Abstract
Eurocode 8 is undergoing a revision process encompassing novel ductility classes, damage limitation limits, local ductility conditions corresponding to detailing prescriptions and structural irregularity criteria. In this paper, we specifically assessed the influence of an irregularity in elevation, imposed by different elevations, on the first and third storeys of buildings, and variations in the cross-sections of columns during the seismic response of reinforced concrete (RC) structures. To assess this impact, an extensive examination was conducted on thirteen five-storey moment-resisting frame (MRF) buildings. The design of those structures was carried out on the Robot Structural Analysis Professional framework following the current generation of Eurocodes 2 and 8, and the seismic response analysis was carried out using the SeismoStruct v2024 software. The results were compared to evaluate the influence of imposed irregularities in elevation due to the increasing height, column cross-section, mass, and resistance variation. The study’s outcomes revealed that, for DCM structures, the imposed irregularities in elevation have different impacts on the seismic response. Increasing the heights of ground or middle floor have substantial deleterious effects on the building’s seismic response. The planned geometry and variations in the cross-sections of columns substantially impact inter-storey drift and base shear. The effects of mass and resistance irregularities were neglected in this study. As such, more studies on those matters are necessary to allow our results to be further generalised.
1. Introduction
The performance of structures during significant seismic events has been evaluated, providing useful knowledge to guide engineers and builders on how to effectively design and build seismic load-resisting structures [,,,,,]. With the evolution of design techniques, engineered structures have performed relatively well in areas that have been inhabited for a long time and are subject to quite regular firm ground shaking. Structural engineers can discern the most appropriate construction materials and techniques by studying such design procedures, although not all of them will be appropriate due to regional variations [].
The mechanisms behind considerable amounts of structural damage are seen often and have been determined to be due to improperly configured structures. These include torsion caused by asymmetrical masonry infills, single-storey soft-storey buildings, and inadequate longitudinal and transverse reinforcement detailing [].
Non-uniform distributions of mass, stiffness, and strength, either separately or in various combinations throughout the height of structures, are common types of irregularities. These vertical irregularities have different impacts on the seismic responses of structures. This topic has been extensively addressed in numerous studies [,,,,,,,,,,], and their major conclusions can be highlighted as follows:
- Vertical irregularity plays a significant role in RC buildings’ vulnerability [];
- Most of the energy input to the frames with irregular elevations due to setbacks was dissipated through beams with plastic hinges [];
- An increase in the number of slab openings leads to greater energy consumption and enhances the formation of cracks in columns, beams, and their joints, and additionally, 25% is considered a safe threshold regarding rigid diaphragm behaviour [];
- Mass irregularities usually have limited effects on seismic response [];
- Stiffness irregularities have considerable effects on storey shear, capacity, and storey drift demands [];
- The use of RC walls in structures with weak/soft-storey irregularities has a positive effect on the seismic response [];
- The magnitude of the peak inter-storey drift ratio is more pronounced at the soft-storey level in buildings with that irregularity [];
- Non-structural elements with short periods experience high seismic demands when attached to the lower floors of a building lacking vertical stiffness irregularities [];
- Middle soft-storey buildings exhibit the greatest amplification of component acceleration [].
However, it is necessary to study this matter further because the seismic behaviour of structures is far from being understood sufficiently [], especially due to the different levels of development of and the approaches within seismic codes regarding vertical irregularity that may produce different interpretations of the criteria for such irregularities, impacting the structural design of buildings.
The goal of contemporary design processes is to create a structural system that performs well enough to withstand seismic occurrences while maintaining the required stiffness, strength, and deformation capacities. For a building to achieve its performance targets under earthquake loading, the structural system needs to be properly sized and designed in line with the specifications.
EN 1998-1 [] and EN 1992-1-1 [] define structural analysis and design methodologies for reinforced concrete structures, including stiffness, strength, and ductility requisites. The development of a second generation of Eurocode 8 prEN 1998-1-2 [] is ongoing and new requirements for irregular structures are being proposed. The Eurocodes delineate the specifications for member design strengths and detailing requirements.
To assess the effect of an irregularity in elevation on a structure’s seismic response, this article compares thirteen five-storey MRF buildings. These structures highlight the fact that, according to the most recently available census data on Portuguese buildings [], the most common types of buildings are those with four or five storeys. The models were developed using the structure studied by Ref. []. They have three distinct plan configurations, variable storey height configurations (from 3 m to 5.5 m of height), and non-torsional flexibility properties.
The design calculations for DCM structures were conducted in accordance with the requirements of EN 1998-1 []. The method employed was a force-based approach, which included the response spectrum method. This methodology is characterized by a linear analysis integrating overstrength and nonlinear response through the behaviour factor (q). A pushover analysis approach has been applied to the designed structures to assess their seismic response and check the impact of the irregularity in elevation.
This research intends to contribute to a better understanding of the impact of an irregularity in elevation in the seismic responses of MRF structures, considering a wide range of structural inter-storey heights of the ground and middle floors, variations in the columns’ cross-sections, mass and resistance discrepancies between storeys, and three different geometric configurations.
2. Materials and Methods
Thirteen RC structures with distinct compositions were considered in our analysis. The buildings’ attributes were based on invariant characteristics (frames, span length, construction materials, vertical loads, and seismicity) as well as specific variables unique to each building (inter-storey height and inertial masses).
Based on the symmetrical and isotropic assumptions outlined in EN 1998-1 [] and prEN 1998-1-2 [], thirteen models of structures were constructed. These structures were assigned to DCM ductility classes based on the maximum response spectral acceleration within the constant acceleration range (Sα), defined as being 2.5∙ag∙S∙η, as per EN 1998-1 [].
2.1. Structural Characterization
The structures assessed consist of three configurations, all with five storeys and with differences in their planned geometries, as shown in Figure 1 and Figure 2.

Figure 1.
Frame building system configurations (Robot Structural Analysis Professional 2024).

Figure 2.
Frame building cutaway.
The structural system comprises frames spaced 6.0 m apart on the x-axis and 7.0 m apart along the y-axis, typical of residential buildings, as illustrated in Figure 1 and Figure 2. The height between floors is 3.0 m for all storeys. The models had their heights increased by 0.5 m to a maximum of 5.5 m of elevation on the ground storey or on the 3rd storey. The solid slab thickness was 15.0 cm on all floors. Table 1 presents the geometrical characteristics of each analyzed structure.

Table 1.
Structural elements dimensions of the MRF structures.
2.2. Materials
The beams and columns in the assessed structures were considered to be constructed using C30/37 concrete and B500 steel reinforcements.
The C30/37 concrete’s properties were defined according to EN 1992-1-1 [] and EN 206-1 [], and its mechanical properties are detailed in Table 2. By choosing Exposure Class XC1, as defined by the environmental conditions in EN 206-1 [] as stated in EN 1992-1-1 [], the nominal cover was set at 30 mm. The steel reinforcement considered was B500. Its mechanical properties were defined in accordance with EN 10080 [], as shown in Table 2.

Table 2.
Concrete and steel mechanical properties.
3. Design Principles
3.1. Structural Conception Criteria
The EN 1998-1 [] and prEN 1998-1-2 [] specifications were adhered to within the structural design. To evaluate the deformations and internal forces, Finite Element models were developed in Robot Structural Analysis Professional []. The models were designed to comply with the EN 1998-1 [] and prEN 1998-1-2 [] requisites, and their characteristics can be described as follows:
- The buildings were modelled to resist earthquake forces in two directions, X and Y;
- The modelling accounted for global torsional effects;
- Slabs were treated as rigid diaphragms;
- Columns and beams were modelled as linear elastic bar elements, but there was no specific modelling of joint stiffness in this analysis;
- There was no redistribution of bending moments in this modelling approach;
- The connection between beams and columns was assumed to be concentric;
- Accidental eccentricities and second-order effects were considered in the analysis;
- The contribution of infills to the structural response was not considered; however, their weight was included in the overall loads;
- The foundation support was restrained in all directions.
Notably, the chosen reinforcement design for each kind of structure (A1-5, B1-4 and C1-4) was the worst scenario from all heights. In the case of the A1 structure, for instance, the worst case was the A1 structure with 5.0 m and 5.5 m of height in the first storey.
3.2. Vertical Loads and Seismic Actions
The vertical loads of office buildings were considered in all assessed buildings according to EN 1990 [] and EN 1991-1-1 []. The experiments can be summarized as follows:
- Structure self-weight (Gk,1): All storeys: RC columns, beams, and slabs have a density of 25 kN/m3;
- Other permanent loads (Gk,2):
- First to fourth storeys: External walls and partitions have a uniformly distributed load of 1.2 kN/m2, and these storeys have a final a load of 1.3 kN/m2,
- Fifth storey: Has a final load of 1.0 kN/m2;
- Live loads (Qk):
- First to fourth storey: Buildings for use as civil dwellings, falling into the usage category A, have a live load of 2.0 kN/m2,
- Fifth storey: H roofs considered inaccessible, except for normal maintenance and repair, accounting for a live load of 1.0 kN/m2.
To develop the design spectra for the elastic analysis considering the structural systems, the behaviour factor q and its components were defined in accordance with EN 1998-1 [] and prEN 1998-1-2 [] for regular structures both in plans and elevations. The analysis took into account the DCM ductility class recommended in EN 1998-1 [].
The definition of the seismic action follows EN 1998-1 []. The recommendation in the quoted standard for seismic intervention for local collapse prevention with an exceedance probability of 10% in 50 years is for structures of ordinary importance. In this work, ground type B and importance class II with a correspondence factor of γI = 1.0 were used to build up the type 1 elastic and design spectra for the elastic analysis in accordance with EN 1998-1 []. The values of the parameters characterizing the elastic response spectra (ξ = 5%) for the structure analyzed are displayed in Table 3.

Table 3.
Horizontal response spectra properties.
3.3. Load Combination
The structures were designed for the following:
- (a)
- ULS–Fundamental combinations
- (b)
- ULS–Seismic combinations
Wind, snow, and thermal actions were not considered as the seismic demand is paramount in influencing the design. The combinations of actions are outlined in Table 4. The seismic combinations account for accidental eccentricities.

Table 4.
Load combinations.
4. Seismic Response Assessment of Designed Structures
The seismic assessment of the structures was carried out in the SeismoStruct [] framework. This software has been extensively quality checked and validated in the scientific environment. It is a Finite Element package capable of predicting the large displacement behaviour of space frames under static or dynamic loadings, considering both geometric nonlinearities and material inelasticity [].
SeismoStruct accommodates both static (forces and displacements) and dynamic (accelerations) loads and offers a range of analytical capabilities including eigenvalue analysis, nonlinear static pushover, nonlinear static time-history analysis, and response spectrum analysis, among others [].
We used a static pushover analysis as the modelling approach. Pushover analysis is a method employed in assessing buildings against seismic loads, aiming to ascertain their structural performances under various irregularity scenarios []. Several studies have also used this type of analysis in studying irregular buildings [,,,].
Eurocode 8, in its first [] and second [] generations, presents differences in the vertical irregularity criteria. The first generation is more qualitative in the criteria assessment. However, the new draft presents a more quantitative approach. Those criteria are presented in Table 5.

Table 5.
Comparison of vertical irregularity criteria between the generations of Eurocode 8.
5. Results and Discussion
Table 6 presents the first three natural frequencies (F1, F2, and F3) of each type of structure obtained from SeismoStruct. The structures A1 to A5, B1 to B4, and C1 to C4 behave similarly regarding natural frequency, without much deviation despite the increase in height.

Table 6.
Natural frequencies.
Figure 3 presents a comparison between the structural frequencies obtained from SeismoStruct and the structural frequency method proposed by Ditommaso et al. []. The frequency results for the B1–B4 structures, the C1–C2 structures with heights of 4.5 to 5.5 m, and the C3–C4 structures with heights of 4.0 to 5.5 m comply with the structural frequency prediction method even though that methodology includes the infill walls’ contributions in the assessment. However, huge differences between the frequencies obtained by the models and the aforementioned prediction method are shown for the other structures, reaching up to 108% for the A3_4.0 m model.

Figure 3.
Comparison of structural frequencies: the calculated frequencies versus frequencies obtained from the prediction method proposed by Ditommaso et al. [].
It should be noted that, for all of the parameters discussed in Figure 4, Figure 5, Figure 6, Figure 7, Figure 8 and Figure 9, the A1 structure in which all storey heights are 3.0 m is the reference model that the others are compared to.


Figure 4.
Lateral stiffnesses in the X-axis: (a) Type A structures; (b) Type B structures; (c) Type C structures.

Figure 5.
Lateral stiffnesses in the Y-axis: (a) Type A structures; (b) Type B structures; (c) Type C structures.

Figure 6.
Absolute displacement response: (a) Type A structures; (b) Type B structures; (c) Type C structures.


Figure 7.
Inter-storey drifts (%): (a) Type A structures; (b) Type B structures; (c) Type C structures.

Figure 8.
(a) Variations in the maximum storey-drift (%) in comparison to structures with 3.0 m of height in all storeys; (b) maximum base shear of the studied structures.


Figure 9.
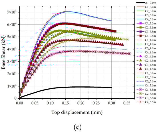
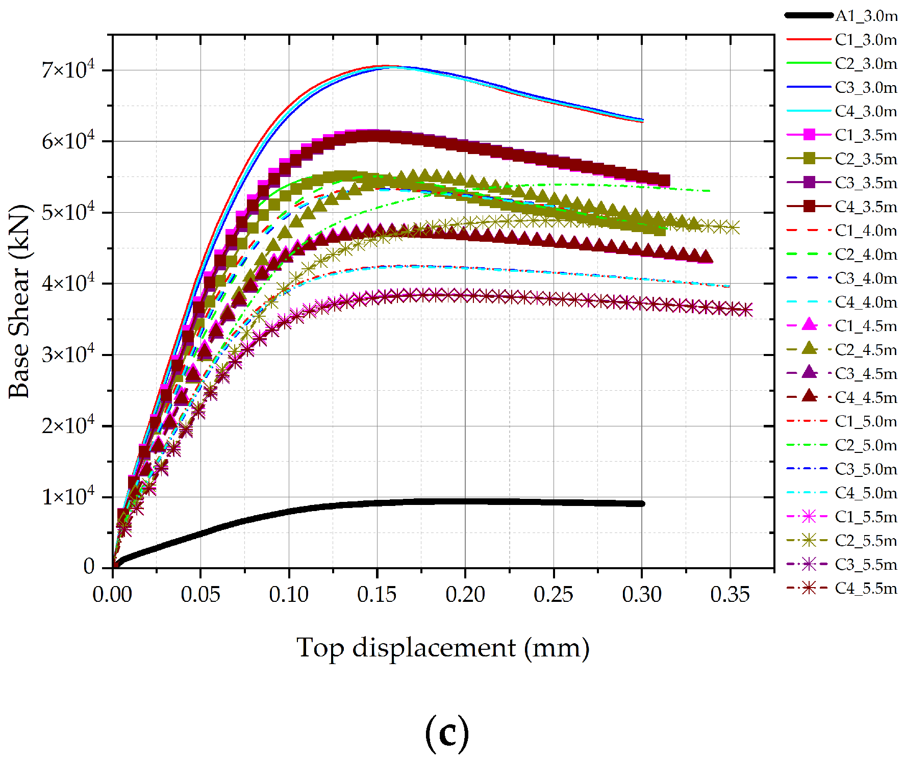
(a) Capacity curves of Type A structure; (b) capacity curves of Type A structure; (c) capacity curves of Type C structure.
Figure 4 and Figure 5 present the evolutions of the lateral stiffness on individual floors in all of the structures, along both the X and Y axes. The lateral stiffnesses of the structures were obtained by applying unitary displacements to the peripheral column nodes of the storey under assessment and fixing the column nodes of the storeys below. The slope obtained for the force–displacement relationship represents the lateral stiffness of the storey. This procedure was performed on all storeys, with lateral stiffness being the sum of all of the calculated forces that generate a unitary displacement.
- All structures, except for A1, B1, B3, and B4 with 3.0 m of height in the first storey and A2 and B2 on the third floor, as well as A1, B1, B3, B4, C1, C3, and C4 with 3.5 m of height on the first floor, present irregularities in elevation due to a reduction in the lateral stiffness of more than 30%, according to prEN 1998-1-2 [].
- For the models analyzed, the increase in height on the first or an intermediate floor produces a stronger effect on lateral stiffness, and therefore, on the irregularity in elevation, than the reduction in the cross-sections of the columns. Also, in this regard, the impact of increasing height on the third floor is worse than on the first floor. These assessments all occurred on all considered plan geometries, which means that, for the assessed structures, an irregularity in the plan does not have a considerable effect on the lateral stiffness.
It is important to highlight that only the A5 structure presents a resistance variation higher than 30% in the fourth storey. This parameter was determined through pushover analyses of the structure, considering the forces applied on the peripheral columns in each storey and the axis separately with the nodes of the columns in the storeys below being fixed. The maximum base shear observed in each storey was taken and compared to each other. According to prEN 1998-1-2 [], this represents an irregularity in elevation. However, that fact did not demonstrate a huge difference in the lateral stiffness behaviour.
Figure 6 and Figure 7 represent the displacement responses and storey drifts of the studied structures, and Table 7 shows the maximum top displacement and storey drift at each observed height studied for the structures with these characteristics. Figure 8 illustrates the % variation in the maximum inter-storey drift observed in each structure in comparison with the structures with 3.0 m of elevation and the base shear of each structure for each studied height. Figure 9 shows the capacity curves of the studied structures, complementing the information provided in Figure 6 and Table 7.

Table 7.
Maximum top displacements and inter-storey drifts.
- From Figure 6, it can be seen that decreases in the top displacements occur when the height of the ground soft storeys in the models increases from 3.0 m to 4.5 m, as demonstrated in the studies by Abd-Alghany et al. [] and Ibrahim and Mohamad []. However, when the first floor elevation rises to 5.0 m and 5.5 m, the top displacements increase.
- From Table 7 and Figure 6 and Figure 7, it can be seen that the maximum displacements and storey drifts are observed, respectively, in the B2 structure (height = 5.0 m) and in the A2 and B2 structures (height = 5.5 m). Those structures present the height increase in the intermediate floor. Comparing these results with the information provided in Figure 6, it can be concluded that, for structural displacement, the increase in the elevation of the intermediate floor produces a worse displacement behaviour than the same increase on the ground floor. It is also important to highlight that, except for A2, B2, and C2 structures, all other buildings present similar results regarding structural displacement.
- From Figure 8a, it can be seen that, compared to the regular structure (A1 with h = 3.0 m), a maximum storey-drift increase of 14.2% occurred in structure B2 with 5.5 m of elevation on the intermediate floor. The A2 structure, in the same conditions, produced a maximum storey-drift increase of 14.0%, similar to the previous structure. However, for the C2 structure, the maximum increase observed was 6.1% with a height of 5.5 m. It can be concluded, from these results, that the planned geometry can impact the storey-drift behaviour of structures. Additionally, considering the variations in the cross-sections of the columns in the assessed structures, it can be concluded that this parameter produces a stronger impact in this regard. Except for the A2, B2, and C2 structures, which present height increases on the third floor, analogous results can be seen in refs. [,,,].
- From Figure 8a, compared to the regular structure (A1 with h = 3.0 m a maximum storey-drift decrease of 40.7% was observed for the C2 structure with a height of 3.5 m. An important point of discussion on that matter is, for the C2 structure, the storey-drift starts to decrease from a height of 4.0 m to 5.5 m. It can be inferred that the planned geometry and cross-section of columns play an important role in this behaviour.
- From Figure 8b and Figure 9, it can be seen that the A1 structure exhibits a considerably higher base shear value in comparison with the A3, A4, and A5 structures. However, the B1, B3, and B4 structures have similar base shear behaviours. The same can be observed for the C1, C3, and C4 structures. This probably occurs due to the reductions in the cross-sections of the columns observed in the A3, A4, and A5 models. The same reduction occurs in the B and C structures. However, the planned geometry compensates for that effect. Except for the A2, B2, and C2 structures which present height increases on the third floor, similar results can be found in refs. [,,,].
- Still concerning Figure 8b, the structures A2, B2, and C2 (with increasing heights of the third storey) present, respectively, 15.2%, 19.5%, and 21.9% lower base shears at a height of 3.0 m in comparison with, respectively, the A1, B1, and C1 structures in the same conditions. However, for heights of 4.0 m to 5.5 m, the A2, B2, and C2 structures exhibit higher base shears than other structures of the same type. Despite those structures presenting a worse structural behaviour in that regard, the deleterious effect of the increasing height on the first floor on structural demands is higher than those demands on A2, B2, and C2 structures. It can be concluded that, for the assessed structures, the soft-storey effect on the intermediate floor is more detrimental to the seismic response of the structure than the ground soft-storey, but only for heights of 3.0 m and 3.5 m.
To evaluate the relationship between mass variations in consecutive storeys and irregularities in the elevation criterium in seismic response, as prescribed in prEN 1998-1-2 [], increases in the masses of the external beams on the third storey of each model of 20%, 30%, 40%, and 50% were simulated for the A2 and B2 structures. The results of this analysis is presented in Table 8. This parameter has no discernible impact on the behaviour of the structure in terms of displacement or maximum base shear during seismic occurrences, which corroborates the mass variation criteria in the aforementioned code, which presents a limit of 150% of variation for a structure be considered irregular, and also agrees with the results of Benaied et al. [].

Table 8.
Absolute displacement and base shear data, considering mass variations.
6. Conclusions
This study evaluated a broad range of irregularities in elevation scenarios, providing a thorough examination of their impacts on seismic responses. Robot Structural Analysis Professional 2024 software was used to design several structures according to Eurocode guidelines and SeismoStruct v2024 software was used to conduct a push-over analysis of these structures to analyze the seismic response of those models.
It is important to highlight that our conclusions were focused on RC structures with specific planned configurations and heights, with C30/37 concrete and B500 reinforcements. This work contributes to bettering our understanding of structural behaviour, regarding several imposed irregularities in elevation.
Hence, the following conclusions can be made.
- Despite the increases in height and the reductions in the cross-section of columns, the investigated buildings exhibit similar behaviours in terms of natural frequency.
- Increasing the height of the ground or intermediate floor has deleterious effects on lateral stiffness, top displacement, inter-storey drift, and base shear. Additionally, the soft-storey effect on the intermediate floor is more damaging to the seismic response of the structure than the ground soft-storey, but only for heights of 3.0 m and 3.5 m. On higher levels in the buildings, the behaviour is the opposite.
- For the assessed structures, the irregularity in elevation due to the difference in resistance or mass between floors did not significantly affect the seismic response. It is important to highlight that the maximum mass variation imposed was 50%. However, further studies need to be carried out to draw better conclusions.
- The planned geometry and the cross-section of columns play an important role in the inter-storey drift. Additionally, the column’s cross-section substantially impacts the base shear of structures. However, that effect could be compensated for in the planned geometry.
- Further studies with different structural geometries, considering irregularities in plans and elevations, more cross-section options for columns and beams, and mass and structural resistance variations, are necessary to draw further generalized conclusions.
Author Contributions
Conceptualization, D.S.; Methodology, D.S.; Validation, J.M.; Formal analysis, D.S.; Writing—original draft, D.S.; Writing—review & editing, J.M. and H.V.; Supervision, J.M. and H.V.; Project administration, J.M. and H.V.; Funding acquisition, D.S., J.M. and H.V. All authors have read and agreed to the published version of the manuscript.
Funding
This research was funded by national funds through the FCT/MCTES (PIDDAC), under the project DRI/India/0645/2020—Evaluation and Retrofitting of Existing Buildings for Safe and Sustainable Built Environment (https://doi.org/10.54499/DRI/India/0645/2020), and by Base Funding—UIDB/04708/2020 and Programmatic Funding—UIDP/04708/2020 of the CONSTRUCT—Instituto de I&D em Estruturas e Construções—funded by national funds through the FCT/MCTES (PIDDAC).
Data Availability Statement
The data used to support the findings of this study are available from the corresponding author upon request.
Acknowledgments
The authors would like to express their gratitude to the editors and reviewers for their constructive comments, which greatly improved the quality of this paper.
Conflicts of Interest
The authors declare no conflicts of interest.
Nomenclature
εcu,1 | Ultimate compressive strain of concrete |
εsy | Yielding strain of reinforcement |
Partial factor for permanent action j | |
Partial factor for leading variable action | |
Combination factor for variable actions | |
Acce,i,x | Seismic accidental torsional effect generated by EEd,x |
Acce,i,y | Seismic accidental torsional effect generated by EEd,y |
Design value of seismic action | |
Ag | Design ground acceleration |
DCM | Ductility class medium |
Ecm | Elastic modulus of concrete |
EEd,x | Action effect caused by the imposition of the seismic action along the selected horizontal axis x |
EEd,y | Action effect caused by the imposition of the seismic action along the selected horizontal axis y |
Es | Elastic modulus of reinforcement |
fck | Characteristic compressive strength of concrete |
fcm | Mean compressive strength of concrete |
fcd | Design compressive strength of concrete |
fctk,0.95 | Characteristic tensile strength of concrete |
fctm | Mean tensile strength of concrete |
fctd | Design tensile strength of concrete |
fyk | Characteristic yield strength of reinforcement |
fym | Mean strength of reinforcement |
fyd | Design yield strength of reinforcement |
Characteristic permanent action j | |
MRF | Moment-resisting frame |
q | Behaviour factor |
Characteristic variable action i | |
Sα | Soil factor |
ULS | Ultimate limit state |
References
- Braga, F.; Manfredi, V.; Masi, A.; Salvatori, A.; Vona, M. Performance of non-structural elements in RC buildings during the L’Aquila, 2009 Earthquake. Bull. Earthq. Eng. 2011, 9, 307–324. [Google Scholar] [CrossRef]
- Verderame, G.M.; De Luca, F.; Ricci, P.; Manfredi, G. Preliminary analysis of a soft-storey mechanism after the 2009 L’Aquila Earthquake. Earthq Eng Struct Dyn 2011, 40, 925–944. [Google Scholar] [CrossRef]
- Palermo, M.; Hernandez, R.R.; Mazzoni, S.; Trombetti, T. On the seismic behavior of a reinforced concrete building with masonry infills collapsed during the 2009 L’aquila Earthquake. Earthq. Struct. 2014, 6, 45–69. [Google Scholar] [CrossRef]
- Das, P.K.; Dutta, S.C.; Datta, T.K. Seismic behavior of plan and vertically irregular structures: State of art and future challenges. Nat. Hazards Rev. 2021, 22, 04020062. [Google Scholar] [CrossRef]
- Dutta, S.C.; Halder, L.; Sharma, R.P. Seismic vulnerability assessment of low to mid-rise RC buildings addressing prevailing design and construction practices in the northeastern region of the Indian subcontinent: A case study based approach. Structures 2021, 33, 1561–1577. [Google Scholar] [CrossRef]
- Vuran, E.; Serhatoğlu, C.; Timurağaoğlu, M.Ö.; Smyrou, E.; Bal, İ.E.; Livaoğlu, R. Damage observations of RC buildings from 2023 Kahramanmaraş earthquake sequence and discussion on the seismic code regulations. Bull. Earthq. Eng. 2024, 1–30. [Google Scholar] [CrossRef]
- Varum, H.; Melo, J.; Furtado, A.; Lima, A. Irregularities in RC buildings: Perspectives in current seismic design codes, difficulties in their application and further research needs. In Seismic Behaviour and Design of Irregular and Complex Civil Structures IV; Bento, R., De Stefano, M., Köber, D., Zembaty, Z., Eds.; Geotechnical, Geological and Earthquake Engineering; Springer International Publishing: Cham, Switzerland, 2022; Volume 50, ISBN 978-3-030-83220-9. [Google Scholar]
- Jara, J.M.; Hernández, E.J.; Olmos, B.A.; Martínez, G. Building damages during the September 19, 2017 Earthquake in Mexico City and seismic retrofitting of existing first soft-story buildings. Eng. Struct. 2020, 209, 109977. [Google Scholar] [CrossRef]
- Athanassiadou, C.J. Seismic performance of R/C plane frames irregular in elevation. Eng. Struct. 2008, 30, 1250–1261. [Google Scholar] [CrossRef]
- Tena-Colunga, A. Review of the soft first story irregularity condition of buildings for seismic design. Open Civ. Eng. J. 2010, 4, 1–15. [Google Scholar] [CrossRef]
- Özbayrak, A.; Altun, F. Numerical investigation of the effect of beam slab openings in RC structures on seismic behavior. Rev. De La Constr. 2021, 20, 512–526. [Google Scholar] [CrossRef]
- Mouhine, M.; Hilali, E. Seismic vulnerability assessment of RC buildings with setback irregularity. Ain Shams Eng. J. 2022, 13, 101486. [Google Scholar] [CrossRef]
- Benaied, B.; Hemsas, M.; Benanane, A.; Hentri, M. Seismic analysis of RC building frames with vertical mass and stiffness irregularities using adaptive pushover analysis. Rev. De La Constr. 2023, 22, 597–612. [Google Scholar] [CrossRef]
- Ulutaş, H. Investigation of the causes of soft-storey and weak-storey formations in low- and mid-rise RC buildings in Türkiye. Buildings 2024, 14, 1308. [Google Scholar] [CrossRef]
- Cansız, S. Analytical investigation of the measures to be taken against weak storey irregularities. Rev. De La Constr. 2023, 22, 407–418. [Google Scholar] [CrossRef]
- Pesaralanka, V.; Challagulla, S.P.; Vicencio, F.; Chandra Babu, P.S.; Hossain, I.; Jameel, M.; Ramakrishna, U. Influence of a soft story on the seismic response of non-structural components. Sustainability 2023, 15, 2860. [Google Scholar] [CrossRef]
- Hareen, C.H.B.V.; Mohan, S.C. Evaluation of seismic torsional response of ductile RC buildings with soft first story. Structures 2021, 29, 1640–1654. [Google Scholar] [CrossRef]
- Ruiz-García, J.; Cárdenas, Y. Seismic performance assessment of weak first-storey RC buildings designed with old and new seismic provisions for Mexico City. Eng. Struct. 2021, 232, 111803. [Google Scholar] [CrossRef]
- Zakian, P.; Kaveh, A. Seismic design optimization of engineering structures: A comprehensive review. Acta Mech. 2023, 234, 1305–1330. [Google Scholar] [CrossRef]
- EN 1998-1; Eurocode 8: Design of Structures for Earthquake Resistance—Part 1: General Rules, Seismic Actions and Rules for Buildings. European Committee for Standardization: Brussels, Belgium, 2005.
- EN 1992-1-1; Eurocode 2: Design of Concrete Structures—Part 1–1: General Rules and Rules for Buildings. European Committee for Standardization: Brussels, Belgium, 2004.
- PrEN 1998-1-2; Eurocode 8: Design of Structures for Earthquake Resistance—Part 1–2: Rules for New Buildings, Draft Post-ENQ 48th Meeting CEN/TC250/SC8. European Committee for Standardization: Brussels, Belgium, 2024.
- Censos 2021 Resultados Definitivo-Portugal; Instituto Nacional de Estatística, I.P.: Lisbon, Portugal, 2022.
- Maranhão, H.; Varum, H.; Melo, J.; Correia, A.A. Comparative analysis of the impact of design and detailing provisions for RC moment resisting frames under the first- and second-generation of Eurocode 8. Eng. Struct. 2024, 306, 117809. [Google Scholar] [CrossRef]
- EN 206; Concrete—Part 1: Specification, Performance, Production and Conformity. European Committee for Standardization: Brussels, Belgium, 2007.
- EN 10080; Steel for the Reinforcement of Concrete: Weldable Reinforcing Steel: General. BSI: European Committee for Standardization: Brussels, Belgium, 2005.
- Autodesk Robot Structural Analysis Professional: BIM Structural Analysis Software for Engineers. Available online: https://help.autodesk.com/view/RSAPRO/2024/ENU/ (accessed on 20 January 2024).
- EN 1990; Eurocode-Basis of Structural Design. European Committee for Standardization: Brussels, Belgium, 2002.
- EN 1991-1-1; Eurocode 1: Actions on Structures—Part 1–1: General Actions-Densities, Self-Weight, Imposed Loads for Buildings. European Committee for Standardization: Brussels, Belgium, 2002.
- Seismosoft. SeismoStruct 2021—A Computer Program for Static and Dynamic Nonlinear Analysis of Framed Structures; Seismosoft Ltd.: Pavia, Italy, 2021. [Google Scholar]
- Seismosoft. SeismoStruct Verification Report; Seismosoft Ltd.: Pavia, Italy, 2022. [Google Scholar]
- Dya, A.F.C.; Oretaa, A.W.C. Seismic vulnerability assessment of soft story irregular buildings using pushover analysis. Procedia Eng. 2015, 125, 925–932. [Google Scholar] [CrossRef]
- Chintanapakdee, C.; Chopra, A.K. Seismic response of vertically irregular frames: Response history and modal pushover analyses. J. Struct. Eng. 2004, 130, 1177–1185. [Google Scholar] [CrossRef]
- Nezhad, M.E.; Poursha, M. Seismic evaluation of vertically irregular building frames with stiffness, strength, combined-stiffness-and-strength and mass irregularities. Earthq. Struct. 2015, 9, 353–373. [Google Scholar] [CrossRef]
- Ditommaso, R.; Lamarucciola, N.; Ponzo, F.C. Prediction of the fundamental period of infilled RC framed structures considering the maximum inter-story drift at different design limit states. Structures 2024, 63, 106422. [Google Scholar] [CrossRef]
- Abd-Alghany, M.M.; El-Kashif, K.F.; Abdalla, H.A. Seismic response of multi-storey reinforced concrete buildings with soft floor. HBRC J. 2021, 17, 407–428. [Google Scholar] [CrossRef]
- Ibrahim, T.S.; Mohamad, H.J. Effects of soft story locations on the nonlinear time history analysis of multistory reinforced concrete buildings. Civ. Environ. Eng. 2024, 20, 544–554. [Google Scholar] [CrossRef]
- Cabrera, J.L.; Ruiz, S.E.; Teran-Gilmore, A. Open ground story mid-rise buildings represented by simplified systems. Buildings 2024, 14, 1269. [Google Scholar] [CrossRef]
Disclaimer/Publisher’s Note: The statements, opinions and data contained in all publications are solely those of the individual author(s) and contributor(s) and not of MDPI and/or the editor(s). MDPI and/or the editor(s) disclaim responsibility for any injury to people or property resulting from any ideas, methods, instructions or products referred to in the content. |
© 2024 by the authors. Licensee MDPI, Basel, Switzerland. This article is an open access article distributed under the terms and conditions of the Creative Commons Attribution (CC BY) license (https://creativecommons.org/licenses/by/4.0/).