Next Article in Journal
Expectations Versus Reality: Economic Performance of a Building-Integrated Photovoltaic System in the Andean Ecuadorian Context
Previous Article in Journal
An Experimental Study on the Effects of Basalt Fiber and Iron Ore Tailings on the Durability of Recycled Concrete
 
 
Font Type:
Arial Georgia Verdana
Font Size:
Aa Aa Aa
Line Spacing:
Column Width:
Background:
Article

Bridging Cities and Citizens with Generative AI: Public Readiness and Trust in Urban Planning

Department of Architecture, College of Engineering and Architecture, Umm Al-Qura University, Makkah 24382, Saudi Arabia
Buildings 2025, 15(14), 2494; https://doi.org/10.3390/buildings15142494
Submission received: 10 June 2025 / Revised: 11 July 2025 / Accepted: 13 July 2025 / Published: 16 July 2025
(This article belongs to the Section Architectural Design, Urban Science, and Real Estate)

Abstract

As part of its modernisation and economic diversification policies, Saudi Arabia is building smart, sustainable cities intended to improve quality of life and meet environmental goals. However, involving the public in urban planning remains complex, with traditional methods often proving expensive, time-consuming, and inaccessible to many groups. Integrating artificial intelligence (AI) into public participation may help to address these limitations. This study explores whether Saudi residents are ready to engage with AI-driven tools in urban planning, how they prefer to interact with them, and what ethical concerns may arise. Using a quantitative, survey-based approach, the study collected data from 232 Saudi residents using non-probability stratified sampling. The survey assessed demographic influences on AI readiness, preferred engagement methods, and perceptions of ethical risks. The results showed a strong willingness among participants (200 respondents, 86%)—especially younger and university-educated respondents—to engage through AI platforms. Visual tools such as image and video analysis were the most preferred (96 respondents, 41%), while chatbots were less favoured (16 respondents, 17%). However, concerns were raised about privacy (76 respondents, 33%), bias (52 respondents, 22%), and over-reliance on technology (84 respondents, 36%). By exploring the intersection of generative AI and participatory urban governance, this study contributes directly to the discourse on inclusive smart city development. The research also offers insights into how AI-driven public engagement tools can be integrated into urban planning workflows to enhance the design, governance, and performance of the built environment. The findings suggest that AI has the potential to improve inclusivity and responsiveness in urban planning, but that its success depends on public trust, ethical safeguards, and the thoughtful design of accessible, user-friendly engagement platforms.

1. Introduction

AI technology is revolutionising urban planning, providing an adaptable approach to design, management, and service delivery. By utilising sophisticated algorithms that analyse data, learn, and make informed decisions, AI is reshaping the urban environment [1]. Presently, growing urban populations across the world [2] need innovative planning approaches that incorporate public participation to create inclusive, smarter cities.
Adopting AI can help municipalities to streamline processes, optimise resource allocation, and deliver tailored services [3] (pp. 1–5). However, urban planning affects wellbeing, and excessive reliance on AI could marginalise groups who prefer traditional methods or lack access to technology [4]. Community involvement can lessen this unintentional discrimination by balancing human interaction and AI, promoting inclusivity and accessibility. This reflects the ‘Right to the City’ concept of Lefebvre and Harvey, where urban planning should be accessible and shaped by the people living there [5]. AI, if implemented well, could support an equitable and participatory urban planning process. The idea of spatial justice [6], where geography influences access to resources, also plays a role, and AI could highlight locations where communities cannot access goods and services. To support this idea, many studies [4] suggest that AI tools gathering community feedback can help planners to embed transparency, accountability, and community engagement throughout the process [7]. However, integrating AI presents challenges, including data privacy, ethics [8], regulatory obstacles, workforce readiness, and institutional barriers. In addition, knowledge of AI is not shared evenly across demographic groups [3] (pp. 1–5).
Some urban planning theories warn of potential issues with public engagement, such as tokenism, where planners implement their visions and use public participation as a façade. As an example, in Arnstein’s Ladder [9], the eight stages of public engagement include manipulation, where public feedback creates the illusion of participation and planners implement their vision of AI anyway; consultation, where citizens’ opinions are gathered but generally ignored unless they agree with what the planners already intended; and placation, where some public feedback is taken, albeit very limited. On the other hand, full participation, where the public controls decision-making, may be unrealistic, because they may not understand the complexities and implications associated with AI technology. The partnership stage, where decision-makers and the public share influence, seems logical and incorporates citizens’ views where technologically feasible.
To explore some of these issues, this study collects the views of Saudis on the use of AI platforms to promote public engagement in urban planning. A survey-based analysis shows whether demography influences their views, identifies the main challenges and ethical concerns, and provides data to help develop sustainable and pleasant urban environments with thriving communities. Overall, the study asks how urban planners can use AI-based tools to encourage public participation and explore which factors influence engagement.

Background of Urban Planning in Saudi Arabia

As a country undergoing rapid urbanisation, planning underpins Saudi Arabia’s development as it integrates infrastructure and transportation into its growing urban landscapes [10]. The Vision 2030 agenda [3] (pp. 1–5) lays out how the Kingdom will diversify its economy by adopting new technologies to serve a well-educated population. Artificial intelligence (AI) will support this transition and promote innovation and efficiency across all sectors, including urban planning [3] (pp. 1–5). AI has already been used in developments such as the Smart City Initiative in Riyadh [11] to optimise public services, improve infrastructure, and support environmental goals. New traffic management systems, with the support of AI, use dynamic traffic flow to reduce congestion, pollution, and accidents [12], while predictive analytics streamlines public services such as waste management, reduces energy consumption [11], and prioritises public services [3]. One example, the Smart Waste Management System (TUHR) in Makka, uses AI and the Internet of Things to monitor waste containers during pilgrimage season and inform the authorities when they need emptying [13]. Geospatial technology already uses AI to collect and analyse data [14], highlighting urban zones and giving insights into human behaviour. Planners can visualise urban growth and any socio-economic bias [15], although there are always concerns about data privacy, ethics, the lack of consistency/integration between models, and the lack of open science approaches.
In summary, urban planning in Saudi Arabia could use AI to help transform urban areas, prioritising sustainability and efficiency while ensuring that communities feel they play a role in shaping their environment. However, there are a number of technological challenges and ethical concerns that may counteract some of the advantages.

2. Literature Review

To gain an overall picture, the literature review describes how the AI used for urban planning has already been used to support urban planning, some of the potential future uses, and any concerns. While it is still a relatively new area and the research has some gaps, there are many active programmes around the world.

2.1. Technical Potential

Across the literature, theorists and researchers show how AI technology is gradually changing urban planning by predicting how cities will expand as populations shift, anticipating future traffic and energy consumption patterns. This predictive capability helps urban planners to make informed decisions when allocating resources and designing infrastructure [16]. A number of researchers discuss the potential roles of AI in urban planning and what it can achieve, now and in the future. One area is time-consuming data analysis, where AI can optimise infrastructure planning by taking large volumes of existing data, analysing it, and suggesting ideal layouts based upon population growth and future urban development [16]. Creating these realistic urban layouts frees planners to focus their energy on solving problems and making decisions [17]. A growing number of AI tools already support urban design and planning, such as the MasterplanGAN system developed by [18], which uses generative adversarial networks to create automated street layouts and site plans. It can help overcome the bottleneck caused by too much data, although the quality of the images used for training the algorithms needs improvement [19]. Other tools, such as Midjourney and DALL·E, see how various designs will look in practice [20]. Platforms like IF-City go even further by using simulations that allow people to interact with urban planning models and make suggestions, giving them a stake in the final design [21].
AI is particularly powerful when it is paired with the IoT and big data, providing real-time information on traffic flow and energy consumption and enhancing any predictive modelling used for urban planning [16]. As emphasised in [22], analysing extensive data and trends in development, energy usage, and community needs helps urban planners to anticipate challenges, adapt approaches, and make transparent decisions. On the other hand, the tools still require oversight and human judgement because they may not have enough high-quality data and can lack the ability to understand the subtleties of human nature. While the research shows that AI will play an important role in crunching data and saving time, professional knowledge will be crucial.
Another way of exploring the technical potential of AI is through the views of professionals. For example, empirical studies by [23,24] examined how urban planners perceive and use AI technology. Overall, professionals expressed optimism, especially regarding its ability to automate tedious tasks and streamline work processes. However, some professionals pointed to a number of potential challenges, including data quality, ethics, regional differences, and whether institutions were technically and culturally ready. One notable study [25] introduced a multitasking attention-based Res-U-Net model, which detects points of interest (POIs) in high-rise buildings with remote sensing imagery. Semantic segmentation significantly improves accuracy when extracting data from buildings, helping to delineate boundaries and create precise shapes. This research showed how deep learning technology can automate spatial analysis tasks, although more research is needed, especially for improved data annotation. Professionals appear to be very open to the technology, which is expected and in line with many other industries. However, AI needs to improve, and planners will need the right training and skills to utilise its full potential.
AI models are also useful for creating customised plans that incorporate demographic information, socio-economic indicators, and environmental conditions to support sustainable community development [26]. For example, ref. [27] developed SNLRUX++ to extract building information from high-resolution remote sensing images, before using deep learning networks to analyse and display important demographic and urban characteristics [19]. This approach could improve prediction accuracy by accelerating network convergence.
The literature suggests that AI is already transforming urban planning through predictive modelling and increased efficiency. It can suggest solutions for complex urban challenges using deep learning structures, semantic segmentation techniques, interactive visual tools, and generative adversarial networks. However, there are concerns about the quality of data, whether algorithms are too blunt, and whether planners know how to use the technology effectively. Importantly, the public must buy into the technology, because they will have to live with the results.

2.2. Public Engagement

Despite the expanding body of research on AI in urban planning, the existing studies predominantly concentrate on the technical capabilities of AI, such as its role in predictive analytics, urban modelling, and resource allocation. Fewer researchers assess usability, accessibility, and public engagement [28], or consider the effects of demographics on the public’s willingness and ability to use AI-based tools and technologies [4], particularly within the context of developing nations such as Saudi Arabia. For the purposes of the study, engagement describes how the views and needs of individuals, businesses, communities, and organisations are incorporated into urban planning. Participation describes what methods allow the public to participate in the process, whether through public meetings, surveys, or other information gathering practices. Additionally, much research focuses on governmental or institutional applications of AI, with insufficient emphasis on grassroots participation. This highlights a significant gap in understanding how AI can democratise urban planning processes by directly involving citizens. Citizen involvement can align city governments and communities [20] (pp. 6–10), but traditional public participation methods, like meetings and review processes, often fail to achieve real engagement.
Traditionally, local governments and planners have used a number of techniques to incorporate ideas and feedback from stakeholders, such as public presentations and discussion forums. In a similar way, workshops with local businesses, community groups, charities, schools, and religious institutions can help planners to assess community needs and hear new ideas and perspectives [29]. Similarly, surveys and questionnaires, whether posted, by telephone, or online, can provide information and data for analysis [30]. However, these methods often provide incomplete information for a number of reasons. Discussion forums tend to favour people living closer to the venue, which can sideline rural areas or city districts that are poorly served by transportation. Some local communities, especially in low-income areas, understand their needs but have no way to pass information to decision-makers, so their voices are not heard [31]. Many methods, such as telephone surveys, especially during working hours, create bias against the working population and local businesses [32]. Even presenting surveys with smartphones as opposed to the web can create vastly different responses [33]. Class differences can become intensified because people working longer hours, with large families, or without means tend to have less spare time and more pressing concerns [34].
In a similar vein, some people lack the confidence to speak at public meetings, or stay away because they fear that they will not be able to understand the topic, especially if the discussion becomes technical [35]. Vocal groups and wealthy areas are more likely to complain and claim an unfair share of resources, directing the less desirable aspects of city planning, such as industrial zones, towards poorer neighbourhoods [36]. Finally, many planners simply lack the skills to design and interpret survey data, leading to inaccurate results and poor-quality analysis, and these methods invariably require large investments of time and money. These issues can skew the sample, miss out large elements of the population, and lead planners towards expensive mistakes [37]. As an example, in Canberra, Australia, [38] found that the participants in public surveys for urban planning felt that it was simply a box-ticking exercise for already approved plans. There was miscommunication between the government, developers, and the community council, who were surprised when buildings they believed to be only eight storeys high during planning ended up as twenty storeys, and public views had not been considered.
Over the past few decades, planners have tried to address this issue by promoting the internet as a forum for feedback and disseminating ideas. People can access plans and documents, complete online surveys, communicate directly with planners, and even attend virtual meetings. Open-source software and crowdsourcing can help groups to collaborate and share information, working together to overcome problems [31]. While this technological shift addressed many of the inequalities, some stubbornly remained. For example, some people, especially older generations, are less computer-literate, while households in some areas may lack high-speed internet [35]. Although transmitting information is now easier, the planning information can be too technical and too tedious for many people to absorb [39]. Planners still have to analyse this data, are not always able to engage an accurate cross-section of society, and can lack time and resources.
Now, with the advent of AI, planners have a new way to gather, analyse, and compare data, and present their visions in understandable and interesting formats. Innovative AI technology is creating new opportunities and engaging citizens in urban renewal [22], and a number of platforms are helping urban planners to seek public opinion on proposed developments. By analysing demographic, economic, and social data, AI can identify key community issues and predict how various development strategies will affect these. AI tools, such as chatbots and data visualisation software, help urban planners and residents to interact, which improves communication and helps communities become an active part of the process. These AI-driven platforms ensure that planning provides accountability and promotes social cohesion while meeting the aspirations of residents.
As noted in [20] (pp. 16–20), a number of Visual Gen AI tools, like DALL-E, Gemini, and Midjourney, allow community members to manipulate images created from textual prompts, which neatly bridges the gap in expertise between professionals and the public. Residents can express their ideas visually, while AI-generated visuals encourage meaningful conversations through, for example, reimaging roads congested with traffic as pedestrian-friendly and encouraging the use of public transport [20] (pp. 16–20). Overall, emerging AI technologies can engage the public and democratise the entire planning process [22], especially when allied with user-friendly interfaces and immersive technologies such as VR simulations to align urban development with the needs of communities. With the use of proactive, data-driven processes, Saudi planners can create sustainable environments in line with national goals and policies [22].
When urban planners first adopted AI, they used the technology to analyse data and predict future conditions, helping them to forecast traffic growth, identify any gaps in infrastructure, and improve services. As the next phase of development, generative AI introduces content creation, including visual models, synthetic imagery, simulations, and the ability to change the language and presentations to suit different audiences, whether the general public, industry professionals, or investors. Planners can express complex technical issues in plain language and share their visions, while encouraging non-experts to contribute ideas and feedback at every stage. Traditional AI tools rarely offer this ability and instead focus on backend analysis and modelling, so generative AI adds the important public interface. Building on these foundations, the present study includes the public’s perceptions of generative AI in urban planning, with a focus on tool familiarity, comfort levels, trust, and preferences.

2.3. Ethical Risks

While the ethical challenges of AI, including privacy concerns and algorithmic bias, have been widely discussed, empirical studies examining these issues across diverse demographic groups, especially in the context of urban planning, are scarce. One potential issue is that AI in urban planning could accelerate gentrification and displace long-term residents [16]. New development opportunities identified by AI could raise property prices and rents, placing them out of the reach of the existing communities and businesses. Other services could also be affected, as highlighted by [40]. An analysis of the AI systems used by companies providing electric scooters and bikes in Washington DC found that they often bypassed lower-income neighbourhoods because they focused mainly on price and availability in wealthier, more densely populated parts of the city. Human intervention and advocacy on behalf of these communities was needed. Ref. [41] discusses the problem of bias within the data used by algorithms, which will make suboptimal and potentially inequitable decisions if their inputs are flawed. This stresses the importance of finding the right balance and making sure that AI is aware of all parameters, such as community coherence and the needs of lower-income communities for affordable rents. Accordingly, planners will need to include affordable housing initiatives and protect tenants, while preserving cultural heritage and prioritising vulnerable communities. Planners will also need to ensure that their processes are transparent and include ethical guidelines to clarify who is responsible for any decisions made with the assistance of AI [4]. Working with communities can uncover any biases in the data and ensure that the AI’s recommended actions do not harm specific groups, building trust with communities [4]. AI could even be useful in identifying the areas most at risk of gentrification, albeit with traditional qualitative analyses to reduce data bias [42].
Another area where AI can transform urban planning is incorporating fairness and inclusivity [4], because the algorithms used for planning could inadvertently perpetuate any biases present in historical data, leading to the unfair allocation of resources. Planners must recognise and mitigate these biases by fine-tuning the algorithms, diversifying the data used for training, and continually seeking feedback from communities. As an example of how to achieve this, IF-City, developed by ref. [21], is a city planning tool that uses AI to assess any inequalities in urban settings [19]. Using interactive visual tools means that planners can provide equal access to amenities for groups within a city and promote social equity. Finally, some research identifies problems with training images and copyright infringement, as well as difficulty with defining abstract terms such as ‘mindfulness’ and capturing human emotions and aesthetic preferences [43]. These additional concerns fall under the umbrella of ethics and need considering during the study.

2.4. Regional Applications

As part of modernisation and economic diversification, Saudi Arabia is implementing AI technologies across various sectors, including government services [44]. Planners can use AI to analyse extensive datasets, identify patterns, and predict societal needs in areas such as healthcare, urban planning, economic diversification, and tourism. These overviews can help the government to develop the right public policies and improve the country’s regulatory quality index ranking [44]. AI can help the public make routine inquiries through AI-driven tools like chatbots, enhancing personalised communication [44]. Finally, AI can improve productivity by automating administrative tasks within the public sector, freeing employees to focus on other areas such as training and personal development [44].
If Saudi cities and municipalities incorporate AI into their urban planning [3] (pp. 1–5), they can use predictive analytics and task automation to improve decision-making [45]. Additionally, AI can predict future demand, helping local governments to direct resources where most needed and deliver better-quality public services based on data analysis [1]. However, using AI for public engagement requires human oversight, to check any recommendations, address errors and bias, and ensure that all results are set in context, or public trust in the technology may break down [20] (pp. 1–5). Several frameworks, provided by organisations including the EU Commission, Institute of Electrical and Electronics Engineers (IEEE), and Software and Information Industry Association (SIIA), have produced frameworks covering explainability and transparency in AI [46,47]. These provide useful guidance for any organisations implementing the technology and act as a useful starting point.
Overall, while the literature suggests that AI will play an important role in urban planning, in Saudi Arabia and elsewhere, most of it focused on the technical potential rather than public engagement and ethics. This is not uncommon because, when any relatively new technology emerges, technical advancement is often the easy part. Setting out the ethics, training people how to use it, and presenting it to the public are slower processes that invariably need to catch up. To help address this time delay, this study intends to guide urban planners in Saudi Arabia through the process of adopting AI by exploring the public perception of the technology and suggesting how to address the many ethical, technical, and societal challenges. Using a survey, the research will assess the willingness and readiness of Saudi residents to participate in urban planning through AI platforms. By providing empirical evidence, the study will highlight any demographic influences and propose recommendations to enhance inclusivity and trust in AI-driven urban planning.

3. Methodology

This study used a quantitative, survey-based approach to capture public perceptions of the use of AI for urban planning in Saudi Arabia [48,49]. The research’s structured design set out to gather comprehensive data on public attitudes, with a number of survey questions covering the following:
  • Demographic information;
  • Readiness with AI;
  • Comfort using AI platforms;
  • Preferred AI applications;
  • Concerns related to AI in urban governance.
Using this design provided a detailed understanding of the public’s attitudes towards AI in public planning, both positive and negative. To give a broad overview, the study’s target population covered a diverse demographic range of genders, ages, education levels, occupations, geographic locations, and readiness to use AI-based digital platforms. Conversely, to ensure that the responses were relevant to Saudi Arabia and those likely to use the platforms, participants had to be Saudi residents proficient in digital tools. In the same way, the exclusion criteria ruled out non-residents, individuals under 18, and those unable to access or use digital platforms. Participants received detailed information about the study and gave informed consent before participating [50,51]. To ensure privacy, all personal data was anonymised to safeguard participant confidentiality, with ethical and reliable data collection and storage processes.

3.1. Sampling Strategy and Data Collection Procedures

The study used non-probability stratified sampling to capture a detailed perspective on public attitudes towards AI in urban planning [52] from a broad demographic of Saudi residents. An online survey, chosen because it was accessible for a geographically dispersed population across the large country, supported the efficient collection of data from multiple regions and a quicker turnaround for the data analysis. The survey was conducted between April and May 2025, and participants took an average of approximately 8 min to complete it. While IP addresses were not collected due to ethical constraints, the survey was distributed exclusively through Saudi-based networks and forums, and eligibility was limited to Saudi residents, ensuring that responses reflected local perspectives. To achieve demographic diversity, efforts were made to include participants across different age groups, genders, educational backgrounds, and residential locations (urban and rural), aligning with the study’s aim of reflecting varied perspectives. The survey included 232 participants and gathered comprehensive insights into their familiarity with generative AI tools—such as image and video analysis, visual summaries, and text-to-image systems—as well as their preferences for using these tools in urban planning decisions, their comfort levels with AI-driven platforms, and key concerns such as data privacy and transparency, which significantly influence public willingness to engage with AI-based urban governance.
While the study explores the potential of generative AI in urban planning, the survey did not explicitly differentiate generative tools from other AI technologies. Instead, participants were introduced to general examples of AI applications—such as image and video analysis, chatbots, and visual summaries—to help them conceptualise how AI could be used in planning contexts. These examples were presented in broad terms and did not reference specific platforms or commercial tools. As such, the study’s findings reflect public attitudes toward AI-assisted urban planning tools more broadly, rather than focused evaluations of named generative AI systems. Although the study does not assess public familiarity with tools like Midjourney or DALL·E, the strong preference expressed for visual and interactive features suggests a general openness to AI technologies that share characteristics with generative applications.
Hosted on a secure platform, the online survey link was sent through email invitations, social media platforms, and online communities to maximise the number of people reached and, ideally, capture the views of several demographics. Because the survey was online, participants could respond at their convenience to encourage higher completion rates. At all stages of the survey, the research followed all the relevant ethical guidelines, with anonymity and confidentiality prioritised to safeguard participant privacy. A detailed briefing at the start of the survey outlined the study’s purpose, made participants aware of their rights, confirmed that participation was voluntary, and noted that they could withdraw at any time. Responses were anonymised with unique codes to ensure that no personally identifiable information (PII) was collected. Additionally, secure, encrypted databases accessible only by authorised researchers ensured that the research followed rigorous ethical standards, ensuring that participants felt able to provide honest and unbiased responses.
To minimise bias, the survey used carefully worded, neutral language that avoided leading questions to minimise any subsequent influence on responses, while participants were explicitly informed that there were no right or wrong answers to encourage honest feedback. To address non-response bias, the survey was concise to reduce participant fatigue, and sending multiple reminders improved response rates. Overall, the study followed rigorous ethical standards, while minimising response bias, to collect reliable data reflecting the views of a cross-section of Saudi residents.

3.2. Data Analysis Techniques

Descriptive and inferential statistical analyses were applied to interpret the survey data [53]. Descriptive statistics summarised demographic characteristics and participant responses, providing insight into general trends. To explore the relationships between demographic factors and attitudes toward AI, inferential statistical tests, including Pearson Chi-square tests, were conducted. These tests identified the correlations between demographic variables (such as age, gender, education, and residential area) and key variables, such as comfort in sharing opinions, preferred AI methods, and perceived challenges in AI-driven urban planning. While Pearson Chi-square tests effectively revealed associations between demographic factors and attitudes toward AI, incorporating regression analysis could provide deeper insights into predictive relationships.
Statistical significance was set at p < 0.05, ensuring a rigorous evaluation of the data. Table 1 in the results section presents these correlations, offering insights into how demographic variables influence public engagement with AI in urban planning. This analytical approach enabled a deeper understanding of the factors impacting public attitudes, supporting the study’s objectives of assessing the potential of AI in enhancing public participation in urban governance.
Ordinal logistic regression was applied to investigate the relationship between the dependent variable (AI readiness), which is ordinal, and the independent variables (age, gender, education, and residential area), which are either categorical or continuous predictors. Ordinal logistic regression is suitable for analysing ordered categorical dependent variables with more than two levels, such as AI readiness. In this study, AI readiness refers to participants’ self-assessed familiarity with the AI technologies relevant to public engagement in urban planning. It was measured on a four-point scale: (1) Never heard of AI, (2) Heard of it but don’t know much, (3) Have general knowledge, and (4) Have advanced knowledge. This measure reflects perceived knowledge and preparedness, and is treated as an attitudinal construct. It models the probability of being in a higher category based on predictor variables, assuming proportional odds across groups [53]. The regression estimates the probability of being in a higher category of AI knowledge based on the independent variables (age, gender, education, and residential area).
The model was developed based on the study’s conceptual framework and the variables identified in the literature as influential in shaping AI readiness. While alternative modelling approaches—such as multinomial logistic regression or decision trees—were considered, ordinal logistic regression was selected for its alignment with the ordered nature of the outcome variable and its interpretability. The number of predictors was intentionally limited to reduce the risk of overfitting, and Wald tests were used to assess the statistical significance of each parameter estimate. No cross-validation or out-of-sample testing was performed due to the limited sample size and exploratory nature of the study. Future research is encouraged to apply larger datasets, out-of-sample validation, and comparative model testing to build parsimonious models and enhance generalisability [54].
In summary, the study utilised a quantitative, survey-based approach to capture public perceptions of AI in urban planning within Saudi Arabia. A structured survey was developed to gather data on demographics, AI readiness, and attitudes, using stratified sampling to ensure demographic representation across age, gender, education, and location. The survey, distributed online for efficient outreach, included 232 participants, providing insights into public knowledge and concerns about AI. Ethical measures, including informed consent, anonymisation, and data confidentiality, were rigorously maintained.

4. Results

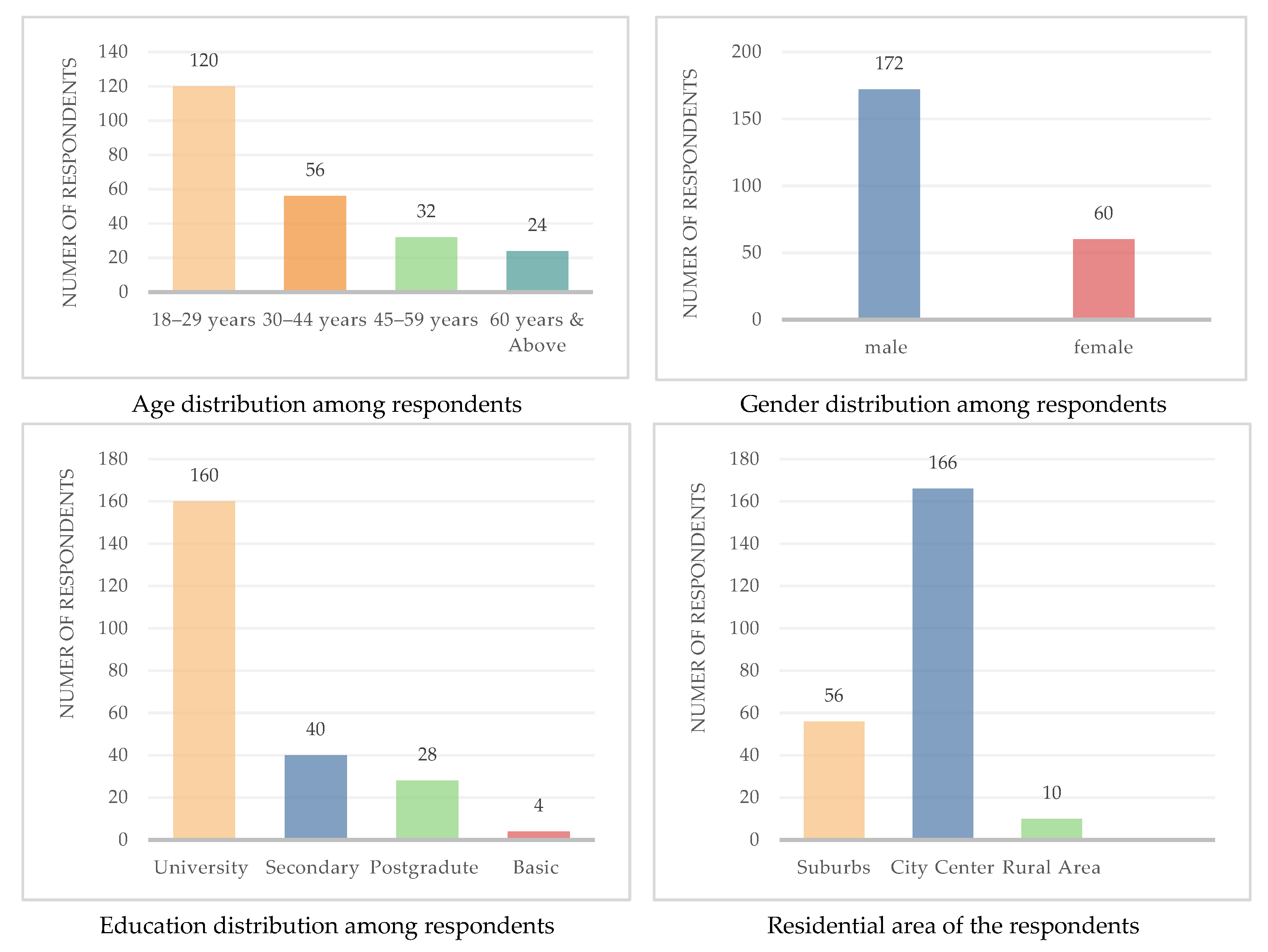
While the sampling technique aimed to capture as broad and as representative a sample as possible, there were some demographic breakdowns within the group that could influence the results (Figure 1). While some groups were highly represented, there was still enough diversity to capture a broad range of perspectives, reflecting varying levels of access to AI and AI readiness with AI tools across different living environments.
With respect to the age of the respondents, the largest portion falls within the 18–29-year-old category, followed by the 30–44 age group. This indicates a younger audience participating in the survey, which may impact the findings for attitudes towards AI because younger participants might be more inclined to adopt technological solutions. Understanding gender representation can provide context when analysing preferences and comfort with technology, and most respondents were male. Most respondents had a university-level education, and higher education levels generally correlate with greater AI readiness and comfort with advanced technologies such as AI, which could positively influence respondents’ readiness to participate in AI-driven urban planning. Most people completing the survey are from city centres, followed by suburbs and rural areas. Urban residents often have greater exposure to advanced technologies due to better infrastructure, while suburban participants may have moderate access. In contrast, rural residents may face challenges related to limited infrastructure and awareness, highlighting the importance of considering these differences to ensure inclusive planning processes.

4.1. Survey Responses

Moving to the survey responses that covered attitudes towards and understanding of AI, some interesting results emerged (Figure 2). The respondents show varying degrees of AI readiness, with a significant portion (24) reporting general knowledge and a smaller group (12) indicating advanced familiarity. Most either have never heard of specific AI technologies (100) or have heard of them but do not know much (88).
With respect to how respondents believe AI can help in decision-making, most (108) believe that AI can positively contribute to decision-making in city improvements, with a comparable number (104) expressing cautious optimism and only a small minority (12) doubting its effectiveness. Moving to their preferred method of using AI in urban planning, 96 respondents support the use of AI applications for image or video analysis, followed by electronic surveys based on sentiment analysis (64), interactive community participation platforms (48), and chatbots (16).
For comfort level in sharing opinions, the majority of respondents are comfortable (128) or very comfortable (72) sharing their opinions on urban projects through AI platforms. When it comes to the preferred methods for receiving reports on the impacts of new developments in the city using AI, they are visual summaries (80), followed by 3D models or interactive virtual environments (68), and text reports (60). Updates via email or apps are not as popular, with only 12 respondents.
Most respondents (108) believe that AI can contribute to fairer and more inclusive decisions in urban planning, with a considerable number expressing cautious optimism (92) and only a small minority (4) disagreeing. Concerning the challenges in applying AI technologies to gather public opinions, according to respondents, technical challenges were prominent (108), followed by social challenges related to privacy and data security (56), and financial challenges (40), with few respondents questioning the legal and transparency challenges (12).
The expected impacts of AI on decision-making were seen very positively, with a combined 196 respondents ranking it as medium or very high, and only 28 suggesting low or no impact. Breaking this down into the expected benefits, 108 respondents felt that it would improve the accuracy of predictions and recommendations. Smaller numbers felt it would improve quality of life in the city (52), increase participation in public planning (36), and enhance transparency in decision-making (24).
Finally, the concerns of respondents when it came to AI in urban planning indicated that the most common issue was over-reliance on technology (84), followed by privacy and data security breaches (76), bias in data and recommendations (52), and only 8 pointing to the lack of transparency in how data is used.

4.2. Correlations Between Demographics and the Studied Variables

The results in Table 1 summarise the correlations between respondents’ demographic variables (gender, age, education, and residency) and various factors related to AI knowledge and attitudes toward its application in urban planning. The Pearson Chi-Square values and associated p-values indicate the strength and significance of these correlations.
Age, education, and residency are consistently significant predictors for most variables, highlighting their importance in shaping attitudes toward AI. Gender plays a less prominent role but is significant for comfort levels, challenges, expected benefits, and concerns. Younger, educated, and urban populations are more likely to have higher AI knowledge and view AI positively in urban planning contexts. Efforts to promote AI engagement should address the specific concerns and needs of older, rural, or less educated demographics to ensure inclusivity.
AI is generally seen as beneficial for urban planning, but concerns such as privacy and inclusivity remain significant, particularly among specific demographic groups. These findings are valuable for tailoring AI-driven urban planning initiatives to different population segments in Saudi Arabia, ensuring that public participation is equitable and effective.
Table 1. Correlations between demographics of the respondents and the studied variables.
Table 1. Correlations between demographics of the respondents and the studied variables.
Pearson Chi-Squarep-Value
VariableGenderAgeEducationResidency
AI readiness0.5140.000.000.00
AI help in decision-making0.1020.000.000.00
Preferred method of AI in urban planning0.2800.000.000.063
Comfort level in sharing opinions0.0020.000.000.00
Preferred method for receiving reports0.1980.000.000.00
Usefulness of AI in making inclusive decisions in planning0.1180.000.000.00
Challenges in applying AI technologies0.000.000.000.001
Expected impact of AI on decision-making0.0480.000.000.00
Expected benefits from using AI in urban planning0.0010.000.000.00
Concerns about using AI in urban planning0.0260.000.000.00
Table 2 summarises the results of an ordinal logistic regression analysis that looked for any relationship between the AI readiness of participants and a number of demographic factors, including age, gender, education level, and residential location. Self-reported AI knowledge, measured on an ordinal scale ranging from “Never heard of AI” to “advanced knowledge”, served as the dependent variable in the model. The results suggested that individuals in the “never heard of AI” category were significantly less likely to have higher levels of AI knowledge when compared to the reference category (p = 0.001). Participants aged 30–44 were significantly more likely to report higher AI knowledge than the reference group (p = 0.000). Participants in the 45–59 age group were also more likely to have higher AI knowledge (p = 0.042). University-educated participants showed significantly higher AI knowledge compared to participants with postgraduate education (p = 0.002). Gender and residential location appeared to have little significant impact on AI knowledge in this sample.
The regression analysis suggests that AI readiness is not evenly distributed across the population. Higher AI knowledge among university-educated and middle-aged respondents implies that these groups may be more prepared to interact with planning tools powered by AI. Conversely, lower engagement among younger or less formally educated respondents may highlight the need for the more inclusive design of AI interfaces. This includes using simplified visual communication, explanatory content, and tailored outreach to reduce digital divides. The lack of significance for gender or location may indicate that attitudes toward AI tools are influenced more by educational exposure and digital literacy than by demographic identity or geography, which aligns with findings from previous smart city readiness studies [24].

5. Discussion

The study’s findings underscore the transformative potential of AI in fostering public participation in urban planning, particularly in streamlining decision-making and enhancing inclusivity. According to ref. [17], AI technology can revolutionise urban planning by offering insights and forecasts derived from extensive data analysis, incorporating real-time community input effectively. This aligns with the study’s observations that demographic factors, such as age, education, and residency, significantly shape attitudes toward AI. Notably, younger participants, likely driven by greater familiarity and comfort with technology, show stronger inclination toward AI, highlighting generational differences in engagement. This observation resonates with broader findings on technology adoption, where younger and more educated demographics exhibit greater openness to new tools [55]. Although the survey did not directly compare traditional and AI-based methods, the participants’ attitudes toward AI suggest that they may be willing to use interactive and efficient planning tools. There also seems to be a higher overall willingness to embrace AI, which may reflect the dissatisfaction with traditional data gathering methods and respondents seeing an opportunity for their voice to be heard. It may also reflect the growth of AI in modern society, with programmes like ChatGPT, Grok, and many others across many sectors. In line with the Technology Acceptance Model [56], willingness to use the model increases with familiarity and perceived usefulness because people can see what these AI resources can do and are willing to try them out.
These findings provide some empirical evidence of the research into public readiness for AI-driven urban governance, particularly within the socio-cultural context of Saudi Arabia, where a predominantly youthful population may shape adoption trends. The results are consistent with prior research by [24], who examined public perceptions of AI in urban services across multiple countries. Their study similarly identified education and age as strong predictors of AI awareness and adoption. Our findings align with this, particularly in highlighting that younger and university-educated individuals are more likely to report higher levels of AI knowledge. However, in contrast to their cross-national sample, our data did not reveal statistically significant effects for gender or residential location—suggesting that local context may moderate the influence of these demographic factors on AI engagement. Notably, the findings also indicate a promising openness toward AI integration, especially in its potential to enhance urban governance and support effective solutions. Despite this, a substantial number of respondents reported limited familiarity with some AI technologies, so there are some gaps in understanding. In turn, this suggests a need for education to tackle this knowledge gap and ensure that people have the skills they need to contribute. Some ideas have been proposed by the EU [57] and OECD [58], who suggest expanding training in AI but, importantly, making it part of other courses in the workplace, in education, and for the wider public. This includes making sure that this is not just focused on advanced AI, but entry-level use for those with little previous exposure to the technology. In addition, the increase in AI across society may mean that people acquire these skills organically over time, and alongside training, will help to bridge the gap where people are very willing to use the technology, but are not sure how.
Another important result was the willingness of respondents to share their opinions via AI platforms, providing a solid foundation for inclusive engagement [4]. The survey suggests that the public are ready to embrace AI-driven platforms for civic engagement, although gender affects the level of comfort, possibly reflecting broader social and cultural influences. In regions where gender differences are less clearly defined, this may prove different, so caution is needed when extrapolating these results to other contexts and areas. Understanding which factors influence comfort levels is an important consideration when designing user-friendly, secure AI tools for use by the public. As refs. [4,55] suggest, designing AI platforms that take into account any demographic differences will enhance accessibility across different sections of Saudi society and address barriers such as digital literacy gaps and unequal access to technology. For example, as part of its ongoing Vision 2020 programme, Saudi Arabia will need to find ways to measure this disparity, such as the Digital Divide Index [59], and work to reduce its score to as close to zero as possible. AI-based tools must ensure that no group is left behind during urban planning initiatives, building public trust and assuring them that it will address any bias and privacy concerns. Policies and training implemented by the government need to reach all parts of Saudi society, such as rural areas and older people less familiar with technology, rather than focusing on younger, urban people. In addition, younger people can be given training as part of integrating courses into education, so developing ways of opening training to these other groups, especially in areas with poor internet access, is as much of an issue as deciding what is included within the courses.
In terms of which AI technologies respondents preferred, the results suggested a strong interest in visual tools like image and video analysis, followed by surveys. Conversely, chatbots were less popular, perhaps indicating a preference for dealing with humans and negative experiences with the chatbots commonly used online. There may be support for data-rich feedback delivered in a user-friendly format, helping the public to understand complex urban planning proposals, as described by [4]. Furthermore, advanced methods like digital twins and augmented reality, as noted in [60], can help planners to interpret complex data and present it to the public. Overall, these innovative tools can help urban planners to create accessible, engaging platforms that encourage citizens to participate. This is one part of the study that could, tentatively, be extended to areas outside Saudi Arabia, because the preference of the wider public for visual information over text appears to be universal.
One of the biggest advantages of AI tools, as discussed by [17], is that they can collect and collate information from a diverse range of urban data sources, such as traffic patterns, demographics, and environmental factors. It can use these to identify trends and predict future scenarios and, in turn, AI can suggest what actions could address the most pressing urban challenges. Additionally, as [60] highlights, AI can help authorities anticipate future issues and develop proactive policies based upon real-time data and advanced forecasting. This dynamic approach could provide additional layers of resilience and adaptability in urban management, especially when presented to the public through immersive and visually intuitive formats. Given that Saudi Arabia’s modernisation plan relies on big data and deep analysis, it may even be that it cannot achieve these without AI. However, even if adopting the technology is the way forward, it needs to be well implemented or it will not achieve its full potential.

5.1. The Challenges of Implementation

Despite the transformative potential of AI, the study highlighted many challenges that need addressing when implementing the technology. Many respondents noted privacy concerns as a prominent issue, echoing the findings in [16], which showed that extensive datasets can increase the privacy risks. Because these AI tools use sensitive personal information, robust data protection is needed to build trust in the technology. Additionally, ethical concerns about historical data bias remain, as noted by [41], which can influence AI-driven decisions. As refs. [4,55] note, addressing these challenges requires fully representative datasets because, without proper safeguards, there is a risk of perpetuating existing inequalities. This is all part of a wider discussion about the long-term implications and ethics of AI, so while Saudi planners can do their best to ensure that their approach builds trust, especially in the short term, they are also subject to these wider trends.
Naturally, technical and financial constraints are a barrier for effective AI integration, especially where governments have limited resources. Some common constraints include limited infrastructure in rural areas, difficulties integrating datasets from various systems, poor scalability, and the need for employees to understand increasingly complex AI algorithms. As noted in ref. [19], interdisciplinary collaboration involving urban planners, technologists, and data scientists will be essential for overcoming these issues, alongside investments in IT infrastructure and resources, knowledge-sharing and training, and user-friendly interfaces. Pilot projects in smaller urban areas, as suggested in ref. [60], can test scalable AI solutions and refine them to suit different local contexts. Cloud-based systems and communication networks will address infrastructure limitations and provide maximum accessibility. While infrastructure investments take a long time, setting up training for the public is a shorter-term option that Saudi Arabia can implement quickly across society. It will also help to address the contradiction between willingness to use the technology and low readiness.
Educational workshops can promote digital literacy while, importantly, community organisations can use AI tools to support underrepresented populations. Visual tools can present compelling cases and ensure that marginalised groups are catered for in urban planning decisions. Technology developers could address technical barriers by creating adaptable AI systems that consider regional and demographic diversity. They could also enhance the usability and scalability of AI tools while ensuring compatibility with existing urban systems. The survey suggested that people saw the benefits of AI in delivering accurate predictions, but they were less clear about how this would influence their daily lives. These implications gain further weight when viewed in light of the regression results, which showed that AI knowledge is not evenly distributed across demographic groups. Tailoring AI tools, outreach strategies, and education efforts should meet the needs of those less familiar with such technologies, such as those with less formal education or digitally marginalised populations. These all require a plan of what Saudi Arabian planners want, to achieve in the short and long term, because programmers need to know what the final AI tools should include rather than trying to change them later on, while planners need to know which tools they will be using so they can develop training courses for employees.
Academically, this study contributes to the growing body of knowledge on AI in urban planning by providing empirical evidence from Saudi Arabia, which is underrepresented in the current literature, on how demographic factors such as age and education influence public attitudes toward AI. How much of this applies outside of the region in different cultural contexts is unclear, but some of the findings, especially the generational divide and concerns about ethics, also have universal qualities. Urban planners can use AI’s predictive analytics to model future scenarios and incorporate real-time public feedback into planning frameworks. Tools like sentiment analysis platforms and augmented reality can help planners to prioritise projects that align with what communities actually need, while presenting complex data to the public in formats they can understand. In this survey, people appear to prefer visual displays and accessible, user-centred platforms, while clear data governance protocols and regulatory frameworks will address any ethical and privacy concerns. By revealing these academic, practical, and policy contributions, the study supports future theoretical research into AI and the real-world implementation of inclusive, data-informed urban development strategies.

5.2. Recommendations for Future Research and Implementation

While this study highlights the potential of AI in urban planning, several limitations must be acknowledged. This method was chosen for its cost-efficiency and practicality in reaching a geographically dispersed population within a limited timeframe, aligning with the study’s exploratory objectives, but this sacrificed some granularity and detail. Although the study included participants from diverse backgrounds, regional and cultural variations within Saudi Arabia may not have been fully captured. The reliance on non-probability sampling and the focus on digital participation may limit the generalisability of the findings, particularly for populations with limited access to technology. It would be interesting to see if similar trends are found elsewhere or if regional and cultural differences play a role.
This exploratory study was restrained by resources and time so, while the sample size provided a useful initial snapshot of public perceptions, it was difficult to generalise the results to cover the entire Saudi population or draw conclusions about subgroups. Additionally, the study did not employ validation or out-of-sample testing due to its exploratory nature and the limited sample size, but it offered an initial, context-specific exploration of AI readiness and willingness in Saudi Arabia. For future research, cross-validation techniques or out-of-sample approaches should strengthen the reliability and predictive capability of the results.
Future research could increase the sample sizes and cover a wider geographical area to provide a more comprehensive representation of public attitudes toward AI. Additionally, mixed-mode surveys and non-digital engagement tools could better include underrepresented groups, such as rural populations and people with limited digital access. Probability sampling methods will make it easier to validate the findings and capture a broader range of perspectives, providing a more comprehensive understanding of public willingness to engage with AI in urban governance.
Further studies could also employ regression models to analyse how multiple demographic factors interact. Alternatively, researchers could use the results of this exploratory research to study specific topics in more detail, looking for any potential correlations and why they exist. For example, the survey questions focused on public attitudes and comfort levels and, while this aligned with exploratory scope, exploring deeper concerns such as user agency, data interpretation, and decision-making transparency will provide a better understanding of the complexities behind human–AI interaction in urban planning.
Relying on online methods excluded individuals without internet access, potentially leading to an overrepresentation of urban and tech-savvy participants while underrepresenting rural or less digitally engaged populations. Additionally, the voluntary nature of the survey may have attracted participants already interested in AI or urban planning, potentially encouraging optimistic responses that may not fully represent the general population. The sample size and reliance on non-probability sampling may have further skewed the research towards digitally literate participants, with a subsequent overestimation of the public’s readiness. This bias could obscure any concerns, misunderstandings, or resistance among populations with lower digital literacy, limited internet access, or negative experiences with public services. Accordingly, future studies should use stratified or probability-based sampling that ensures the greater inclusion of rural residents, older age groups, and those with lower educational or technological exposure.
Another problem with the survey was the reliance on self-reported data, which inevitably introduces potential biases, such as social desirability bias or inaccuracies in responses which, in turn, may affect the reliability of the findings. To address this limitation, future studies could adopt mixed-method approaches that incorporate observational studies, focus groups, or longitudinal research to provide additional data and perspectives. Researchers could explore how the public engages with interactive AI platforms in real time, such as noting how participants interact with generative AI tools such as digital twins, visual scenario simulators, or planning dashboards. This would enrich the assessment of user experience, trust, agency, and preferences in the context of actual system use rather than just the initial perceptions of the technology, and perhaps reveal how perceptions change over time.
Integrating AI into urban planning also raises ethical concerns, so future research should prioritise clear ethical standards and frameworks. This includes promoting transparency, accountability, and inclusivity in decision-making processes through regular ethical audits, interdisciplinary collaboration, and public initiatives aimed at improving AI literacy. Robust privacy policies will address widespread public concerns regarding data security and misuse.
Moreover, future research should explore the development of AI models and algorithms specifically tailored to public engagement in urban planning. While existing studies demonstrate AI’s potential to enhance urban management by improving efficiency and reducing errors, it needs to expand its range of applications and tackle persistent challenges. Collaborative efforts involving policymakers, AI developers, and urban planners will ensure the ethical and effective implementation of AI across all levels of urban government.
In conclusion, future research efforts should focus on overcoming any limitations through interdisciplinary collaboration and studying AI models designed specifically for sustainable city development. By addressing ethical concerns, strengthening governance mechanisms, and promoting equitable access, AI could play an important role in enhancing the public’s participation in urban planning within Saudi Arabia.

6. Conclusions

In conclusion, the study’s findings emphasise that, while AI can encourage public participation in planning, there are a number of ethical, technical, and societal challenges. By incorporating transparency and inclusivity, while paying attention to privacy, bias, and scalability [20] (p. 1–5), urban planners can use AI’s transformative potential to shape innovative urban planning processes. They can also address critical areas including ethical standards, public trust, technical barriers, and inclusive policymaking. This requires a roadmap with clear goals of what AI can achieve and the steps needed to get there. Developers need to create the tools, but only policymakers can make plans for implementation, including AI within education/training programmes, and ensure that all members of the public can access the technology, especially older generations with lower computer knowledge. Planners will also need to show how they are going to use the technology and make sure that public feedback does not become tokenistic or dominated by certain interest groups and communities.
AI’s ability to enhance public participation in urban planning within Saudi Arabia will help the nation fulfil its Vision 2030 objectives. Undoubtedly, younger, educated respondents are particularly open to using AI-driven platforms, and this provides a strong foundation for integrating the technology into urban development. Participants showed a clear preference for visual and interactive tools, such as image and video analysis, underscoring the importance of user-centric platforms that simplify complex urban data. As part of developing and implementing AI in urban planning, developers must design the interface with public interaction in mind as a core concept and ensure that it is not too complex or crowded, or people may simply stop using it. A complex interface will not help to transfer the willingness shown in the survey into heightened readiness.
Despite the potential of AI, the study highlights critical challenges, including privacy concerns, algorithmic bias, and infrastructure limitations. Addressing these barriers requires data governance frameworks, clear ethical guidelines, and interdisciplinary collaboration. Technical constraints, particularly in rural areas, can be mitigated through targeted investments in infrastructure, capacity-building programmes, and pilot projects to test AI platforms in controlled environments before broader implementation. Using cloud computing, high speed mobile broadband, and offering technical support will help to bridge the digital divide revealed in the study, and can be implemented relatively quickly. The best interactive AI tool is useless if people cannot access it due to restricted internet access.
Overall, the study recommends policies that encourage transparency and accountability in AI applications used for planning, while promoting public trust through educational initiatives. Participatory approaches that leverage AI tools that are capable of providing real-time feedback will enable more inclusive decision-making processes and help to ensure that all parts of the community can participate in their own future. By implementing these measures, Saudi Arabia can establish itself as a global leader in developing smarter, more sustainable cities that reflect the diverse needs and aspirations of its communities.

Funding

This research received no external funding.

Institutional Review Board Statement

This research involved a low-risk, non-interventional online survey with adult participants and did not include medical procedures, clinical data, animal research, or work with vulnerable populations. The study was reviewed and approved by the Institutional Review Board of Research Assistant for Studies and Research, Riyadh, Saudi Arabia (Committee Registration Number: HAP-01-R-146). The study received full approval with exemption from further review. IRB Application Number: 03-01/2025; IRB Approval Number: 301/2025; Project Number: 03-01/2025; Session Number: 06/2025. All participants received detailed information about the purpose, methods, and voluntary nature of the study, and informed consent was obtained electronically prior to participation. The study was conducted in full compliance with ethical principles outlined with the Saudi National Committee of Bioethics Regulations (2016) and the Declaration of Helsinki (2013 revision) (approval date June 2025).

Informed Consent Statement

Written informed consent was obtained from all participants. The consent form included the following statement: “I understand the general purposes, risks, and methods of this research. I consent to participate in the research project and acknowledge that the research may not be of direct benefit to me. I understand that my participation is completely voluntary and that I may withdraw at any time without penalty”.

Data Availability Statement

The data supporting the findings of this study are not publicly available due to ethical restrictions and participant privacy concerns. Data may be available from the author upon reasonable request and with approval from the appropriate ethical review body.

Conflicts of Interest

The author declare no conflicts of interest.

References

  1. Canda, J. AI in Urban Planning and Smart City Development. 2024. Available online: https://medium.com/@jam.canda/ai-in-urban-planning-and-smart-city-development-6cefc3e87181 (accessed on 2 November 2024).
  2. Musa, A.A.; Malami, S.I.; Alanazi, F.; Ounaies, W.; Alshammari, M.; Haruna, S.I. Sustainable Traffic Management for Smart Cities Using Internet-of-Things-Oriented Intelligent Transportation Systems (ITS): Challenges and Recommendations. Sustainability 2023, 15, 9859. [Google Scholar] [CrossRef]
  3. Aljabri, B.S. Driving efficiency: The role of Artificial Intelligence (AI) in enhancing municipal operations in Saudi Arabia. World J. Adv. Res. Rev. 2024, 22, 1936–1944. [Google Scholar] [CrossRef]
  4. Sanchez, T.W.; Brenman, M.; Ye, X. The Ethical Concerns of Artificial Intelligence in Urban Planning. J. Am. Plan. Assoc. 2024, 91, 294–307. [Google Scholar] [CrossRef]
  5. Junior, O.A.S. Urban common space, heterotopia and the right to the city: Reflections on the ideas of Henri Lefebvre and David Harvey. Urbe-Revista Bras. De Gestao Urbana 2014, 6, 146–157. [Google Scholar] [CrossRef]
  6. Soja, E. The City and Spatial Justice Justice. Spatiale/Spatial Justice 2009, 1, 1–5. Available online: https://www.jssj.org/wp-content/uploads/2012/12/JSSJ1-1en4.pdf. (accessed on 2 November 2024).
  7. Jain, P. AI and Urban Planning: Designing Livable, Resilient, and Sustainable Cities. 2024. Available online: https://www.linkedin.com/pulse/ai-urban-planning-designing-livable-resilient-sustainable-jain-84tdf (accessed on 2 November 2024).
  8. Ghisleni, C. Artificial Intelligence and Urban Planning: Technology as a Tool for City Design|ArchDaily. 2024. Available online: https://www.archdaily.com/1012951/artificial-intelligence-and-urban-planning-technology-as-a-tool-for-city-design (accessed on 2 November 2024).
  9. Arnstein, S.R. A ladder of citizen participation. J. Am. Inst. Plan. 1969, 35, 216–224. [Google Scholar] [CrossRef]
  10. Snider, J.; Wallace, S.; Dong, B.; Lechot, C.; Kudinov, D. Generative AI in Urban Planning—A Prototype. 2024. Available online: https://www.esri.com/arcgis-blog/products/city-engine/design-planning/generative-ai-in-urban-planning/ (accessed on 2 November 2024).
  11. Eurisko, “Mobile App Development in Saudi Arabia|AI, Web, VR/AR. 2024. Available online: https://eurisko.net/en-sa/ (accessed on 2 November 2024).
  12. Bandarupalli, G. Advancing Smart Transportation via AI for Sustainable Traffic Solutions in Saudi Arabia. In Proceedings of the 2025 First International Conference on Advances in Computer Science, Electrical, Electronics, and Communication Technologies (CE2CT), Bhimtal, Uttarakhand, India, 21–22 February 2025; pp. 470–475. [Google Scholar] [CrossRef]
  13. Qurashi, R.S.A.; Almnjomi, M.M.; Alghamdi, T.L.; Almalki, A.H.; Alharthi, S.S.; Alharthi, A.S.; Thafar, M.A. Smart Waste Management System for Makkah City using Artificial Intelligence and Internet of Things. arXiv 2025, arXiv:2505.19040. [Google Scholar]
  14. G.T.L. (GeoTech), Revolutionizing Urban Planning with AI-Driven Geospatial Technologies. 2024. Available online: https://gt.com.sa/news/ (accessed on 2 November 2024).
  15. Hochmair, H.H.; Juhász, L.; Li, H. Advancing AI-Driven Geospatial Analysis and Data Generation: Methods, Applications and Future Directions. ISPRS Int. J. Geo-Inf. 2025, 14, 56. [Google Scholar] [CrossRef]
  16. Chiancone, C. Revolutionizing Urban Planning with Generative AI: A New Era of Smart Cities. 2023. Available online: https://www.linkedin.com/pulse/revolutionizing-urban-planning-generative-ai-new-era-smart-chiancone (accessed on 2 November 2024).
  17. Mahendra, S. Artificial Intelligence and Urban Design. 2023. Available online: https://www.aiplusinfo.com/blog/artificial-intelligence-and-urban-design/ (accessed on 2 November 2024).
  18. Ye, X.; Du, J.; Ye, Y. MasterplanGAN: Facilitating the smart rendering of urban master plans via generative adversarial networks. Environ. Plan. B Urban Anal. City Sci. 2021, 49, 794–814. [Google Scholar] [CrossRef]
  19. Son, T.H.; Weedon, Z.; Yigitcanlar, T.; Sanchez, T.; Corchado, J.M.; Mehmood, R. Algorithmic urban planning for smart and sustainable development: Systematic review of the literature. Sustain. Cities Soc. 2023, 94, 104562. [Google Scholar] [CrossRef]
  20. Jacob, N.; Williams, E.M.S.; Beery, S.; Conley, C.; Evans, M.L.; Garces, S.; Gordon, E. People Powered Gen AI: Collaborating with Generative AI for Civic Engagement. MIT Explor. Gener. AI 2024. [Google Scholar] [CrossRef]
  21. Lyu, Y.; Lu, H.; Lee, M.K.; Schmitt, G.; Lim, B.Y. IF-City: Intelligible Fair City Planning to Measure, Explain and Mitigate Inequality. IEEE Trans. Vis. Comput. Graph. 2024, 30, 3749–3766. [Google Scholar] [CrossRef] [PubMed]
  22. Papandreou, T. Generative Urban AI Is Here. Are Cities Ready? 2024. Available online: https://www.forbes.com/sites/timothypapandreou/2024/02/18/generative-urban-ai-is-here-are-cities-ready/ (accessed on 2 November 2024).
  23. Yigitcanlar, T.; Kankanamge, N.; Regona, M. Utilizing artificial intelligence for smarter urban planning and development—An integrative review and analysis. J. Open Innov. Technol. Mark. Complex. 2020, 6, 40. [Google Scholar] [CrossRef]
  24. Yigitcanlar, T.; Inkinen, T.; Regona, M.; Cugurullo, F. Public perceptions on application areas and adoption challenges of AI in urban services. Emerg. Sci. J. 2022, 6, 857–872. [Google Scholar] [CrossRef]
  25. Li, B.; Gao, J.; Chen, S.; Lim, S.; Jiang, H. POI Detection of High-Rise Buildings Using Remote Sensing Images: A Semantic Segmentation Method Based on Multitask Attention Res-U-Net. IEEE Trans. Geosci. Remote Sens. 2022, 60, 1–16. [Google Scholar] [CrossRef]
  26. Urbansim. Generative AI Application for Urban Design Planning in Real Estate—UrbanSim. 2023. Available online: https://www.urbansim.com/ai-application-for-real-estate-urban-planning (accessed on 2 November 2024).
  27. Li, W.; Sun, K.; Zhao, H.; Li, W.; Wei, J.; Gao, S. Extracting buildings from high-resolution remote sensing images by deep ConvNets equipped with structural-cue-guided feature alignment. Int. J. Appl. Earth Obs. Geoinf. 2022, 113, 102970. [Google Scholar] [CrossRef]
  28. Bastardo, R.; Pavão, J.; Rocha, N.P. Methodological Quality of User-Centered Usability Evaluation of Digital Applications to Promote Citizens’ Engagement and Participation in Public Governance: A Systematic Literature Review. Digital 2024, 4, 740–761. [Google Scholar] [CrossRef]
  29. Street, P. Scenario workshops: A participatory approach to sustainable urban living? Futures 1997, 29, 139–158. [Google Scholar] [CrossRef]
  30. Richardson, A.J.; Ampt, E.S.; Meyburg, A.H. Survey Methods for Transport Planning; Eucalyptus Press: Melbourne, Australia, 1995. [Google Scholar]
  31. Lobo, J. Urban Planning and Community Data Collection Efforts in the Developing World: Data as a Facilitator. Social Sciences Research Council. Items Insights. 2015. Available online: https://items.ssrc.org/the-cities-papers/urban-planning-and-community-data-collection-efforts-in-the-developing-world-data-as-a-facilitator/ (accessed on 2 November 2024).
  32. Fowler, F.J.; Brenner, P.S.; Buskirk, T.D.; Roman, A. Telephone health survey estimates: Effects of nonresponse and sample limitations. Heal Serv. Res. 2019, 54, 700–706. [Google Scholar] [CrossRef] [PubMed]
  33. Daikeler, J.; Bach, R.L.; Silber, H.; Eckman, S. Motivated misreporting in smartphone surveys. Soc. Sci. Comput. Rev. 2022, 40, 95–107. [Google Scholar] [CrossRef]
  34. Roberts, B.W.; Yao, J.; Trzeciak, C.J.; Bezich, L.S.; Mazzarelli, A.; Trzeciak, S. Income disparities and nonresponse bias in surveys of patient experience. J. Gen. Intern. Med. 2020, 35, 2217–2218. [Google Scholar] [CrossRef] [PubMed]
  35. Czepkiewicz, M.; Jankowski, P.; Młodkowski, M. Geo-questionnaires in urban planning: Recruitment methods, participant engagement, and data quality. Cartogr. Geogr. Inf. Sci. 2016, 44, 115–133. [Google Scholar] [CrossRef]
  36. Horelli, L.; Wallin, S. Civic Engagement in Urban Planning and Development. Land 2024, 13, 1446. [Google Scholar] [CrossRef]
  37. Maguire, M. Survey Methods: How Planning Practitioners Use Them, and the Implications for Planning Education. J. Plan. Educ. Res. 2021, 44, 605–618. [Google Scholar] [CrossRef]
  38. Stewart, J.; Lithgow, S. Problems and prospects in community engagement in urban planning and decision-making: Three case studies from the Australian Capital Territory. Policy Stud. 2015, 36, 18–34. [Google Scholar] [CrossRef]
  39. Davies, A.R. Hidden or Hiding? Public Perceptions of Participation in the Planning System. Town Plan. Rev. 2001, 72, 193–216. Available online: http://www.jstor.org/stable/40112447 (accessed on 2 November 2024). [CrossRef]
  40. Sawhney, N. Contestations in urban mobility: Rights, risks, and responsibilities for Urban AI. Ai Soc. 2023, 38, 1083–1098. [Google Scholar] [CrossRef]
  41. Eubanks, V. Automating Inequality: How High-Tech Tools Profile, Police, and Punish the Poor; St. Martin’s Press: New York, NY, USA, 2018. [Google Scholar]
  42. Reades, J.; De Souza, J.; Hubbard, P. Understanding urban gentrification through machine learning. Urban Stud. 2019, 56, 922–942. [Google Scholar] [CrossRef]
  43. Thampanichwat, C.; Wongvorachan, T.; Sirisakdi, L.; Chunhajinda, P.; Bunyarittikit, S.; Wongmahasiri, R. Mindful architecture from text-to-image AI perspectives: A case study of DALL-E, Midjourney, and stable diffusion. Buildings 2025, 15, 972. [Google Scholar] [CrossRef]
  44. Eltayeb, R.; Karam, D.; Baroudi, J. Saudi Arabia at the Threshold of an AI-Driven Renaissance|Arab News. 2024. Available online: https://www.arabnews.com/node/2459461 (accessed on 2 November 2024).
  45. Tadishetti, S.C. Revolutionizing Urban Living the Transformative Power of Generative AI And Cloud Services in Smart Cities. 2023. Available online: https://www.fieldtechnologiesonline.com/doc/revolutionizing-urban-living-the-transformative-power-of-generative-ai-and-cloud-services-in-smart-cities-0001 (accessed on 2 November 2024).
  46. Eager, J.; Whittle, M.; Smit, J.; Cacciaguerra, G.; Lale-Demoz, E. Opportunities of Artificial Intelligence. European Parliament: Strasbourg, France, 2020; Available online: https://www.europarl.europa.eu/RegData/etudes/STUD/2020/652713/IPOL_STU(2020)652713_EN.pdf (accessed on 2 November 2024).
  47. Jobin, A.; Ienca, M.; Vayena, E. The global landscape of AI ethics guidelines. Nat. Mach. Intell. 2019, 1, 389–399. Available online: https://arxiv.org/pdf/1906.11668 (accessed on 2 November 2024).
  48. Creswell, J.W. Research Design: Qualitative, Quantitative, and Mixed Methods Approaches, 4th ed.; SAGE Publications: Thousand Oaks, CA, USA, 2014. [Google Scholar]
  49. Bryman, A. Social Research Methods, 5th ed.; Oxford University Press: Oxford, UK, 2016. [Google Scholar]
  50. Babbie, E. The Practice of Social Research, 15th ed.; Cengage Learning: Boston, MA, USA, 2020. [Google Scholar]
  51. Israel, M.; Hay, I. Research Ethics for Social Scientists: Between Ethical Conduct and Regulatory Compliance; SAGE Publications: London, UK, 2006. [Google Scholar]
  52. Etikan, I. Sampling and sampling methods. Biom. Biostat. Int. J. 2017, 5, 215–217. [Google Scholar] [CrossRef]
  53. Field, A. Discovering Statistics Using IBM SPSS Statistics, 4th ed.; SAGE Publications: London, UK, 2013. [Google Scholar]
  54. Berk, R. Statistical Learning from a Regression Perspective; Springer: New York, NY, USA, 2021. [Google Scholar]
  55. Kulal, A.; Rahiman, H.U.; Suvarna, H.; Abhishek, N.; Dinesh, S. Enhancing Public Service Delivery Efficiency: Exploring The Impact of AI. J. Open Innov. Technol. Mark. Complex. 2024, 10, 100329. [Google Scholar] [CrossRef]
  56. Marangunić, N.; Granić, A. Technology acceptance model: A literature review from 1986 to 2013. Univers. Access Inf. Soc. 2015, 14, 81–95. [Google Scholar] [CrossRef]
  57. Assante, D.; Fornaro, C.; Laura, L.; Pirrone, D.; Gokdemir, A.; March, V.J. Bridging the AI Knowledge Gap with Open Online Education in Europe. In International Conference on Smart Technologies & Education; Springer Nature: Cham, Switzerland, 2024; pp. 363–369. Available online: https://iris.uninettunouniversity.net/handle/20.500.14086/7222 (accessed on 2 November 2024).
  58. OECD. Bridging the AI Skills Gap: Is Training Keeping Up? 2025. Available online: https://www.oecd.org/content/dam/oecd/en/publications/reports/2025/04/bridging-the-ai-skills-gap_b43c7c4a/66d0702e-en.pdf (accessed on 2 November 2024).
  59. Kuráková, I.; Vallušová, A.; Marasová, J. Measuring the digital divide in the V4 countries using the digital divide index. J. Econ. Soc. Res. 2021, 22, 77–93. [Google Scholar] [CrossRef]
  60. Cugurullo, F.; Xu, Y. When AIs Become oracles: Generative artificial intelligence, anticipatory urban governance, and the future of cities. Policy Soc. 2024, 44, 98–115. [Google Scholar] [CrossRef]
Figure 1. Demographic characteristics of respondents.
Figure 1. Demographic characteristics of respondents.
Buildings 15 02494 g001
Figure 2. Survey responses.
Figure 2. Survey responses.
Buildings 15 02494 g002aBuildings 15 02494 g002b
Table 2. Summary of ordinal logistic regression analyses for participants’ AI readiness and various demographic factors.
Table 2. Summary of ordinal logistic regression analyses for participants’ AI readiness and various demographic factors.
Variable (Category)EstimateStandard ErrorWalddfSig.
Never heard of them−3.1630.96410.76410.001
Heard of them but don’t know much0.8240.8850.86810.352
Have general knowledge1.3620.8872.35810.125
Have advanced knowledge of AI1.6430.8883.42310.064
18–29 years0.6700.5101.72510.189
30–44 years2.5870.55521.73910.000
45–59 years1.1210.5524.12810.042
60 years and older0 a..0.
Male0.0750.3160.05710.812
Female0 a..0.
Basic Education19.9600.000.1.
Secondary Education0.7410.5261.98410.159
University Education1.3810.4489.48510.002
Postgraduate0 a..0.
Suburbs−1.0150.6862.18510.139
City Centre−1.0300.6702.36010.124
Note. “a” indicates the reference category used for comparison in the regression model. For age, the reference category is 60 years and older; for gender, Female; for education, Postgraduate.
Disclaimer/Publisher’s Note: The statements, opinions and data contained in all publications are solely those of the individual author(s) and contributor(s) and not of MDPI and/or the editor(s). MDPI and/or the editor(s) disclaim responsibility for any injury to people or property resulting from any ideas, methods, instructions or products referred to in the content.

Share and Cite

MDPI and ACS Style

Alshahrani, A. Bridging Cities and Citizens with Generative AI: Public Readiness and Trust in Urban Planning. Buildings 2025, 15, 2494. https://doi.org/10.3390/buildings15142494

AMA Style

Alshahrani A. Bridging Cities and Citizens with Generative AI: Public Readiness and Trust in Urban Planning. Buildings. 2025; 15(14):2494. https://doi.org/10.3390/buildings15142494

Chicago/Turabian Style

Alshahrani, Adnan. 2025. "Bridging Cities and Citizens with Generative AI: Public Readiness and Trust in Urban Planning" Buildings 15, no. 14: 2494. https://doi.org/10.3390/buildings15142494

APA Style

Alshahrani, A. (2025). Bridging Cities and Citizens with Generative AI: Public Readiness and Trust in Urban Planning. Buildings, 15(14), 2494. https://doi.org/10.3390/buildings15142494

Note that from the first issue of 2016, this journal uses article numbers instead of page numbers. See further details here.

Article Metrics

Back to TopTop