Sustainability of Recycling Waste Ceramic Tiles in the Green Concrete Industry: A Comprehensive Review
Abstract
1. Introduction
2. Significance of Recycling Industrial Waste in Concrete
3. Waste Ceramic Tiles for Cement Replacement
3.1. Physical Properties and Chemical Composition
3.2. Leaching of Waste Tile Ceramics
3.3. Effect of Waste Tile Ceramics on Concrete Fresh Properties
| Refs | Median Particle Size, µm | Replacement Level, % | Flowability, mm | Setting Times, min | Results |
|---|---|---|---|---|---|
| [48] | 17.3 | 10, 20, 30 | 55–70 | Increased | It has been found that the workability of the proposed concrete is significantly influenced by the ceramic content and the setting time trend, which increases with the increasing content of WTCPs in the matrix up to 30%. |
| [62] | 14 | 15, 25, 35, 50 | Initial: 147, 154, 160, 163 Final: 228, 225, 222, 217 | It was found that both the initial and final settings were slightly influenced by the content of WCTPs as OPC replacement. For the initial setting time, replacing the OPC with 15–50% of WCTPs results in an increase in the setting time from 147 min to 163 min. Unlike the final setting time, the trend was to decrease with increasing the content of WCTPs. Increasing the replacement level to 50% resulted in a decrease in time from 239 min to 217 min. | |
| [71] | ˂53 | 15, 25, 35,50 | - | Increased | The results show that the inclusion of WTCPs as OPC replacement leads to an increase in the initial setting of proposed mixtures. |
| [69] | ≤70 | 1, 3, 5 | - | Initial: 190, 199, 210 Final: 260, 268, 280 | In general, and compared to control mixtures, the inclusion of WCTPs in the matrix led to an increase in both initial and final setting times, from 190 and 260 min to 210 and 280 min, respectively. |
| [63] | 10 | 10, 20, 30 | - | Initial: 111, 117, 117 Final: 160, 174, 175 | The inclusion of WCTPs as OPC replacement slightly increases both the initial and final setting times. Compared to 87 min, replacing the OPC by 10, 20, and 30% of WCTPs leads to an extension of the initial setting time to 111, 117, and 117 min, respectively. A similar trend of results is observed for the final setting time, and the inclusion of the WCTPs leads to an increase in time from 155 min to 160, 174, and 175 min. |
| [57] | 5, 10, 15, 20 | 85, 90, 92, 105 | - | It has been found that replacing OPC with WCTPs enhances the workability performance, and the slump value trend increases from 80 mm to 105 mm with an increase in the level of replacement from 0% to 20%. For the replacement level in the range of 5–15, the degree enhancement is classified as medium; however, the 20% replacement level is classified as high enhancement. | |
| [72] | 5, 10, 15, 20, 25 | 109, 105, 96, 90, 81 | - | the authors evaluated the effect of WCTPs as an OPC replacement in 1% sisal fiber-reinforced concrete. In comparison to the control mix (100% OPC), the increasing level of replacement to 5, 10, 15, 20, and 25% resulted in a drop in slump values from 120 mm to 109, 105, 96, 90, and 81 mm, respectively. The loss of workability is attributed to the lower specific gravity of WCTPs compared to OPC. | |
| [58] | ≤75 µm | 20, 40, 60 | 240, 220, 200 | The results indicate that the prepared mortar workability is significantly influenced by WCTP content as cement replacement. Increasing the replacement level to 60% results in a decrease from 260 mm to 200 mm or below, depending on the particle size used in WCTPs. Specimens prepared with fine WCTPs (≤No. 45) showed a worse workability performance. The decrease in workability is primarily attributed to the characteristics and fineness of the ceramic materials used in the concrete. Typically, finer WTCP particles enhance matrix densification by filling voids and reducing the overall porosity. As a result, the incorporation of WTCPs leads to a stiffer matrix, thereby diminishing workability. The high absorption capacity of WTCPs further influences this reduction. Moreover, the use of very fine ceramic particles increases the surface area, which in turn raises the absorption rate and contributes to decreased workability. | |
| ≤45 µm | 20, 40, 60 | 220, 200, 180 | |||
| [73] | 5, 10, 15, 20, 25, 30 | 120, 90, 80, 80, 70, 70 | The concrete workability trend decreases with increasing the replacement level from 5% to 30%, which is attributed to the high porosity of ceramics compared to OPC, increasing the water demand in the mixture and reducing the flowability performance. | ||
| [74] | 98% ≤ 90 µm | 5, 10, 15, 20 | 42, 45, 48, 50 | The results indicate that the inclusion of 5, 10, 15, and 20% of WTCPs as OPC replacement leads to improved workability and achieved slump values of 42, 45, 48, and 50 mm compared to a 30 mm slump of the control mixture, respectively. | |
| [59] | 89.1% ≤ 45 µm | 5, 15, 20, 25, 30 | 0.40: 94, 92, 89, 85, 82 0.50: 107, 108, 103, 99, 95 0.60: 118, 117, 112, 109, 106 | For all the prepared concrete mixtures, the workability trend increases with the water-to-cement ratio from 0.40 to 0.50 and 0.60. However, the inclusion of WCTPs in the concrete matrix as an OPC replacement negatively affects the workability performance and leads to a decrease in slump values. For the water-to-cement ratio of 0.40, the increasing WCTPs from 0% to 30% resulted in a reduction in slump from 95 mm to 82 mm, respectively. A similar trend of results was observed for both 0.50 and 0.60 water-to-cement ratios, and the slump readings dropped from 110 and 120 mm to 95 and 106 mm, respectively, with an increasing replacement level from 0% to 30%. | |
| [75] | 10, 20, 30 | 50, 40, 30 | - | The slump values trend to decrease from 60 mm to 50, 40, and 30 mm with increasing the replacement level of OPC by 10, 20, and 30% of WTCPs, respectively. | |
| [76] | 10, 20, 30 | 90, 99, 100 | - | The results show a slight improvement in mortar workability with increasing levels of replacement to 10, 20, and 30% of WTCPs. | |
| [60] | 14.32 | 10, 20, 30, 40, 50 | 180, 105, 30, 22, 17 | - | The substituted OPC by 10, 20, 30, 40, and 50% of WTCPs resulted in a drop in slump values from 195 mm to 180, 105, 30, 22, and 17 mm, respectively. The decrease in workability is primarily due to the higher specific surface area of the ceramic material compared to cement. As a result, additional water is needed to coat the particles when this waste is incorporated into the mixture. |
| [61] | - | 5, 10, 15, 20, 25, 30 | 58, 54, 50, 47, 43, 41 | Initial: 30/70 Final: 540/475 | The workability of concrete mixtures tends to decrease with increasing WCTP content as an OPC replacement. Compared to 60 mm, the slump values decreased to 58, 54, 50, 47, 43, and 41 mm with the inclusion of 5, 10, 15, 20, 25, and 30% of WTCPs in the matrix, respectively. |
3.4. Concrete Dry Density
3.5. Compressive Strength Development
3.6. Flexural Strength Development
3.7. Tensile Strength Development
| Refs | Replacement Level | CS, MPa | FS, MPa | STS, MPa | Findings |
|---|---|---|---|---|---|
| [57] | 5, 10, 15, 20 | 33.26, 32.55, 31.99, 30.13 | - | 3.26–2.97 | Findings: Compared to 28.92 MPa, the inclusion of 5–20% of WCTPs as OPC replacement leads to an improvement in the CS to 33.26, 32.55, 31.99, and 30.13 MPa for the specimens evaluated at 28 days of age with increment percentages of 15, 12.6, 10.6, and 4.2%, respectively. A similar trend of results was observed for the STS test, and the cylinder specimens prepared with WCTPs achieved an enhancement from 3.8% to 13.5%. It is a summary of the percentage of 5% WCTPs, the optimum replacement level, and the other four levels. |
| [72] | 5, 10, 15, 20, 25 | 40.3, 41.7, 37.1, 34.1 | 5.31–6.73 | 4.31–3.14 | Specimens prepared with a CS of 40 MPa, in which 10% of OPC was replaced by WCTPs, demonstrated a 3.5% increase in strength. However, increasing the replacement level to 25% led to a 14.8% reduction in strength. A similar trend of results was reported for FS and STS, and the optimum value was achieved with 10% of WCTP content. The differing effects of WCTPs on the CS of concrete at various replacement levels may be attributed to several factors. A key factor is the variation in the chemical composition and specific gravity between OPC and WCTPs. Typically, WCTPs contain a higher silica content and have a lower density compared to OPC. As a result, replacing OPC with WCTPs can lead to a less dense concrete mix, potentially reducing its CS. Additionally, the particle size distribution of WCTPs may influence the overall strength. The presence of larger particles can create voids or weak zones within the concrete matrix, thereby weakening its structure. Furthermore, the pozzolanic activity of WCTPs may be less effective than that of OPC, which could result in slower early-strength development. Other factors, such as the water–cement ratio, curing conditions, and the quality of raw materials, also play important roles in determining concrete strength. Therefore, optimizing these parameters is essential to achieve the desired performance when incorporating ceramic waste powder as partial cement replacement. |
| [58] | ≤No. 75: 20, 40, 60 ≤No. 45: 20, 40, 60 | 24.9, 22.2, 18.7 26.6, 23.4, 20.4 | - - | - - | Compared to the CS of the control specimens (23.1 MPa), replacing 20% of ordinary OPC with waste WCTPs led to a slight improvement in strength. However, increasing the replacement level to 60% resulted in a significant reduction in CS values. The results also indicate that specimens prepared with finer WCTPs (≤No. 45) exhibit a better performance than those containing coarser particles. The decrease in strength at replacement levels of 40% and above is attributed to the high ceramic content in the mix, which increases the silica concentration. This may interact with the calcium hydroxide produced during cement hydration, potentially diminishing CS. Notably, the higher strength observed in group-B specimens is likely due to the finer particle size of the WCTPs, which may contribute to a more homogeneous matrix structure. |
| [73] | 5, 10, 15, 20, 25, 30 | 62.5, 59, 54.5, 50.8, 47.4, 43.9 | Compared to the control specimens’ CS (62.4 MPa), replacing OPC with 5% achieved almost similar strength values (62.5 MPa). However, increasing the level of replacement to 10%, 15%, 20%, 25%, and 30% leads to an increase in the loss of strength to 5.5%, 12.7%, 18.6%, 24.1%, and 29.6%, respectively. | ||
| [74] | 5, 10, 15, 20 | 41.4, 45, 47.3, 44.2 | 5.91–6.25 | 3.12–3.39 | In comparison, the CS of the control specimen (37.1 MPa) achieved after 28 days of curing age, replacing the OPC with 5, 10, 15, and 20%, leads to an enhancement of the strength and increases its values to 41.4, 45, 47.3, and 44.2 MPa, respectively. |
| [59] | 5, 15, 20, 25, 30 | 38.2, 39.3, 40.1, 35.7, 30.1 | 5.02–5.94 | 4.92–5.29 | The results show that the inclusion of WCTPs as OPC positively affects the strength performance at levels of 5, 15, and 20%, and the specimens achieved the highest enhancement of 6.1% with 20% of WCTPs. However, raising the replacement level to 25% and 30% resulted in a drop in strength, causing a loss of 5.6% and 20.3%, respectively. A similar trend of results was observed for FS and STS, with specimens containing 20% WTCPs as OPC replacement achieving the highest strength performance among the other ratios. A negative effect was observed with increasing the water-to-cement ratio, and the strength trend decreased with increasing the water content. Specimens prepared with a 0.50 water-to-cement ratio showed a loss in strength between 1.7% to 7.8% at 28 days. A significant loss of strength was observed for specimens prepared with a 0.60 water-to-cement ratio, ranging from a 15.9% to 17.8% loss. For a high water content (0.50 and 0.60), specimens prepared with a high content of WCTPs (30%) showed a reduced loss of strength of 1.7% and 15.9%, respectively. |
| [75] | 10, 20, 30 | 21, 19, 20 | - | - | Compared to concrete prepared with OPC only as a control specimen, replacing OPC with 10%, 20%, and 30% of WTCPs leads to a decrease in CS from 22 MPa to 21, 19, and 20 MPa, respectively. |
| [60] | 10, 20, 30, 40, 50 | 38.4, 40.2, 39.6, 37.7, 30.1 | Compared to 38.1 MPa, the inclusion of 10, 20, and 30% of WCTPs as OPC replacement leads to an enhancement of strength by 7.4, 16.2, and 13.2%, respectively. However, the greatest loss of strength (15.2%) was observed with specimens prepared with 50% of WTCPs as OPC replacement. | ||
| [61] | 5, 10, 15, 20, 25, 30 | 36.1, 35, 29.9, 28.7, 22.6, 23.5 | 2.37–3.25 | In comparison to the CS of control specimens (33.2 MPa), the inclusion of 5 and 10% of WCTPs as OPC replacement slightly increased the CS to 36.1 and 35 MPa. However, continuing to increase the replacement level to 15, 20, 20, 25, and 30 resulted in a drop in strength to 29.9, 28.7, 22.6, and 23.5 MPa, respectively. | |
| [48] | 10, 20, 30 | 22.9, 23.1, 23.7, 25.4 | - | 1.67–3.64 | Both CS and STS were found to be enhanced by replacing the OPC with 10, 20, and 30% of WCTPs. In comparison to the 22.9 MPa CS achieved with control specimens, the inclusion of 10, 20, and 30% of WCTPs slightly improved the strength to 23.1, 23.7, and 25.4 MPa, respectively. |
| [62] | 15, 25, 35, 50 | 48, 42, 38, 29 | - | - | At 28 days of age, it was observed that replacing OPC with 15%, 25%, 35%, and 50% of WCTPs resulted in a drop in CS from 50 MPa to 48, 42, 38, and 29 MPa, respectively. |
| [69] | 1, 3, 5 | Increased | - | - | Specimens prepared with 1% of WCTPs as OPC replacement achieved the best strength performance by 9.8%. However, the increased replacement level to 3 and 5% caused a loss of strength by 1.9 and 14.7%, respectively. |
| [77] | 10, 20, 30, 40, 50 | 21.3, 23.5, 24.6, 17.9, 17.5 | - | - | The results indicate that replacing OPC with 30% of WTCPs leads to an increase in strength from 20.8 MPa to 24.6 MPa. However, the strength trend drops with increasing the level of replacement to 40% and 50%. |
| [54] | 2, 4, 6, 8, 10 | 28.8, 29.3, 29.7, 29.2, 28.7 | 3.4–3.6 | 2.3–2.5 | In comparison to the strength of control specimens (27.6 MPa), the replacement of OPC by 2, 4, 6, 8, and 10% of WCTPs leads to an enhancement of strength to 28.8, 29.3, 29.7, 29.2, and 28.7 MPa, respectively. A similar trend of results was observed for FS and STS, and all the specimens prepared with WCTPs displayed a better performance than the control specimens. |
| [87] | 15, 25, 35, 50 | 40, 45, 40, 34 | - | - | The inclusion of 25% of WCTPs as OPC replacement leads to an increase in the CS from 38 MPa to 45 MPa. However, raising the replacement level to 50% results in a lower gel formulation and a drop in strength to 34 MPa. |
| [31] | 5, 10, 15, 20, 25 | 50.4, 53.9, 47.2, 45.6, 42.8 | 6.14, 6.15, 5.98, 5.29, 5.15 | Specimens prepared with 10% WCTPs as OPC replacement achieved the highest CS (53.9 MPa) and FS (6.15 MPa) among the adopted levels, compared to control specimens (48.5 MPa and 5.68 MPa). | |
| [55] | 10, 20, 30, 40, 50 | 20.9, 22.7, 24.5, 18.1, 17.9 | - | - | In comparison to OPC specimens, the inclusion of 10, 20, and 30% of WCTPs as OPC replacement leads to an increase in CS from 20.4 MPa to 20.9, 22.7, and 24.5 MPa, respectively. However, increasing the replacement level to 40 and 50% leads to a drop in strength below 18.1 MPa. |
| [51] | Unburned 10, 20 Burned 10, 20 | 32.9, 26.8 36.4, 34.0 | 5.3, 4.8 6.2, 5.8 | 4.5, 3.6 4.9, 4.6 | At 28 days, all the specimens prepared with unburned and burned ceramics displayed lower CS, FS, and STS compared to control specimens (38.6, 6.4, and 5.2 MPa). |
3.8. Sulphate Attack Resistance
3.9. Acid Attack Resistance
3.10. Porosity, Capillary Sorptivity, and Drying Shrinkage
3.11. Resistance to Heating
4. Waste Tile Ceramics as Aggregate Replacements
4.1. Physical Properties of Waste Ceramic Tile Aggregates
4.2. Workability Performance
4.3. Fresh and Dry Densities
4.4. Compressive Strength Development
4.5. Splitting Tensile Strength
4.6. Flexural Strength
| Refs | Type of Aggregates | Replacement Level | CS | FS | STS |
|---|---|---|---|---|---|
| [4] | Coarse aggregates | 0, 10, 20, 30, 40, 50 | 31.2, 32.3, 31.6, 31, 29.7, 28.5 | - | - |
| [105] | Coarse aggregates | 0, 5, 10, 15, 20, 25 | Cs7: 35, 37, 39, 41, 38, 36 Cs:28 42, 45, 47, 51, 48, 46 | 6.52, 6.63, 6.68, 6.73, 6.67, 6.64 | 3.25, 3.32, 3.5, 3.65, 3.48, 3.37 |
| [118] | Coarse aggregates | 0, 5, 10, 15, 20 | Cs7: 20.4, 16.2, 17.5, 15.5, 14.4 CS28: 32.6, 28.3, 29.5, 27.1, 26.1 | Fs7: 3.9, 4.2, 4.7, 4.3, 3.4 Fs28: 7.5, 6.2, 7, 5.1, 4.3 | - |
| [32] | Fine/Coarse aggregates | 0, 25, 50, 75, 100 | FA: 24, 24.8, 25, 25.4, 28.6 CA: 24, 24.5, 24.8, 26, 32 | - | - |
| [119] | fine aggregates | 0, 20, 40, 60, 80, 100 | 42, 47, 51, 55, 49, 41 | 7.1, 7.8, 8.1, 8.6, 7.5, 6.5 | 5.8, 7.6, 7.9, 8.3, 6.7, 6.4 |
| [37] | Coarse aggregates | 0, 14, 20, 30 | 37.8, 38.5, 40.2, 38.3 | - | - |
| [98] | Coarse aggregates | 0, 10, 20, 30, 50, 100 | 31.1, 28.8, 24.9, 24.4, 22.2, 21.6 | 6.1, 6.0, 5.6, 5.1, 4.7, 4.6 | 3.7, 33.4, 3.25, 3.18, 3.14, 2.95 |
| [114] | Coarse aggregates | 0, 10, 20, 30 | 21.1, 21.4, 22.8, 24.9 | - | - |
| [116] | Fine or Coarse aggregates | 0, 20, 50, 100 | 36.2, 34.1, 34.9, 34.6 36.2, 35.5, 35.9, 38.7 | - | 2.64, 2.64, 2.48, 2.65 2.64, 2.54, 2.33, 2.47 |
| [120] | Fine or/and Coarse aggregates | 0, 10, 20, 30, 40, 50 | 20.4, 19.8, 17.5, 16.1, 10.8, 8.4 20.4, 20.2, 20.8, 21.6, 20.6, 16.3 20.4, 20.5, 24.1, 19.3, 15.2, 9.9 | 2.98, 3.1, 3.14, 2.86, 2.64, 2.46 2.98, 3.14, 3.18, 3.22, 3.04, 2.71 2.98, 3.24, 3.36, 3.17, 2.78, 2.39 | 2.3, 2.14, 2.08, 1.96, 1.84, 1.55 2.3, 2.35, 2.41, 2.23, 1.98, 1.92 2.3, 2.47, 2.56, 2.43, 2.36, 2.06 |
| [101] | Coarse aggregates | 0, 25, 50, 75, 100 | 57.4, 61.4, 57.0, 54.0, 50.0 | 6.72, 7.06, 6.44, 5.99, 5.46 | - |
| [136] | Coarse aggregates | 0, 10, 20, 30 | CS-28 CA-64.2, 60.4, 58.2, 54.6 CB-64.2, 71.1, 68.9, 63.9 CC-64.2, 65.7, 61.2, 58.3 | - | CA-3.9, 4.1, 4, 3.9 CB-3.9, 4.7, 4.5, 4.2 CC-3.9, 4.7, 4.4, 4.3 |
| [121] | Coarse aggregates | 0, 20, 40, 60 | 75.9, 77.3, 80.5, 78.1 | 4.86, 5.1, 5.41, 5.24 | 6.12, 6.15, 6.31, 6.28 |
| [112] | Fine aggregates | 0, 20, 40, 60, 80, 100 | 126, 120, 131, 134, 124, 142 | 14.9, 15.3, 15.1, 17.8, 18, 18.5 | - |
4.7. Modulus of Elasticity
4.8. Water Absorption and Porosity
4.9. Resistance to Sulphate Attack
4.10. Drying Shrinkage
5. Structural Applications of Waste Ceramic Tiles
6. Convolutional-Based Deep Learning Models
7. Ceramic Waste’s Impacts, Risks, and Sustainable Benefits
7.1. Wastes Impact the Environment
7.2. Risk of Ceramic Waste
7.3. Environmental Benefits of Recycling Waste Materials in the Concrete Industry
7.4. Life Cycle Assessment of Recycling WCTs in the Concrete Industry
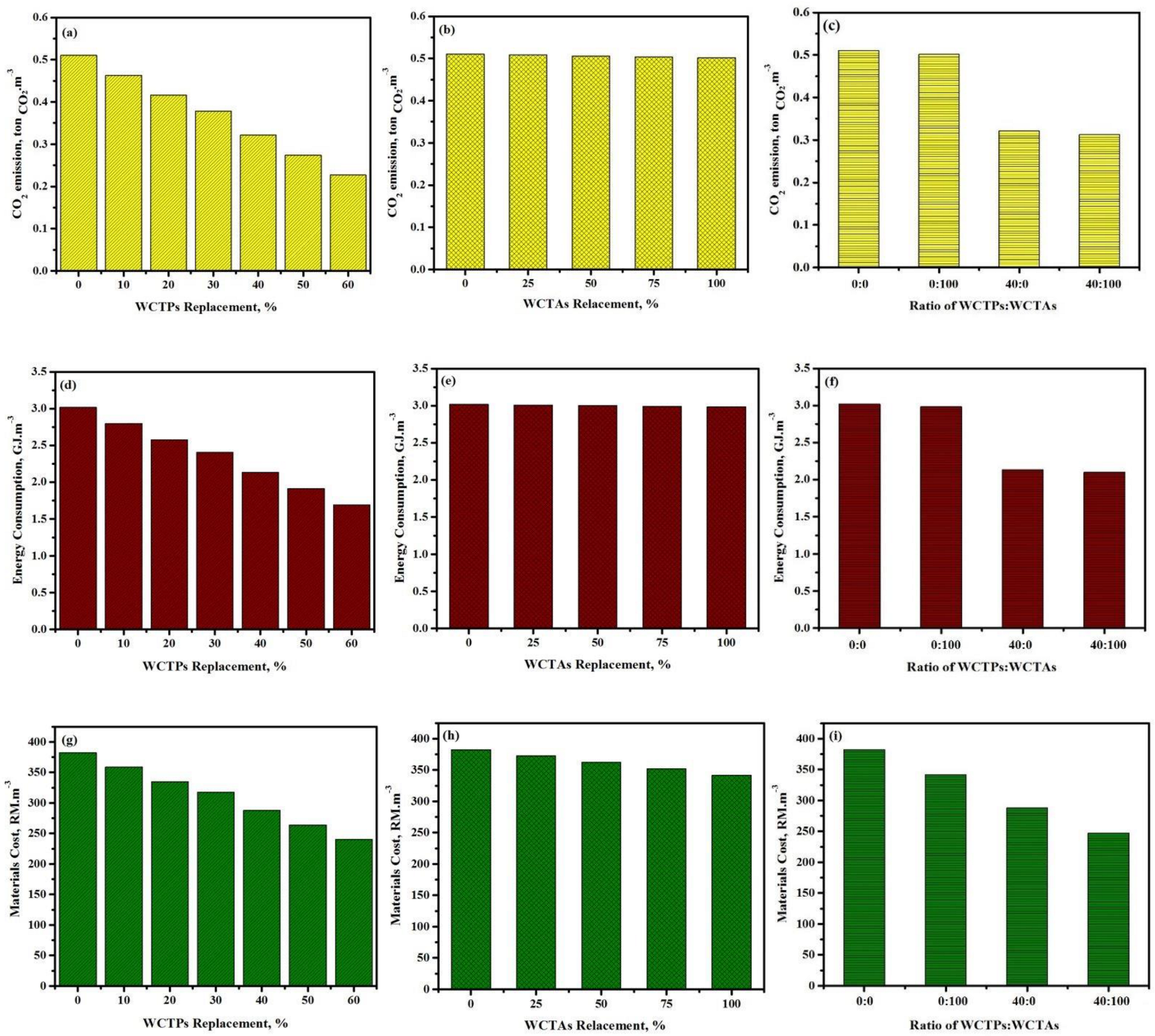
7.5. Carbon Dioxide Emissions, Energy Saving, and Economic Benefits
8. Conclusions
9. Recommendations and Future Research Directions
Author Contributions
Funding
Data Availability Statement
Acknowledgments
Conflicts of Interest
References
- Baylavlı, H.; Gödek, E. Use of Ceramic Tile Wastes as Raw Substitution Material in the Production of Blended Cement. Buildings 2024, 14, 2942. [Google Scholar] [CrossRef]
- Samadi, M.; Huseien, G.F.; Mohammadhosseini, H.; Lee, H.S.; Lim, N.H.A.S.; Tahir, M.M.; Alyousef, R. Waste ceramic as low cost and eco-friendly materials in the production of sustainable mortars. J. Clean. Prod. 2020, 266, 121825. [Google Scholar]
- Shah, K.W.; Huseien, G.F. Recycled Ceramics in Sustainable Concrete: Properties and Performance; CRC Press: Boca Raton, FL, USA, 2020. [Google Scholar]
- Daniyal, M.; Ahmad, S. Application of waste ceramic tile aggregates in concrete. Int. J. Innov. Res. Sci. Eng. Technol. 2015, 4, 12808–12815. [Google Scholar]
- Senthamarai, R.; Manoharan, P.D. Concrete with ceramic waste aggregate. Cem. Concr. Compos. 2005, 27, 910–913. [Google Scholar]
- Joudah, Z.H.; Khalid, N.H.A.; Baghban, M.H.; Faridmehr, I.; Talip, A.R.A.; Huseien, G.F. Development sustainable concrete with high-volume wastes tile ceramic: Role of silica nanoparticles amalgamation. Case Stud. Constr. Mater. 2024, 21, e03733. [Google Scholar]
- Pacheco-Torgal, F.; Jalali, S. Reusing ceramic wastes in concrete. Constr. Build. Mater. 2010, 24, 832–838. [Google Scholar]
- Senthamarai, R.; Manoharan, P.D.; Gobinath, D. Concrete made from ceramic industry waste: Durability properties. Constr. Build. Mater. 2011, 25, 2413–2419. [Google Scholar]
- Huang, B.; Dong, Q.; Burdette, E.G. Laboratory evaluation of incorporating waste ceramic materials into Portland cement and asphaltic concrete. Constr. Build. Mater. 2009, 23, 3451–3456. [Google Scholar]
- Hussein, A.A.; Jaya, R.P.; Hassan, N.A.; Yaacob, H.; Huseien, G.F.; Ibrahim, M.H.W. Performance of nanoceramic powder on the chemical and physical properties of bitumen. Constr. Build. Mater. 2017, 156, 496–505. [Google Scholar]
- Huseien, G.F.; Mirza, J.; Ismail, M.; Ghoshal, S.K.; Hussein, A.A. Geopolymer mortars as sustainable repair material: A comprehensive review. Renew. and Susta. Energ. Rev. 2017, 80, 54–74. [Google Scholar]
- Huseien, G.F.; Sam, A.R.M.; Mirza, J.; Tahir, M.M.; Asaad, M.A.; Ismail, M.; Shah, K.W. Waste ceramic powder incorporated alkali activated mortars exposed to elevated Temperatures: Performance evaluation. Constr. Build. Mater. 2018, 187, 307–317. [Google Scholar]
- Fernandes, M.; Sousa, A.; Dias, A. Environmental Impacts and Emissions Trading-Ceramic Industry: A Case Study; Technological Centre of Ceramics and Glass, Portuguese Association of Ceramic Industry: Coimbra, Portugal, 2004. (In Portuguese) [Google Scholar]
- Chen, X.; Zhang, D.; Cheng, S.; Xu, X.; Zhao, C.; Wang, X.; Wu, Q.; Bai, X. Sustainable reuse of ceramic waste powder as a supplementary cementitious material in recycled aggregate concrete: Mechanical properties, durability and microstructure assessment. J. Build. Eng. 2022, 52, 104418. [Google Scholar]
- Limbachiya, M.; Meddah, M.S.; Ouchagour, Y. Use of recycled concrete aggregate in fly-ash concrete. Constr. Build. Mater. 2012, 27, 439–449. [Google Scholar]
- Heidari, A.; Tavakoli, D. A study of the mechanical properties of ground ceramic powder concrete incorporating nano-SiO2 particles. Constr. Build. Mater. 2013, 38, 255–264. [Google Scholar]
- Huseien, G.F.; Mirza, J.; Ismail, M.; Hussin, M.W.; Arrifin, M.; Hussein, A. The Effect of Sodium Hydroxide Molarity and Other Parameters on Water Absorption of Geopolymer Mortars. Indian J. Sci. Technol. 2016, 9, 1–7. [Google Scholar]
- Huseien, G.F.; Mirza, J.; Ismail, M.; Ghoshal, S.; Ariffin, M.A.M. Effect of metakaolin replaced granulated blast furnace slag on fresh and early strength properties of geopolymer mortar. Ain Shams Eng. J. 2016, 9, 1557–1566. [Google Scholar]
- Torkittikul, P.; Chaipanich, A. Utilization of ceramic waste as fine aggregate within Portland cement and fly ash concretes. Cem. Concr. Compos. 2010, 32, 440–449. [Google Scholar]
- Amin, M.; Tayeh, B.A.; Agwa, I.S. Effect of using mineral admixtures and ceramic wastes as coarse aggregates on properties of ultrahigh-performance concrete. J. Clean. Prod. 2020, 273, 123073. [Google Scholar]
- Medina, C.; Frías, M.; De Rojas, M.S. Microstructure and properties of recycled concretes using ceramic sanitary ware industry waste as coarse aggregate. Constr. Build. Mater. 2012, 31, 112–118. [Google Scholar]
- Higashiyama, H.; Yagishita, F.; Sano, M.; Takahashi, O. Compressive strength and resistance to chloride penetration of mortars using ceramic waste as fine aggregate. Constr. Build. Mater. 2012, 26, 96–101. [Google Scholar]
- Siddique, S.; Chaudhary, S.; Shrivastava, S.; Gupta, T. Sustainable utilisation of ceramic waste in concrete: Exposure to adverse conditions. J. Clean. Prod. 2019, 210, 246–255. [Google Scholar]
- Juan-Valdés, A.; Rodríguez-Robles, D.; Garcia-Gonzalez, J.; de Rojas Gómez, M.I.S.; Guerra-Romero, M.I.; De Belie, N.; Morán-del Pozo, J.M. Mechanical and microstructural properties of recycled concretes mixed with ceramic recycled cement and secondary recycled aggregates. A viable option for future concrete. Constr. Build. Mater. 2021, 270, 121455. [Google Scholar]
- Lopez, V.; Llamas, B.; Juan, A.; Moran, J.; Guerra, I. Eco-efficient concretes: Impact of the use of white ceramic powder on the mechanical properties of concrete. Biosyst. Eng. 2007, 96, 559–564. [Google Scholar]
- Binici, H. Effect of crushed ceramic and basaltic pumice as fine aggregates on concrete mortars properties. Constr. Build. Mater. 2007, 21, 1191–1197. [Google Scholar]
- Wu, H.; Liang, C.; Yang, D.; Ma, Z. Development of sustainable geopolymer materials made with ground geopolymer waste powder as renewable binder up to 100%. Constr. Build. Mater. 2023, 400, 132746. [Google Scholar]
- Tanash, A.O.; Muthusamy, K.; Yahaya, F.M.; Ismail, M.A. Potential of recycled powder from clay Brick, sanitary Ware, and concrete waste as a cement substitute for Concrete: An overview. Constr. Build. Mater. 2023, 401, 132760. [Google Scholar]
- Sáez, P.V.; Osmani, M. A diagnosis of construction and demolition waste generation and recovery practice in the European Union. J. Clean. Prod. 2019, 241, 118400. [Google Scholar]
- Xu, F.; Lin, X.; Zhou, A. Effect of recycled ceramic aggregate on hydration heat and permeability of high performance concrete. Cem. Concr. Compos. 2023, 137, 104930. [Google Scholar]
- Mohit, M.; Sharifi, Y. Thermal and microstructure properties of cement mortar containing ceramic waste powder as alternative cementitious materials. Constr. Build. Mater. 2019, 223, 643–656. [Google Scholar]
- Awoyera, P.O.; Ndambuki, J.M.; Akinmusuru, J.O.; Omole, D.O. Characterization of ceramic waste aggregate concrete. HBRC J. 2018, 14, 282–287. [Google Scholar]
- Chaudhury, R.; Sharma, U.; Thapliyal, P.; Singh, L. Low-CO2 emission strategies to achieve net zero target in cement sector. J. Clean. Prod. 2023, 417, 137466. [Google Scholar]
- Lu, G.; Fan, Z.; Sun, Z.; Liu, P.; Leng, Z.; Wang, D.; Oeser, M. Improving the polishing resistance of cement mortar by using recycled ceramic. Resour. Conserv. Recycl. 2020, 158, 104796. [Google Scholar]
- Zimbili, O.; Salim, W.; Ndambuki, M. A review on the usage of ceramic wastes in concrete production. Int. J. Civ. Environ. Struct. Constr. Archit. Eng. 2014, 8, 91–95. [Google Scholar]
- Tanash, A.O.; Muthusamy, K.; Budiea, A.M.A.; Fauri, M.A.; Jokhio, G.; Rajan, J. A review on the utilization of ceramic tile waste as cement and aggregates replacement in cement based composite and a bibliometric assessment. Clean. Eng. Technol. 2023, 17, 100699. [Google Scholar]
- Pitarch, A.; Reig, L.; Tomás, A.; López, F. Effect of tiles, bricks and ceramic sanitary-ware recycled aggregates on structural concrete properties. Waste Biomass Valorization 2019, 10, 1779–1793. [Google Scholar]
- Ray, S.; Haque, M.; Sakib, M.N.; Mita, A.F.; Rahman, M.M.; Tanmoy, B.B. Use of ceramic wastes as aggregates in concrete production: A review. J. Build. Eng. 2021, 43, 102567. [Google Scholar]
- Xu, K.; Huang, W.; Zhang, L.; Fu, S.; Chen, M.; Ding, S.; Han, B. Mechanical properties of low-carbon ultrahigh-performance concrete with ceramic tile waste powder. Constr. Build. Mater. 2021, 287, 123036. [Google Scholar]
- Cakiroglu, C.; Batool, F.; Sangi, A.J.; Fatima, B.; Nehdi, M.L. Explainable machine learning predictive model for mechanical strength of recycled ceramic tile-based concrete. Mater. Today Commun. 2025, 44, 112139. [Google Scholar]
- Huseien, G.F.; Sam, A.R.M.; Shah, K.W.; Mirza, J. Effects of ceramic tile powder waste on properties of self-compacted alkali-activated concrete. Constr. Build. Mater. 2020, 236, 117574. [Google Scholar]
- Ebrahimi, M.; Eslami, A.; Hajirasouliha, I.; Ramezanpour, M.; Pilakoutas, K. Effect of ceramic waste powder as a binder replacement on the properties of cement-and lime-based mortars. Constr. Build. Mater. 2023, 379, 131146. [Google Scholar]
- Hoppe Filho, J.; Pires, C.A.d.O.; Leite, O.D.; Garcez, M.R.; Medeiros, M.H.F.d. Red ceramic waste as supplementary cementitious material: Microstructure and mechanical properties. Constr. Build. Mater. 2021, 296, 123653. [Google Scholar]
- Mansoori, A.; Moein, M.M.; Mohseni, E. Effect of micro silica on fiber-reinforced self-compacting composites containing ceramic waste. J. Compos. Mater. 2021, 55, 95–107. [Google Scholar]
- Paul, S.C.; Faruky, S.A.U.; Babafemi, A.J.; Miah, M.J. Eco-friendly concrete with waste ceramic tile as coarse aggregate: Mechanical strength, durability, and microstructural properties. Asian J. Civ. Eng. 2023, 24, 3363–3373. [Google Scholar]
- Njoya, D.; Hajjaji, M.; Njopwouo, D. Effects of some processing factors on technical properties of a clay-based ceramic material. Appl. Clay Sci. 2012, 65, 106–113. [Google Scholar]
- Boussen, S.; Sghaier, D.; Chaabani, F.; Jamoussi, B.; Bennour, A. Characteristics and industrial application of the Lower Cretaceous clay deposits (Bouhedma Formation), Southeast Tunisia: Potential use for the manufacturing of ceramic tiles and bricks. Appl. Clay Sci. 2016, 123, 210–221. [Google Scholar]
- Awoyera, P.O.; Akinmusuru, J.O.; Ndambuki, J.M.; Lucas, S.S. Benefits of using ceramic tile waste for making sustainable concrete. J. Solid Waste Technol. Manag. 2017, 43, 233–241. [Google Scholar]
- El-Dieb, A.S.; Kanaan, D.M. Ceramic waste powder an alternative cement replacement–Characterization and evaluation. Sustain. Mater. Technol. 2018, 17, e00063. [Google Scholar]
- Heidari, A.; Tavakoli, S.; Tavakoli, D. Reusing waste ceramic and waste sanitary ware in concrete as pozzolans with nano-silica and metakaolin. Int. J. Sustain. Constr. Eng. Technol. 2019, 10, 55–67. [Google Scholar]
- Taher, M.J.; Abed, E.; Hashim, M.S. Using ceramic waste tile powder as a sustainable and eco-friendly partial cement replacement in concrete production. Mater. Today Proc. 2023, 1–7. [Google Scholar] [CrossRef]
- Rashad, A.M.; Essa, G.M. Effect of ceramic waste powder on alkali-activated slag pastes cured in hot weather after exposure to elevated temperature. Cem. Concr. Compos. 2020, 111, 103617. [Google Scholar]
- Samadi, M.; Hussin, M.W.; Lee, H.S.; Sam, A.R.M.; Ismail, M.A.; Lim, N.H.A.S.; Ariffin, N.F.; Khalid, N.H.A. Properties of mortar containing ceramic powder waste as cement replacement. J. Teknol. 2015, 77, 27–32. [Google Scholar] [CrossRef]
- Tawfik, T.A.; Metwally, K.A.; El-Beshlawy, S.; Al Saffar, D.M.; Tayeh, B.A.; Hassan, H.S. Exploitation of the nanowaste ceramic incorporated with nano silica to improve concrete properties. J. King Saud Univ.-Eng. Sci. 2021, 33, 581–588. [Google Scholar]
- AlArab, A.; Hamad, B.; Assaad, J.J. Strength and durability of concrete containing ceramic waste powder and blast furnace slag. J. Mater. Civ. Eng. 2022, 34, 04021392. [Google Scholar]
- El-Dieb, A.S.; Taha, M.R.; Kanaan, D.; Aly, S.T. Ceramic waste powder: From landfill to sustainable concretes. Proc. Inst. Civ. Eng.-Constr. Mater. 2018, 171, 109–116. [Google Scholar]
- Sondarva, P.R.; Pitroda, J.; Gujar, R.; Soni, J. An experimental investigation on the strength properties of ceramic tiles waste powder based bacterial concrete. Mater. Today Proc. 2022, 62, 7062–7067. [Google Scholar]
- Hilal, N.; Saleh, R.D.; Yakoob, N.B.; Banyhussan, Q.S. Utilization of ceramic waste powder in cement mortar exposed to elevated temperature. Innov. Infrastruct. Solut. 2021, 6, 35. [Google Scholar]
- El-Nadoury, W.W. Eco-friendly concrete using by-products as partial replacement of cement. Front. Mater. 2022, 9, 1043037. [Google Scholar]
- Santos, H.M.M.; Jochem, L.F.; de Matos, P.R.; Casagrande, C.A.; Marinho, É.P.; Szeląg, M.; de Nóbrega, A.C.V. Porcelain tile polishing residue in concrete as an additive or replacement for portland cement. Appl. Sci. 2023, 13, 2824. [Google Scholar]
- Oleng, M.; Kanali, C.; Gariy, Z.C.A.; Ronoh, E. Physical and Mechanical Experimental Investigation of Concrete incorporated with Ceramic and Porcelain Clay Tile Powders as Partial Cement Substitutes. Int. J. Eng. Res. Technol. 2018, 7, 126–130. [Google Scholar]
- Pitarch, A.; Reig, L.; Tomás, A.; Forcada, G.; Soriano, L.; Borrachero, M.; Payá, J.; Monzó, J. Pozzolanic activity of tiles, bricks and ceramic sanitary-ware in eco-friendly Portland blended cements. J. Clean. Prod. 2021, 279, 123713. [Google Scholar]
- Mohit, M.; Haftbaradaran, H.; Riahi, H.T. Investigating the ternary cement containing Portland cement, ceramic waste powder, and limestone. Constr. Build. Mater. 2023, 369, 130596. [Google Scholar]
- Medina, C.; Frías, M.; de Rojas, M.I.S. Leaching in concretes containing recycled ceramic aggregate from the sanitary ware industry. J. Clean. Prod. 2014, 66, 85–91. [Google Scholar]
- Hilal, N.N.; Mohammed, A.S.; Ali, T.K.M. Properties of eco-friendly concrete contained limestone and ceramic tiles waste exposed to high temperature. Arab. J. Sci. Eng. 2020, 45, 4387–4404. [Google Scholar]
- de Matos, P.R.; Sakata, R.D.; Onghero, L.; Uliano, V.G.; de Brito, J.; Campos, C.E.; Gleize, P.J. Utilization of ceramic tile demolition waste as supplementary cementitious material: An early-age investigation. J. Build. Eng. 2021, 38, 102187. [Google Scholar]
- Bheel, N.; Abbasi, R.A.; Sohu, S.; Abbasi, S.A.; Abro, A.W.; Shaikh, Z.H. Effect of tile powder used as a cementitious material on the mechanical properties of concrete. Eng. Technol. Appl. Sci. Res. 2019, 9, 4596–4599. [Google Scholar]
- Jain, P.; Gupta, R.; Chaudhary, S. A literature review on the effect of using ceramic waste as supplementary cementitious material in cement composites on workability and compressive strength. Mater. Today Proc. 2022, 65, 871–876. [Google Scholar]
- El-Kattan, I.M.; Abdelzaher, M.; Farghali, A. Positive impact of ultra fine-ceramic waste on the physico-mechanical features and microstructure of white cement pastes composites. J. Mater. Res. Technol. 2020, 9, 9395–9402. [Google Scholar]
- Huseien, G.F.; Sam, A.R.M.; Shah, K.W.; Asaad, M.A.; Tahir, M.M.; Mirza, J. Properties of ceramic tile waste based alkali-activated mortars incorporating GBFS and fly ash. Constr. Build. Mater. 2019, 214, 355–368. [Google Scholar]
- Awoyera, P.O.; Akinmusuru, J.O.; Moncea, A. Hydration mechanism and strength properties of recycled aggregate concrete made using ceramic blended cement. Cogent Eng. 2017, 4, 1282667. [Google Scholar]
- Balaji, Y.B.; Goud, E.S.K.; Yesuratnam, G. Study of concrete behavior by partial replacement of cement with Ceramic Waste Powder in the presence of Sisal fiber. Mater. Today Proc. 2023, 1–8. [Google Scholar] [CrossRef]
- Penteado, C.S.G.; de Carvalho, E.V.; Lintz, R.C.C. Reusing ceramic tile polishing waste in paving block manufacturing. J. Clean. Prod. 2016, 112, 514–520. [Google Scholar]
- Nalli, B.R.; Vysyaraju, P. Utilization of ceramic waste powder and rice husk ash as a partial replacement of cement in concrete. IOP Conf. Ser. Earth Environ. Sci. 2022, 982, 012003. [Google Scholar]
- Soomro, B.; Mangi, S.A.; Bajkani, R.A.; Junejo, A.Q. Recycling of ceramic tiles and marble powder waste as partial substitution in concrete. Neutron 2021, 20, 128–137. [Google Scholar]
- Wu, C.-H.; Wang, W.-C.; Jung, C.H. Potential pozzolanic reactivity of recycled aggregates and waste powders as cement mortar component. J. Chin. Inst. Eng. 2023, 46, 399–408. [Google Scholar]
- Aswin, S.; Mohanalakshmi, V.; Rajesh, A.A. Effects of ceramic tile powder on properties of concrete and paver block. Glob. Res. Dev. J. Eng. 2018, 3, 84–87. [Google Scholar]
- Raghav, M.; Park, T.; Yang, H.-M.; Lee, S.-Y.; Karthick, S.; Lee, H.-S. Review of the effects of supplementary cementitious materials and chemical additives on the physical, mechanical and durability properties of hydraulic concrete. Materials 2021, 14, 7270. [Google Scholar] [CrossRef] [PubMed]
- Lasseuguette, E.; Burns, S.; Simmons, D.; Francis, E.; Chai, H.; Koutsos, V.; Huang, Y. Chemical, microstructural and mechanical properties of ceramic waste blended cementitious systems. J. Clean. Prod. 2019, 211, 1228–1238. [Google Scholar]
- Mohammadhosseini, H.; Lim, N.H.A.S.; Tahir, M.M.; Alyousef, R.; Samadi, M.; Alabduljabbar, H.; Mohamed, A.M. Effects of waste ceramic as cement and fine aggregate on durability performance of sustainable mortar. Arab. J. Sci. Eng. 2020, 45, 3623–3634. [Google Scholar]
- Ferrara, L.; Deegan, P.; Pattarini, A.; Sonebi, M.; Taylor, S. Recycling ceramic waste powder: Effects its grain-size distribution on fresh and hardened properties of cement pastes/mortars formulated from SCC mixes. J. Sustain. Cem.-Based Mater. 2019, 8, 145–160. [Google Scholar]
- Li, L.; Liu, W.; You, Q.; Chen, M.; Zeng, Q. Waste ceramic powder as a pozzolanic supplementary filler of cement for developing sustainable building materials. J. Clean. Prod. 2020, 259, 120853. [Google Scholar]
- Atkuri, V.K.; Rao, G.R. Strength properties of ceramic waste concrete. In IOP Conference Series: Materials Science and Engineering; IOP Publishing: Jakarta, Indonesia, 2021. [Google Scholar]
- Pereira-de-Oliveira, L.A.; Castro-Gomes, J.P.; Santos, P.M. The potential pozzolanic activity of glass and red-clay ceramic waste as cement mortars components. Constr. Build. Mater. 2012, 31, 197–203. [Google Scholar]
- Fapohunda, C.; Akinbile, B.; Shittu, A. Structure and properties of mortar and concrete with rice husk ash as partial replacement of ordinary Portland cement–A review. Int. J. Sustain. Built Environ. 2017, 6, 675–692. [Google Scholar]
- Lim, S.K.; Lee, Y.L.; Yew, M.K.; Ng, W.W.; Lee, F.W.; Kwong, K.Z.; Lim, J.H. Mechanical properties of lightweight foamed concrete with ceramic tile wastes as partial cement replacement material. Front. Built Environ. 2022, 8, 836362. [Google Scholar]
- Mas, M.A.; Monzó, J.; Payá, J.; Reig, L.; Borrachero, M.V. Ceramic tiles waste as replacement material in Portland cement. Adv. Cem. Res. 2016, 28, 221–232. [Google Scholar]
- Nayana, A.; Rakesh, P. Strength and durability study on cement mortar with ceramic waste and micro-silica. Mater. Today Proc. 2018, 5, 24780–24791. [Google Scholar]
- Bayraktar, O.Y.; Tunçtan, M.; Benli, A.; Türkel, İ.; Kızılay, G.; Kaplan, G. A study on sustainable foam concrete with waste polyester and ceramic powder: Properties and durability. J. Build. Eng. 2024, 95, 110253. [Google Scholar]
- Mohit, M.; Ranjbar, A.; Sharifi, Y. Mechanical and microstructural properties of mortars incorporating ceramic waste powder exposed to the hydrochloric acid solution. Constr. Build. Mater. 2021, 271, 121565. [Google Scholar]
- Rodhia, R.; Sahdeo, S.K.; Kumar, B. Mechanical, microstructural and durable characteristics of foam concrete ceramic mixes exposed to H2SO4 and HCl solution. Constr. Build. Mater. 2024, 454, 139080. [Google Scholar]
- Aiken, T.A.; Gu, L.; Kwasny, J.; Huseien, G.F.; McPolin, D.; Sha, W. Acid resistance of alkali-activated binders: A review of performance, mechanisms of deterioration and testing procedures. Constr. Build. Mater. 2022, 342, 128057. [Google Scholar]
- Chandra, S. Hydrochloric acid attack on cement mortar—An analytical study. Cem. Concr. Res. 1988, 18, 193–203. [Google Scholar]
- Sánchez de Rojas, M.I.; Frías, M.; Sabador, E.; Asensio, E.; Rivera, J.; Medina, C. Use of ceramic industry milling and glazing waste as an active addition in cement. J. Am. Ceram. Soc. 2018, 101, 2028–2037. [Google Scholar]
- Kanaan1a, D.M.; EL-Dieb, A.S. Ceramic waste powder as an ingredient to sustainable concrete. In Proceedings of the Fourth International Conference on Sustainable Construction Materials and Technologies, Las Vegas, NV, USA, 7–11 August 2016. [Google Scholar]
- Zhang, B.; Zhu, H.; Cheng, Y.; Huseien, G.F.; Shah, K.W. Shrinkage mechanisms and shrinkage-mitigating strategies of alkali-activated slag composites: A critical review. Constr. Build. Mater. 2022, 318, 125993. [Google Scholar]
- Steiner, L.R.; Bernardin, A.M.; Pelisser, F. Effectiveness of ceramic tile polishing residues as supplementary cementitious materials for cement mortars. Sustain. Mater. Technol. 2015, 4, 30–35. [Google Scholar]
- Mohammed, H.; Ahmed, S. Mechanical performance evaluation of concrete with waste coarse ceramic aggregate. In Smart Cities—Opportunities and Challenges: Select Proceedings of ICSC 2019; Springer: Berlin/Heidelberg, Germany, 2020; pp. 1–10. [Google Scholar]
- Nepomuceno, M.C.; Isidoro, R.A.; Catarino, J.P. Mechanical performance evaluation of concrete made with recycled ceramic coarse aggregates from industrial brick waste. Constr. Build. Mater. 2018, 165, 284–294. [Google Scholar]
- Ikponmwosa, E.; Ehikhuenmen, S. The effect of ceramic waste as coarse aggregate on strength properties of concrete. Niger. J. Technol. 2017, 36, 691–696. [Google Scholar]
- Sua-iam, G.; Jamnam, S. Influence of calcium carbonate on green self-compacting concrete incorporating porcelain tile waste as coarse aggregate replacement. Case Stud. Constr. Mater. 2023, 19, e02366. [Google Scholar]
- Awoyera, P.O.; Akinmusuru, J.O.; Ndambuki, J.M. Green concrete production with ceramic wastes and laterite. Constr. Build. Mater. 2016, 117, 29–36. [Google Scholar]
- Singh, P.; Singla, R.K. Utilization of waste ceramic tiles as coarse aggregate in concrete. J. Multidiscip. Eng. Sci. Technol. (JMEST) 2015, 2, 3294–3300. [Google Scholar]
- Manikandan, K.; Nanthakumar, P.; Balachandar, M.; Shankar, D.G.; Vijayakumari, G. Partial replacement of aggregate with ceramic tile in concrete. Mater. Today Proc. 2023, 1–8. [Google Scholar] [CrossRef]
- Goyal, R.K.; Agarwal, V.; Gupta, R.; Rathore, K.; Somani, P. Optimum utilization of ceramic tile waste for enhancing concrete properties. Mater. Today Proc. 2022, 49, 1769–1775. [Google Scholar]
- Keshavarz, Z.; Mostofinejad, D. Porcelain and red ceramic wastes used as replacements for coarse aggregate in concrete. Constr. Build. Mater. 2019, 195, 218–230. [Google Scholar]
- Neville, A.M.; Brooks, J.J. Concrete Technology; Longman Scientific & Technical England: London, UK, 1987; Volume 438. [Google Scholar]
- Elçi, H. Utilisation of crushed floor and wall tile wastes as aggregate in concrete production. J. Clean. Prod. 2016, 112, 742–752. [Google Scholar]
- Meena, R.V.; Jain, J.K.; Chouhan, H.S.; Beniwal, A.S. Mechanical and durability performance of self-compacting concrete with waste ceramic tile as a replacement for natural river sand. Mater. Today Proc. 2022, 60, 187–193. [Google Scholar]
- Li, Q.; Liu, P.; Wang, M.; Xia, H. Effects of elevated temperature on the mechanical properties of concrete with aggregate of waste porcelain tile. J. Build. Eng. 2023, 64, 105585. [Google Scholar]
- Anderson, D.J.; Smith, S.T.; Au, F.T. Mechanical properties of concrete utilising waste ceramic as coarse aggregate. Constr. Build. Mater. 2016, 117, 20–28. [Google Scholar]
- Zhang, L.; Shen, H.; Xu, K.; Huang, W.; Wang, Y.; Chen, M.; Han, B. Effect of ceramic waste tile as a fine aggregate on the mechanical properties of low-carbon ultrahigh performance concrete. Constr. Build. Mater. 2023, 370, 130595. [Google Scholar]
- Alves, A.; Vieira, T.; De Brito, J.; Correia, J. Mechanical properties of structural concrete with fine recycled ceramic aggregates. Constr. Build. Mater. 2014, 64, 103–113. [Google Scholar]
- Rashid, K.; Razzaq, A.; Ahmad, M.; Rashid, T.; Tariq, S. Experimental and analytical selection of sustainable recycled concrete with ceramic waste aggregate. Constr. Build. Mater. 2017, 154, 829–840. [Google Scholar]
- Sharba, A. Possibility of using waste glass powder and ceramic tile as an aggregate on the flexural behavior and strength properties. In Proceedings of the 1st International Multi-Disciplinary Conference–Sustainable Development and Smart Planning: IMDC-SDSP, Cyperspace, 28–30 June 2020; pp. 1–14. [Google Scholar]
- Roig-Flores, M.; Reig, L.; Albero, V.; Hernández-Figueirido, D.; Melchor-Eixea, A.; Pitarch, Á.M.; Piquer, A. Utilisation of ceramic stoneware tile waste as recycled aggregate in concrete. Buildings 2023, 13, 1968. [Google Scholar] [CrossRef]
- Giridhar, V.; Rao, H.S.; Kumar, P.S.P. Influence of ceramic waste aggregate properties on strength of ceramic waste aggregate concrete. IJRET Int. J. Res. Eng. Technol. 2015, 4, 15–24. [Google Scholar]
- Daniel, R.J.; Sangeetha, S. Experimental study on concrete using waste ceramic as partial replacement of aggregate. Mater. Today Proc. 2021, 45, 6603–6608. [Google Scholar]
- Meena, R.V.; Jain, J.K.; Beniwal, A.S.; Chouhan, H.S. Sustainable self-compacting concrete containing waste ceramic tile aggregates: Fresh, mechanical, durability, and microstructural properties. J. Build. Eng. 2022, 57, 104941. [Google Scholar]
- Sivakumar, A.; Srividhya, S.; Sathiyamoorthy, V.; Seenivasan, M.; Subbarayan, M. Impact of waste ceramic tiles as partial replacement of fine and coarse aggregate in concrete. Mater. Today Proc. 2022, 61, 224–231. [Google Scholar]
- Zareei, S.A.; Ameri, F.; Bahrami, N.; Shoaei, P.; Musaeei, H.R.; Nurian, F. Green high strength concrete containing recycled waste ceramic aggregates and waste carpet fibers: Mechanical, durability, and microstructural properties. J. Build. Eng. 2019, 26, 100914. [Google Scholar]
- Subedi, B.; Wagle, D.K.; Basnet, K. Utilization of crushed ceramic tile wastes as partial replacement of coarse aggregate in concrete production. Int. J. Eng. Res. Technol. (IJERT) 2020, 9(7), 1572–1584. [Google Scholar]
- Varma, M.; Pravalli, M. A study on partial replacement of coarse aggregate by ceramic tile aggregate and fine aggregate by marble dust to improve concrete strengths. Int. Res. J. Mod. Eng. Technol. Sci. 2022, 12, 1769–1779. [Google Scholar]
- Yiosese, A.; Ayoola, A.; Ugonna, M.; Adewale, A. Partial replacement of coarse aggregate with broken ceramic tiles in concrete production. Int. J. Sci. Eng. Res. 2018, 9, 81–87. [Google Scholar]
- Abadou, Y.; Mitiche-Kettab, R.; Ghrieb, A. Ceramic waste influence on dune sand mortar performance. Constr. Build. Mater. 2016, 125, 703–713. [Google Scholar]
- Guendouz, M.; Boukhelkhal, D. Properties of flowable sand concrete containing ceramic wastes. J. Adhes. Sci. Technol. 2019, 33, 2661–2683. [Google Scholar]
- Gharibi, H.; Mostofinejad, D. Thermal and mechanical properties of concrete containing porcelain ceramic tile waste as fine and coarse aggregates. Mag. Concr. Res. 2023, 75, 123–134. [Google Scholar]
- Gonzalez-Corominas, A.; Etxeberria, M. Properties of high performance concrete made with recycled fine ceramic and coarse mixed aggregates. Constr. Build. Mater. 2014, 68, 618–626. [Google Scholar]
- Meena, R.V.; Jain, J.K.; Chouhan, H.S.; Beniwal, A.S. Impact of waste ceramic tile on resistance to fire and abrasion of self-compacting concrete. Mater. Today Proc. 2022, 60, 167–172. [Google Scholar]
- Evangelista, A.C.J.; Tam, V.W.; Santos, J. Recycled ceramic fine aggregate for masonry mortar production. Proc. Inst. Civil. Eng.-Constr. Mater. 2019, 172, 225–234. [Google Scholar]
- Shareef, Z.A.; Ahmed, S.Y.; Abdulkareem, O.M. Potential Use of Wastes of Thermostone Blocks and Ceramic Tiles as Recycled Aggregates in Production of Foam Concrete. Civ. Eng. Archit. 2023, 11, 1280–1296. [Google Scholar]
- Ray, S.; Haque, M.; Rahman, M.M.; Sakib, M.N.; Al Rakib, K. Experimental investigation and SVM-based prediction of compressive and splitting tensile strength of ceramic waste aggregate concrete. J. King Saud Univ.-Eng. Sci. 2021, 36, 112–121. [Google Scholar]
- Agrawal, A.; Singh, A.; Imam, A. Utilization of ceramic waste as a sustainable building material. In Proceedings of the National Conference on Structural Engineering, NCRASE, Jamshedpur, India, 21–22 August 2020; pp. 1–6. [Google Scholar]
- Bommisetty, J.; Keertan, T.S.; Ravitheja, A.; Mahendra, K. Effect of waste ceramic tiles as a partial replacement of aggregates in concrete. Mater. Today Proc. 2019, 19, 875–877. [Google Scholar]
- Chandel, S.K.; Goyal, R. Study the effect of tiles aggregate waste as partial replace with natural aggregate in cement concrete. Mater. Today Proc. 2022, 51, 905–908. [Google Scholar]
- Xu, F.; Lin, X.; Zhou, A.; Liu, Q.-F. Effects of recycled ceramic aggregates on internal curing of high performance concrete. Constr. Build. Mater. 2022, 322, 126484. [Google Scholar]
- Meillyta, M.; Wahyuni, W.; Fahmi, Z. Mechanical Behaviour of Self-Compacting Concrete Using Ceramic Waste. IOP Conf. Ser. Earth Environ. Sci. 2023, 1140, 012024. [Google Scholar]
- Younis, M.; Amin, M.; Tahwia, A.M. Durability and mechanical characteristics of sustainable self-curing concrete utilizing crushed ceramic and brick wastes. Case Stud. Constr. Mater. 2022, 17, e01251. [Google Scholar]
- Al-Azzawi, A.A.; Al-Azzawi, A.A. Mechanical properties of green concrete. IOP Conf. Ser. Earth Environ. Sci. Eng. 2020, 888, 012022. [Google Scholar]
- Mohan, A.; Thomas, J.; Joseph, N. Use of clay Tile Chips as Coarse Aggregate in concrete. IOP Conf. Ser. Earth Environ. Sci. Eng. 2018, 396, 012002. [Google Scholar]
- Peter, D.; Awang, A.; Sam, A.; Ma, C.; Loo, P. Eco-efficient concrete containing recycled ceramic wastes aggregate. In IOP Conference Series: Materials Science and Engineering; IOP Publishing: Dnipro, Ukraine, 2020; Volume 849, p. 012035. [Google Scholar]
- Tahwia, A.M. Eco-Friendly Concrete Made with Recycled Aggregates. Life Sci. J. 2017, 14, 121–128. [Google Scholar]
- Arun, B.C.; Ramaswamy, P. Properties of concrete partially replaced with copper slag as fine aggregate and ceramic tile waste as coarse aggregate. Indian. J. Sci. Technol. 2016, 9, 1–5. [Google Scholar]
- Nataraja, M.; Bhat, G.; Manoj, M.; Mallya, S. Investigation on concrete with crushed vitrified tiles as coarse aggregates. J. Build. Pathol. Rehabil. 2022, 7, 103. [Google Scholar]
- Gautam, L.; Jain, J.K.; Alomayri, T.; Meena, N.; Kalla, P. Performance evaluation of self-compacting concrete comprising ceramic waste powder as fine aggregate. Mater. Today Proc. 2022, 61, 204–211. [Google Scholar]
- Harikaran, M.; Boopathi, S.; Rajkannan, M.; Gokulakannan, S. Impact analysis of ceramic tile powder aggregates on self-compacting concrete. Eng. Res. Express 2023, 5, 025069. [Google Scholar]
- Kherraf, L.; Hebhoub, H.; Abdelouahed, A.; Boughamssa, W. Comparative study on the performance of sand-based mortars from marble, floor tile and cinder block waste. J. Build. Eng. 2022, 45, 103433. [Google Scholar]
- Ajamul, S.; Oluremi, J.; Ogunyemi, E. Impact of replacement of coarse aggregates with ceramic tile waste on the strength characteristics of concrete. J. Res. Inf. Civ. Eng. 2018, 15, 2228–2244. [Google Scholar]
- Yahya, N.; Razak, S.; Othman, M.; Noor, S.; Muhamad, K.; Jaih, M. Mechanical and rheological properties of concrete with ceramic tile waste as partial replacement of fine aggregate. In IOP Conference Series: Materials Science and Engineering; IOP Publishing: Jakarta, Indonesia, 2020; Volume 743, p. 012033. [Google Scholar]
- Ambrose, E.; Ogirigbo, O.; Ekop, I. Compressive strength and resistance to sodium sulphate attack of concrete incorporated with fine aggregate recycled ceramic tiles. J. Appl. Sci. Environ. Manag. 2023, 27, 465–472. [Google Scholar]
- Meena, R.V.; Beniwal, A.S.; Jain, A.; Choudhary, R.; Mandolia, R. Evaluating resistance of ceramic waste tile self-compacting concrete to sulphuric acid attack. Constr. Build. Mater. 2023, 393, 132042. [Google Scholar]
- Batikha, M.; Ali, S.T.M.; Rostami, A.; Kurtayev, M. Using recycled coarse aggregate and ceramic waste to produce sustainable economic concrete. Int. J. Sustain. Eng. 2021, 14, 785–799. [Google Scholar]
- Rodríguez-Álvaro, R.; Seara-Paz, S.; González-Fonteboa, B.; Etxeberria, M. Study of different granular by-products as internal curing water reservoirs in concrete. J. Build. Eng. 2022, 45, 103623. [Google Scholar]
- Adeala, A.; Olaoye, J. Structural Potential of Concrete Modified with Ceramic Tiles In The Production of Concrete. Int. J. Women Tech. Educ. Employ. 2024, 5, 149–160. [Google Scholar]
- Samadi, M.; Baghban, M.H.; Kubba, Z.; Faridmehr, I.; Abdul Shukor Lim, N.H.; Benjeddou, O.; Ariffin, N.F.B.; Huseien, G.F. Flexural behavior of reinforced concrete beams under instantaneous loading: Effects of recycled ceramic as cement and aggregates replacement. Buildings 2022, 12, 439. [Google Scholar] [CrossRef]
- Kabir, H.; Wu, J.; Dahal, S.; Joo, T.; Garg, N. Automated estimation of cementitious sorptivity via computer vision. Nat. Commun. 2024, 15, 9935. [Google Scholar]
- Huseien, G.F.; Faridmehr, I.; Nehdi, M.L.; Abadel, A.A.; Aiken, T.A.; Ghoshal, S. Structure, morphology and compressive strength of Alkali-activated mortars containing waste bottle glass nanoparticles. Constr. Build. Mater. 2022, 342, 128005. [Google Scholar]
- Faridmehr, I.; Nehdi, M.L.; Huseien, G.F.; Baghban, M.H.; Sam, A.R.M.; Algaifi, H.A. Experimental and informational modeling study of sustainable self-compacting geopolymer concrete. Sustainability 2021, 13, 7444. [Google Scholar] [CrossRef]
- Shi, T.; Luo, H. Deep learning for automated detection and classification of crack severity level in concrete structures. Constr. Build. Mater. 2025, 472, 140793. [Google Scholar]
- Prakash, V.; Debono, C.J.; Musarat, M.A.; Borg, R.P.; Seychell, D.; Ding, W.; Shu, J. Structural Health Monitoring of Concrete Bridges Through Artificial Intelligence: A Narrative Review. Appl. Sci. 2025, 15, 4855. [Google Scholar]
- Faridmehr, I.; Nehdi, M.; Baghban, M.H. Novel informational bat-ANN model for predicting punching shear of RC flat slabs without shear reinforcement. Eng. Struct. 2022, 256, 114030. [Google Scholar]
- Das, S.; Datta, A.K.; Topdar, P.; Pal, A. Innovative approaches to concrete health monitoring: Wavelet transform and artificial intelligence models. Asian J. Civ. Eng. 2025, 26, 107–120. [Google Scholar]
- Mhaya, A.M.; Baharom, S.; Baghban, M.H.; Nehdi, M.L.; Faridmehr, I.; Huseien, G.F.; Algaifi, H.A.; Ismail, M. Systematic experimental assessment of POFA concrete incorporating waste tire rubber aggregate. Polymers 2022, 14, 2294. [Google Scholar] [CrossRef] [PubMed]
- Marchewka, A.; Ziolkowski, P.; García Galán, S. Real-time prediction of early concrete compressive strength using AI and hydration monitoring. Sci. Rep. 2025, 15, 15463. [Google Scholar]
- Kshirsagar, P.R.; Upreti, K.; Kushwah, V.S.; Hundekari, S.; Jain, D.; Pandey, A.K.; Parashar, J. Prediction and modeling of mechanical properties of concrete modified with ceramic waste using artificial neural network and regression model. Signal Image Video Process. 2024, 18, 183–197. [Google Scholar]
- Zanelli, C.; Conte, S.; Molinari, C.; Soldati, R.; Dondi, M. Waste recycling in ceramic tiles: A technological outlook. Resour. Conserv. Recycl. 2021, 168, 105289. [Google Scholar]
- Chang, Q.; Liu, L.; Farooqi, M.U.; Thomas, B.; Özkılıç, Y.O. Data-driven based estimation of waste-derived ceramic concrete from experimental results with its environmental assessment. J. Mater. Res. Technol. 2023, 24, 6348–6368. [Google Scholar]
- Joudah, Z.H.; Khalid, H.A.; Algaifi, H.A.; Mhaya, A.M.; Xiong, T.; Alsultani, R.; Huseien, G.F. Effects of Waste Glass Bottle Nanoparticles and High Volume of Waste Ceramic Tiles on Concrete Performance When Exposed to Elevated Temperatures: Experimental and Theoretical Evaluations. Fire 2024, 7, 426. [Google Scholar] [CrossRef]
- Suchithra, S.; Sowmiya, M.; Pavithran, T. Effect of ceramic tile waste on strength parameters of concrete-a review. Mater. Today Proc. 2022, 65, 975–982. [Google Scholar]
- Ahmad, J.; Alattyih, W.; Jebur, Y.M.; Alqurashi, M.; Garcia-Troncoso, N. A review on ceramic waste-based concrete: A step toward sustainable concrete. Rev. Adv. Mater. Sci. 2023, 62, 20230346. [Google Scholar]
- Gautam, L.; Jain, J.K.; Kalla, P.; Choudhary, S. A review on the utilization of ceramic waste in sustainable construction products. Mater. Today Proc. 2021, 43, 1884–1891. [Google Scholar]























| Refs | SiO2 | Al2O3 | Fe2O3 | CaO | MgO | Na2O | LOI | Other | SiO2 + Al2O3 | SiO2 + Al2O3 + Fe2O3 |
|---|---|---|---|---|---|---|---|---|---|---|
| [51] | 61.72 | 22.31 | 1.24 | 6.67 | 0.65 | 0.96 | 3.96 | 2.49 | 84.03 | 85.27 |
| [52] | 59.90 | 18.80 | 7.64 | 6.47 | 0.72 | 1.41 | 1.16 | 3.90 | 78.7 | 86.34 |
| [41] | 72.60 | 12.20 | 0.80 | 0.02 | 0.99 | 0.73 | 1.05 | 11.61 | 88.8 | 89.60 |
| [30] | 78.30 | 15.90 | 0.10 | 0.90 | - | 1.45 | 1.78 | 1.57 | 94.20 | 94.30 |
| [50] | 68.85 | 18.53 | 4.81 | 1.57 | 0.72 | 2.01 | 0.48 | 3.03 | 87.38 | 92.19 |
| [53] | 74.10 | 17.80 | 3.57 | 1.11 | - | 0.01 | 0.49 | 2.92 | 91.90 | 95.47 |
| [14] | 67.83 | 19.68 | 0.86 | 7.42 | 0.34 | 0.22 | 0.18 | 3.47 | 87.51 | 88.37 |
| [54] | 68.60 | 17.10 | 0.80 | 1.70 | 2.5 | 0.03 | 1.78 | 7.49 | 85.70 | 86.50 |
| [55] | 67.30 | 19.80 | 2.50 | 2.30 | - | 0.01 | 0.03 | 8.06 | 87.10 | 89.60 |
| [56] | 67.51 | 16.92 | 0.75 | 1.33 | - | 4.8 | 2.54 | 6.15 | 84.43 | 85.18 |
| [57] | 60.50 | 28.09 | 1.02 | 4.20 | 0.89 | - | 1.20 | 4.10 | 88.59 | 94.79 |
| [58] | 57.40 | 17.98 | 6.20 | 5.72 | 3.16 | 2.37 | - | 7.17 | 75.38 | 81.58 |
| [59] | 66.57 | 21.60 | 1.41 | 2.41 | 2.0 | 2.9 | - | 3.11 | 88.17 | 89.58 |
| [60] | 64.32 | 19.23 | 0.94 | 1.71 | 10.32 | - | - | 3.48 | 83.55 | 84.49 |
| [61] | 66.39 | 18.14 | 3.79 | 3.60 | - | - | - | 8.08 | 84.53 | 88.32 |
| [62] | 61.20 | 18.60 | 5.0 | 5.80 | 1.80 | - | 2.40 | 5.20 | 79.80 | 84.50 |
| [63] | 66.0 | 19.0 | 6.0 | 1.80 | 0.90 | 2.1 | 1.75 | 2.45 | 85.0 | 91.0 |
| Refs | Type of Replacement | Replacement Level | Slump | Discussion |
|---|---|---|---|---|
| [113] | Fine or coarse | 0, 20, 45, 100 | 121, 120, 118, 116 | Numerous studies have indicated that incorporating waste ceramic tiles as fine and/or coarse aggregates in both normal and self-compacting concrete tends to slightly reduce workability and decrease the slump values of the tested mixtures. The reduction in workability generally increases with higher replacement levels. A significant decline in workability is particularly evident when the replacement level reaches up to 50%. This reduction is primarily attributed to two factors. First, the high water absorption capacity of ceramic materials increases the water demand of the mixture, thereby lowering its workability. Second, the irregular shape of the ceramic aggregates, resulting from the crushing process, increases internal friction within the mix, further diminishing the workability of the concrete. |
| [114] | Fine or coarse | 0, 10, 20, 30 | 78, 75, 70, 67 | |
| [115] | Fine or coarse | 0, 15, 30, 45, 60 | 70, 58, 50, 43, 38 | |
| [19] | Fine or coarse | 0, 10, 20, 30, 40, 50, 100 | 190, 178, 161, 150, 142, 139, 119 | |
| [116] | Fine or coarse | 0, 20, 50, 100 | 18.2, 14.8, 19.4, 9.1 18.2, 18.4, 19.6, 23.6 | |
| [37] | Fine or coarse | 0, 15, 20, 30 | 50, 50, 40, 30 | |
| [117] | Fine or coarse | 0, 20, 40, 60, 80, 100 | 120, 118, 108, 100, 100, 90 | |
| [45] | Fine or coarse | 0, 10, 20, 30, 50, 100 | 60, 70, 80, 98, 90, 122 | |
| [118] | Fine or coarse | 0, 5, 10, 15, 20 | 52, 47, 43, 35, 30 | |
| [4] | Coarse aggregates | 0, 10, 20, 30, 40, 50 | 0.40: 10 to 0 0.50: 45, 40, 35, 30 0.60: 120, 115, 105, 100, 90, 85 | |
| [32] | Fine/Coarse aggregates | 0, 25, 50, 75, 100 | Fine: 118, 120, 117, 115, 112, 100 Coarse: 118, 115, 110, 90, 40 | |
| [119] | Fine aggregates | 0, 20, 40, 60, 80, 100 | 725, 710, 700, 682, 671, 664 | |
| [120] | Fine or/and coarse aggregates | 0, 10, 20, 30, 40, 50 | F: 36, 25, 26, 28, 30, 31 C:36, 22, 20, 17, 16, 15 FC: 36, 20, 22, 19, 18, 16 | |
| [101] | Coarse aggregates | 0, 25, 50, 75, 100 | Workability tends to decrease with the increase in ceramic coarse aggregates, and the T500 flow time increases from 4 to 4.2, 4.5, 5, and 5S. | |
| [121] | Coarse aggregates | 0, 20, 40, 60 | 73, 67, 64, 60 | |
| [112] | Fine aggregates | 0, 20, 40, 60, 80, 100 | 559, 518, 497.5, 472, 426, 398 |
| Beam Code | Reinforced Concrete Beams | |||||
|---|---|---|---|---|---|---|
| Control, 0% WCTs | 100% C-WCTs | 100% F-WCTs | 100% WCTAs | 40% WCTPs | ||
| WCTPs:F-WCTAs:C-WCTAs | 0:0:0 | 0:0:100 | 0:100:0 | 0:100:100 | 40:100:100 | |
| At first crack load | Load, kN | 14 | 10 | 14 | 14 | 12 |
| Deflection, mm | 3.67 | 2.97 | 3.04 | 2.69 | 3.01 | |
| At ultimate load | Load, kN | 47.6 | 44.9 | 45.8 | 47.1 | 45.7 |
| Deflection, mm | 28.46 | 21.67 | 20.55 | 17.52 | 16.12 | |
| Total number of cracks | 16 | 12 | 13 | 12 | 15 | |
| Correlation of first crack load to ultimate load, % | 29 | 22 | 31 | 30 | 26 | |
| Ultimate moment capacity, kN.m | 21.4 | 20.2 | 20.6 | 21.2 | 20.6 | |
| Theoretical moment capacity, kN.m | 13 | 13 | 13 | 13 | 13 | |
| Percentage compared to the control beam, expressed as a percentage | 100 | 94 | 96 | 99 | 96 | |
| Depth of neutral axis at first crack load, mm | 74 | 71 | 73 | 61 | 79 | |
| Depth of neutral axis at ultimate load, mm | 61 | 48 | 46 | 43 | 61 | |
Disclaimer/Publisher’s Note: The statements, opinions and data contained in all publications are solely those of the individual author(s) and contributor(s) and not of MDPI and/or the editor(s). MDPI and/or the editor(s) disclaim responsibility for any injury to people or property resulting from any ideas, methods, instructions or products referred to in the content. |
© 2025 by the authors. Licensee MDPI, Basel, Switzerland. This article is an open access article distributed under the terms and conditions of the Creative Commons Attribution (CC BY) license (https://creativecommons.org/licenses/by/4.0/).
Share and Cite
Huseien, G.F.; Joudah, Z.H.; Baghban, M.H.; A. Khalid, N.H.; Faridmehr, I.; Dong, K.; Li, Y.; Gu, X. Sustainability of Recycling Waste Ceramic Tiles in the Green Concrete Industry: A Comprehensive Review. Buildings 2025, 15, 2406. https://doi.org/10.3390/buildings15142406
Huseien GF, Joudah ZH, Baghban MH, A. Khalid NH, Faridmehr I, Dong K, Li Y, Gu X. Sustainability of Recycling Waste Ceramic Tiles in the Green Concrete Industry: A Comprehensive Review. Buildings. 2025; 15(14):2406. https://doi.org/10.3390/buildings15142406
Chicago/Turabian StyleHuseien, Ghasan Fahim, Zahraa Hussein Joudah, Mohammad Hajmohammadian Baghban, Nur Hafizah A. Khalid, Iman Faridmehr, Kaijun Dong, Yuping Li, and Xiaobin Gu. 2025. "Sustainability of Recycling Waste Ceramic Tiles in the Green Concrete Industry: A Comprehensive Review" Buildings 15, no. 14: 2406. https://doi.org/10.3390/buildings15142406
APA StyleHuseien, G. F., Joudah, Z. H., Baghban, M. H., A. Khalid, N. H., Faridmehr, I., Dong, K., Li, Y., & Gu, X. (2025). Sustainability of Recycling Waste Ceramic Tiles in the Green Concrete Industry: A Comprehensive Review. Buildings, 15(14), 2406. https://doi.org/10.3390/buildings15142406

