The Domestic Acoustic Environment in Online Education—Part 1: Differences by Gender, Perceived Academic Quality, and Self-Rated Performance
Abstract
1. Introduction
2. Materials and Methods
2.1. Online Survey Campaign, and Study Dataset
2.2. Statistical Analysis Dissertation
3. Results
3.1. Descriptive Analysis
3.2. Statistical Data Analysis
3.2.1. Hypothesis HY1: Results
3.2.2. Hypothesis HY2: Results
3.2.3. Hypothesis HY3: Results
4. Discussion
4.1. Hypothesis HY1: Discussion
4.2. Hypothesis HY2: Discussion
4.3. Hypothesis HY3: Discussion
4.4. Research Limitations and Future Lines of Research
5. Conclusions
Supplementary Materials
Author Contributions
Funding
Institutional Review Board Statement
Informed Consent Statement
Data Availability Statement
Acknowledgments
Conflicts of Interest
References
- Lockee, B.B. Online Education in the Post-COVID Era. Nat. Electron. 2021, 4, 5–6. [Google Scholar] [CrossRef]
- Lemay, D.J.; Bazelais, P.; Doleck, T. Transition to Onine Learning during the COVID-19 Pandemic. Comput. Hum. Behav. Rep. J. 2020, 4, 100130. [Google Scholar]
- Aristovnik, A.; Karampelas, K.; Umek, L.; Ravšelj, D. Impact of the COVID-19 Pandemic on Online Learning in Higher Education: A Bibliometric Analysis. Front. Educ. 2023, 8, 1225834. [Google Scholar] [CrossRef]
- Umek, L.; Aristovnik, A.; Tomaževič, N.; Keržič, D. Analysis of Selected Aspects of Students Performance and Satisfaction in a Moodle-Based e-Learning System Environment. Eurasia J. Math. Sci. Technol. Educ. 2015, 11, 1495–1505. [Google Scholar] [CrossRef]
- Chun, B.A.; Heo, H.J. The Effect of Flipped Learning on Academic Performance as an Innovative Method for Overcoming Ebbinghaus’ Forgetting Curve. In Proceedings of the 6th International Conference on Information and Education Technology, Osaka, Japan, 6–8 January 2018; ACM International Conference Proceeding Series. Association for Computing Machinery: New York, NY, USA, 2018; pp. 56–60. [Google Scholar] [CrossRef]
- Kumi-Yeboah, A. Designing a Cross-Cultural Collaborative Online Learning Framework for Online Instructors. Online Learn. J. 2018, 22, 181–201. [Google Scholar] [CrossRef]
- Soffer, T.; Kahan, T.; Nachmias, R. Patterns of Students’ Utilization of Flexibility in Online Academic Courses and Their Relation to Course Achievement. Int. Rev. Res. Open Distance Learn. 2019, 20, 202–220. [Google Scholar] [CrossRef]
- Rajabalee, B.Y.; Santally, M.I.; Rennie, F. A Study of the Relationship between Students’ Engagement and Their Academic Performances in an ELearning Environment. E-Learn. Digit. Media 2020, 17, 1–20. [Google Scholar] [CrossRef]
- Martin, F.; Borup, J. Online Learner Engagement: Conceptual Definitions, Research Themes, and Supportive Practices. Educ. Psychol. 2022, 57, 162–177. [Google Scholar] [CrossRef]
- Shaw, L.; Macisaac, J.; Singleton-Jackson, J. The Efficacy of an Online Cognitive Assessment Tool for Enhancing and Improving Student Academic Outcomes. Online Learn. J. 2019, 23, 124–144. [Google Scholar] [CrossRef]
- Heil, J.; Ifenthaler, D. Online Assessment in Higher Education: A Systematic Review. Online Learn. J. 2023, 27, 187–218. [Google Scholar] [CrossRef]
- Akhter, H.; Mahmood, M. Study of the Impact of Online Education on Student’s Learning at University Level in Pakistan Humaira. Int. J. Distance Educ. E-Learn. 2018, 3. [Google Scholar] [CrossRef]
- Zhang, J.-H.; Zou, L.; Miao, J.; Zhang, Y.-X.; Hwang, G.-J.; Zhu, Y. An Individualized Intervention Approach to Improving University Students’ Learning Performance and Interactive Behaviors in a Blended Learning Environment. Interact. Learn. Environ. 2020, 28, 231–245. [Google Scholar] [CrossRef]
- Bir, D.D. Comparison of Academic Performance of Students in Online Vs Traditional Engineering Course. Eur. J. Open Distance E-Learn. 2019, 22, 1–13. [Google Scholar] [CrossRef]
- Payne, S.C.; Horner, M.T.; Boswell, W.R.; Schroeder, A.N.; Stine-Cheyne, K.J. Comparison of Online and Traditional Performance Appraisal Systems. J. Manag. Psychol. 2009, 24, 526–544. [Google Scholar] [CrossRef]
- Shah, S.A.; Iqbal, M.; Hasan, A.M.M.M.; Gul, A.; Haider, M.M.; Naeem, I. Comparing the Impact of Online Learning Platforms and Traditional Classroom Settings on Student Performance and Satisfaction. Glob. Educ. Stud. Rev. 2023, VIII, 343–354. [Google Scholar] [CrossRef]
- González-Gómez, D.; Jeong, J.S.; Airado Rodríguez, D.; Cañada-Cañada, F. Performance and Perception in the Flipped Learning Model: An Initial Approach to Evaluate the Effectiveness of a New Teaching Methodology in a General Science Classroom. J. Sci. Educ. Technol. 2016, 25, 450–459. [Google Scholar] [CrossRef]
- Pei, L.; Wu, H. Does Online Learning Work Better than Offline Learning in Undergraduate Medical Education? A Systematic Review and Meta-Analysis. Med. Educ. Online 2019, 24, 1666538. [Google Scholar] [CrossRef]
- Lockman, A.S.; Schirmer, B.R. Online Instruction in Higher Education: Promising, Research-Based, and Evidence Based Practices 3. Themes in the Research Literature on Online Learning. J. Educ. E-Learn. Res. 2020, 7, 130–152. [Google Scholar] [CrossRef]
- Comas-Forgas, R.; Lancaster, T.; Calvo-Sastre, A.; Sureda-Negre, J. Exam Cheating and Academic Integrity Breaches during the COVID-19 Pandemic: An Analysis of Internet Search Activity in Spain. Heliyon 2021, 7, e08233. [Google Scholar] [CrossRef]
- Eaton, S.E.; Turner, K.L. Exploring Academic Integrity and Mental Health during COVID-19: Rapid Review. J. Contemp. Educ. Theory Res. 2020, 4, 35–41. [Google Scholar]
- Yeh, H.C.; Lai, P.Y. Implementing Online Question Generation to Foster Reading Comprehension. Australas. J. Educ. Technol. 2012, 28, 1152–1175. [Google Scholar] [CrossRef]
- Stallman, H.M. Psychological Distress in University Students: A Comparison with General Population Data. Aust. Psychol. 2010, 45, 249–257. [Google Scholar] [CrossRef]
- Vishwakarma, A.; Tyagi, N. Strategies for Promoting Self-Regulation in Online Learning Environment: An Analytical Review. J. Posit. Sch. Psychol. 2023, 2022, 4258–4271. [Google Scholar]
- Lin, C.-H.; Zhang, Y.; Zheng, B. The Roles of Learning Strategies and Motivation in Online Language Learning: A Structural Equation Modeling Analysis. Comput. Educ. 2017, 113, 75–85. [Google Scholar] [CrossRef]
- Cabrejas, M.M.; Mendoza, R.O. College Students’ Engagement and Self-Regulated Learning Strategies: Its Influence to The Academic Performance in The Flexible Learning Modality. Br. J. Multidiscip. Adv. Stud. 2023, 4, 73–84. [Google Scholar] [CrossRef]
- Li, K. MOOC Learners’ Demographics, Self-Regulated Learning Strategy, Perceived Learning and Satisfaction: A Structural Equation Modeling Approach. Comput. Educ. 2019, 132, 16–30. [Google Scholar] [CrossRef]
- Rizvi, S.; Rienties, B.; Khoja, S.A. The Role of Demographics in Online Learning; A Decision Tree Based Approach. Comput. Educ. 2019, 137, 32–47. [Google Scholar] [CrossRef]
- Hongell-Ekholm, N.; Londen, M.; Fagerlund, Å. Supporting Adolescents’ Personal Growth and Well-Being through the Study with Strength Intervention. Cogent Educ. 2024, 11, 2298596. [Google Scholar] [CrossRef]
- Panigrahi, R.; Srivastava, P.R.; Sharma, D. Online Learning: Adoption, Continuance, and Learning Outcome—A Review of Literature. Int. J. Inf. Manag. 2018, 43, 1–14. [Google Scholar] [CrossRef]
- Jackson, D. The Relationship between Student Employment, Employability-Building Activities and Graduate Outcomes. J. Furth. High. Educ. 2024, 48, 14–30. [Google Scholar] [CrossRef]
- Wei, H.-C.; Chou, C. Online Learning Performance and Satisfaction: Do Perceptions and Readiness Matter? Distance Educ. 2020, 41, 48–69. [Google Scholar] [CrossRef]
- Yokoyama, S. Academic Self-Efficacy and Academic Performance in Online Learning: A Mini Review. Front. Psychol. 2019, 9, 2794. [Google Scholar] [CrossRef]
- Ojo, A.O.; Ravichander, S.; Tan, C.N.-L.; Anthonysamy, L.; Arasanmi, C.N. Investigating Student’s Motivation and Online Learning Engagement through the Lens of Self-Determination Theory. J. Appl. Res. High. Educ. 2024. ahead-of-print. [Google Scholar] [CrossRef]
- Biasi, V.; De Vincenzo, C.; Patrizi, N. Cognitive Strategies, Motivation to Learning, Levels of Wellbeing and Risk of Drop-out: An Empirical Longitudinal Study for Qualifying Ongoing University Guidance Services. J. Educ. Soc. Res. 2018, 8, 79–91. [Google Scholar] [CrossRef]
- Gill, D.L. Gender and Cultural Diversity in Sport, Exercise, and Performance; Oxford Research Encyclopedia of Psychology: New York, NY, USA, 2017. [Google Scholar] [CrossRef]
- Frederickson, N.; Petrides, K.V. Ethnic, Gender, and Socio-Economic Group Differences in Academic Performance and Secondary School Selection: A Longitudinal Analysis. Learn. Individ. Differ. 2008, 18, 144–151. [Google Scholar] [CrossRef]
- Mohammad, A.; Darvishi, E.; Rodrigues, M.A.; Sayehmiri, K. Gender Differences in Cognitive Performance and Psychophysiological Responses during Noise Exposure and Different Workloads. Appl. Acoust. 2022, 189, 108602. [Google Scholar] [CrossRef]
- Sneider, J.T.; Silveri, M.M. Women versus Men: A Critical Comparison for Understanding the Neurobiology of Memory. Cogn. Neurosci. 2021, 12, 182–184. [Google Scholar] [CrossRef] [PubMed]
- Barbulescu, R.; Bidwell, M. Do Women Choose Different Jobs from Men? Mechanisms of Application Segregation in the Market for Managerial Workers. Organ. Sci. 2013, 24, 737–756. [Google Scholar] [CrossRef]
- Downing, K.; Chan, S.W.; Kwong, T.; Lam, T.F.; Downing, W.K. Measuring Gender Differences in Cognitive Functioning. Multicult. Educ. Technol. J. 2008, 2, 4–18. [Google Scholar] [CrossRef]
- Thompson, R.; Smith, R.B.; Bou Karim, Y.; Shen, C.; Drummond, K.; Teng, C.; Toledano, M.B. Noise Pollution and Human Cognition: An Updated Systematic Review and Meta-Analysis of Recent Evidence. Environ. Int. 2022, 158, 106905. [Google Scholar] [CrossRef]
- Doctora, A.L.S.; Perez, W.D.D.; Vasquez, A.B.; Gumasing, M.J.J. Relationship of Noise Level to the Mental Fatigue Level of Students: A Case Study during Online Classes. In Proceedings of the International Conference on Industrial Engineering and Operations Management, Rome, Italy, 2–5 August 2021; pp. 1378–1386. [Google Scholar]
- Puyana-Romero, V.; Díaz-Marquez, Á.M.; Ciaburro, G.; Hernandez-Molina, R. The Acoustic Environment and University Students’ Satisfaction with the Online Education Method during the COVID-19 Lockdown. Int. J. Envrionmental Res. Public Health 2023, 20, 709. [Google Scholar] [CrossRef]
- Puyana-Romero, V.; Larrea-Álvarez, C.M.; Díaz-Márquez, A.M.; Hernández-Molina, R.; Ciaburro, G. Developing a Model to Predict Self-Reported Student Performance during Online Education Based on the Acoustic Environment. Sustainability 2024, 16, 4411. [Google Scholar] [CrossRef]
- Ahmed, S.K. How to Choose a Sampling Technique and Determine Sample Size for Research: A Simplified Guide for Researchers. Oral Oncol. Rep. 2024, 12, 100662. [Google Scholar] [CrossRef]
- Wayne, W.; Daniel, C.L.C. Biostatistics: A Foundation for Analysis in the Health Sciences, 11th ed.; Wiley: Hoboken, NJ, USA, 2018. [Google Scholar]
- de Albuquerque Araújo, L.; Álvarez, H.A.J.; Palomo, G.I.; Bustamante, U.M.A. Ventajas Del Uso Del Coeficiente de Omega de McDonald Frente Al Alfa de de Cronbach. Nutr. Hosp. 2019, 36, 805–812. [Google Scholar] [CrossRef] [PubMed]
- Trizano-Hermosilla, I.; Alvarado, J.M. Best Alternatives to Cronbach’s Alpha Reliability in Realistic Conditions: Congeneric and Asymmetrical Measurements. Front. Psychol. 2016, 7, 769. [Google Scholar] [CrossRef] [PubMed]
- Ravinder, E.B.; Saraswathi, A.B. Literature Review Of Cronbachalphacoefficient (A) And Mcdonald’s Omega Coefficient (Ω). Eur. J. Mol. Clin. Med. 2020, 7, 2943–2949. [Google Scholar] [CrossRef]
- Shrout, P.E. Measurement Reliability and Agreement in Psychiatry. Stat. Methods Med. Res. 1998, 7, 301–317. [Google Scholar] [CrossRef]
- Lydersen, S. Adjustment of p Values for Multiple Hypotheses: Why, When and How. Ann. Rheum. Dis. 2024, 1254–1255. [Google Scholar] [CrossRef] [PubMed]
- Chen, S.Y.; Feng, Z.; Yi, X. A General Introduction to Adjustment for Multiple Comparisons. J. Thorac. Dis. 2017, 9, 1725–1729. [Google Scholar] [CrossRef] [PubMed]
- Vickers, A.J. Parametric versus Non-Parametric Statistics in the Analysis of Randomized Trials with Non-Normally Distributed Data. BMC Med. Res. Methodol. 2005, 5, 35. [Google Scholar] [CrossRef] [PubMed]
- Campbell, M.J. Study Design and Choosing a Statistical Test. In Statistics at Square One; John Wiley & Sons Ltd.: Hoboken, NJ, USA, 2021; pp. 215–226. [Google Scholar] [CrossRef]
- Kim, T.K.; Park, J.H. More about the Basic Assumptions of T-Test: Normality and Sample Size. Korean J. Anesthesiol. 2019, 72, 331–335. [Google Scholar] [CrossRef] [PubMed]
- Kuzon, W.M.; Urbanchek, M.G.; McCabe, S. The Seven Deadly Sins of Statistical Analysis. Ann. Plast. Surg. 1996, 37, 265–272. [Google Scholar] [CrossRef] [PubMed]
- Norman, G. Likert Scales, Levels of Measurement and the “Laws” of Statistics. Adv. Health Sci. Educ. 2010, 15, 625–632. [Google Scholar] [CrossRef]
- Knief, U.; Forstmeier, W. Violating the Normality Assumption May Be the Lesser of Two Evils. Behav. Res. Methods 2021, 53, 2576–2590. [Google Scholar] [CrossRef]
- Boneau, C.A. The Effects of Violations of Assumptions Underlying the t Test. Psychol. Bull. 1960, 57, 49–64. [Google Scholar] [CrossRef]
- Dunlap, H.F. An Empirical Determination of the Distribution of Means, Standard Deviations and Correlation Coefficients Drawn from Rectangular Populations. Ann. Math. Stat. 1931, 2, 66–81. [Google Scholar] [CrossRef]
- Pearson, E.S. The Analysis of Variance in Cases of Non-Normal Variation. Biometrika 1931, 23, 114. [Google Scholar] [CrossRef]
- Suissa, S. Binary Methods for Continuous Outcomes: A Parametric Alternative. J. Clin. Epidemiol. 1991, 44, 241–248. [Google Scholar] [CrossRef]
- Hunter, J.E.; Schmidt, F.L. Dichotomization of Continuous Variables: The Implications for Meta-Analysis. J. Appl. Psychol. 1990, 75, 334–349. [Google Scholar] [CrossRef]
- Havlicek, L.L.; Peterson, N.L. Robustness of the Pearson Correlation against Violations of Assumptions. Percept. Mot. Ski. 1976, 43, 1319–1334. [Google Scholar] [CrossRef]
- Gaito, J. Measurement Scales and Statistics: Resurgence of an Old Misconception. Psychol. Bull. 1980, 87, 564–567. [Google Scholar] [CrossRef]
- Carifio, J.; Perla, R.J. Ten Common Misunderstandings, Misconceptions, Persistent Myths and Urban Legends about Likert Scales and Likert Response Formats and Their Antidotes. J. Soc. Sci. 2007, 3, 106–116. [Google Scholar] [CrossRef]
- Carifio, J.; Perla, R. Resolving the 50-Year Debate around Using and Misusing Likert Scales. Med. Educ. 2008, 42, 1150–1152. [Google Scholar] [CrossRef] [PubMed]
- Rosenthal, R. Parametric Measures of Effect Size. In The Handbook of Research Synthesis; Russell Sage Foundation: New York, NY, USA, 1994; pp. 231–244. [Google Scholar]
- Fritz, C.O.; Morris, P.E.; Richler, J.J. Effect Size Estimates: Current Use, Calculations, and Interpretation. J. Exp. Psychol. Gen. 2012, 141, 2–18. [Google Scholar] [CrossRef] [PubMed]
- Coolican, H. Research Methods and Statistics in Psychology, 6th ed.; Psychology Press: Hove, UK, 2014. [Google Scholar] [CrossRef]
- Parker, R.I.; Hagan-Burke, S. Useful Effect Size Interpretations for Single Case Research. Behav. Ther. 2007, 38, 95–105. [Google Scholar] [CrossRef] [PubMed]
- Cohen, J. Statistical Power Analysis for the Behavioral Sciences, 2nd ed.; Routledge: New York, NY, USA, 1988. [Google Scholar] [CrossRef]
- Heričko, T.; Šumak, B. Exploring Maintainability Index Variants for Software Maintainability Measurement in Object-Oriented Systems. Appl. Sci. 2023, 13, 2972. [Google Scholar] [CrossRef]
- Kerby, D.S. The Simple Difference Formula: An Approach to Teaching Nonparametric Correlation. Compr. Psychol. 2014, 3, 11.IT.3.1. [Google Scholar] [CrossRef]
- Ben-Shachar, M.S.; Makowski, D.; Lüdecke, D.; Patil, I.; Wiernik, B.M.; Thériault, R.; Kelley, K.; Burnett, J.; Waggoner, P. Package ‘Effectsize’. 2024. Available online: https://cran.r-project.org/web/packages/effectsize/effectsize.pdf (accessed on 26 October 2024).
- Funder, D.C.; Ozer, D.J. Evaluating Effect Size in Psychological Research: Sense and Nonsense. Adv. Methods Pract. Psychol. Sci. 2019, 2, 156–168. [Google Scholar] [CrossRef]
- Lovakov, A.; Agadullina, E.R. Empirically Derived Guidelines for Effect Size Interpretation in Social Psychology. Eur. J. Soc. Psychol. 2021, 51, 485–504. [Google Scholar] [CrossRef]
- Gibbons, J.D.; Pratt, J.W. P-Values: Interpretation and Methodology. Am. Stat. 2012, 29, 37–41. [Google Scholar]
- Berger, J.O.; Sellke, T. Testing a Point Null Hypothesis: The Irreconcilability of P Values and Evidence. J. Am. Stat. Assoc. 1987, 82, 112–122. [Google Scholar] [CrossRef]
- Sellke, T.; Bayarri, M.J.; Berger, J.O. Calibration of p Values for Testing Precise Null Hypotheses. Am. Stat. 2001, 55, 62–71. [Google Scholar] [CrossRef]
- Delampady, M. Lower Bounds on Bayes Factors for Interval Null Hypotheses. J. Am. Stat. Assoc. 1989, 84, 120–124. [Google Scholar] [CrossRef]
- Delapady, M.; Berger, J.O. Lower Bounds of Bayes Factors for Multinomial Distributions, with Applications to Chi-Squared Tests of Fit. Ann. Stat. 1980, 8, 1295–1316. [Google Scholar]
- Wasserstein, R.L.; Lazar, N.A. The ASA’s Statement on p-Values: Context, Process, and Purpose. Am. Stat. 2016, 70, 129–133. [Google Scholar] [CrossRef]
- ISO/12913-3; 2019 Acoustics—Soundscape, Part 3: Data Anaysis. International Organization for Standardization: Geneva, Switzerland, 2019; pp. 1–22.
- Bayesian Independent-Sample Inference-IBM Documentation. Available online: https://www.ibm.com/docs/no/spss-statistics/saas?topic=statistics-bayesian-independent-sample-inference (accessed on 26 October 2024).
- Lee, M.D.; Wagenmakers, E.J. Bayesian Cognitive Modeling: A Practical Course; Cambridge University Press: Cambridge, UK, 2013; pp. 1–264. [Google Scholar] [CrossRef]
- Robert, C.P.; Chopin, N.; Rousseau, J. Harold Jeffreys’ Theory of Probability Revisited. Int. Soc. Bayesian Anal. 2008, 24, 141–172. [Google Scholar]
- Edwards, W.; Lindman, H.; Savage, L.J. Bayesian Statistical Inference for Psychological Research. Psychol. Rev. 1963, 70, 193–242. [Google Scholar] [CrossRef]
- Sample Size Calculator. Available online: https://www.calculator.net/sample-size-calculator.html?type=2&cl2=95&ss2=2477&pc2=50&ps2=16727&x=Calculate#findci (accessed on 26 October 2024).
- King, A.P.; Eckersley, R.J. Chapter 6-Inferential Statistics III: Nonparametric Hypothesis Testing. In Statistics for Biomedical Engineers and Scientists How to Visualize and Analyze Data; King, A.P., Eckersley, R.J., Eds.; Academic Press: Cambridge, MA, USA, 2019; pp. 119–145. [Google Scholar] [CrossRef]
- Webb, L.R. Mostly Harmless Statistics; Portland State University Library: Portland, OR, USA, 2023. [Google Scholar]
- Alfonso, G.P. La Interpretación de Los Datos. Una Introducción a La Estadística Aplicada; Primera, Ed.; UNED: Madrid, Spain, 2014. [Google Scholar]
- Abelson, R.P. A Variance Explanation Paradox. When a Little Is a Lot. Psychol. Bull. 1985, 97, 129–133. [Google Scholar] [CrossRef]
- Teuber, M.; Leyhr, D.; Sudeck, G. Physical Activity Improves Stress Load, Recovery, and Academic Performance-Related Parameters among University Students: A Longitudinal Study on Daily Level. BMC Public Health 2024, 24, 598. [Google Scholar] [CrossRef] [PubMed]
- Azpiazu, L.; Antonio-Aguirre, I.; Izar-de-la-Funte, I.; Fernández-Lasarte, O. School Adjustment in Adolescence Explained by Social Support, Resilience and Positive Affect. Eur. J. Psychol. Educ. 2024, 39, 3709–3728. [Google Scholar] [CrossRef]
- Odermatt, S.D.; Weidmann, R.; Schweizer, F.; Grob, A. Academic Performance through Multiple Lenses: Intelligence, Conscientiousness, and Achievement Striving Motivation as Differential Predictors of Objective and Subjective Measures of Academic Achievement in Two Studies of Adolescents. J. Res. Pers. 2024, 109, 104461. [Google Scholar] [CrossRef]
- Ahmed, A.; Rashidi, M.Z. Predicting Perceived Academic Performance through Interplay of Self-Efficacy and Trait Emotional Intelligence. Glob. Manag. J. Acad. Corp. Stud. 2017, 6, 152–161. [Google Scholar]
- Torresin, S.; Albatici, R.; Aletta, F.; Babich, F.; Oberman, T. Indoor Soundscapes at Home during the COVID-19 Lockdown in London—Part I: Associations between the Perception of the Acoustic Environment, Occupantś Activity and Well-Being. Appl. Acoust. 2021, 183, 108305. [Google Scholar] [CrossRef]
- Hygge, S.; Boman, E.; Enmarker, I. The Effects of Road Traffic Noise and Meaningful Irrelevant Speech on Different Memory Systems. Scand. J. Psychol. 2003, 44, 13–21. [Google Scholar] [CrossRef] [PubMed]
- Oswald, C.J.P.; Tremblay, S.; Jones, D.M. Disruption of Comprehension by the Meaning of Irrelevant Sound. Memory 2000, 8, 345–350. [Google Scholar] [CrossRef]
- Liu, H.; He, H.; Qin, J. Does Background Sounds Distort Concentration and Verbal Reasoning Performance in Open-Plan Office? Appl. Acoust. 2021, 172, 107577. [Google Scholar] [CrossRef]
- Martellotta, F.; Della, C.S.; Simone, A. Laboratory Study on the Effects of Office Noise on Mental Performance. Proc. Forum. Acust. 2011, 1637–1642. [Google Scholar] [CrossRef]
- Sorqvist, P.; Halin, N.; Hygge, S. Individual Differences in Susceptibility to the Effects of Speech on Reading Comprehension. Appl. Cogn. Psychol. 2010, 24, 877–895. [Google Scholar] [CrossRef]
- Sörqvist, P.; Nöstl, A.; Halin, N. Disruption of Writing Processes by the Semanticity of Background Speech. Scand. J. Psychol. 2012, 53, 97–102. [Google Scholar] [CrossRef] [PubMed]
- Shield, B.M.; Dockrell, J.E. The Effects of Environmental and Classroom Noise on the Academic Attainments of Primary School Children. J. Acoust. Soc. Am. 2008, 123, 133–144. [Google Scholar] [CrossRef] [PubMed]
- Caviola, S.; Visentin, C.; Borella, E.; Mammarella, I.; Prodi, N. Out of the Noise: Effects of Sound Environment on Maths Performance in Middle-School Students. J. Environ. Psychol. 2021, 73, 101552. [Google Scholar] [CrossRef]
- Zhang, D.; Tenpierik, M.; Bluyssen, P.M. Interaction Effect of Background Sound Type and Sound Pressure Level on Children of Primary Schools in the Netherlands. Appl. Acoust. 2019, 154, 161–169. [Google Scholar] [CrossRef]
- Meng, Q.; Kang, J. Effect of Sound-Related Activities on Human Behaviours and Acoustic Comfort in Urban Open Spaces. Sci. Total Environ. 2016, 573, 481–493. [Google Scholar] [CrossRef]
- Chen, K.; Kang, J.; Ma, H. Effects of Sound-Source Characteristics and Personal Factors on the Perceived Controllability of Indoor Acoustic Environments in High-Rise Multi-Unit Residences. Build. Environ. 2024, 264, 111935. [Google Scholar] [CrossRef]
- Chen, K.; Kang, J.; Ma, H. Evaluation of Healthy Indoor Acoustic Environments in Residential Buildings by the Occupants: A Mixed-Method Approach. Build. Environ. 2023, 246, 110950. [Google Scholar] [CrossRef]
- Beheshti, M.H.; Taban, E.; Samaei, S.E.; Faridan, M.; Khajehnasiri, F.; Khaveh, L.T.; Jebeli, M.B.; Mehri, A.; Tajpoor, A. The Influence of Personality Traits and Gender on Noise Annoyance in Laboratory Studies. Pers. Individ. Dif. 2019, 148, 95–100. [Google Scholar] [CrossRef]
- Mohammad, A.; Darvishi, E.; Sayehmiri, K. Exploring Gender Differences in Acoustic-Thermal Comfort and Performance in a Simulated Working Environment. Build. Environ. 2024, 265, 111995. [Google Scholar] [CrossRef]
- Psomas, T.; Sullivan, P.O.; Kolias, P.; Donovan, A.O.; Wargocki, P. Gender Differences in the Perception of the Indoor Environment: Findings from Residential Buildings in a Nordic Climate. Indoor Environ. 2024, 1, 100052. [Google Scholar] [CrossRef]
- Unterhalter, E.; Longlands, H.; Peppin Vaughan, R. Gender and Intersecting Inequalities in Education: Reflections on a Framework for Measurement. J. Hum. Dev. Capab. 2022, 23, 509–538. [Google Scholar] [CrossRef]
- Liddell, T.M.; Kruschke, J.K. Analyzing Ordinal Data with Metric Models: What Could Possibly Go Wrong? J. Exp. Soc. Psychol. 2018, 79, 328–348. [Google Scholar] [CrossRef]
- Torresin, S.; Albatici, R.; Aletta, F.; Babich, F.; Oberman, T.; Stawinoga, A.E.; Kang, J. Indoor Soundscapes at Home during the COVID-19 Lockdown in London—Part II: A Structural Equation Model for Comfort, Content, and Well-Being. Appl. Acoust. 2022, 185, 108379. [Google Scholar] [CrossRef] [PubMed]
- Torresin, S.; Ratcliffe, E.; Aletta, F.; Albatici, R.; Babich, F.; Oberman, T.; Kang, J. The Actual and Ideal Indoor Soundscape for Work, Relaxation, Physical and Sexual Activity at Home: A Case Study during the COVID-19 Lockdown in London. Front. Psychol. 2022, 13, 1038303. [Google Scholar] [CrossRef] [PubMed]
- Torresin, S.; Albatici, R.; Aletta, F.; Babich, F.; Oberman, T.; Kang, J. Associations between Indoor Soundscapes, Building Services and Window Opening Behaviour during the COVID-19 Lockdown. Build. Serv. Eng. Res. Technol. 2022, 43, 225–240. [Google Scholar] [CrossRef] [PubMed]
- Yildirim, Y.; Keshavarzi, G.; Arefi, M. Noise Complaints, the COVID-19 Pandemic, and Compact Developments: Evidence from Five American Cities. Environ. Sci. Pollut. Res. 2023, 30, 40724–40736. [Google Scholar] [CrossRef]
- Lee, P.J.; Jeong, J.H. Attitudes towards Outdoor and Neighbour Noise during the COVID-19 Lockdown: A Case Study in London. Sustain. Cities Soc. 2021, 67, 102768. [Google Scholar] [CrossRef] [PubMed]
- Williams, B.A.; Jones, C.H.; Welch, V.; True, J.M. Outlook of Pandemic Preparedness in a Post-COVID-19 World. npj Vaccines 2023, 8, 178. [Google Scholar] [CrossRef]





| Positive vs. Negative Difference in Self-Rated Academic Performance | Original Dataset | Balanced Dataset | ||||||||
|---|---|---|---|---|---|---|---|---|---|---|
| 698 Students | 1779 Students | p-Value; Corrected p-Value | Biserial Rank | 698 Students | 698 Students | p-Value; Corrected p-Value | Biserial Rank | |||
| Mean Rank G1 | Mean Rank G2 | Effect Size | Interpretation | Mean Rank G1 | Mean Rank G2 | Effect Size | Interpretation | |||
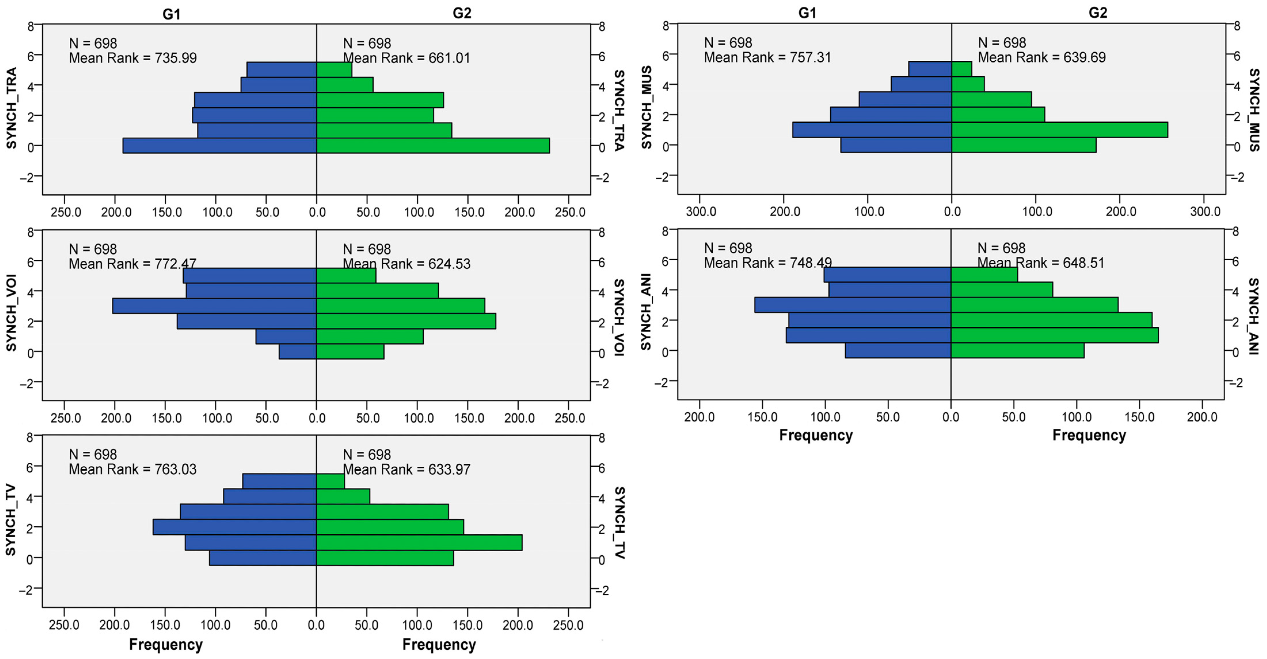
| SYNCH_TRA | 1325.36 | 1205.11 | 0.000; 0.000 | 0.10 | small | 735.99 | 661.01 | 0.000; 0.000 | 0.11 | small |
| SYNCH_VOI | 1419.81 | 1168.06 | 0.000; 0.000 | 0.20 | medium | 772.47 | 624.53 | 0.000; 0.000 | 0.21 | medium |
| SYNCH_TV | 1387.27 | 1180.82 | 0.000; 0.000 | 0.17 | small | 763.03 | 633.97 | 0.000; 0.000 | 0.18 | small |
| SYNCH_MUS | 1366.77 | 1188.87 | 0.000; 0.000 | 0.14 | small | 757.31 | 639.69 | 0.000; 0.000 | 0.17 | small |
| SYNCH_ANI | 1372.85 | 1186.48 | 0.000; 0.000 | 0.15 | small | 748.49 | 648.51 | 0.000; 0.000 | 0.14 | small |
| AUTO_TRA | 1324.90 | 1205.30 | 0.000; 0.000 | 0.10 | very small | 727.07 | 669.93 | 0.006; 0.007 | 0.08 | very small |
| AUTO_VOI | 1420.82 | 1167.66 | 0.000; 0.000 | 0.20 | medium | 768.86 | 628.14 | 0.000; 0.000 | 0.20 | medium |
| AUTO_TV | 1396.38 | 1177.25 | 0.000; 0.000 | 0.18 | small | 764.64 | 632.36 | 0.000; 0.000 | 0.19 | small |
| AUTO_MUS | 1356.19 | 1193.02 | 0.000; 0.000 | 0.13 | small | 750.60 | 646.40 | 0.000; 0.000 | 0.15 | small |
| AUTO_ANI | 1349.64 | 1195.59 | 0.000; 0.000 | 0.12 | small | 739.11 | 657.89 | 0.000; 0.000 | 0.12 | small |
| SYNCH_ATT | 1499.83 | 1136.66 | 0.000; 0.000 | 0.29 | medium | 798.15 | 598.85 | 0.000; 0.000 | 0.29 | medium |
| SYNCH_NOT | 1465.59 | 1150.09 | 0.000; 0.000 | 0.25 | medium | 788.39 | 608.61 | 0.000; 0.000 | 0.26 | medium |
| SYNCH_THR | 1509.43 | 1132.90 | 0.000; 0.000 | 0.30 | large | 803.96 | 593.04 | 0.000; 0.000 | 0.30 | large |
| SYNCH_ANS | 1489.36 | 1140.77 | 0.000; 0.000 | 0.28 | medium | 795.42 | 601.58 | 0.000; 0.000 | 0.28 | medium |
| AUTO_MAT | 1471.63 | 1147.73 | 0.000; 0.000 | 0.26 | medium | 790.49 | 606.51 | 0.000; 0.000 | 0.26 | medium |
| AUTO_WOR | 1444.05 | 1158.55 | 0.000; 0.000 | 0.23 | medium | 783.57 | 613.43 | 0.000; 0.000 | 0.24 | medium |
| AUTO_COM | 1503.34 | 1135.29 | 0.000; 0.000 | 0.30 | medium | 802.83 | 594.17 | 0.000; 0.000 | 0.30 | medium |
| AUTO_WRI | 1494.05 | 1138.93 | 0.000; 0.000 | 0.29 | medium | 798.98 | 598.02 | 0.000; 0.000 | 0.29 | medium |
| AUTO_GRA | 1398.76 | 1176.32 | 0.000; 0.000 | 0.18 | small | 757.16 | 639.84 | 0.000; 0.000 | 0.17 | small |
| AUTO_EXA | 1504.26 | 1134.93 | 0.000; 0.000 | 0.30 | medium | 800.41 | 596.59 | 0.000; 0.000 | 0.29 | medium |
| LOUD_TRA | 1316.03 | 1208.78 | 0.000; 0.001 | 0.09 | very small | 732.01 | 664.99 | 0.001; 0.002 | 0.10 | very small |
| LOUD_VOI | 1404.62 | 1174.02 | 0.000; 0.000 | 0.19 | small | 764.84 | 632.16 | 0.000; 0.000 | 0.19 | small |
| LOUD_TV | 1363.91 | 1189.99 | 0.000; 0.000 | 0.14 | small | 754.12 | 642.88 | 0.000; 0.000 | 0.16 | small |
| LOUD_MUS | 1326.71 | 1204.59 | 0.000; 0.000 | 0.10 | small | 736.25 | 660.75 | 0.000; 0.000 | 0.11 | small |
| LOUD_ANI | 1332.19 | 1202.43 | 0.000; 0.000 | 0.10 | small* | 727.50 | 669.50 | 0.006; 0.007 | 0.08 | very small * |
| N_INSIDE | 1375.11 | 1185.60 | 0.000; 0.000 | 0.15 | small | 749.70 | 647.30 | 0.000; 0.000 | 0.15 | small |
| N_OUTSIDE | 1374.15 | 1185.97 | 0.000; 0.000 | 0.15 | small | 748.72 | 648.28 | 0.000; 0.000 | 0.14 | small |
| INT_SYNCH | 1438.86 | 1160.58 | 0.000; 0.000 | 0.22 | medium | 779.54 | 617.46 | 0.000; 0.000 | 0.23 | medium |
| INT_AUTO | 1419.86 | 1168.04 | 0.000; 0.000 | 0.20 | medium | 767.78 | 629.22 | 0.000; 0.000 | 0.20 | medium |
| INTER_AUDIO | 1347.23 | 1196.54 | 0.000; 0.000 | 0.12 | small | 742.35 | 654.65 | 0.000; 0.000 | 0.13 | small |
| ORDER_IN_2 | 1267.60 | 1227.78 | 0.197; 0.197 # | 0.03 | tiny | 705.20 | 691.80 | 0.520; 0.520 # | 0.02 | tiny |
| Positive vs. Negative Difference in Self-Rated Academic Performance | t-Test for Equality of Means Between Independent Groups. Original Dataset | |||||||
|---|---|---|---|---|---|---|---|---|
| t | p-Value; Corrected p-Value | Mean Difference (G1–G2) | Standard Error Difference | 95% Confidence Interval of the Difference | Effect Size | |||
| Variables | Inferior | Superior | Lovakov | Interpretation | ||||
| SYNCH_TRA | 4.103 | 0.000; 0.000 | 0.298 | 0.073 | 0.156 | 0.441 | 0.19 | small |
| SYNCH_VOI | 8.284 | 0.000; 0.000 | 0.517 | 0.062 | 0.395 | 0.64 | 0.37 | medium |
| SYNCH_TV | 6.821 | 0.000; 0.000 | 0.458 | 0.067 | 0.327 | 0.59 | 0.32 | small |
| SYNCH_MUS | 5.964 | 0.000; 0.000 | 0.388 | 0.065 | 0.261 | 0.516 | 0.28 | small |
| SYNCH_ANI | 5.996 | 0.000; 0.000 | 0.415 | 0.069 | 0.279 | 0.551 | 0.28 | small |
| AUTO_TRA | 4.091 | 0.000; 0.000 | 0.299 | 0.073 | 0.156 | 0.443 | 0.19 | small * |
| AUTO_VOI | 8.197 | 0.000; 0.000 | 0.542 | 0.066 | 0.412 | 0.671 | 0.38 | medium |
| AUTO_TV | 7.21 | 0.000; 0.000 | 0.485 | 0.067 | 0.353 | 0.617 | 0.34 | small |
| AUTO_MUS | 5.476 | 0.000; 0.000 | 0.353 | 0.064 | 0.226 | 0.479 | 0.26 | small |
| AUTO_ANI | 5.031 | 0.000; 0.000 | 0.349 | 0.069 | 0.213 | 0.485 | 0.23 | small |
| SYNCH_ATT | 12.051 | 0.000; 0.000 | 0.668 | 0.055 | 0.559 | 0.777 | 0.55 | medium |
| SYNCH_NOT | 10.309 | 0.000; 0.000 | 0.576 | 0.056 | 0.466 | 0.685 | 0.46 | medium |
| SYNCH_THR | 12.433 | 0.000; 0.000 | 0.695 | 0.056 | 0.585 | 0.805 | 0.56 | medium * |
| SYNCH_ANS | 11.484 | 0.000; 0.000 | 0.677 | 0.059 | 0.561 | 0.793 | 0.53 | medium |
| AUTO_MAT | 10.741 | 0.000; 0.000 | 0.607 | 0.057 | 0.496 | 0.718 | 0.51 | medium |
| AUTO_WOR | 9.434 | 0.000; 0.000 | 0.518 | 0.055 | 0.411 | 0.626 | 0.44 | medium |
| AUTO_COM | 12.154 | 0.000; 0.000 | 0.692 | 0.057 | 0.580 | 0.804 | 0.56 | medium |
| AUTO_WRI | 11.747 | 0.000; 0.000 | 0.648 | 0.055 | 0.540 | 0.756 | 0.54 | medium |
| AUTO_GRA | 7.59 | 0.000; 0.000 | 0.417 | 0.055 | 0.309 | 0.524 | 0.36 | medium * |
| AUTO_EXA | 12.171 | 0.000; 0.000 | 0.717 | 0.059 | 0.602 | 0.833 | 0.56 | medium |
| LOUD_TRA | 3.601 | 0.000; 0.000 | 0.268 | 0.074 | 0.122 | 0.414 | 0.16 | small * |
| LOUD_VOI | 7.329 | 0.000; 0.000 | 0.476 | 0.065 | 0.348 | 0.603 | 0.33 | small |
| LOUD_TV | 5.687 | 0.000; 0.000 | 0.385 | 0.068 | 0.252 | 0.517 | 0.26 | small |
| LOUD_MUS | 4.094 | 0.000; 0.000 | 0.277 | 0.068 | 0.144 | 0.409 | 0.19 | small |
| LOUD_ANI | 4.204 | 0.000; 0.000 | 0.310 | 0.074 | 0.165 | 0.454 | 0.19 | small * |
| N_INSIDE | 6.332 | 0.000; 0.000 | 0.355 | 0.056 | 0.245 | 0.465 | 0.30 | small |
| N_OUTSIDE | 6.151 | 0.000; 0.000 | 0.374 | 0.061 | 0.255 | 0.494 | 0.28 | small |
| INT_SYNCH | 9.251 | 0.000; 0.000 | 0.517 | 0.056 | 0.408 | 0.627 | 0.44 | medium |
| INT_AUTO | 8.367 | 0.000; 0.000 | 0.464 | 0.055 | 0.355 | 0.573 | 0.39 | medium * |
| INTER_AUDIO | 5.557 | 0.000; 0.000 | 0.352 | 0.063 | 0.228 | 0.476 | 0.24 | small |
| ORDER_IN_2 | 1.715 | 0.087; 0.087 # | 0.086 | 0.05 | −0.012 | 0.185 | 0.07 | very small * |
| Bayes Factor Two Independent Samples Test (Method = Rounder) | Posterior Distribution Characterization For Independent Sample Mean | ||||
|---|---|---|---|---|---|
| Mean | Pooled Std. Error Difference | Bayes Factor | 95% Credible Interval | ||
| Difference (G2–G1) | Lower Bound | Upper Bound | |||
| SYNCH_TRA | −0.298 | 0.070 | 0.004 | −0.441 | −0.156 |
| SYNCH_VOI | −0.517 | 0.062 | 5.20 × 10−14 | −0.64 | −0.395 |
| SYNCH_TV | −0.458 | 0.064 | 4.22 × 10−10 | −0.59 | −0.327 |
| SYNCH_MUS | −0.388 | 0.062 | 1.05 × 10−07 | −0.516 | −0.26 |
| SYNCH_ANI | −0.415 | 0.067 | 1.67 × 10−07 | −0.551 | −0.279 |
| AUTO_TRA | −0.299 | 0.071 | 3.82 × 10−03 | −0.443 | −0.156 |
| AUTO_VOI | −0.542 | 0.064 | 2.02 × 10−14 | −0.671 | −0.412 |
| AUTO_TV | −0.485 | 0.064 | 1.99 × 10−11 | −0.617 | −0.353 |
| AUTO_MUS | −0.353 | 0.062 | 2.53 × 10−06 | −0.479 | −0.226 |
| AUTO_ANI | −0.349 | 0.067 | 4.67 × 10−05 | −0.485 | −0.213 |
| SYNCH_ATT | −0.668 | 0.054 | 1.53 × 10−31 | −0.777 | −0.559 |
| SYNCH_NOT | −0.576 | 0.055 | 3.20 × 10−22 | −0.685 | −0.466 |
| SYNCH_THR | −0.695 | 0.055 | 1.21 × 10−32 | −0.805 | −0.585 |
| SYNCH_ANS | −0.677 | 0.058 | 1.98 × 10−28 | −0.793 | −0.561 |
| AUTO_MAT | −0.607 | 0.053 | 6.47 × 10−27 | −0.718 | −0.496 |
| AUTO_WOR | −0.518 | 0.053 | 1.10 × 10−19 | −0.626 | −0.410 |
| AUTO_COM | −0.692 | 0.055 | 4.65 × 10−32 | −0.804 | −0.580 |
| AUTO_WRI | −0.648 | 0.053 | 3.59 × 10−30 | −0.756 | −0.539 |
| AUTO_GRA | −0.417 | 0.051 | 2.46 × 10−13 | −0.524 | −0.309 |
| AUTO_EXA | −0.717 | 0.057 | 2.91 × 10−32 | −0.833 | −0.602 |
| LOUD_TRA | −0.268 | 0.073 | 0.032 | −0.414 | −0.122 |
| LOUD_VOI | −0.476 | 0.064 | 3.79 × 10−11 | −0.603 | −0.348 |
| LOUD_TV | −0.385 | 0.066 | 1.21 × 10−06 | −0.517 | −0.252 |
| LOUD_MUS | −0.277 | 0.066 | 4.23 × 10−03 | −0.409 | −0.144 |
| LOUD_ANI | −0.31 | 0.072 | 3.04 × 10−03 | −0.454 | −0.165 |
| N_INSIDE | −0.355 | 0.054 | 1.15 × 10−08 | −0.465 | −0.245 |
| N_OUTSIDE | −0.374 | 0.059 | 7.14 × 10−08 | −0.494 | −0.255 |
| INT_SYNCH | −0.517 | 0.053 | 1.76 × 10−19 | −0.627 | −0.407 |
| INT_AUTO | −0.464 | 0.053 | 9.39 × 10−16 | −0.573 | −0.355 |
| INTER_AUDIO | −0.352 | 0.067 | 2.91 × 10−05 | −0.476 | −0.228 |
| ORDER_IN_2 | −0.086 | 0.052 | 7.098 | −0.185 | 0.012 |
| Positive vs. Negative Difference by Perception of Academic Quality | Negative | Positive | p-Value; Corrected p-Value | Biserial Rank | |
|---|---|---|---|---|---|
| Mean Rank P1 | Mean Rank P2 | Effect Size | Interpretation | ||
| SYNCH_TRA | 1287.23 | 1175.38 | 0.000; 0.000 | 0.09 | very small |
| SYNCH_VOI | 1333.75 | 1114.00 | 0.000; 0.000 | 0.18 | small |
| SYNCH_TV | 1338.70 | 1107.46 | 0.000; 0.000 | 0.19 | small |
| SYNCH_MUS | 1304.55 | 1152.52 | 0.000; 0.000 | 0.12 | small |
| SYNCH_ANI | 1305.88 | 1150.77 | 0.000; 0.000 | 0.13 | small |
| AUTO_TRA | 1276.53 | 1189.49 | 0.002; 0.002 | 0.07 | very small |
| AUTO_VOI | 1317.77 | 1135.07 | 0.000; 0.000 | 0.15 | small |
| AUTO_TV | 1321.20 | 1130.55 | 0.000; 0.000 | 0.15 | small |
| AUTO_MUS | 1302.87 | 1154.74 | 0.000; 0.000 | 0.12 | small |
| AUTO_ANI | 1306.81 | 1149.54 | 0.000; 0.000 | 0.13 | small |
| SYNCH_ATT | 1372.75 | 1062.54 | 0.000; 0.000 | 0.25 | medium |
| SYNCH_NOT | 1363.24 | 1075.09 | 0.000; 0.000 | 0.23 | medium |
| SYNCH_THR | 1382.93 | 1049.11 | 0.000; 0.000 | 0.27 | medium |
| SYNCH_ANS | 1363.41 | 1074.87 | 0.000; 0.000 | 0.23 | medium |
| AUTO_MAT | 1345.82 | 1098.07 | 0.000; 0.000 | 0.20 | medium |
| AUTO_WOR | 1355.74 | 1084.99 | 0.000; 0.000 | 0.22 | medium |
| AUTO_COM | 1360.03 | 1079.32 | 0.000; 0.000 | 0.23 | medium |
| AUTO_WRI | 1358.46 | 1081.40 | 0.000; 0.000 | 0.22 | medium |
| AUTO_GRA | 1346.35 | 1097.38 | 0.000; 0.000 | 0.20 | medium |
| AUTO_EXA | 1374.67 | 1060.01 | 0.000; 0.000 | 0.25 | medium |
| LOUD_TRA | 1272.55 | 1194.74 | 0.006; 0.006 | 0.06 | very small |
| LOUD_VOI | 1315.40 | 1138.20 | 0.000; 0.000 | 0.14 | small |
| LOUD_TV | 1305.87 | 1150.78 | 0.000; 0.000 | 0.13 | small |
| LOUD_MUS | 1293.95 | 1166.50 | 0.000; 0.000 | 0.10 | small |
| LOUD_ANI | 1300.34 | 1158.08 | 0.000; 0.000 | 0.11 | small |
| N_INSIDE | 1318.60 | 1133.99 | 0.000; 0.000 | 0.15 | small |
| N_OUTSIDE | 1309.77 | 1145.64 | 0.000; 0.000 | 0.13 | small |
| INT_SYNCH | 1342.42 | 1102.56 | 0.000; 0.000 | 0.19 | small |
| INT_AUTO | 1338.56 | 1107.65 | 0.000; 0.000 | 0.19 | small |
| INTER_AUDIO | 1257.04 | 1215.20 | 0.139; 0.139 # | 0.03 | tiny |
| ORDER_IN_2 | 1259.52 | 1211.93 | 0.090; 0.093 # | 0.04 | tiny |
| Positive vs. Negative Difference in Self-Rated Academic Performance | Men | Women | p-Value; Corrected p-Value | Bonferroni Correction of p-Value | Biserial Rank | |
|---|---|---|---|---|---|---|
| Mean Rank | Mean Rank | Effect Size | Interpretation | |||
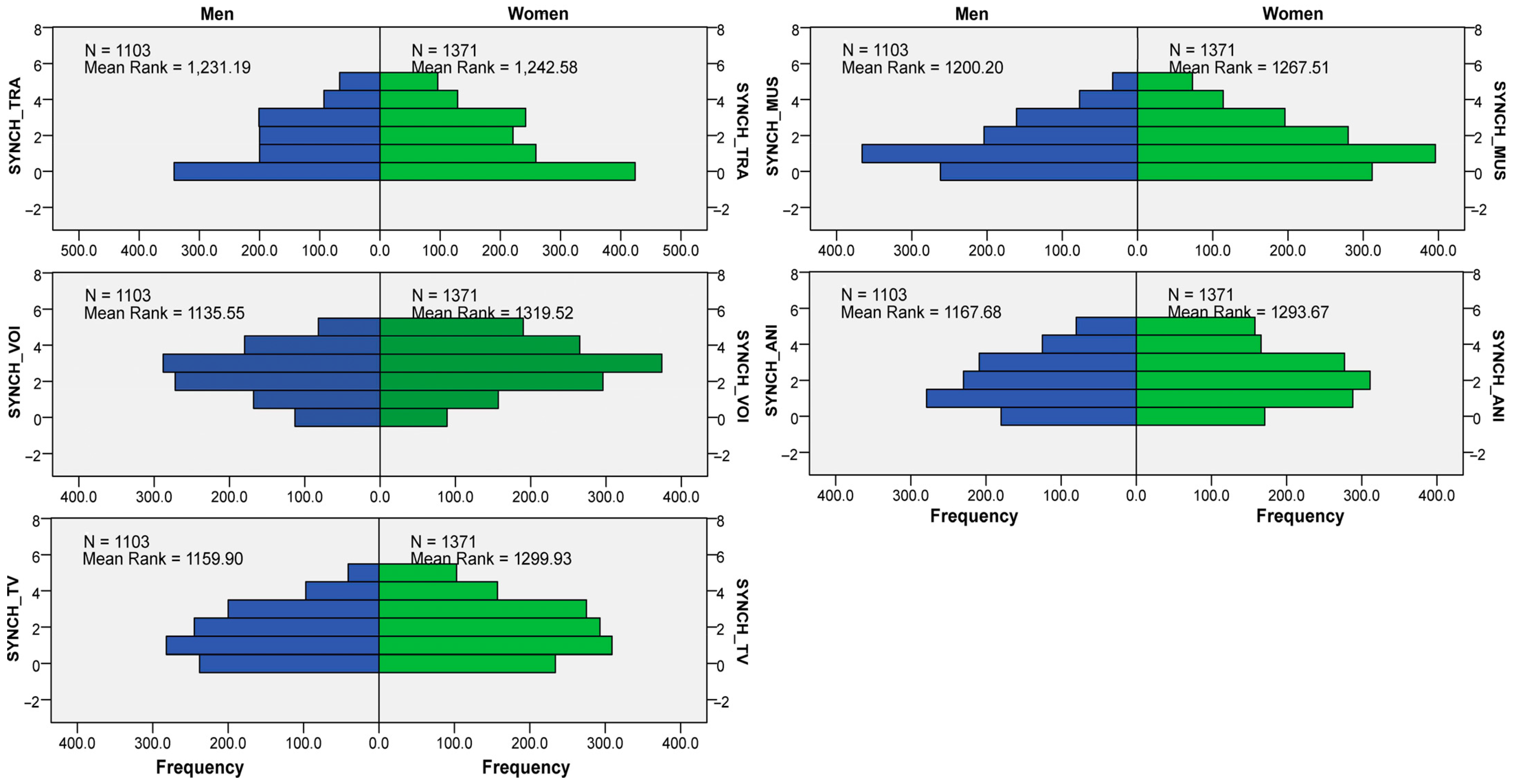
| SYNCH_TRA | 1231.19 | 1242.58 | 0.686; 0.709 # | 21.276 | −0.15 | tiny |
| SYNCH_VOI | 1135.55 | 1319.52 | 0.000; 0.000 | 0.000 | −0.11 | small |
| SYNCH_TV | 1159.90 | 1299.93 | 0.000; 0.000 | 0.000 | −0.05 | small |
| SYNCH_MUS | 1200.20 | 1267.51 | 0.017; 0.026 | 0.517 | −0.10 | very small |
| SYNCH_ANI | 1167.68 | 1293.67 | 0.000; 0.000 | 0.000 | 0.01 | small |
| AUTO_TRA | 1247.32 | 1229.60 | 0.527; 0.583 # | 16.333 | −0.12 | tiny |
| AUTO_VOI | 1153.43 | 1305.14 | 0.000; 0.000 | 0.000 | −0.11 | small |
| AUTO_TV | 1161.76 | 1298.43 | 0.000; 0.000 | 0.000 | −0.07 | small |
| AUTO_MUS | 1192.57 | 1273.65 | 0.004; 0.007 | 0.122 | −0.09 | very small |
| AUTO_ANI | 1175.76 | 1287.17 | 0.000; 0.000 | 0.003 | −0.16 | very small |
| SYNCH_ATT | 1126.56 | 1326.76 | 0.000; 0.000 | 0.000 | −0.17 | small |
| SYNCH_NOT | 1120.77 | 1331.41 | 0.000; 0.000 | 0.000 | −0.16 | small |
| SYNCH_THR | 1129.17 | 1324.65 | 0.000; 0.000 | 0.000 | −0.14 | small |
| SYNCH_ANS | 1144.06 | 1312.67 | 0.000; 0.000 | 0.000 | −0.02 | small |
| AUTO_MAT | 1220.83 | 1250.91 | 0.276; 0.329 # | 8.563 | −0.07 | tiny |
| AUTO_WOR | 1187.09 | 1278.06 | 0.001; 0.002 | 0.036 | −0.11 | very small |
| AUTO_COM | 1159.81 | 1300.01 | 0.000; 0.000 | 0.000 | −0.12 | small |
| AUTO_WRI | 1152.08 | 1306.22 | 0.000; 0.000 | 0.000 | −0.02 | small |
| AUTO_GRA | 1224.37 | 1248.06 | 0.389; 0.446 # | 12.050 | −0.11 | tiny |
| AUTO_EXA | 1163.61 | 1296.95 | 0.000; 0.000 | 0.000 | 0.00 | small |
| LOUD_TRA | 1238.56 | 1236.65 | 0.946; 0.946 # | 29.317 | −0.10 | tiny |
| LOUD_VOI | 1170.57 | 1291.35 | 0.000; 0.000 | 0.001 | −0.05 | very small |
| LOUD_TV | 1206.33 | 1262.57 | 0.047; 0.063 # | 1.446 | −0.01 | tiny |
| LOUD_MUS | 1228.67 | 1244.61 | 0.572; 0.611 # | 17.720 | −0.03 | tiny |
| LOUD_ANI | 1214.69 | 1255.85 | 0.147; 0.183 # | 4.566 | −0.10 | tiny |
| N_INSIDE | 1167.92 | 1293.48 | 0.000; 0.000 | 0.000 | −0.03 | small |
| N_OUTSIDE | 1213.72 | 1256.63 | 0.129; 0.166 # | 3.984 | −0.08 | tiny |
| INT_SYNCH | 1179.76 | 1283.95 | 0.000; 0.000 | 0.006 | −0.05 | very small |
| INT_AUTO | 1203.56 | 1264.81 | 0.029; 0.041 | 0.893 | −0.05 | tiny |
| INTER_AUDIO | 1200.62 | 1267.17 | 0.018; 0.027 | 0.562 | −0.06 | very small |
| ORDER_IN_2 | 1197.25 | 1269.88 | 0.009; 0.015 | 0.298 | −0.04 | very small |
| G1 and P1 = 540 Students | SYNCH (%) | AUTO (%) |
|---|---|---|
| TRA | 124 (22.96%) | 110 (20.37%) |
| VOI | 217 (40.19%) | 194 (35.93%) |
| TV | 142 (26.3%) | 137 (25.37%) |
| MUS | 104 (19.26%) | 104 (19.26%) |
| ANI | 106 (19.63%) | 146 (27.04%) |
Disclaimer/Publisher’s Note: The statements, opinions and data contained in all publications are solely those of the individual author(s) and contributor(s) and not of MDPI and/or the editor(s). MDPI and/or the editor(s) disclaim responsibility for any injury to people or property resulting from any ideas, methods, instructions or products referred to in the content. |
© 2024 by the authors. Licensee MDPI, Basel, Switzerland. This article is an open access article distributed under the terms and conditions of the Creative Commons Attribution (CC BY) license (https://creativecommons.org/licenses/by/4.0/).
Share and Cite
Puyana-Romero, V.; Díaz-Márquez, A.M.; Garzón, C.; Ciaburro, G. The Domestic Acoustic Environment in Online Education—Part 1: Differences by Gender, Perceived Academic Quality, and Self-Rated Performance. Buildings 2025, 15, 84. https://doi.org/10.3390/buildings15010084
Puyana-Romero V, Díaz-Márquez AM, Garzón C, Ciaburro G. The Domestic Acoustic Environment in Online Education—Part 1: Differences by Gender, Perceived Academic Quality, and Self-Rated Performance. Buildings. 2025; 15(1):84. https://doi.org/10.3390/buildings15010084
Chicago/Turabian StylePuyana-Romero, Virginia, Angela María Díaz-Márquez, Christiam Garzón, and Giuseppe Ciaburro. 2025. "The Domestic Acoustic Environment in Online Education—Part 1: Differences by Gender, Perceived Academic Quality, and Self-Rated Performance" Buildings 15, no. 1: 84. https://doi.org/10.3390/buildings15010084
APA StylePuyana-Romero, V., Díaz-Márquez, A. M., Garzón, C., & Ciaburro, G. (2025). The Domestic Acoustic Environment in Online Education—Part 1: Differences by Gender, Perceived Academic Quality, and Self-Rated Performance. Buildings, 15(1), 84. https://doi.org/10.3390/buildings15010084

