfort in China: A review. Build. Environ. 2020, 170, 106614. [Google Scholar] [CrossRef]
- Yin, J.; Zheng, Y.; Wu, R.; Tan, J.; Ye, D.; Wang, W. An analysis of influential factors on outdoor thermal comfort in summer. Int. J. Biometeorol. 2012, 56, 941–948. [Google Scholar] [CrossRef] [PubMed]
- Sangkertadi, S.; Syafriny, R. Pair influence of wind speed and mean radiant temperature on outdoor thermal comfort of humid tropical environment. J. Urban Environ. Eng. 2016, 10, 177–185. [Google Scholar] [CrossRef]
- Zhang, Y.; Zhou, X.; Zheng, Z.; Oladokun, M.O.; Fang, Z. Experimental investigation into the effects of different metabolic rates of body movement on thermal comfort. Build. Environ. 2020, 168, 106489. [Google Scholar] [CrossRef]
- Fanger, P.O.; Toftum, J. Extension of the PMV model to non-air-conditioned buildings in warm climates. Energy Build. 2002, 34, 533–536. [Google Scholar] [CrossRef]
- Yao, R.; Li, B.; Liu, J. A theoretical adaptive model of thermal comfort—Adaptive Predicted Mean Vote (aPMV). Build. Environ. 2009, 44, 2089–2096. [Google Scholar] [CrossRef]
- Li, N.; Yu, W.; Li, B. Assessing adaptive thermal comfort using artificial neural networks in naturally-ventilated buildings. Int. J. Vent. 2012, 11, 205–218. [Google Scholar] [CrossRef]
- Gao, N.; Shao, W.; Rahaman, M.S.; Zhai, J.; David, K.; Salim, F.D. Transfer learning for thermal comfort prediction in multiple cities. Build. Environ. 2021, 195, 107725. [Google Scholar] [CrossRef]
- Wang, Z.; Yu, H.; Luo, M.; Wang, Z.; Zhang, H.; Jiao, Y. Predicting older people’s thermal sensation in building environment through a machine learning approach: Modelling, interpretation, and application. Build. Environ. 2019, 161, 106231. [Google Scholar] [CrossRef]
- Zhang, W.; Wen, Y.; Tseng, K.J.; Jin, G. Demystifying thermal comfort in smart buildings: An interpretable machine learning approach. IEEE Internet Things J. 2020, 8, 8021–8031. [Google Scholar] [CrossRef]
- Gao, G.; Li, J.; Wen, Y. DeepComfort: Energy-efficient thermal comfort control in buildings via reinforcement learning. IEEE Internet Things J. 2020, 7, 8472–8484. [Google Scholar] [CrossRef]
- Megri, A.C.; El Naqa, I. Prediction of the thermal comfort indices using improved support vector machine classifiers and nonlinear kernel functions. Indoor Built Environ. 2016, 25, 6–16. [Google Scholar] [CrossRef]
- Jiang, L.; Yao, R.J.B. Modelling personal thermal sensations using C-Support Vector Classification (C-SVC) algorithm. Build. Environ. 2016, 99, 98–106. [Google Scholar] [CrossRef]
- von Grabe, J. Potential of artificial neural networks to predict thermal sensation votes. Appl. Energy 2016, 161, 412–424. [Google Scholar] [CrossRef]
- Han, X.; Hu, Z.; Li, C.; Wu, J.; Li, C.; Sun, B. Prediction of human thermal comfort preference based on supervised learning. J. Therm. Biol. 2023, 112, 103484. [Google Scholar] [CrossRef] [PubMed]
- Huang, K.; Lu, S.; Li, X.; Chen, W. Using random forests to predict passengers’ thermal comfort in underground train carriages. Indoor Built Environ. 2023, 32, 343–354. [Google Scholar] [CrossRef]
- Shan, X.; Yang, E.-H. Supervised machine learning of thermal comfort under different indoor temperatures using EEG measurements. Energy Build. 2020, 225, 110305. [Google Scholar] [CrossRef]
- Luo, M.; Xie, J.; Yan, Y.; Ke, Z.; Yu, P.; Wang, Z.; Zhang, J. Comparing machine learning algorithms in predicting thermal sensation using ASHRAE Comfort Database II. Energy Build. 2020, 210, 109776. [Google Scholar] [CrossRef]
- Zhou, X.; Xu, L.; Zhang, J.; Niu, B.; Luo, M.; Zhou, G.; Zhang, X. Data-driven thermal comfort model via support vector machine algorithms: Insights from ASHRAE RP-884 database. Energy Build. 2020, 211, 109795. [Google Scholar] [CrossRef]
- Feng, X.; Zainudin, E.B.; Wong, H.W.; Tseng, K.J. A hybrid ensemble learning approach for indoor thermal comfort predictions utilizing the ASHRAE RP-884 database. Energy Build. 2023, 290, 113083. [Google Scholar] [CrossRef]
- Xiong, L.; Yao, Y. Study on an adaptive thermal comfort model with K-nearest-neighbors (KNN) algorithm. Build. Environ. 2021, 202, 108026. [Google Scholar] [CrossRef]
- Ma, Z.; Wang, J.; Ye, S.; Wang, R.; Dong, F.; Feng, Y. Real-time indoor thermal comfort prediction in campus buildings driven by deep learning algorithms. J. Build. Eng. 2023, 78, 107603. [Google Scholar] [CrossRef]
- Kumar, T.S.; Kurian, C.P. Real-time data based thermal comfort prediction leading to temperature setpoint control. J. Ambient. Intell. Humaniz. Comput. 2023, 14, 12049–12060. [Google Scholar] [CrossRef]
- Li, X.; Xu, C.; Wang, K.; Yang, X.; Li, Y. Data-driven adaptive GM(1,1) time series prediction model for thermal comfort. Int. J. Biometeorol. 2023, 67, 1335–1344. [Google Scholar] [CrossRef] [PubMed]
- Pantavou, K.; Delibasis, K.K.; Nikolopoulos, G.K. Machine learning and features for the prediction of thermal sensation and comfort using data from field surveys in Cyprus. Int. J. Biometeorol. 2022, 66, 1973–1984. [Google Scholar] [CrossRef] [PubMed]
- Guo, R.; Yang, B.; Guo, Y.; Li, H.; Li, Z.; Zhou, B.; Hong, B.; Wang, F. Machine learning-based prediction of outdoor thermal comfort: Combining Bayesian optimization and the SHAP model. Build. Environ. 2024, 254, 111301. [Google Scholar] [CrossRef]
- Wu, Z.; Li, N.; Peng, J.; Cui, H.; Liu, P.; Li, H.; Li, X. Using an ensemble machine learning methodology-Bagging to predict occupants’ thermal comfort in buildings. Energy Build. 2018, 173, 117–127. [Google Scholar] [CrossRef]
- Wu, J.; Chen, X.-Y.; Zhang, H.; Xiong, L.-D.; Lei, H.; Deng, S.-H. Hyperparameter optimization for machine learning models based on Bayesian optimization. J. Electron. Sci. Technol. Health Care 2019, 17, 26–40. [Google Scholar]
- Sun, Y.; Ding, S.; Zhang, Z.; Jia, W. An improved grid search algorithm to optimize SVR for prediction. Soft Comput. 2021, 25, 5633–5644. [Google Scholar] [CrossRef]
- Bergstra, J.; Bengio, Y. Random search for hyper-parameter optimization. J. Mach. Learn. Res. 2012, 13, 281–305. [Google Scholar]
- Syarif, I.; Prugel-Bennett, A.; Wills, G. SVM parameter optimization using grid search and genetic algorithm to improve classification performance. TELKOMNIKA 2016, 14, 1502–1509. [Google Scholar] [CrossRef]
- Mantovani, R.G.; Rossi, A.L.; Vanschoren, J.; Bischl, B.; De Carvalho, A.C. Effectiveness of random search in SVM hyper-parameter tuning. In Proceedings of the 2015 International Joint Conference on Neural Networks (IJCNN), Killarney, Ireland, 12–17 July 2015; IEEE: Piscataway, NJ, USA, 2015; pp. 1–8. [Google Scholar]
- Wang, X.; Jin, Y.; Schmitt, S.; Olhofer, M. Recent advances in Bayesian optimization. ACM Comput. Surv. 2023, 55, 1–36. [Google Scholar] [CrossRef]
- Jones, D.R. A taxonomy of global optimization methods based on response surfaces. J. Glob. Optim. 2001, 21, 345–383. [Google Scholar] [CrossRef]
- Song, Z.; Zou, S.; Zhou, W.; Huang, Y.; Shao, L.; Yuan, J.; Gou, X.; Jin, W.; Wang, Z.; Chen, X. Clinically applicable histopathological diagnosis system for gastric cancer detection using deep learning. Nat. Commun. 2020, 11, 4294. [Google Scholar] [CrossRef] [PubMed]
- Kabir, H.; Wu, J.; Dahal, S.; Joo, T.; Garg, N. Automated estimation of cementitious sorptivity via computer vision. Nat. Commun. 2024, 15, 9935. [Google Scholar] [CrossRef] [PubMed]
- Cheadle, C.; Vawter, M.P.; Freed, W.J.; Becker, K.G. Analysis of microarray data using Z score transformation. J. Mol. Diagn. 2003, 5, 73–81. [Google Scholar] [CrossRef] [PubMed]
- Branco, P.; Torgo, L.; Ribeiro, R.P. SMOGN: A pre-processing approach for imbalanced regression. In Proceedings of the First International Workshop on Learning with Imbalanced Domains: Theory and Applications, Skopje, North Macedonia, 22 September 2017; pp. 36–50. [Google Scholar]
- Reddy, T.A. Applied Data Analysis and Modeling for Energy Engineers and Scientists; Springer Science & Business Media: New York, NY, USA, 2011. [Google Scholar]
- Joy, T.T.; Rana, S.; Gupta, S.; Venkatesh, S. Hyperparameter tuning for big data using Bayesian optimization. In Proceedings of the 2016 23rd International Conference on Pattern Recognition (ICPR), Cancun, Mexico, 4–8 December 2016; IEEE: Piscataway, NJ, USA, 2017; pp. 2574–2579. [Google Scholar]
- De Dear, R.J.; Brager, G.S. Thermal comfort in naturally ventilated buildings: Revisions to ASHRAE Standard 55. Energy Build. 2002, 34, 549–561. [Google Scholar] [CrossRef]










| Reference | Model | Input Parameters |
|---|---|---|
| [39] | RF, SVR, ANN, GBM, NB, KNN | Tin, Trin, RHin, Vin, M, Rci |
| [40] | SVR | Tin, Trin, RHin, Vin, M, Rci |
| [41] | ELM + SVR + RF, SCN + SVR +RF | Tin, M, Rci, Vin, RHin, Tout |
| [42] | KNN | Tin, Trin, RHin, Vin, M, Rci |
| [43] | BI-LSTM | Tin, Trin, RHin, Vin, M, Rci |
| [44] | ANN | Tin, RHin, Rci, Vin |
| [45] | GM | Tin, RHin, Vin, Trin, Tout |
| [46] | ANN, RF, SVR | Tin, Trin, RHin, Vin, Rci |
| [47] | RF, SVR, ANN, GBM, NB, KNN | Tin, Trin, RHin, Vin, M, Rci |
| [48] | SVR | Tin, Trin, RHin, Vin, M, Rci |
| Parameter | Measurement Range | Measurement Accuracy |
|---|---|---|
| Indoor Air Temperature | −40~50 °C | ±0.3 °C |
| Indoor Relative Humidity | 0~100% | ±3% |
| Outdoor Air Temperature | −50~80 °C | ±0.4 °C |
| Outdoor Relative Humidity | 0~100% | ±3% |
| Outdoor Wind Speed | 0~70 m/s | ±0.3 m/s |
| Outdoor Solar Radiation Intensity | 0~2000 W/m2 | <5% |
| Indoor Air Temperature | −40~50 °C | ±0.3 °C |
| Indoor Relative Humidity | 0~100% | ±3% |
| Outdoor Air Temperature | −50~80 °C | ±0.4 °C |
| B | Std | t | p-Value | |
|---|---|---|---|---|
| −3.249 | 0.388 | −8.381 | 0.000 ** | |
| 0.354 | 0.145 | 2.434 | 0.015 * | |
| −0.001 | 0.004 | −0.189 | 0.850 | |
| −0.042 | 0.008 | −5.481 | 0.000 ** | |
| −0.148 | 0.147 | −1.008 | 0.314 | |
| −0.008 | 0.003 | −2.791 | 0.005 ** | |
| −0.243 | 0.087 | −2.793 | 0.005 ** |
| Model Input | Model Output | |
|---|---|---|
| Indoor Environmental Parameters | Indoor air temperature Indoor relative humidity | Human thermal sensation |
| Outdoor Environmental Parameters: | Outdoor air temperature Outdoor relative humidity Outdoor wind speed Outdoor solar radiation intensity | |
| Subject ID | ||
| Model | Parameters | Search Range | Optimal Values |
|---|---|---|---|
| BPNN | Hidden layers | 1~10 | 4 |
| Hidden nodes | 1~100 | 50 | |
| Activation function | Tanh, Relu, Sigmoid | Tanh | |
| Learning rate | 10−4~1 | 10−4 | |
| SVR | C | 0.1~100 | 200 |
| Gamma | 10−3~1 | 10−1 | |
| RF | Min samples leaf | 1~15 | 2 |
| Max depth | 1~100 | 17 | |
| Number of trees | 1~100 | 15 | |
| KNN | K | 1~5 | 9 |
| P | 1, 2, 3 | 1 | |
| Weights | Uniform, Distance | Distance |
| BPNN | SVR | RF | KNN | |
|---|---|---|---|---|
| R2 | 0.906 | 0.881 | 0.916 | 0.896 |
| RMSE | 0.595 | 0.743 | 0.526 | 0.738 |
| Parameters | Search Range | Optimal Values |
|---|---|---|
| n_estimators | 1~100 | 87 |
| max_depth | 1~100 | 20 |
| min_samples_split | 1~20 | 2 |
| min_samples_leaf | 1~20 | 2 |
| max_features | auto, sqrt, log2 | log2 |
| criterion | Gini, entropy | Gini |
| Model | 1st Fold | 2nd Fold | 3rd Fold | 4th Fold | 5th Fold | Mean Value | |
|---|---|---|---|---|---|---|---|
| R2 | Grid-RF | 0.908 | 0.915 | 0.910 | 0.913 | 0.915 | 0.9162 |
| BO-RF | 0.940 | 0.948 | 0.942 | 0.946 | 0.942 | 0.9451 | |
| RMSE | Grid-RF | 0.613 | 0.584 | 0.601 | 0.591 | 0.578 | 0.595 |
| BO-RF | 0.392 | 0.395 | 0.389 | 0.394 | 0.395 | 0.393 |
Disclaimer/Publisher’s Note: The statements, opinions and data contained in all publications are solely those of the individual author(s) and contributor(s) and not of MDPI and/or the editor(s). MDPI and/or the editor(s) disclaim responsibility for any injury to people or property resulting from any ideas, methods, instructions or products referred to in the content. |
© 2025 by the authors. Licensee MDPI, Basel, Switzerland. This article is an open access article distributed under the terms and conditions of the Creative Commons Attribution (CC BY) license (https://creativecommons.org/licenses/by/4.0/).
Share and Cite
Yang, H.; Ran, M. Personalized Human Thermal Sensation Prediction Based on Bayesian-Optimized Random Forest. Buildings 2025, 15, 2539. https://doi.org/10.3390/buildings15142539
Yang H, Ran M. Personalized Human Thermal Sensation Prediction Based on Bayesian-Optimized Random Forest. Buildings. 2025; 15(14):2539. https://doi.org/10.3390/buildings15142539
Chicago/Turabian StyleYang, Hao, and Maoyu Ran. 2025. "Personalized Human Thermal Sensation Prediction Based on Bayesian-Optimized Random Forest" Buildings 15, no. 14: 2539. https://doi.org/10.3390/buildings15142539
APA StyleYang, H., & Ran, M. (2025). Personalized Human Thermal Sensation Prediction Based on Bayesian-Optimized Random Forest. Buildings, 15(14), 2539. https://doi.org/10.3390/buildings15142539

