Next Article in Journal
Efficiency Comparison between Simplified and Advanced Evacuation Analysis Models: A Case Study of Guryong Station, Republic of Korea
Previous Article in Journal
Numerical and Theoretical Study on Flexural Performance and Reasonable Structural Parameters of New Steel Grating–UHPFRC Composite Bridge Deck in Negative Moment Zone
 
 
Font Type:
Arial Georgia Verdana
Font Size:
Aa Aa Aa
Line Spacing:
Column Width:
Background:
Article

Finite Element Modeling of Beam-to-Column Steel Timber Composite Joints with Different Parameters

1
School of Civil Engineering and Geomatics, Southwest Petroleum University, Chengdu 610500, China
2
School of Intelligent Manufacturing, Nanjing University of Science and Technology, Nanjing 210094, China
3
The Second Construction Co., Ltd., of China Construction First Group, Beijing 102699, China
4
Guangxi Communications Design Group Co., Ltd., Nanning 530022, China
*
Author to whom correspondence should be addressed.
These authors contributed equally to this work.
Buildings 2024, 14(9), 2858; https://doi.org/10.3390/buildings14092858
Submission received: 26 July 2024 / Revised: 4 September 2024 / Accepted: 6 September 2024 / Published: 10 September 2024
(This article belongs to the Section Building Structures)

Abstract

This study presents a comprehensive three-dimensional finite element modeling and parametric analysis of composite beam-to-column joints in steel–timber composite structures. The investigation encompassed a variety of shear connector configurations, end plate designs, and bolt dimensions, aiming to elucidate their respective influences on the structural performance and behavior of these joints. Through meticulous numerical simulation, this research sought to enhance the understanding of the interactions and load transfer mechanisms within composite connections, thereby contributing to the optimization of design practices in the field of structural engineering. The load–displacement relationship for timber–steel composite joints subjected to monotonic loading was investigated using ABAQUS 6.14 software. This study systematically analyzed the effects of various parameters, including different configurations of shear connectors, end plate thicknesses, and bolt dimensions, on the overall performance of the joints. Through this comprehensive numerical analysis, the research aimed to provide deeper insights into the mechanical behavior and structural integrity of these composite connections under the applied loading conditions. A non-linear finite element model of timber was developed and verified with the results of the experiment in this study. The findings are discussed in detail, highlighting the intricate relationships between the selected parameters and their respective effects on the performance and overall stability of the composite connections. This thorough evaluation aimed to enhance the understanding of how these variables interact within the context of composite joint design and behavior. Finally, design recommendations for composite structures, such as the dimensions of the bolt, end plate thickness, and different sizes of shear connectors are provided.

1. Introduction

The utilization of cross-laminated timber (CLT)–steel composite structures has witnessed significant growth in recent decades [1,2,3,4,5,6,7,8,9]. This structural system offers notable advantages, including reduced carbon emissions and energy consumption. Moreover, the integration of CLT and steel elements effectively reduces the overall weight of a building, leading to minimized foundation requirements and improved structural stability [10,11,12,13,14,15,16,17,18,19]. However, previous research has often overlooked the critical importance of properly designing beam-to-column steel–timber composite joints. Neglecting this aspect can have detrimental effects on overall structural stability and strength. Therefore, it is imperative to emphasize the necessity of meticulous joint design for composite materials, considering a holistic perspective of the entire structure.
The use of bolts as shear connectors in composite beams and joints has a history spanning approximately 50 years. Numerous experimental and numerical investigations have been conducted to explore the effectiveness of bolts as shear connectors in composite structures, particularly in scenarios involving concrete/timber slabs and steel top flanges [17,20,21,22,23,24]. These studies aimed to enhance the resistance at the steel–concrete interface. However, it is noteworthy that limited research has been reported on the modeling of sustainable semi-rigid extended end plate composite joints incorporating various types of bolted shear connectors.
Finite element models were employed to simulate the load–slip response and predict the stiffness and peak load-carrying capacity of shear connectors and timber–steel connections in push-out experiments [25,26]. These models were developed using the Abaqus software and took into account the mechanical properties obtained from tensile, compressive, and shear strength experiments. Three-dimensional finite element models were constructed to accurately represent the timber–steel composite structure, incorporating different types of shear connectors. The models also considered the failure modes of the timber components, steel plates, and shear connectors, enhancing the understanding of the structural behavior and performance of composite joints.
Wood is characterized by its anisotropic properties, exhibiting ductile behavior under compressive loading and brittle behavior under tension and shear [27]. These distinct mechanical responses often result in simultaneous failure modes, necessitating the consideration of non-linear properties in timber and timber–steel joints. Traditional methods may not adequately capture the behavior of these structures, prompting the application of 3D finite element modeling to accurately assess parameters such as the stiffness, peak load, compressive strength, and capacity of timber bars, steel plates, shear connectors, and composite joints.
To overcome the limitations of experimental data transferability to numerical models, Sandhaas and Kuilen (2013) developed a numerical approach based on continuum damage mechanics to describe timber behavior in finite element models [27]. This breakthrough enables a more comprehensive representation of timber properties in simulations. In addition, push-out tests were designed to analyze the behavior of composite joints, providing valuable insights into their performance. Building upon this work, another study investigated the mechanical behavior of lap steel–timber composite connections using a 3D continuum-based finite element model [7]. These studies contributed to the advancement of understanding and modeling of timber–steel composite structures.
To investigate the relationship of the connections between the timber, steel plate, and shear connectors, the failure mode and damage of timber and shear connectors were evaluated by experiments using a push-out test [28]. A new shear connector for steel–concrete structures was designed to provide verification of the failure modes of shear connectors [29], and push-out tests were designed to show the transfer mechanisms of shear connectors and the structure [30,31,32].After that, varied connectors were assembled to connect timber with steel joints, which determined the appropriate embedment depth of the steel plates into the CLT panels.
This study presents the development of finite element models to investigate the mechanical and structural behavior of steel–cross-laminated timber (CLT) composite beams at the connection with steel columns. The models incorporated different types of shear connectors to assess their effectiveness in enhancing the overall performance of the composite structure. A parametric study was conducted to evaluate the mechanical and structural behavior of the composite beams with various shear connectors, aiming to identify the optimal configuration for achieving improved performance. The findings of this study can contribute to the advancement of knowledge in the field of steel–CLT composite structures and provide valuable insights for the design and construction of such systems.
The non-linear behavior of the steel plates, screws, and bolts was accounted for using an elastic-hardening plastic model. Additionally, the steel plates and shear connectors were modeled using non-linear models. To validate the reliability of the finite element model, push-out tests were performed on the composite structure, and the results were compared with the analytical predictions. Furthermore, a parametric study was conducted to enhance the mechanical and physical properties of the different types of connectors used in the joints. The findings from this study can contribute to the understanding of the structural behavior and performance of steel–timber composite joints. The developed finite element models provide valuable insights into the effect of varied bolted shear connectors on the overall structural response, which can aid in the design and optimization of such composite structures.

2. Testing Platform and Methodology

2.1. Testing Platform

The experimental setup for testing the composite structure, as depicted in Figure 1 and Figure 2, comprised an experimental platform, a loading unit, and isolated measurement pods. The force required for the test was generated by a test system, with its speed being controlled and monitored by a computer. The measuring range of the test system spanned from 0.2 mm/min to 250 mm/min.
The composite structure under investigation was composed of a steel beam and column, interconnected by shear connectors. Additionally, a timber plate was affixed to the top of the steel beam using shear connectors.
The operational procedure of the structural mechanics combination experimental device involved the utilization of sensors to measure the speed and force parameters. Subsequently, a hydraulic pressure system was activated, exerting pressure on the central region of the composite structure. Concurrently, the isolated measurement pods captured and recorded the stress and strain experienced by the structure. Experimental tests represent a highly effective methodology for comprehensively investigating the mechanical behavior of beams and composite joints.

2.2. Methodology

Initially, during the experimental research process, a systematic three-point loading method was employed to apply pressure to the steel joint. Experimental tests on the steel joint (SJ) were conducted using this three-point testing method, with sensors strategically placed at critical locations to obtain experimental data. Subsequently, finite element simulation analyses were performed. A finite element model was developed under the same conditions, allowing the application of the same loading method during the simulation tests. By continuously iterating and refining the comparison between the finite element model of the steel joint and the experimental results, the analyses were adjusted until the outcomes met the required curve specifications.
The configuration of the composite structure experimental setup is illustrated in Figure 1, while the geometry of the steel joint is depicted in Figure 3, where the specimens are arranged in an inverted position. To mitigate the stress concentration at the support points between the plate and the column, a 10 mm thick steel plate was utilized. A hydraulic jack was employed to apply vertical loads to the specimens, controlled by displacement, until the peak load was reached. The experimental loading rates were carefully selected at 0.3 mm/min, 0.6 mm/min, and 1.2 mm/min [33,34], with the experiment designed to terminate immediately upon observing a significant reduction in load.
Based on this simulation, validation of the material structure was conducted. In the steel joint model, CLT (cross-laminated timber) panels and shear connectors were incorporated, followed by finite element simulation analyses of this modified configuration. The resultant finite element analysis curves, which included both timber panels and shear connectors, were then validated by comparing them with data obtained from actual experiments on timber–steel composite joints. This comparison prompted further model refinements to achieve curves that closely aligned with the experimental results.
Subsequently, previously established shear connector load–slip relationships from prior research were utilized to replace the shear connector data obtained from the current study. This substitution enabled conclusions to be drawn from various shear connector curves. Relevant comparative simulation results were derived, enhancing the optimization of the structural design. Similarly, different conclusions regarding varying end plate thicknesses and bolt sizes were also reached.

3. Modeling and Modeling Results

3.1. Finite Element Analysis of Composite Structures

This study employed finite element analysis using ABAQUS software to meticulously simulate and analyze timber–steel composite structures, ensuring accurate and reliable results through careful parameter adjustments. The verification process compared the experimental results with numerical simulations, focusing on half of the structure due to the symmetry and loading conditions, which optimized the computational resources, given the model’s large dimensions. The geometric configuration was based on Ataei et al.’s 2016 study [35], leading to the development of two models: the steel joint (SJ) model, which excluded cross-laminated timber (CLT) elements, and the composite joint (CJ) model, which included a steel beam, column, M24 bolts, a CLT slab, and other reinforcement components.
The modeling process meticulously considered material properties, load conditions, and boundary conditions for both SJ and CJ models, with further details provided in the following sections. To enhance the computational efficiency, a simplified representation of the bolt was employed, with its dimensions and shape outlined in Table 1 and Figure 4, respectively. This approach captured the essential behavior of the bolt, while streamlining the modeling process in ABAQUS (Figure 5).

3.2. The Modeling of Materials

Correctly assigning material properties in the numerical model was crucial to ensure that all individual elements exhibited the same mechanical behavior as observed in the experimental study. Prior to assigning properties to each component, the computer did not differentiate between them. Only after material properties were assigned could each element exhibit its distinctive mechanical behavior in the analysis conducted using ABAQUS software.
In this numerical analysis, the material properties of the steel components were derived from the experimental study conducted by Ataei et al. in 2016 [35]. Both the elastic and plastic stages of the stress–strain curve were considered using a multi-linear elastic–plastic model. The elastic behavior of steel components is primarily determined by properties such as the Young’s modulus (in MPa), Poisson’s ratio, and density (in g/mm3), as listed in Table 2. The values presented in this table are consistent with each other, ensuring that the results did not exhibit any major discrepancies caused by inconsistencies in units.
In ABAQUS software, the stress–strain relationships were input using a simplified curve, as shown in Figure 6. To capture the plastic behavior of the steel, key strength values were extrapolated from the study by Ataei et al. [35]. The most critical components of all specimens were considered, and their yield and ultimate stress values were determined. These values represent the lowest stress levels that the specimens can withstand. By accurately incorporating these material properties into the numerical model, the analysis aimed to replicate the mechanical behavior of the steel components observed in the experimental study.

3.3. The Modeling of the Timber Part

The three-point flexural test connections were analyzed with a displacement-controlled three-point flexural deflection test. This was due to the simplicity in modeling and data analysis, and the similarity to physical experiments for the purpose of parity. The test displaced the column by an upward distance of 150 mm for one second of virtual time until failure. Every decision during geometric modeling, material modeling, loading, and testing affected the outcome. As such, the results of this study are merely indicative of real-life conditions and in no way an accurate representation of reality. Of concern in this study was the modeling of the highly complex timber material.
Fortunately, due to the work of previous and current research, material models already exist for FEM analysis of timber, which were utilized in this study. The Sandhaas model is one such method developed by researchers in the Netherlands and published in their 2013 paper [25]. The authors explained the challenges of modeling timber: “Wood and timber joints are difficult to model. Apart from their heterogeneity, material-specific issues lead to numerical problems: strong anisotropy with different strengths in tension and compression and ductile and brittle failure modes occurring simultaneously”.

3.4. Interaction

In order to accurately simulate the behavior observed in the experimental study, it was crucial to establish appropriate interactions between the different components of the numerical model. This can be a challenging task, particularly when dealing with complex timber–steel composite joints. By ensuring that all components are properly connected, a numerical model can produce more reliable and realistic results.
In the current analysis, a general contact approach was used to establish the connections between the surfaces of the various components, including the steel beam, steel column, bolts, reinforcing bars, end plate, and steel beam–column stiffener. Each component was defined as either a master or slave surface, depending on the specific interaction.
For the normal direction, the HARD option was chosen, while for the parallel direction, the PENALTY option was used, with an isotropic setting. The friction coefficient between the timber slab and steel beam was set to 0.45 [33,34], which may have been slightly overestimated but was based on previous experimental results. For the steel contact, a friction coefficient of 0.25 was employed, as depicted in Figure 6.
By carefully considering and implementing these contact interactions, the numerical model aimed to accurately replicate the behavior observed in the experimental study and provide reliable results.

3.5. Constraint and Boundary Conditions

Adding an appropriate constraint system was another important factor to obtain a sensible result from running the model. This operation perfectly simulates the behavior of embedded, welded, and tied parts. Rigid body constraints were also used in both defining shear connectors and boundary conditions. In addition, whether slave surfaces and master surfaces were correctly defined also influenced the conditions of how load transfers between elements, which then influenced the result of the model. TIE constraints were applied in the region where the parts were wired between each other—beam and flush end plate, beam and beam stiffener, as well as the column and its stiffeners, see Figure 7.
Contact between (a) column–flush end plate, (b) beam flange––timber slab, (c) bolt–flush end plate, and (d) bolt–steel column. Only half of the structure, which was about the Y axis in this numerical study, was modeled in the ABAQUS software, because of the symmetrical geometrical proprieties, as well as the loading conditions. As shown in Figure 6, the boundary condition had to be considered due to the symmetry of the specimen. The movement in the Z direction and the rotation in the Y and X directions were taken as constraints, which were applied to surfaces of the middle section on the timber slab, the column and its stiffeners, and I beam. All nodes at the bottom column restrained the movement in all directions and the rotation, to simulate the behavior of the support in the experimental study, which is shown in Figure 8 and Figure 9.

3.6. Load

The loading procedure in the numerical analysis involved two steps, both of which were conducted using displacement control. This approach was chosen to accurately replicate the loading conditions applied in the experimental study.
In the first step, the pretension load was applied to simulate the fastened condition observed in the experimental study. This load was readily available in the ABAQUS software and could be applied to the model. Additionally, all other interactions and boundary conditions were also applied in this step to ensure that the model accurately represented the experimental setup.
In the second step, the load was applied to the top of the CLT timber slab at the same position as in the experimental specimen. This loading condition allowed for a direct comparison of the numerical results with the experimental observations. By applying the load in the same manner and location, the numerical model aimed to replicate the behavior of the composite joint as closely as possible.
Overall, the two-step loading procedure in the numerical analysis, combined with the appropriate boundary conditions and interactions, allowed a comprehensive simulation of the experimental conditions. This approach ensured that the numerical model accurately represented the behavior of the timber–steel composite joint and provided reliable results for further analysis and comparison.

3.7. Mesh

The numerical model employed three-dimensional elements for all components of the composite structure. The truss element was used to represent the reinforced bars embedded in the timber slab. This element is specifically designed to carry tensile and compressive loads. The approximate mesh size of each part is shown in Table 3.
For the steel beam, steel column, CLT timber slab, flush end plate, M24 bolt, and steel stiffeners, an eight-node linear brick solid hexahedral element was utilized. This element was capable of simulating the behavior of these components under various loading conditions. To create a suitable mesh for the numerical model, a global mesh size was determined for each element. This ensured that the mesh adequately captured the geometry and characteristics of the composite structure. Additionally, some additional partitions were created during the three-dimensional modeling process. These partitions helped to provide regular shapes with similar sizes along the edges of each element. Furthermore, local seeds were assigned at the edges of the CLT timber slab and flush end plate. This allowed a more accurate representation of the behavior of the composite joint, as it captured the localized effects and interactions between these components.
The finite element mesh of the composite structure, as shown in Figure 10, reflected the careful consideration given to the meshing process, to accurately represent the geometry and behavior of the composite joint in the numerical analysis.

4. Verification and Results

The three-dimensional finite element model developed in this study was verified by comparing its results with experimental data. The accuracy of the model was assessed based on the moment–rotation relationship and failure mode of the composite joint. The model accurately replicated the behavior of the joint, as evidenced by the close agreement between the experimental and numerical results. This verification process demonstrated the reliability of the finite element model and its suitability for further analysis and the designing of timber–steel composite joints, especially for the moment–rotation relationship and failure mode.

4.1. Rotation and Moment

The moment–rotation curve is a crucial parameter for assessing the ductility and behavior of semi-rigid structures. In this study, the moment and rotation behaviors of the composite joints were calculated separately, to verify the accuracy of the numerical model. To calculate the moment behavior, the load (D) applied at the end of the composite beam was multiplied by the distance (R) between the loading position at the top of the CLT slab and the column surface. This calculation method was applied to both the experimental and numerical studies.
For the rotation behavior, the displacements of two nodes on the web of the beam were observed. These nodes were located at a distance of 110 mm from the column surface, with equal distances to the top and bottom beam flanges. By monitoring the displacement of these nodes, the rotation behavior of the composite joints was accurately determined.
By utilizing these calculation methods and observing the moment–rotation curves, this study provides a comprehensive understanding of the moment and rotation behaviors of CLT–steel composite joints. These findings contributed to the validation and verification of the numerical model and provided valuable insights into the structural behavior and performance of composite joints, which are presented in Equations (1) and (2).
M = R × D
In which M is the moment behavior of the composite joint, R is the reaction force at the bottom column, and D is the distance between the loading point and the column surface.
In addition, the rotation of the connection was obtained by subtracting the displacement measured by the top senor from that measured by the bottom senor and dividing the result by the vertical distance between the two sensors.
θ = ( d 1 d 2 ) / d 0
where d1 is the displacement of the node at the compression zone, with 100 mm to the central line of the web; d2 is the displacement of the node at the tensile zone, with 100 mm to the central line of the web; and d0 is the vertical distance between two nodes, which is equal to 200 mm.

4.2. Verification

Figure 11, Figure 12, Figure 13 and Figure 14 present a comparative analysis of the results obtained from both the experimental and numerical studies. Table 4 provides a comprehensive comparison of the mechanical behavior of the composite joints, focusing on key parameters such as the initial stiffness, moment capacity, and rotation capacity. The findings revealed a strong agreement between the results obtained from the finite element model and the experimental data, indicating the reliability and validity of the numerical study.
In accordance with the European standard EC3 [36], three potential failure modes are identified for composite joints. However, both the experimental and numerical studies consistently demonstrated that the failure mode observed was primarily attributed to bolt failure, as depicted in Figure 13 and Figure 14. This further reinforced the accuracy and reliability of the finite element model employed in this study.
The congruence between the experimental and numerical results provided valuable insights into the mechanical behavior and performance of the composite joints. These findings contributed to the validation and verification of the numerical model, thus enhancing our understanding of the structural response and failure mechanisms of composite joints.

5. Parametric Study

In this section, a parametric study was conducted using the three-dimensional finite element model developed in ABAQUS, to investigate the behavior of timber–steel composite joints with different bolted shear connectors. The aim was to assess the accuracy of the model by comparing its results with experimental data.
To simulate the behavior of the composite joint, different load–slip relationships obtained from push-out tests were incorporated into the numerical model. These load–slip relationships were used to represent the behavior of various types of bolted shear connectors. The results obtained from the numerical analysis were then compared with the experimental data to evaluate the accuracy of the model. In the studied configuration in this research work, both the experimental and numerical studies consistently demonstrated the accuracy and consistency of the simulations and experiments.
Specifically, the focus was on comparing the moment–rotation relationship, moment capacity, and rotation capacity of the composite joint with different bolted shear connectors. The standard configuration, which utilizes a pretension friction–grip bolted shear connector, was used as a reference for comparison. By analyzing the changes in these parameters, the influence of the different bolted shear connectors on the behavior of the composite joint could be assessed.
In addition to the bolted shear connectors, other parameters such as the thickness of the CLT timber slab, the friction coefficient between the slab and the steel beam, and the grade of the bolt were also considered in the study. These parameters were varied to investigate their impact on the behavior of the composite joint.
Through this parametric study, a comprehensive understanding of the behavior of timber–steel composite joints with different bolted shear connectors and other influential parameters could be obtained. The accuracy of the three-dimensional finite element model could be assessed based on the close agreement between the numerical results and the experimental data. This verification process ensured the reliability of the model and its suitability for further analysis and the design of timber–steel composite joints.

5.1. Effect of Different Bolted Shear Connectors

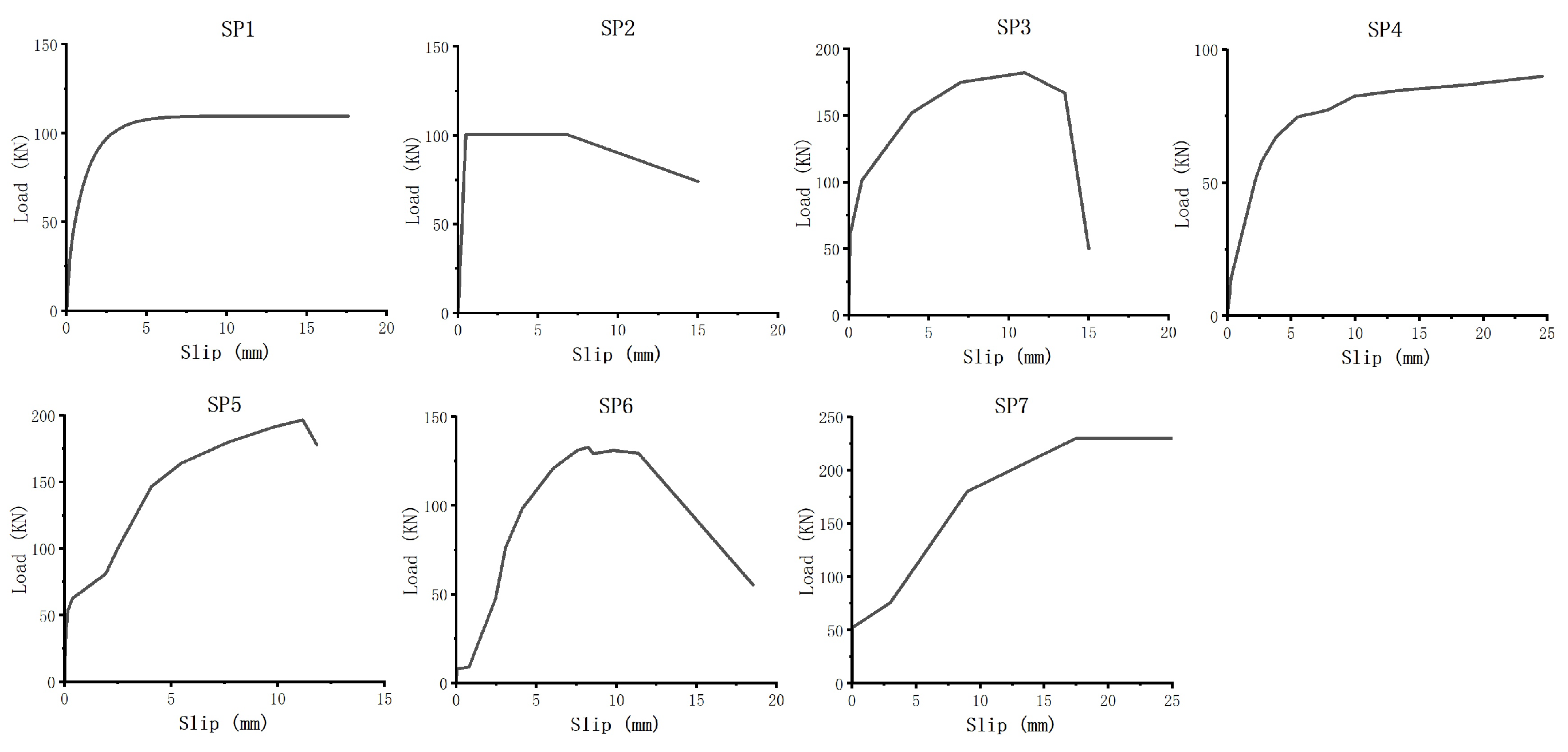
In order to accurately simulate the behavior of bolted shear connectors in timber–steel composite joints, the load–slip relationships, which are shown in Figure 15, provided valuable data for characterizing the mechanical response of the connectors under loading.
Figure 15 presents the moment–rotation curves of timber–steel composite joints with different bolted shear connectors, which were derived from the load–slip relationships established in previous studies by other researchers [17,33,34]. The moment–rotation curves provide insights into the structural behavior of the joints, indicating how the moment capacity, rotation capacity, and initial stiffness of the joints varied with different types of shear connectors.
To further analyze and compare the performance of the composite joints, the moment capacity, rotation capacity, and initial stiffness of each joint configuration are summarized in Table 4 and shown in Figure 15. These parameters serve as key indicators of the joint’s structural capacity and response to external loads.
The results obtained from the numerical analysis, based on the load–slip relationships and moment–rotation curves, provide valuable information on the behavior of the timber–steel composite joints with different bolted shear connectors, which is shown in Figure 16. This information can be used to inform the design and optimization of composite joint configurations, ensuring their structural integrity and performance.

5.2. Effect of Different Degree End Plates

To investigate the behavior of composite joints with different degree end plates, various end plate configurations from the ONESTEEL CATALOG were applied in this study. The details of these configurations are summarized in Table 5.
The moment–rotation curves of the CLT–steel composite joints with different degree end plates are presented in Figure 17. These curves provide insights into the structural response of the joints, indicating how the moment capacity, rotation capacity, and initial stiffness varied with different end plate configurations.
To further analyze and compare the performance of the composite joints, the moment capacity, rotation capacity, and initial stiffness of each joint configuration are summarized in Table 6. These parameters served as key indicators of the joint’s structural capacity and response to external loads.

5.3. Effect of Different M24 Bolts

In order to accurately simulate the behavior of bolted shear connectors with different degrees in timber–steel composite joints, various degree end plates were incorporated into the models from the ONESTEEL CATALOG. The details of these configurations, including the different bolt degrees, are summarized in Table 7.
The moment–rotation curves of the CLT–steel composite joints with different degree end plates are presented in Figure 18. These curves provide insights into the structural response of the joints, indicating how the moment capacity, rotation capacity, and initial stiffness varied with different end plate configurations.
To further analyze and compare the performance of the composite joints, the moment capacity, rotation capacity, and initial stiffness of each joint configuration are summarized in Table 8. These parameters serve as key indicators of the joint’s structural capacity and response to external loads.
By utilizing the numerical analysis and the obtained moment–rotation curves, this study provides valuable information on the behavior of CLT–steel composite joints with different degree end plates. This information can be used to inform the design and optimization of composite joint configurations, ensuring their structural integrity and performance.

6. Conclusions

  • In the finite element modeling section, a segment of the steel–wood composite structure was chosen for modeling and analysis, to notably diminish the computational burden of subsequent finite element calculations and promptly achieve relevant outcomes. Subsequently, during the validation phase, the finite element analysis outcomes closely aligned with the stress test results of the composite structure, meeting the stipulated testing criteria;
  • In the initial modeling phase, wire connections were utilized between the steel structure and CLT panels to fulfill the demands for variable analysis in the subsequent project stages, especially for simulating the substitution of shear connectors. In the subsequent analysis phase, a range of shear connector data encompassing diverse shapes and strengths could be integrated into the simulation, streamlining the effective collection of simulation data for multiple shear connectors. This methodology established a solid foundation for the specific application of shear connectors;
  • The results of the parametric study indicated that the moment capacity of the composite joints with different bolted shear connectors did not exhibit significant differences. However, the joints with SP1 and SP2 shear connectors demonstrated superior behavior in terms of initial stiffness and rotation capacity. These findings suggest that the selection of shear connectors can have a significant impact on the overall performance of composite joints, particularly in terms of their ability to withstand external loads and maintain structural integrity;
  • The findings from the analysis of bolt connectors with different degrees suggested that the degree of the shear connector did not significantly impact the structural behavior of the composite joints. This implies that lower degrees of shear connectors can be utilized in order to reduce costs, without compromising the overall structural integrity and performance of the joints;
  • The degree of the end plate in timber–steel composite joints had a direct impact on the mechanical and physical behavior of the structure. Higher degrees of end plates were found to exhibit increased moment capacity and rotation capacity. This suggests that the selection of a higher-degree end plate can enhance the structural performance and load-bearing capacity of a composite joint. These findings have significant implications for the design and optimization of timber–steel composite joints, as they highlight the importance of considering the degree of the end plate in order to achieve the desired structural behavior and performance.

Author Contributions

Methodology, T.G.; Validation, Y.L.; Resources, Y.L. and Y.W.; Data curation, Y.Z.; Writing—original draft, Y.L.; Writing—review and editing, H.S. and W.W. All authors have read and agreed to the published version of the manuscript.

Funding

This research was funded by the Project of Philosophy and Social Science Research in Colleges and Universities in Jiangsu Province under Award No. 2023SJYB0015 and the 2022 High Level Innovation and Entrepreneurial Research Team Program in Jiangsu (JSSCBS20220262). This research received no external funding.

Data Availability Statement

The data that support the findings of this study are available from the corresponding author upon reasonable request.

Conflicts of Interest

Author Weisong Wei was employed by the company The Second Construction Co. Ltd. of China Construction First Group. He Su was employed by the company Guangxi Communications Design Group Co., Ltd. The remaining authors declare that the research was conducted in the absence of any commercial or financial relationships that could be construed as a potential conflict of interest.

References

  1. Zhang, X. Seismic Design of Timber Steel Hybrid High-Rise Buildings. Ph.D. Thesis, University of British Columbia, Vancouver, BC, USA, 2017. [Google Scholar]
  2. Lin, Z.; Liu, Y.; He, J. Behavior of stud connectors under combined shear and tension loads. Eng. Struct. 2014, 81, 362–376. [Google Scholar] [CrossRef]
  3. Ban, H.; Uy, B.; Pathirana, S.W.; Henderson, I.; Mirza, O.; Zhu, X. Time-dependent behaviour of composite beams with blind bolts under sustained loads. J. Constr. Steel Res. 2015, 112, 196–207. [Google Scholar] [CrossRef]
  4. Tomasi, R.; Smith, I. Experimental characterization of monotonic and cyclic loading responses of CLT panel-to-foundation angle bracket connections. J. Mater. Civ. Eng. 2015, 27, 04014189. [Google Scholar] [CrossRef]
  5. Pathirana, S.W.; Uy, B.; Mirza, O.; Zhu, X. Flexural behaviour of composite steel–concrete beams utilising blind bolt shear connectors. Eng. Struct. 2016, 114, 181–194. [Google Scholar] [CrossRef]
  6. Hassanieh, A.; Valipour, H.; Bradford, M.; Sandhaas, C. Modelling of steel-timber composite connections: Validation of finite element model and parametric study. Eng. Struct. 2017, 138, 35–49. [Google Scholar] [CrossRef]
  7. Smith, A.; Couchman, G. Strength and ductility of headed stud shear connectors in profiled steel sheeting. J. Constr. Steel Res. 2010, 66, 748–754. [Google Scholar] [CrossRef]
  8. Moynihan, M.C.; Allwood, J.M. Viability and performance of demountable composite connectors. J. Constr. Steel Res. 2014, 99, 47–56. [Google Scholar] [CrossRef]
  9. Baran, E.; Topkaya, C. An experimental study on channel type shear connectors. J. Constr. Steel Res. 2012, 74, 108–117. [Google Scholar] [CrossRef]
  10. Loss, C.; Frangi, A. Experimental investigation on in-plane stiffness and strength of innovative steel-timber hybrid floor diaphragms. Eng. Struct. 2017, 138, 229–244. [Google Scholar] [CrossRef]
  11. Vassallo, D.; Follesa, M.; Fragiacomo, M. Seismic design of a six-storey CLT building in Italy. Eng. Struct. 2018, 175, 322–338. [Google Scholar] [CrossRef]
  12. Chiniforush, A.; Alamdari, M.M.; Dackermann, U.; Valipour, H.; Akbarnezhad, A. Vibration behaviour of steel-timber composite floors, part (1): Experimental & numerical investigation. J. Constr. Steel Res. 2019, 161, 244–257. [Google Scholar]
  13. D’Arenzo, G.; Casagrande, D.; Reynolds, T.; Fossetti, M. In-plane elastic flexibility of cross laminated timber floor diaphragms. Constr. Build. Mater. 2019, 209, 709–724. [Google Scholar] [CrossRef]
  14. Kruszewski, D.; Zaghi, A.E.; Wille, K. Finite element study of headed shear studs embedded in ultra-high performance concrete. Eng. Struct. 2019, 188, 538–552. [Google Scholar] [CrossRef]
  15. Nouri, F.; Valipour, H.; Bradford, M. Structural behaviour of steel-timber composite (STC) beam-to-column connections with double angle web cleats subjected to hogging bending moment. Eng. Struct. 2019, 192, 1–17. [Google Scholar] [CrossRef]
  16. Nouri, F.; Valipour, H.; Bradford, M. Finite element modelling of steel-timber composite beam-to-column joints with nominally pinned connections. Eng. Struct. 2019, 201, 109854. [Google Scholar] [CrossRef]
  17. Kwon, G.; Engelhardt, M.D.; Klingner, R.E. Behavior of post-installed shear connectors under static and fatigue loading. J. Constr. Steel Res. 2010, 66, 532–541. [Google Scholar] [CrossRef]
  18. Luo, J.; Shao, X.; Fan, W.; Cao, J.; Deng, S. Flexural cracking behavior and crack width predictions of composite (steel+ UHPC) lightweight deck system. Eng. Struct. 2019, 194, 120–137. [Google Scholar] [CrossRef]
  19. Nouri, F.; Valipour, H. Moment-rotation model for steel-timber composite connections with slab continuity steel rods. J. Constr. Steel Res. 2020, 173, 106257. [Google Scholar] [CrossRef]
  20. Owolabi, D.; Loss, C. Experimental and numerical study on the bending response of a prefabricated composite CLT-steel floor module. Eng. Struct. 2022, 260, 114278. [Google Scholar] [CrossRef]
  21. Moerman, B.; Li, M.; Palermo, A.; Liu, A. Moment-resisting self-drilling dowel connections between steel link beams and CLT for coupled walls. In Structures; Elsevier: Amsterdam, The Netherlands, 2022; Volume 41, pp. 365–374. [Google Scholar]
  22. Kia, L.; Valipour, H. Composite timber-steel encased columns subjected to concentric loading. Eng. Struct. 2021, 232, 111825. [Google Scholar] [CrossRef]
  23. Huang, Y.; Chen, S.; Gu, P. Interface stress analysis and fatigue design method of steel-ultra high performance concrete composite bridge deck. In Structures; Elsevier: Amsterdam, The Netherlands, 2022; Volume 38, pp. 1453–1464. [Google Scholar]
  24. Youssef, G.; Loulou, L.; Chataigner, S.; Caré, S.; Flety, A.; Le Roy, R.; Bornert, M.; Aubagnac, C. Analysis of the behaviour of a bonded joint between laminated wood and ultra high performance fibre reinforced concrete using push-out test. Constr. Build. Mater. 2014, 53, 381–391. [Google Scholar] [CrossRef]
  25. Zhang, X.; Xue, Y.; Liu, Y.; Yu, Y. Compatible Truss-Arch Model for Predicting the Shear Strength of Steel Shape-Reinforced Concrete (SRC) Beams. Buildings 2023, 13, 1391. [Google Scholar] [CrossRef]
  26. Basterra, L.A.; Baño, V.; López, G.; Cabrera, G.; Vallelado-Cordobés, P. Identification and Trend Analysis of Multistorey Timber Buildings in the SUDOE Region. Buildings 2023, 13, 1501. [Google Scholar] [CrossRef]
  27. Sandhaas, C.; Van de Kuilen, J. Material model for wood. Heron 2013, 58, 171–191. [Google Scholar]
  28. Mazoz, A.; Benanane, A.; Titoum, M. Push-out tests on a new shear connector of I-shape. Int. J. Steel Struct. 2013, 13, 519–528. [Google Scholar] [CrossRef]
  29. Huo, B.Y.; D’Mello, C.A. Push-out tests and analytical study of shear transfer mechanisms in composite shallow cellular floor beams. J. Constr. Steel Res. 2013, 88, 191–205. [Google Scholar] [CrossRef]
  30. Shahnewaz, M.; Jackson, R.; Tannert, T. CLT concrete composite floors with steel kerf plate connectors. Constr. Build. Mater. 2022, 319, 126092. [Google Scholar] [CrossRef]
  31. Belardi, V.G.; Fanelli, P.; Vivio, F. Comparative Analysis of FE Modeling Techniques for Single-Lap Multi-column Composite Bolted Joints. In Proceedings of the 10th International Conference on Chemical Science and Engineering, Macau, China, 19–21 November 2021. [Google Scholar]
  32. Sharos, P.; McCarthy, C. Novel finite element for near real-time design decisions in multi-fastener composite bolted joints under various loading rates. Compos. Struct. 2020, 240, 112005. [Google Scholar] [CrossRef]
  33. Marshall, W.; Nelson, H.; Banerjee, H. An experiment study of the use of high-strength friction grip bolts as shear connectors in composite beams. Struct. Eng. 1971, 49, 171–178. [Google Scholar]
  34. Lee, S.; Bradford, M. Sustainable composite beams with deconstructable bolted shear connectors. In Proceedings of the 5th International Conference on Structural Engineering, Mechanics and Computation, Taylor & Francis Group, London, UK, 2 September–4 September 2013. [Google Scholar]
  35. Ataei, A.; Bradford, M.A.; Liu, X. Experimental study of composite beams having a precast geopolymer concrete slab and deconstructable bolted shear connectors. Eng. Struct. 2016, 114, 1–13. [Google Scholar] [CrossRef]
  36. ECCS-European Convention for Constructional Steelwork. Design of Steel Structures: Eurocode 3: Design of Steel Structures, Part 1-1: General Rules and Rules for Buildings; John Wiley & Sons: Hoboken, NJ, USA, 2015. [Google Scholar]
Figure 1. Testing of composite structure.
Figure 1. Testing of composite structure.
Buildings 14 02858 g001
Figure 2. Geometry and details of the composite joint (unit: mm).
Figure 2. Geometry and details of the composite joint (unit: mm).
Buildings 14 02858 g002
Figure 3. The model of the steel joint.
Figure 3. The model of the steel joint.
Buildings 14 02858 g003
Figure 4. The model of the composite structure.
Figure 4. The model of the composite structure.
Buildings 14 02858 g004
Figure 5. Geometry of bolt in ABAQUS.
Figure 5. Geometry of bolt in ABAQUS.
Buildings 14 02858 g005
Figure 6. Stress–-strain response: (a) beam, (b) column, (c) longitudinal bars, (d) transverse bars.
Figure 6. Stress–-strain response: (a) beam, (b) column, (c) longitudinal bars, (d) transverse bars.
Buildings 14 02858 g006
Figure 7. Contact between (a) column–flush end plate, (b) beam flange–timber slab, (c) bolt–flush end plate, and (d) bolt–steel column.
Figure 7. Contact between (a) column–flush end plate, (b) beam flange–timber slab, (c) bolt–flush end plate, and (d) bolt–steel column.
Buildings 14 02858 g007
Figure 8. Boundary condition due to the symmetrical proprieties of the specimen.
Figure 8. Boundary condition due to the symmetrical proprieties of the specimen.
Buildings 14 02858 g008
Figure 9. Boundary condition at the bottom of the I column.
Figure 9. Boundary condition at the bottom of the I column.
Buildings 14 02858 g009
Figure 10. Meshed three-dimensional finite element model (the mesh size of the bolt was 5 mm, the others were 20 mm. Two arrows show the position of the nodes).
Figure 10. Meshed three-dimensional finite element model (the mesh size of the bolt was 5 mm, the others were 20 mm. Two arrows show the position of the nodes).
Buildings 14 02858 g010
Figure 11. Comparison of the behavior of the steel joint for the finite element modeling and experiment.
Figure 11. Comparison of the behavior of the steel joint for the finite element modeling and experiment.
Buildings 14 02858 g011
Figure 12. Comparison of the behavior of the composite structure for finite element modeling and experiment.
Figure 12. Comparison of the behavior of the composite structure for finite element modeling and experiment.
Buildings 14 02858 g012
Figure 13. Failure mode of composite joints and shear connector in experiments.
Figure 13. Failure mode of composite joints and shear connector in experiments.
Buildings 14 02858 g013
Figure 14. Failure mode of composite joints and shear connector in numerical modeling.
Figure 14. Failure mode of composite joints and shear connector in numerical modeling.
Buildings 14 02858 g014
Figure 15. The load–slip relationship between different shear connectors.
Figure 15. The load–slip relationship between different shear connectors.
Buildings 14 02858 g015
Figure 16. The parametric study of structures with different shear connectors.
Figure 16. The parametric study of structures with different shear connectors.
Buildings 14 02858 g016
Figure 17. Moment–rotation relationship of composite joints with different end plates.
Figure 17. Moment–rotation relationship of composite joints with different end plates.
Buildings 14 02858 g017
Figure 18. Moment–rotation relationship of composite joints with different bolt sizes.
Figure 18. Moment–rotation relationship of composite joints with different bolt sizes.
Buildings 14 02858 g018
Table 1. Summary of the dimensions of the full model.
Table 1. Summary of the dimensions of the full model.
ElementMaterialDimensions (mm)
BeamSteel beam310 UB 40.4 length (Z direction) 1400
ColumnSteel beam250 UC 72.9 height (Y direction) 720
SlabTimber3000 × 1000 × 120 with a 360 × 280 × 120 hole in the middle
End plateSteel end plate504 × 210 × 10
Column StiffenerSteel stiffener122.5 × 113 × 8
Beam StiffenerSteel stiffener280 × 80 × 8
Table 2. Summary of steel properties in elastic stage.
Table 2. Summary of steel properties in elastic stage.
PartYoung’s Modulus (MPa)Poisson’s RatioDensity (g/mm3)
Beam191,7000.37.85 × 10 9
M24 bolt205,5000.37.85 × 10 9
Column191,7000.37.85 × 10 9
End plate203,2000.37.85 × 10 9
Longitudinal bar200,0000.37.85 × 10 9
Transverse bars200,0000.37.85 × 10 9
Table 3. Mesh size for each part of the composite joint.
Table 3. Mesh size for each part of the composite joint.
Part Mesh Size   ( mm )
Beam5
M24 bolt20
Column20
End plate20
Longitudinal bar20
Transverse bars20
Table 4. Summary of the behavior of the different bolted shear connectors.
Table 4. Summary of the behavior of the different bolted shear connectors.
BOLT   ( Specimen ) Moment   ( kN · m ) Rotation   ( mrad ) Initial Stiffness (kN·m/mrad)
SP1283.243.964.2
SP2281.841.870.3
SP3262.132.366.3
SP4261.647.670.8
SP5265.733.362.2
SP6258.431.962.9
SP7268.539.461.3
Table 5. Summary of the behavior of different end plate degrees.
Table 5. Summary of the behavior of different end plate degrees.
End Plate Degree Ultimate Stress   ( MPa ) Yielding Stress   ( MPa )
Degree 350360450
Degree 400400480
Degree 450450520
Degree 500500590
Degree 600600690
Degree 700690790
Table 6. Summary of the behavior of different end plates.
Table 6. Summary of the behavior of different end plates.
End Plate Moment   ( kN · m ) Rotation   ( mrad ) Initial Stiffness (kN·m/mrad)
Degree 350263.238.964.2
Degree 450270.140.366.3
Degree 500286.640.670.8
Degree 600301.741.362.2
Degree 700305.440.962.9
Table 7. Summary of the behavior of the bolts in different degrees.
Table 7. Summary of the behavior of the bolts in different degrees.
Connector Degree Ultimate Stress   ( MPa ) Yielding Stress   ( MPa )
Degree 8.8640800
Degree 10.29401040
Degree 12.911001220
Table 8. Summary of the behavior of the bolts with different degrees.
Table 8. Summary of the behavior of the bolts with different degrees.
Connector Degree Moment   ( kN · m ) Rotation   ( mrad ) Initial Stiffness (kN·m/mrad)
Degree 8.8283.243.964.2
Degree 10.2291.841.870.3
Degree 12.9262.132.366.3
Disclaimer/Publisher’s Note: The statements, opinions and data contained in all publications are solely those of the individual author(s) and contributor(s) and not of MDPI and/or the editor(s). MDPI and/or the editor(s) disclaim responsibility for any injury to people or property resulting from any ideas, methods, instructions or products referred to in the content.

Share and Cite

MDPI and ACS Style

Li, Y.; Wang, Y.; Zhong, Y.; Wei, W.; Su, H.; Gao, T. Finite Element Modeling of Beam-to-Column Steel Timber Composite Joints with Different Parameters. Buildings 2024, 14, 2858. https://doi.org/10.3390/buildings14092858

AMA Style

Li Y, Wang Y, Zhong Y, Wei W, Su H, Gao T. Finite Element Modeling of Beam-to-Column Steel Timber Composite Joints with Different Parameters. Buildings. 2024; 14(9):2858. https://doi.org/10.3390/buildings14092858

Chicago/Turabian Style

Li, Yifan, Yumo Wang, Yawen Zhong, Weisong Wei, He Su, and Tianyu Gao. 2024. "Finite Element Modeling of Beam-to-Column Steel Timber Composite Joints with Different Parameters" Buildings 14, no. 9: 2858. https://doi.org/10.3390/buildings14092858

APA Style

Li, Y., Wang, Y., Zhong, Y., Wei, W., Su, H., & Gao, T. (2024). Finite Element Modeling of Beam-to-Column Steel Timber Composite Joints with Different Parameters. Buildings, 14(9), 2858. https://doi.org/10.3390/buildings14092858

Note that from the first issue of 2016, this journal uses article numbers instead of page numbers. See further details here.

Article Metrics

Back to TopTop