Street Puppet Theatre Shows on the Façades of Commercial Buildings as a Novel Stimulator for Social Gatherings in Smart Cities
Abstract
1. Introduction
2. Literature Review
2.1. Street Performances and Their Role in Fostering Social Gatherings
2.2. Building Façades and Their Role on Social Activities
2.3. Interaction of Street Performances and Urban Façades
3. Materials and Methods
3.1. Data Collection
3.2. Location of the Case Study
4. Results
4.1. Simulation Analysis of Urban Morphology Using Space Syntax
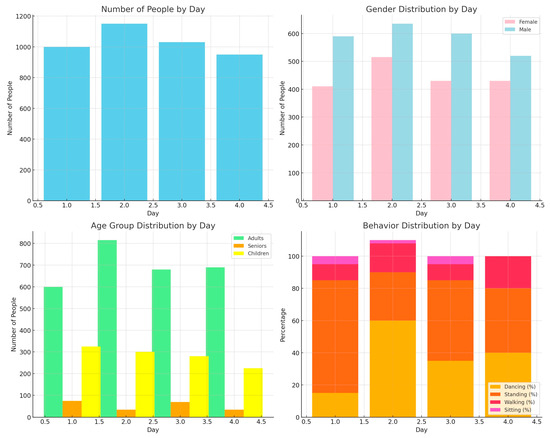
4.2. Empirical Observations
4.3. The Mechanism Linking Building Façades, Street Shows, and Social Activities
- Scenario 1: Highly Interactive Spaces: On days when the performance drew larger crowds and generated more active participation (e.g., dancing, singing), the social dynamics of the space were more pronounced. This scenario highlights the potential of façade-based performances to transform static public spaces into dynamic, interactive hubs. It demonstrates how such performances can generate a high degree of sociality in spaces that are otherwise only mildly integrated into the urban fabric.
- Scenario 2: Passive Viewing and Limited Engagement: On other days, particularly when adverse weather conditions were present, the audience exhibited less physical interaction and more passive viewing behaviour. This scenario suggests that the success of façade-based performances may depend on additional factors such as environmental conditions or the type of performance. In this case, the façade’s role in fostering social activity was more limited, serving primarily as a visual attraction rather than a full facilitator of social activities.
- Scenario 3: Façade as a Social Equaliser: In spaces with lower connectivity or integration, such as the studied site, façade performances may act as equalisers by drawing people to otherwise less vibrant areas. This scenario can be particularly valuable in urban design, where certain areas may lack the inherent spatial qualities that foster social interaction. By introducing performances on these façades, urban planners could strategically enhance the sociability of less integrated spaces.
5. Discussion
5.1. The Interpretation and Contribution of This Study
5.2. Implications for Policy and Planning
5.3. Limitations and Future Research Orientation
6. Conclusions
Author Contributions
Funding
Data Availability Statement
Acknowledgments

- For the purpose of ensuring linguistic correctness, the authors used OpenAI services to verify the appropriateness of the linguistic structure and readability. After using this tool, the authors thoroughly reviewed and edited the content as needed, taking full responsibility for the publication’s content.
Conflicts of Interest
References
- Bibri, S.E.; Krogstie, J. On the Social Shaping Dimensions of Smart Sustainable Cities: A Study in Science, Technology, and Society. Sustain. Cities Soc. 2017, 29, 219–246. [Google Scholar] [CrossRef]
- Annunziata, A.; Garau, C. Understanding Kid-Friendly Urban Space for a More Inclusive Smart City: The Case Study of Cagliari (Italy). In Proceedings of the Computational Science and Its Applications—ICCSA 2018: 18th International Conference, Melbourne, Australia, 2–5 July 2018; Proceedings, Part III. Springer International Publishing: Berlin/Heidelberg, Germany, 2018; pp. 589–605. [Google Scholar] [CrossRef]
- De Falco, S.; Angelidou, M.; Addie, J.-P.D. From the “Smart City” to the “Smart Metropolis”? Building Resilience in the Urban Periphery. Eur. Urban Reg. Stud. 2019, 26, 205–223. [Google Scholar] [CrossRef]
- Garau, C.; Annunziata, A. Public Open Spaces: Connecting People, Squares and Streets by Measuring the Usability through the Villanova District in Cagliari, Italy. Transp. Res. Procedia 2022, 60, 314–321. [Google Scholar] [CrossRef]
- Nasar, J. Environmental Aesthetics: Theory, Research, and Applications; Cambridge University: Cambridge, UK, 1988. [Google Scholar]
- Kordi, A.O.; Galal Ahmed, K. Towards a Socially Vibrant City: Exploring Urban Typologies and Morphologies of the Emerging “CityWalks” in Dubai. City Territ. Archit. 2023, 10, 34. [Google Scholar] [CrossRef]
- Carmona, M. Public Places Urban Spaces: The Dimensions of Urban Design; Routledge: New York, NY, USA, 2021. [Google Scholar] [CrossRef]
- Biddau, G.M.; Marotta, A.; Sanna, G. Abandoned Landscape Project Design. City Territ. Archit. 2020, 7, 10. [Google Scholar] [CrossRef]
- Kesici, N.; Erkan, N.Ç. The Effect of Public Facade Characteristics on Changing Pedestrian Behaviors. J. Archit. Urban. 2023, 47, 68–76. [Google Scholar] [CrossRef]
- Askarizad, R.; Jafari, B. The Influence of Neo-Classical Facades on Urban Textures of Iran. J. Hist. Cult. Art Res. 2019, 8, 188–200. [Google Scholar] [CrossRef]
- Salingaros, N.A. Urban Space and Its Information Field. J. Urban Des. 1999, 4, 29–49. [Google Scholar] [CrossRef]
- Nasar, J.L. Urban Design Aesthetics: The Evaluative Qualities of Building Exteriors. Environ. Behav. 1994, 26, 377–401. [Google Scholar] [CrossRef]
- Gehl, J.; Kaefer, L.J.; Reigstad, S. Close Encounters with Buildings. Urban Des. Int. 2006, 11, 29–47. [Google Scholar] [CrossRef]
- Serra, J.; Iñarra, S.; Torres, A.; Llopis, J. Analysis of Facade Solutions as an Alternative to Demolition for Architectures with Visual Impact in Historical Urban Scenes. J. Cult. Herit. 2021, 52, 84–92. [Google Scholar] [CrossRef]
- Tomitsch, M.; McArthur, I.; Haeusler, M.H.; Foth, M. The Role of Digital Screens in Urban Life: New Opportunities for Placemaking. In Citizen’s Right to the Digital City; Foth, M., Brynskov, M., Ojala, T., Eds.; Springer: Singapore, 2015; pp. 37–54. [Google Scholar] [CrossRef]
- Matin, N.H.; Eydgahi, A. Technologies Used in Responsive Facade Systems: A Comparative Study. Intell. Build. Int. 2019, 14, 54–73. [Google Scholar] [CrossRef]
- Bianchi, S.; Andriotis, C.; Klein, T.; Overend, M. Multi-Criteria Design Methods in Façade Engineering: State-of-the-Art and Future Trends. Build. Environ. 2024, 250, 111184. [Google Scholar] [CrossRef]
- Silva, B.N.; Khan, M.; Han, K. Towards Sustainable Smart Cities: A Review of Trends, Architectures, Components, and Open Challenges in Smart Cities. Sustain. Cities Soc. 2018, 38, 697–713. [Google Scholar] [CrossRef]
- Kadaei, S.; Nezam, Z.; González-Lezcano, R.A. A New Approach to Determine the Reverse Logistics-Related Issues of Smart Buildings Focusing on Sustainable Architecture. Front. Environ. Sci. 2022, 10, 1079522. [Google Scholar] [CrossRef]
- Hui, C.X.; Dan, G.; Alamri, S.; Toghraie, D. Greening smart cities: An investigation of the integration of urban natural resources and smart city technologies for promoting environmental sustainability. Sustain. Cities Soc. 2023, 99, 104985. [Google Scholar] [CrossRef]
- Li, H.; Liu, Y.; Qin, Z.; Rong, H.; Liu, Q. A Large-Scale Urban Vehicular Network Framework for IoT in Smart Cities. IEEE Access 2019, 7, 74437–74449. [Google Scholar] [CrossRef]
- Simpson, P. Street Performance and the City: Public Space, Sociality, and Intervening in the Everyday. Space Cult. 2011, 14, 415–430. [Google Scholar] [CrossRef]
- Bennett, A.; Rogers, I. Street Music, Technology and the Urban Soundscape. Continuum 2014, 28, 454–464. [Google Scholar] [CrossRef]
- Song, H.; Pan, M.; Chen, Y. Nightlife and Public Spaces in Urban Villages: A Case Study of the Pearl River Delta in China. Habitat Int. 2016, 57, 187–204. [Google Scholar] [CrossRef]
- Nomeikaite, L. Heritagization of Street Art as a Theatrical Performance: The Case Study of Dolk’s Artworks Conservation in Bergen, Norway. J. Urban Cult. Stud. 2020, 7, 133–155. [Google Scholar] [CrossRef]
- Askarizad, R.; Safari, H. The Influence of Social Interactions on the Behavioral Patterns of the People in Urban Spaces (Case Study: The Pedestrian Zone of Rasht Municipality Square, Iran). Cities 2020, 101, 102687. [Google Scholar] [CrossRef]
- Kaklauskas, A.; Bardauskiene, D.; Cerkauskiene, R.; Ubarte, I.; Raslanas, S.; Radvile, E.; Kaklauskaite, U.; Kaklauskiene, L. Emotions Analysis in Public Spaces for Urban Planning. Land Use Policy 2021, 107, 105458. [Google Scholar] [CrossRef]
- Antchak, V.; Gorchakova, V.; Rossetti, G. The Value of Events in Times of Uncertainty: Insights from Balcony Performances in Italy during the COVID-19 Lockdown. Ann. Leis. Res. 2024, 27, 87–104. [Google Scholar] [CrossRef]
- Lin, J.; Wang, X.; Lin, G. Performance and Atmosphere in Urban Public Spaces: Street Music in Guangzhou, China. Geogr. Res. 2024, 62, 279–292. [Google Scholar] [CrossRef]
- Stevens, Q.; Leorke, D.; Thai, H.M.H.; Innocent, T.; Tolentino, C. Playful, Portable, Pliable Interventions into Street Spaces: Deploying a ‘Playful Parklet’ across Melbourne’s Suburbs. J. Urban Des. 2024, 29, 231–251. [Google Scholar] [CrossRef]
- Urbanowicz, K.; Nyka, L. Interactive and Media Architecture—From Social Encounters to City Planning Strategies. Procedia Eng. 2016, 161, 1330–1337. [Google Scholar] [CrossRef][Green Version]
- Hassan, D.M.; Moustafa, Y.M.; El-Fiki, S.M. Ground-Floor Façade Design and Staying Activity Patterns on the Sidewalk: A Case Study in the Korba Area of Heliopolis, Cairo, Egypt. Ain Shams Eng. J. 2019, 10, 453–461. [Google Scholar] [CrossRef]
- Elsadek, M.; Liu, B.; Lian, Z. Green Façades: Their Contribution to Stress Recovery and Well-Being in High-Density Cities. Urban For. Urban Green. 2019, 46, 126446. [Google Scholar] [CrossRef]
- Mao, Y.; Qi, J.; He, B.-J. Impact of the Heritage Building Façade in Small-Scale Public Spaces on Human Activity: Based on Spatial Analysis. Environ. Impact Assess. Rev. 2020, 85, 106457. [Google Scholar] [CrossRef]
- Hollander, J.B.; Anderson, E.C. The Impact of Urban Façade Quality on Affective Feelings. Archnet-IJAR 2020, 14, 219–232. [Google Scholar] [CrossRef]
- Yuan, M.; Chen, Y. Analysis of Factors Influencing Street Vitality in High-Density Residential Areas Based on Multi-Source Data: A Case Study of Shanghai. Int. J. High-Rise Build. 2021, 10, 1–8. [Google Scholar] [CrossRef]
- Wiethoff, A.; Hoggenmueller, M.; Rossmy, B.; Hirsch, L.; Hespanhol, L.; Tomitsch, M. A Media Architecture Approach for Designing the Next Generation of Urban Interfaces. Interact. Des. Archit. 2021, 48, 9–32. [Google Scholar] [CrossRef]
- Afonso, A.G.; Schieck, A. Play in the Smart City Context: Exploring Interactional, Bodily, Social and Spatial Aspects of Situated Media Interfaces. Behav. Inform. Technol. 2019, 39, 656–680. [Google Scholar] [CrossRef]
- Silvennoinen, H.; Kuliga, S.; Herthogs, P.; Recchia, D.R.; Tunçer, B. Effects of Gehl’s Urban Design Guidelines on Walkability: A Virtual Reality Experiment in Singaporean Public Housing Estates. Environ. Plan. B Urban Anal. City Sci. 2022, 49, 2409–2428. [Google Scholar] [CrossRef]
- Balasubramanian, S.; Irulappan, C.; Kitchley, J.L. Aesthetics of Urban Commercial Streets from the Perspective of Cognitive Memory and User Behavior in Urban Environments. Front. Archit. Res. 2022, 11, 949–962. [Google Scholar] [CrossRef]
- Yazdi, S.; Alier Forment, M.; Sanchez Riera, A.; Askarizad, R. Assessing the Impact of Double-Skin Façades on Social Activities of People in Urban Spaces Using Empirical and Syntactical Analysis. J. Asian Archit. Build. Eng. 2024, 23, 813–828. [Google Scholar] [CrossRef]
- Hillier, B.; Hanson, J. The Social Logic of Space; Cambridge University Press: Cambridge, MA, USA, 1984. [Google Scholar]
- Penn, A. Space Syntax and Spatial Cognition: Or Why the Axial Line? Environ. Behav. 2003, 35, 30–65. [Google Scholar] [CrossRef]
- Karimi, K. The Configurational Structures of Social Spaces: Space Syntax and Urban Morphology in the Context of Analytical, Evidence-Based Design. Land 2023, 12, 2084. [Google Scholar] [CrossRef]
- Al Sayed, K.; Turner, A.; Hillier, B.; Lida, S.; Penn, A. Space Syntax Methodology, 4th ed.; Bartlett School of Architecture, UCL: London, UK, 2014. [Google Scholar]
- Askarizad, R.; Lamíquiz Daudén, P.J.; Garau, C. The Application of Space Syntax to Enhance Sociability in Public Urban Spaces: A Systematic Review. ISPRS Int. J. Geo-Inf. 2024, 13, 227. [Google Scholar] [CrossRef]
- Luna-Navarro, A.; Loonen, R.; Juaristi, M.; Monge-Barrio, A.; Attia, S.; Overend, M. Occupant-Facade Interaction: A Review and Classification Scheme. Build. Environ. 2020, 177, 106880. [Google Scholar] [CrossRef]
- Askarizad, R.; Daudén, P.J.L.; Garau, C. Exploring the Role of Configurational Accessibility of Alleyways on Facilitating Wayfinding Transportation within the Organic Street Network Systems. Transp. Policy 2024, 157, 179–194. [Google Scholar] [CrossRef]
- Yun, J. A Copy Is (Not a Simple) Copy: Role of Urban Landmarks in Branding Seoul as a Global City. Front. Archit. Res. 2019, 8, 44–54. [Google Scholar] [CrossRef]
- Moghaddam, E.V.; Ibrahim, R. People’s Evaluation towards Media Façade as New Urban Landmarks at Night. Archnet-IJAR 2016, 10, 257. [Google Scholar] [CrossRef]
- Loo, B.P.; Fan, Z. Social interaction in public space: Spatial edges, moveable furniture, and visual landmarks. Environ. Plan. B Urban Anal. City Sci. 2023, 50, 2510–2526. [Google Scholar] [CrossRef]
- Hamidi, S.; Bonakdar, A.; Keshavarzi, G.; Ewing, R. Do Urban Design Qualities Add to Property Values? An Empirical Analysis of the Relationship between Urban Design Qualities and Property Values. Cities 2020, 98, 102564. [Google Scholar] [CrossRef]
- He, F.; He, Y.; Sun, L. Gender Differences in Color Perceptions and Preferences of Urban Façades Based on a Virtual Comparison. Build. Environ. 2023, 245, 110907. [Google Scholar] [CrossRef]
- Askari, A.H.; Soltani, S. The Role of Physical and Visual Elements in Creating Streetscapes: Cases in Kuala Lumpur City, Malaysia. Alam Cipta Int. J. Sustain. Trop. Des. Res. Pract. 2022, 15, 29–40. [Google Scholar] [CrossRef]
- Fu, H.; Wang, P.; Zhou, J.; Zhang, S.; Li, Y. Investigating the Influence of Visual Elements of Arcade Buildings and Streetscapes on Place Identity Using Eye-Tracking and Semantic Differential Methods. Buildings 2023, 13, 1580. [Google Scholar] [CrossRef]
- Kawshalya, L.W.G.; Weerasinghe, U.G.D.; Chandrasekara, D.P. The Impact of Visual Complexity on Perceived Safety and Comfort of the Users: A Study on Urban Streetscape of Sri Lanka. PLoS ONE 2022, 17, e0272074. [Google Scholar] [CrossRef]
- Gjerde, M.; Vale, B. An Examination of People’s Preferences for Buildings and Streetscapes in New Zealand. Aust. Plan. 2022, 58, 36–48. [Google Scholar] [CrossRef]
- Bharmoria, R.; Sharma, V. Sustainable Interventions to Improve the Degrading Visual Quality of Place and Street Spaces in Urban Hill Town of Shimla Region, Himachal Pradesh. GeoJournal 2023, 88, 5609–5626. [Google Scholar] [CrossRef]
- Porta, S.; Renne, J. Linking urban design to sustainability: Formal indicators of social urban sustainability field research in Perth, Western Australia. Urban Des. Int. 2005, 10, 51–64. [Google Scholar] [CrossRef]
- Lee, J.; Park, S. Current Design Guidelines’ Streetscape Improvement for Visual Perception and Walkability: A Case Study of Sejong City, Republic of Korea. Front. Archit. Res. 2023, 12, 423–443. [Google Scholar] [CrossRef]
- Askarizad, R.; He, J. Gender Equality of Privacy Protection in the Use of Urban Furniture in the Muslim Context of Iran. Local Environ. 2023, 28, 1311–1330. [Google Scholar] [CrossRef]
- Prieto, A.; Oldenhave, M. What Makes a Façade Beautiful? Architects’ Perspectives on the Main Aspects That Inform Aesthetic Preferences in Façade Design. J. Facade Des. Eng. 2021, 9, 21–46. [Google Scholar] [CrossRef]
- Zhang, L.; Zhang, R.; Yin, B. The Impact of the Built-Up Environment of Streets on Pedestrian Activities in the Historical Area. Alex. Eng. J. 2021, 60, 285–300. [Google Scholar] [CrossRef]
- Buttazzoni, A.; Dean, J.; Minaker, L. Urban design and adolescent mental health: A qualitative examination of adolescent emotional responses to pedestrian- and transit-oriented design and cognitive architecture concepts. Health Place 2022, 76, 102825. [Google Scholar] [CrossRef]
- Heffernan, E.; Heffernan, T.; Pan, W. The Relationship Between the Quality of Active Frontages and Public Perceptions of Public Spaces. Urban Des. Int. 2014, 19, 92–102. [Google Scholar] [CrossRef]
- Rui, J.; Othengrafen, F. Examining the Role of Innovative Streets in Enhancing Urban Mobility and Livability for Sustainable Urban Transition: A Review. Sustainability 2023, 15, 5709. [Google Scholar] [CrossRef]









Disclaimer/Publisher’s Note: The statements, opinions and data contained in all publications are solely those of the individual author(s) and contributor(s) and not of MDPI and/or the editor(s). MDPI and/or the editor(s) disclaim responsibility for any injury to people or property resulting from any ideas, methods, instructions or products referred to in the content. |
© 2024 by the authors. Licensee MDPI, Basel, Switzerland. This article is an open access article distributed under the terms and conditions of the Creative Commons Attribution (CC BY) license (https://creativecommons.org/licenses/by/4.0/).
Share and Cite
Askarizad, R.; Dastoum, M.; Garau, C. Street Puppet Theatre Shows on the Façades of Commercial Buildings as a Novel Stimulator for Social Gatherings in Smart Cities. Buildings 2024, 14, 2950. https://doi.org/10.3390/buildings14092950
Askarizad R, Dastoum M, Garau C. Street Puppet Theatre Shows on the Façades of Commercial Buildings as a Novel Stimulator for Social Gatherings in Smart Cities. Buildings. 2024; 14(9):2950. https://doi.org/10.3390/buildings14092950
Chicago/Turabian StyleAskarizad, Reza, Mana Dastoum, and Chiara Garau. 2024. "Street Puppet Theatre Shows on the Façades of Commercial Buildings as a Novel Stimulator for Social Gatherings in Smart Cities" Buildings 14, no. 9: 2950. https://doi.org/10.3390/buildings14092950
APA StyleAskarizad, R., Dastoum, M., & Garau, C. (2024). Street Puppet Theatre Shows on the Façades of Commercial Buildings as a Novel Stimulator for Social Gatherings in Smart Cities. Buildings, 14(9), 2950. https://doi.org/10.3390/buildings14092950

