Experimental Study on Noise Reduction Performance of Vertical Sound Barrier in Elevated Rail Transit
Abstract
1. Introduction
2. Field Test
2.1. Overview of the Test Section
2.2. Test Plan
2.2.1. Arrangement of Test Measurement Points
2.2.2. Test Conditions
2.3. Test Equipment
3. Analysis of Test Results
3.1. Impact of Speed on Noise in Both Sections
3.1.1. Impact of Speed on Noise at the Section Without a Sound Barrier
3.1.2. Impact of Speed on Noise at the Section with a Vertical Sound Barrier
3.2. Analysis of Sound Source Characteristics in Both Sections
3.3. Analysis of Noise Reduction Effect of the Sound Barrier at Different Speeds
4. Conclusions
- (1)
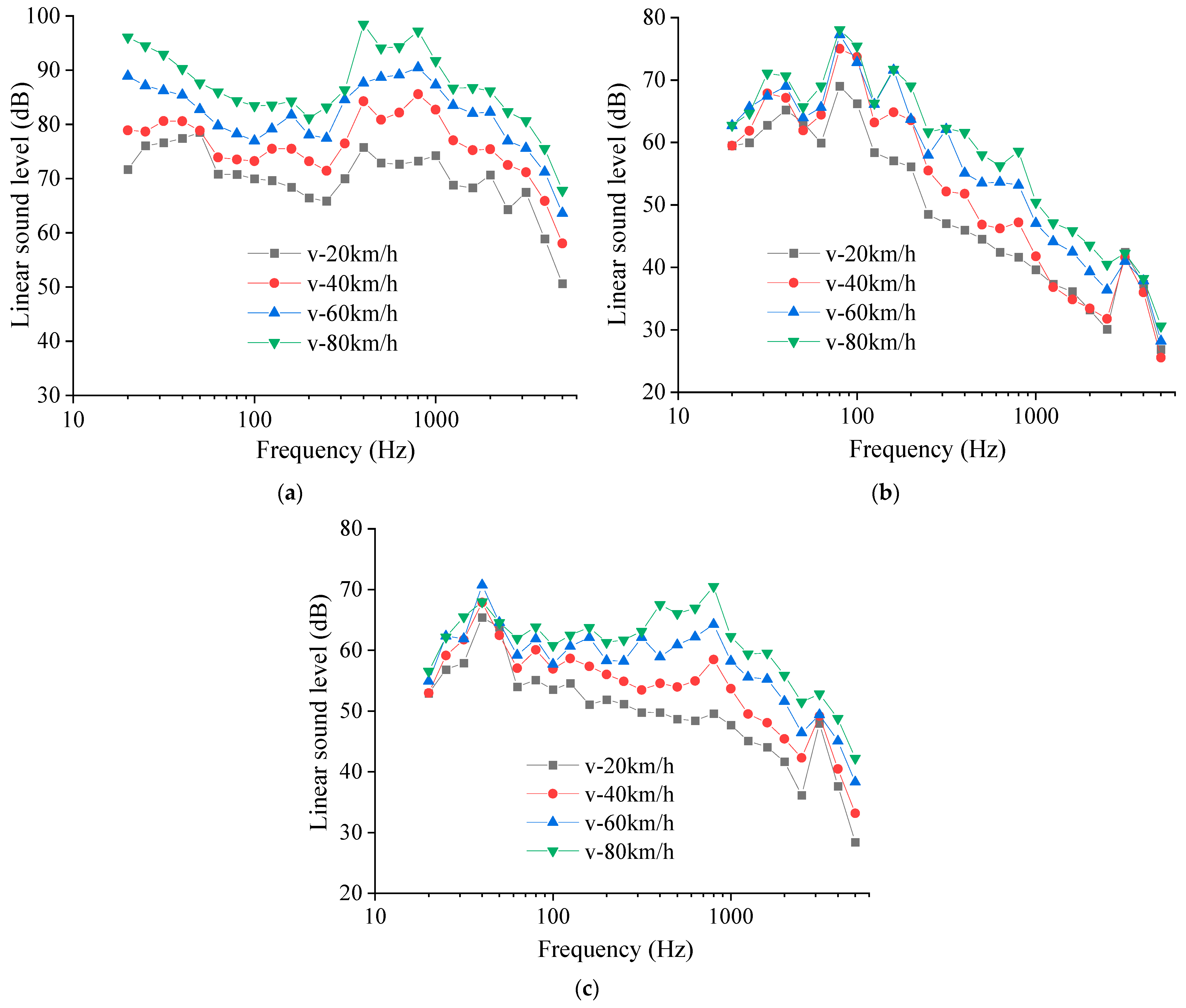
- Regardless of the presence of a vertical sound barrier, the peak frequency of the linear sound pressure level for the track-side noise measurement point N1 (N1’), which is significantly affected by wheel–rail noise, is in the mid-to-high frequency range. The peak frequency for the under-beam noise measurement point N5 (N5’), which is greatly influenced by bridge structural noise, is in the low-frequency range. The beam-side noise measurement point N8 (N8’), which is affected by both wheel–rail noise and secondary structural noise, has peak frequencies in both the mid-to-high and low-frequency ranges.
- (2)
- When train speed varies between 20 to 80 km/h under both sound barrier and non-barrier configurations, comparatively, the overall sound pressure levels at the track-side and bridge-side measurement points demonstrate stronger linear correlations with train speed than those observed at the under-bridge noise measurement points.
- (3)
- In the section without a sound barrier, for every 10 km/h increase in speed, the linear total sound pressure level at noise measurement points N1, N5, and N8 increases by approximately 2.3 dB, 1.3 dB, and 1.8 dB, respectively. In the section with a vertical sound barrier, for every 10 km/h increase in speed, the linear total sound pressure level at noise measurement points N1’, N5’, and N8’ increases by approximately 3.0 dB, 1.5 dB, and 1.6 dB, respectively.
- (4)
- The vertical sound barrier has an effective noise reduction effect on mid-to-high frequency noise, but there is an increase in noise in the low-frequency range between 20~63 Hz, possibly due to the self-vibration of the sound barrier caused by the train passing over the viaduct, which radiates some secondary structural noise.
- (5)
- At speeds of 20 km/h, 40 km/h, 60 km/h, and 80 km/h, the insertion loss at each noise measurement point located 7.5 m from the outer track centerline ranges from 6.5 to approximately 9.0 dB, 8.5 to 10.5 dB, 7.5 to 9.5 dB, and 7.5 to 10.2 dB, respectively. At 25 m from the outer track centerline, the insertion loss ranges from 1.5 to approximately 2.5 dB, 6.0 to 6.5 dB, 5.5 to 6.0 dB, and 5.0 to 6.0 dB, respectively.
- (6)
- The noise reduction performance of vertical sound barriers exhibits an initial increase, followed by a gradual decrease with rising train speeds, with the rate of decrease diminishing progressively. This phenomenon may be attributed to enhanced low-frequency structure-borne noise radiation induced by wheel–rail contact roughness excitation at elevated speeds, which partially offsets the effectiveness of high-frequency noise attenuation.
Author Contributions
Funding
Data Availability Statement
Conflicts of Interest
References
- Hou, X.F.; Feng, C.; Yan, H.M.; Zuo, C. Overview of urban rail transit operations in China’s mainland in 2024. Urban Rapid Rail Transit. 2025, 38, 13–19. [Google Scholar]
- Qiu, Y.; Zheng, B.K.; Jiang, B.L.; Jiang, S.; Zou, C. Effect of non-structural components on over-track building vibrations induced by train operations on concrete floor. Int. J. Struct. Stab. Dyn. 2025. [Google Scholar] [CrossRef]
- Zhang, X.Y.; Thompson, D.J.; Quaranta, E.; Squicciarini, G. An engineering model for the prediction of the sound radiation from a railway track. J. Sound Vib. 2019, 461, 114921. [Google Scholar] [CrossRef]
- Sheng, X.Z.; Cheng, G.; Thompson, D.J.; Ge, S. Research progress on wheel-rail noise prediction models. J. Traffic Transp. Eng. 2021, 21, 20–38. [Google Scholar]
- Zou, C.; Li, X.; He, C.; Zhou, S.H. An efficient method for estimating building dynamic response due to train operations in tunnel considering transmission path from source to receiver. Comput. Struct. 2024, 305, 107555. [Google Scholar] [CrossRef]
- Li, X.; Zheng, B.; Chen, Y.; Zou, C. A hybrid methodology for estimating train-induced rigid foundation building vibrations. Constr. Build. Mater. 2025, 460, 139852. [Google Scholar] [CrossRef]
- Tao, Z.; Zhang, D.; Tu, D.; He, L.; Zou, C. Prediction of train-induced ground-borne vibration transmission considering parametric uncertainties. Probabilistic Eng. Mech. 2025, 79, 103731. [Google Scholar] [CrossRef]
- Song, X.D.; Wu, D.J.; Li, Q.; Botteldooren, D. Structure-borne low-frequency noise from multi-span bridges: A prediction method and spatial distribution. J. Sound Vib. 2016, 367, 114–128. [Google Scholar] [CrossRef]
- He, Y.P.; Zhang, Y.; Yao, Y.Y.; He, Y.L.; Sheng, X.S. Review on the prediction and control of structural vibration and noise in buildings caused by rail transit. Buildings 2023, 13, 2310. [Google Scholar] [CrossRef]
- Shi, J.W.; Zhang, J.Y.; Li, T. Numerical investigation on aerodynamic noise source identification and far-field noise characteristics of the high-speed train bogie region. Acoust. Aust. 2024, 52, 375–391. [Google Scholar] [CrossRef]
- Wang, B.; Zhang, W.; Wang, F.; Zhao, Q.J.; Cao, C.K.; Gao, Y. Experimental investigation on aerodynamic and noise characteristics of Fenestron. Chin. J. Aeronaut. 2023, 36, 88–101. [Google Scholar] [CrossRef]
- Kang, H.M.; Kim, C.W.; Cho, T.H.; Kim, D.H.; Yoon, S.H.; Kwon, H.B. Investigation for the aerodynamic characteristics of high speed train pantograph with cover. J. Comput. Fluids Eng. 2012, 17, 18–24. [Google Scholar] [CrossRef]
- Li, R.P.; Zhou, N.; Zhang, W.H.; Mei, G.M.; Chen, Z.B. Calculation and analysis of pantograph aerodynamic uplift force. J. Chin. Railw. Soc. 2012, 34, 26–32. [Google Scholar]
- He, J.L.; Wang, Q.; Jiang, W.K. Analysis of the elevated urban rail transit noise. Urban Rail Transit Res. 2007, 10, 57–60. [Google Scholar] [CrossRef]
- Jin, J.Y.; Zhu, C.Y.; Wu, R.; Liu, Y.M.; Li, M. Comparative noise reduction effect of sound barrier based on statistical energy analysis. J. Comput. Methods Sci. Eng. 2021, 21, 737–745. [Google Scholar] [CrossRef]
- Lee, J.; Lee, H.; Kim, I. Reduction effects of shaped noise barrier by composition with adsorbed filter panel. Int. J. Smart Home 2016, 10, 193–202. [Google Scholar] [CrossRef]
- Kim, H.I.; Ahn, S.H.; Park, B.J.; Kim, S.G.; Lee, J.H.; Ko, J.H. The analysis of effect of surface shape and pattern of noise barrier panel on the noise reduction. J. Korean Soc. Environ. Eng. 2012, 34, 835–839. [Google Scholar] [CrossRef]
- Li, Q.T.; Liu, Y.; Luo, Y.Y. Noise reduction prediction of a fully-enclosed sound barrier in urban rail transit systems considering incoherence of sources. Tongji Daxue Xuebao/Tongji Univ. 2023, 51, 117–125. [Google Scholar]
- Wang, C.L.; Zhang, L.T.; Song, L.Z.; Wu, X.L. Predication and analysis of noise reduction of near-rail sound barriers on suburban railways. J. Noise Vib. Control. 2022, 42, 187–191+278. [Google Scholar]
- Xin, S.Y.; Zhang, S.F.; Wang, X.W. Design and research on noise reduction system of fully enclosed sound barrier for beijing-xiong’an intercity railway. Railw. Stand. Des. 2022, 66, 163–168. [Google Scholar]
- Li, X.Z.; Zhao, Q.C.; Zhang, X.; Yang, D.W. Field test and analysis of noise reduction performance of high-speed railway semi-closed sound barriers. J. Southwest Jiaotong Univ. 2018, 53, 661–669+755. [Google Scholar]
- Sun, W.J.; Liu, L.; Yuan, H.L.; Su, Q.P. Influence of top shape on noise reduction effect of high-speed railway noise barrier. IOP Conf. Ser. Mater. Sci. Eng. 2019, 493, 012043. [Google Scholar] [CrossRef]
- Sun, W.J.; Su, Q.P.; Yuan, H.L. Analysis of influencing factors on noise reduction effect of high-speed railway sound barrier. IOP Conf. Ser. Mater. Sci. Eng. 2019, 493, 012042. [Google Scholar] [CrossRef]
- Jung, S.S.; Kim, Y.T.; Cheong, C.U.; Kim, H.C.; Lee, W.S. Noise barrier with top cylindrical tubes. J. Korean Phys. Soc. 2006, 49, 145–149. [Google Scholar]
- Zhang, X.; Liu, R.; Cao, Z.Y.; Wang, X.Y.; Li, X.Z. Acoustic performance of a semi-closed noise barrier installed on a high-speed railway bridge: Measurement and analysis considering actual service conditions. Measurement 2019, 138, 386–399. [Google Scholar] [CrossRef]
- Liu, Y.; Yang, B.; Zhang, P.X.; Zhong, F.Z.; Dong, X.H.; Sun, Y.H. Test and Analysis of Noise Reduction Effect for Different Heights and Distances of Sound Barrier. J. Adv. Mater. Res. 2011, 1269, 4447–4450. [Google Scholar] [CrossRef]
- Song, X.D.; Li, Q. Numerical and experimental study on noise reduction of concrete LRT bridges. Sci. Total Environ. 2018, 643, 208–224. [Google Scholar] [CrossRef]
- ISO 3095: 2013; Railway Applications-Acoustics-Measurement of Noise Emitted by Railbound Vehicles. International Organization for Standardization: Geneva, Switzerland, 2013.














| Section | Measurement Point Number | Total Sound Pressure Level (dB) |
|---|---|---|
| Section Without a Sound Barrier | N1 | 101.58 |
| N2 | 101.21 | |
| N3 | 100.92 | |
| N5 | 97.97 | |
| N6 | 91.13 | |
| Section with a Vertical Sound Barrier | N1’ | 105.24 |
| N2’ | 103.99 | |
| N3’ | 104.00 | |
| N5’ | 82.40 | |
| N6’ | 80.93 |
Disclaimer/Publisher’s Note: The statements, opinions and data contained in all publications are solely those of the individual author(s) and contributor(s) and not of MDPI and/or the editor(s). MDPI and/or the editor(s) disclaim responsibility for any injury to people or property resulting from any ideas, methods, instructions or products referred to in the content. |
© 2025 by the authors. Licensee MDPI, Basel, Switzerland. This article is an open access article distributed under the terms and conditions of the Creative Commons Attribution (CC BY) license (https://creativecommons.org/licenses/by/4.0/).
Share and Cite
Song, L.; Zhang, Y.; Liu, Q.; Luo, Y.; Bi, R. Experimental Study on Noise Reduction Performance of Vertical Sound Barrier in Elevated Rail Transit. Buildings 2025, 15, 1621. https://doi.org/10.3390/buildings15101621
Song L, Zhang Y, Liu Q, Luo Y, Bi R. Experimental Study on Noise Reduction Performance of Vertical Sound Barrier in Elevated Rail Transit. Buildings. 2025; 15(10):1621. https://doi.org/10.3390/buildings15101621
Chicago/Turabian StyleSong, Lizhong, Yisheng Zhang, Quanmin Liu, Yunke Luo, and Ran Bi. 2025. "Experimental Study on Noise Reduction Performance of Vertical Sound Barrier in Elevated Rail Transit" Buildings 15, no. 10: 1621. https://doi.org/10.3390/buildings15101621
APA StyleSong, L., Zhang, Y., Liu, Q., Luo, Y., & Bi, R. (2025). Experimental Study on Noise Reduction Performance of Vertical Sound Barrier in Elevated Rail Transit. Buildings, 15(10), 1621. https://doi.org/10.3390/buildings15101621

