Abstract
Downbursts belong to sudden, local, and strong convection weather, which present significant destruction for structures. At any given time, there are approximately 2000 thunderstorms occurring on the Earth. Many studies have investigated the effects of downbursts on different structures. However, the extensive range of varying wind field parameters and the diverse representations of wind speeds render the study of structural wind effects complex and challenging under downbursts. This study firstly reviews the research of wind field properties of downbursts according to four common approaches, and the major findings, advantages, and disadvantages of which are concluded. Then, failure analysis of transmission line systems under stationary and moving downbursts is explored. The article also reviews the wind pressure on the roof of different kinds of low-rise buildings, and some dominant parameters, namely roof slope, distance of building from downburst center, wind direction angle, and so on, are discussed. Moreover, the wind effects caused by downbursts on high-rise buildings and some specialized structures are also considered because more and more wind hazards are related to downbursts. Finally, the limitations of the current study are pointed out, and recommendations for further research are given for the accurate assessment of the effects of wind on buildings, with a view to providing safer and more economical wind-resistant design solutions for structures.
1. Introduction
A downburst is a near-surface, destructive wind phenomenon caused by the rapid descent of cold air from a thunderstorm. Upon reaching the ground, this cold air spreads radially across the surface [1] (Figure 1). Downbursts are characterized by their high intensity, sudden onset, substantial variability, significant regional impacts, and brief duration. They exhibit a distinctive three-dimensional wind field and a “nose-shaped” wind speed profile, with notable non-stationary and non-Gaussian characteristics [2,3,4,5,6] (Figure 2). These attributes result in considerable differences in their effects on building structures compared to large-scale, steady strong winds. Therefore, it is crucial to account for the impact of extreme wind events, such as downbursts, in the wind-resistant design of buildings.
Figure 1.
Downburst photograph.
Figure 2.
Evolution of downburst.
As an extreme wind load, downbursts pose severe threats to various structures, including transmission lines and towers, roofs, high-rise buildings, and bridges, resulting in significant property damage and potential fatalities [7,8,9] (Figure 3). Based on data from global natural disaster assessment reports [10], the total insured losses from thunderstorm-induced severe winds in the United States between 1980 and 2008 have increased annually, with approximately 36,000 thunderstorm-related wind events observed in 2008 alone, resulting in losses exceeding USD 10 billion. In 2009, a downburst event in Texas, USA, caused the collapse of a football stadium, resulting in USD 4 million in damages [7]. In 2005, a downburst in Qiuyang, Jiangsu, led to the collapse of all ten transmission towers along the 500 kV Renshang 5237 line [8]. In 2015, the “Oriental Star” passenger ship capsized due to a sudden downburst, resulting in 442 fatalities [9]. More recently, on 31 March 2024, a downburst in Nanchang, Jiangxi, blew out the glass windows of a high-rise building, causing three residents to fall from the building and perish, with multiple injuries reported. Worldwide, disasters and substantial losses arise from thunderstorm phenomena such as downbursts. Therefore, elucidating the characteristics of downburst wind fields and their impacts on various structures has become a critical issue in the field of structural wind engineering.
Figure 3.
Downburst destructive events.
Furthermore, current building codes and standards seldom encompass the impacts of severe winds such as downbursts. Although relevant standards have been issued by the Australian/New Zealand Standard AS/NZS 1170.2 (2011) [11], the American Society of Civil Engineers (ASCE) 7-16 (2009) [12], and the International Organization for Standardization (IOS) (2009) [13], these standards merely provide suggestive conditions without prescribing definitive design values. Consequently, to enhance the resilience of building structures against downbursts and ensure the safety of infrastructure, research into downbursts is of paramount importance.
This paper systematically reviews key research achievements concerning the impact of downbursts on building structures. The review encompasses an analysis of the characteristics of downburst wind fields and their associated effects on transmission line towers, roofs, high-rise buildings, and other structures subjected to such extreme wind events.
2. Characteristics of Downburst Wind Fields
Understanding the characteristics of downburst wind fields is a prerequisite to assessing the effects of wind on structures subjected to downbursts. This section summarizes existing research on downburst wind field characteristics from four aspects: field measurements, wind tunnel tests, numerical simulations, and theoretical analyses.
2.1. Field Measurement Studies
Field measurements are the most direct and effective method for studying downbursts. In 1978, the North Illinois Meteorological Research on Downbursts (NIMROD) project successfully recorded downburst events using Doppler radar and anemometers for the first time [14]. Subsequently, the Joint Airport Weather Studies (JAWS) project in Denver, CO, USA, in 1982 further expanded the scale of downburst field measurement data [15]. Based on these two projects’ data, Fujita [14] conducted an in-depth analysis of downburst flow field characteristics and classified them into macro- and micro-downbursts based on whether their near-surface horizontal influence range exceeded 4 km. In 1984, Wilson [16] analyzed JAWS data and summarized the vertical outflow structure of micro-downbursts. Hjelmfelt [3] further analyzed JAWS data, outlined the lifecycle of the outflow phase of downbursts, and drew a typical downburst wind profile diagram (Figure 4).
Figure 4.
A typical wind profile of a downburst [3].
Additionally, Fujita [17] examined a severe downburst event with a maximum instantaneous wind speed of 67 m/s observed at the Andrews Air Force Base (AAFB) in the USA, summarizing the wind speed time history at a 4.9 m observation point and initially clarifying the sudden changes in downburst wind speed and direction. Wolfson [18] studied the forcing mechanisms of downbursts based on data from the Federal Aviation Administration’s Lincoln Laboratory Weather Operations Research Program (FLOWS) in 1984. Atkins [19] conducted the Microburst Identification Signature Test (MIST) in northern Alabama, USA, in 1986, analyzing downburst characteristics in humid environments. In 2002, Chen [20] investigated the horizontal and vertical structures and corresponding lifecycles of downbursts observed at Texas Tech University, distinguishing them from large-scale, steady strong winds based on field data. Lombardo et al. [21], in 2009, studied the wind speed profiles and turbulence characteristics of downburst wind fields based on a series of downburst events captured by the Wind Engineering Research Field Laboratory (WERFL) at Texas Tech University, highlighting their differences from large-scale steady strong winds and advocating for considering the non-stationary and non-Gaussian effects of downbursts in wind load calculations.
Since 2009, the Solari [22] team has conducted field measurement projects, “Wind and Ports” (WP) and “Wind, Ports and Sea” (WPS), in European ports to monitor real-time data on wind speed, direction, temperature, and other parameters. These projects aimed to provide early warnings of short-term weather events like downbursts and typhoons. Gaetano et al. [23] used partial data from these projects to propose a preliminary storm classification method and obtained a limited number of thunderstorm wind records. Subsequently, Solari et al. [24,25] further analyzed thunderstorm characteristics and introduced the concept of a thunderstorm response spectrum. Zhang et al. [26,27,28,29] developed an automated method for extracting thunderstorm winds, expanding the database to 277 records and proposing a high-precision wind field model using this database. Roncallo [30] developed a modeling approach for the Evolutionary Power Spectral Density (EPSD) of thunderstorm outflows. Canepa [31] investigated the dynamic response of structures using the novel wind speed decomposition method proposed by Zhang et al., further validating its effectiveness.
In 1999, Choi [4,5] studied and classified the wind speed profiles of 50 thunderstorm events recorded at a 152 m-high observation tower in Singapore, discovering that these profiles were primarily influenced by storm intensity, distance from the storm center, and ground roughness. Subsequently, he analyzed observational data from five meteorological stations in Hong Kong, finding that local thunderstorm winds occurred more frequently and with greater intensity than tropical cyclones and monsoons, emphasizing their importance in structural wind-resistant design.
In 2006, Yu Xiaoding et al. [32] analyzed a downburst event at the junction of Dingyuan and Feidong counties in Anhui Province, conducting preliminary research on the forcing mechanisms of downbursts. In 2015, Li Honghai et al. [33] analyzed the spatiotemporal distribution characteristics of downbursts based on observational data from 707 meteorological stations nationwide from 1971 to 2000. In 2016, Huang Guoqing and Peng Liuliu et al. [34,35], relying on field measurement projects in the Xuanwei wind field in Yunnan, explored the non-stationary and non-Gaussian characteristics of mountain winds. They performed preliminary automatic extraction and classification of recorded wind speed data, further analyzing the wind field characteristics of mountain thunderstorms. In 2019, Yang Qingshan and Zhang Shi et al. [36,37,38], based on measured data from a 325 m-high meteorological tower in Beijing, conducted research on different storm classifications, obtained multiple thunderstorm wind data (Figure 5), established a thunderstorm wind database, and compared it with measured data from Mediterranean port areas. They proposed methods for the occurrence, evolution, and association of thunderstorms with large-scale weather conditions, establishing a high-precision thunderstorm wind field model for urban Beijing. Using this modeling approach, Liu Muguang et al. [39,40] statistically analyzed the time-varying mean and fluctuating wind characteristics of downbursts based on 29 events recorded by a 356 m meteorological gradient tower in Shenzhen. In summary, field measurements can provide the most accurate data [41].
Figure 5.
Thunderstorm outflow recorded on 10 June 2016 by the 64 m anemometer.
In summary, researchers worldwide have conducted preliminary studies on the identification, classification, and wind field characteristics of downbursts based on wind speed data from various regional field measurement projects. Table 1 summarizes the maximum horizontal velocities of downbursts obtained from field measurements. However, due to downbursts’ small spatial scale and short lifespan, current research methods and technologies are insufficient to fully capture their characteristics. Moreover, given downbursts’ strong locality and the variability in their wind fields across regions, a universal downburst wind field model has yet to be established. Additionally, most current structural design wind speed specifications are based on large-scale, steady strong winds, rarely considering the impact of extreme downburst winds, leading to potentially unsafe structural designs. Therefore, with the increasing availability of measured data, it is urgent to conduct comparative studies on the wind field characteristics of downbursts in multiple countries and regions to establish a universal downburst wind field model.
Table 1.
Maximum horizontal velocity of downbursts.
2.2. Wind Tunnel Experimental Studies
Due to the limited availability of field measurement data and the high time cost associated with downbursts, scholars worldwide have begun utilizing wind tunnel experiments to simulate downbursts and investigate their wind field characteristics. In 1957, Bakke [42] initiated experimental studies on wall jets, primarily focusing on average velocity distributions and growth rates. Subsequently, Poreh [43] further examined the turbulence intensity of wall jets. Lin et al. [44,45] employed wall jets to study the transient characteristics of downbursts, exploring the wind profile properties near the ground through two-dimensional wall jet simulations. Zhong et al. [46,47] used a wall jet apparatus to simulate near-ground downburst wind fields, validating its feasibility. However, because wall jets cannot fully replicate downbursts, researchers developed impinging jet devices to more accurately simulate their formation. Holmes [48] and Cassar [49] conducted physical experiments on downbursts using impinging jet devices, verifying the feasibility of this simulation. Building upon this, Wood [50] studied the wind speed characteristics of downburst wind fields over flat and sloping terrain through a static continuous impinging jet apparatus and established empirical formulas for vertical wind speed profiles based on experimental data. In 2008, Xu and Hangan [51] used an impinging jet test device to study the effects of Reynolds number, scale ratio (H/D ratio), initial outflow parameters, and surface roughness on downburst wind fields. They found that higher Reynolds numbers and smaller H/D ratios increased peak wind velocities, while initial outflow parameters like turbulence intensity affected wind speed distributions. Increased surface roughness raised boundary layer height but decreased maximum wind velocity. In 2009, Xu et al. [52] designed a dedicated impinging jet device for simulating downburst wind fields, investigating parameters such as impinging wind intensity, diameter, jet height, and incidence angle. They discovered that jet height and incidence angle were critical factors affecting impinging wind field characteristics. Subsequently, Li et al. [53] studied how jet incidence angle affects downburst wind fields, finding that a higher angle increases turbulence intensity behind the jet and decreases it in front while also increasing positive pressure below the outflow.
In 2012, Duan et al. [54] used adjustable deflectors, baffles, and roughness elements within an atmospheric boundary layer wind tunnel to simulate downburst wind fields at 1:300 and 1:600 scale ratios. Building upon this, Richter [55] further considered background wind factors in impinging jet experiments, studying the impact of boundary layer winds on downburst wind fields. In 2018, Junayed [56] simulated downbursts using the impinging jet facility at the Wind Engineering, Energy, and Environment (WinDEEE) Dome Laboratory at the University of Western Ontario, investigating the mean and fluctuating wind characteristics of stationary downbursts. Additionally, Zhao et al. [57] employed an actively controlled wind tunnel to simulate the sudden wind speed changes associated with thunderstorm downbursts, enabling the exploration of the aerodynamic properties of structures under such conditions. Yuan et al. [58] designed an actively controlled multi-blade system for simulating downburst wind fields, analyzing characteristics such as mean wind speed and turbulence intensity. They found that blade angle, rotation speed, and arrangement position were key factors influencing wind field properties.
However, the aforementioned studies were all conducted based on stationary downburst wind fields, whereas in real-world environments, downbursts exhibit continuous movement. In light of this, scholars have begun to research moving downbursts. As early as 2002, Chay and Letchford [59,60] used a moving wall jet apparatus to investigate wind pressure characteristics on the surface of a cube under thunderstorm winds, discovering significant differences in pressure distributions compared to uniform and boundary layer flows. Chen et al. [61] designed a jet device with a movable plate to simulate moving downburst wind fields, studying the effects of jet wind speed, nozzle height, and moving speed on storm wind speed distributions. Wang et al. [62] conducted wind tunnel tests using a movable nozzle-based jet impingement device and discovered that mobility significantly enhances the peak wind speed of downbursts while the jet velocity exerts minimal influence on the peak wind speed. Zhang et al. [63] simulated the wind field of moving downbursts using the jet impingement facility at Beijing Jiaotong University (Figure 6), based on which they investigated the wind pressure characteristics on the surface of a light steel industrial building model under various offset distances and moving speeds.
Figure 6.
Downburst simulator.
In summary, domestic and foreign researchers have conducted preliminary investigations into the characteristics of downburst wind fields based on wind tunnel experiments such as wall jets and impulse jets. While the existing results provide an essential data foundation for downburst research, discrepancies persist between wind tunnel simulation outcomes and natural downburst phenomena due to limitations in experimental conditions, including constraints on a model scale and simplifications of boundary conditions. Hence, there is an urgent need to further optimize experimental setups and methods, coupled with field measurement data, in order to establish a more precise and universally applicable physical model of downbursts.
2.3. Theoretical Analysis and Research
Currently, numerous scholars worldwide have conducted a series of theoretical studies on downbursts based on field measurement data and wind tunnel experimental data, proposing several downburst wind profile models. In 1988, Oseguera and Bowles [64] established an analytical model (the OB model) for the vertical and radial mean wind profiles of downbursts:
where represents the horizontal wind speed at height z, R is the characteristic radius of the downburst, r is the distance from the storm center, are characteristic heights within and outside the boundary layer, respectively, and is a proportional parameter. is a scale parameter.
Vicroy [65] refined the OB model by proposing a simplified analytical model (the OBV model) for downbursts:
where represents the horizontal wind speed at height z; denotes the maximum horizontal wind speed and is the height at which this maximum horizontal wind speed occurs. is the shape function parameter of the downburst wind field. .
In 1998, Wood [66] presented an empirical model for the vertical wind profile of horizontal wind speeds during the fully developed stage of a downburst:
where represents the horizontal wind speed at height z, denotes the maximum horizontal wind speed, is the height at which the maximum horizontal wind speed occurs, is the height parameter, and f represents the error function.
In 2000, Holmes and Oliver [2] proposed a model for horizontal wind speeds in a moving downburst:
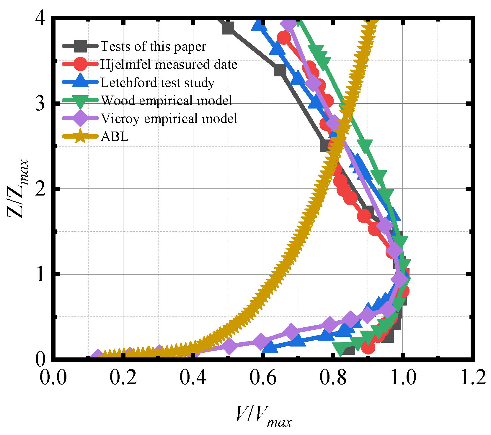
where represents the radial distance between the location of maximum wind speed and the center of the thunderstorm, denotes the maximum radial horizontal wind speed, and is the radial scale. Figure 7 shows a comparison of typical downburst wind profiles.
Figure 7.
Comparison of downburst wind profiles.
In 2009, Qu et al. [67] improved upon the OBV model by considering the movement of the storm center and variations in the intensity of the downdraft, resulting in a model that provides a more accurate description of the actual physical processes of downbursts.
2.4. Numerical Simulation Studies
With advancements in computer technology, Computational Fluid Dynamics (CFD) has emerged as one of the effective methods in structural wind engineering research (Figure 8). Compared to wind tunnel experiments, numerical simulation techniques are more time-efficient and economical. When investigating stationary downbursts, scholars worldwide have employed various turbulence models to analyze the influence of different parameters on the characteristics of downburst wind fields. Table 2 summarizes the mean turbulence intensity of typical downbursts in various countries.
Figure 8.
Downburst wind field simulation.
Table 2.
Typical mean turbulence intensity in different countries.
Selvam and Holmes [68] explored the feasibility of the k-ε turbulence model in simulating two-dimensional axisymmetric impinging jet wind fields. Sengupta and Sarkar [69] simulated impinging jet wind fields using diverse turbulence models, revealing that the realizable k-ε, Large Eddy Simulation (LES), and Reynolds Stress Model (RSM) provided results that better aligned with experimental data. Based on this, Chay [70] used the RNG k-ε model and ARMA to simulate downburst wind fields, aligning with Fujita’s measurements. While effective for simple flows, the k-ε model has limitations with complex wind fields. Consequently, Abd-Elaal et al. [71] employed Detached Eddy Simulation (DES) to investigate the unsteady wind field of downbursts. Their results demonstrated the successful simulation of vortex ring sequences in downbursts, validating DES’s effectiveness in vortex ring modeling. However, DES simulations are computationally expensive, inefficient, and suitable only for smaller Reynolds number jet wind fields. In light of this, Aboshosha and Bitsuamlak [72] utilized LES to explore downburst wind field characteristics under various terrain conditions, providing insights into turbulence characteristics and demonstrating LES’s accuracy and efficiency in complex wind field calculations. Qu Weilian and Ji Baifeng [73] applied various turbulence models to investigate the vertical wind speed profiles of downbursts and their temporal variations, gaining insights into downburst behavior patterns at different stages. Lou Wenjuan et al. [74] proposed a three-dimensional fluctuating wind field simulation method for downbursts using an improved auto-power spectrum function, stochastic flow field generation techniques, and Fast Fourier Transform (FFT), offering a novel technical approach to wind field modeling.
As numerical simulation methods evolve, scholars have begun studying moving downburst wind fields. Orf et al. [75] developed five cold source models to investigate the impact of storm movement speed on downburst wind fields. Their results indicated that storm movement causes asymmetry in the wind field structure and a significant increase in near-ground horizontal wind speed peaks. Mason et al. [76] studied the acceleration effects of storm movement under varying wind field parameters and terrain conditions, further emphasizing the importance of storm dynamics on wind fields. Sengupta et al. [77] analyzed the wind load characteristics of small cubes under different storm movement speeds using LES simulations based on the impinging jet model. They found that drag coefficients varied with storm movement speed effects. Li Jinhua et al. [78] developed a Time-Aggregated Random (TAR) model to simulate non-stationary fluctuating wind speeds in downbursts. Their simulations showed that wind speed correlations weaken with distance and amplitudes increase with rising mean wind speeds, aligning with real wind field characteristics and proving the model’s effectiveness. Fang Zhiyuan et al. [79] numerically modeled moving downbursts and validated the model’s reliability by comparing it with impinging jet test results. They discovered that storm movement significantly influenced wind field velocity and direction, emphasizing the complexity of simulating moving downbursts. Additionally, Mekdes [80] employed a structural smart monitoring system to investigate the dynamic response of structures subjected to downbursts.
In summary, numerous scholars have conducted numerical simulations of downburst wind fields using various turbulence models. The results indicate that DES and LES methods are highly accurate and effective in simulating vortex rings and wind field turbulence characteristics, particularly when considering unsteady downburst wind fields. However, due to the high computational demands and sensitivity to boundary conditions, extreme wind field simulations are still not sufficiently precise. Therefore, there is an urgent need to improve turbulence models and simulation methods to enhance simulation efficiency and accuracy. Table 3 systematically summarizes the research methods and main findings related to downburst wind field characteristics.
Table 3.
Research methods and main findings of wind field characteristics of downbursts.
3. Effects of Wind on Transmission Line-Tower Systems under Downbursts
Given the unique wind field characteristics of downbursts, damage incidents involving transmission line-tower systems under their influence occur frequently. To investigate the underlying mechanisms and mitigate disasters, scholars worldwide have conducted a series of research endeavors. Savory [81] studied the response of transmission line-tower systems under downbursts, finding that self-supporting towers with larger spans are more prone to failure than tension-type towers. Shehata and Damatty [82,83] used finite element models to predict the behavior of these systems under downbursts, showing that the models handle nonlinear deformations and complex interactions effectively. They also found that structural performance is influenced by jet diameter and the relative position of the storm center to the tower (Figure 9). Building on this, Damatty et al. [84,85,86] developed simplified models, identifying the ratio of transmission line span to jet diameter as a key factor affecting critical loads, offering guidance for wind-resistant design. Yang et al. [87] found that inland areas experience relatively uniform wind load distributions on transmission line-tower systems, impacting overall tower force and deformation with minimal local damage, while coastal regions face drastic wind speed variations, leading to localized stress concentrations and potential damage. The findings of these studies are summarized in Table 4 below.
Figure 9.
Downburst parameters with respect to the tower of interest.
Table 4.
Summary of structural analysis of different transmission Tower types under downbursts.
However, previous studies did not consider storm movement. Darwish [88,89] incorporated storm movement characteristics into the analysis using the vector superposition method. He also combined turbulence signals with mean wind speed components from CFD analysis, finding that downbursts cause significant tower displacement but do not greatly alter vibration frequency or amplitude. Aboshosha and Damatty [90] used dynamic and pseudo-static analysis methods, concluding that the pseudo-static approach is more reasonable for high wind speed effects. Elawadyd et al. [91] validated the pseudo-static method through wind tunnel tests, while Wu et al. [92] found that moving downbursts lead to unbalanced wind loads on transmission line-tower systems
Wang et al. [93] developed a thunderstorm-induced impulsive wind load model for transmission line-tower systems through the Fast Fourier Transform (FFT) algorithm and the harmonic superposition method, which effectively simulates the horizontal fluctuating wind speed of impulsive winds. Wang et al. [94] explored the failure modes of transmission line towers by establishing a finite element model. Li et al. [95] summarized the research progress in analytical models, dynamic characteristics, and wind-induced dynamic responses of transmission line-tower systems, emphasizing the wind effects under downbursts and highlighting their sensitivity and vulnerability to such extreme weather conditions. Qu et al. [96] discussed the disastrous effects and failure characteristics of downbursts on transmission line towers, as well as their implications for wind-resistant design. Liu et al. [97] discovered that compared to conventional Class B wind fields, the displacement responses of transmission line towers induced by thunderstorm impulsive winds are more significant under equivalent wind speeds. Wei [98] investigated the collapse moment of transmission line towers under downbursts using the energy method and analyzed the failure mechanism by studying the stress and spatial distribution of plastically deformed members. Bi [99] focused on analyzing the local large deformations and collapse processes of transmission line towers under downbursts, with particular attention to axial strains and displacement jumps at the intersections between the upper-middle and lower-middle sections of the towers, as well as their failure characteristics and weak points. Wang et al. [100,101,102] studied the wind-induced vibration responses of transmission line towers in both frequency and time domains under three conditions: average wind, static force, and transient dynamics of moving downbursts. They preliminarily revealed the distribution of equivalent static wind loads for the fluctuating wind-induced vibration responses under the most unfavorable wind profiles, providing an effective exploration method for assessing design wind loads on transmission line towers under downbursts.
In summary, although preliminary studies have been conducted by domestic and international scholars on the wind effects of transmission line towers under downbursts, the current research mainly concentrates on static wind load effects. Comparatively, research on the complex dynamic responses, particularly nonlinear dynamic effects, induced by downbursts is relatively scarce. Furthermore, existing wind tunnel tests are mostly based on simplified open and flat terrains, neglecting the influence of complex terrains such as mountains and valleys on the wind effects of transmission line towers. Therefore, there is an urgent need to conduct research on the complex dynamic responses induced by downbursts and the wind effects of transmission line towers under other terrain conditions.
4. Effects of Wind on Building Roofs under Downbursts
Downbursts exert significant pressure on building roofs due to their intense winds, particularly posing risks of deformation or direct damage to the roof structures of low-rise buildings. Consequently, scholars have conducted a series of studies on common low-rise buildings with flat and pitched roofs, focusing primarily on wind load distribution, flow field characteristics, dynamic responses, and structural stability in downburst environments. These efforts aim to provide theoretical foundations and technical support for the wind-resistant design of low-rise buildings. Figure 10 is a wind pressure cloud diagram for a factory building with a sloping roof. Matthew [103], Jubayer [104], Chen [105], Chen Bo [106], Asano [107], and others have investigated the wind pressure characteristics of flat roofs under downbursts, discovering that wind pressure distribution is closely related to the distance from the downburst center. As the building structure moves away from the downburst center, the pressure on the roof gradually shifts from positive to negative. Furthermore, wind pressure distribution is influenced not only by the relative position of the building structure and the downburst center but also significantly by the building orientation. In downburst wind fields, the wind pressure distribution pattern on flat roofs differs markedly from that in atmospheric boundary layer wind fields, exhibiting stronger local effects and more complex time-varying characteristics.
Figure 10.
Contour plots of mean wind pressure coefficients distribution for low-rise buildings.
Zhang [108], Jesson [109], Wang Zhisong [110,111], Ji Baifeng [112], and others have comprehensively analyzed the wind pressure distribution characteristics on the surfaces of pitched roof buildings, considering factors such as roof pitch, the distance between the building and the thunderstorm center, and wind direction angle. Their results indicate that the wind pressure distribution of buildings is closely related to their distance from the thunderstorm center. Notably, when a building is located within the diameter of the thunderstorm center, its windward side experiences positive wind pressure, while the roof, leeward side, and sides are subjected to negative pressure. As the building moves away from the thunderstorm center, the positive pressure on the windward side gradually decreases, while the negative pressure on the leeward and side surfaces first increases and then decreases. Additionally, roof pitch significantly affects the distribution of wind pressure coefficients, with steeper roofs generating higher positive pressures on the windward side and larger negative pressures on the leeward side and other areas. Variations in wind direction angle further exacerbate the asymmetry in wind pressure distribution between the windward and leeward sides, thereby influencing the overall wind load characteristics of the building. Table 5 summarizes the key findings of these studies.
Table 5.
Summary of effects of wind on typical low-rise buildings under downburst conditions.
Among low-rise buildings, large-span roofs have become a primary research focus in structural wind engineering due to their lightweight, large scale, and high sensitivity to wind loads. Figure 11 is the wind pressure cloud map of the large-span cable dome structure. Xie Zhuangning et al. [113] studied the surface wind pressure distribution patterns of large-span flat roofs under downbursts and found that the roof surface is primarily subjected to negative pressure, with the highest pressures occurring near the windward eaves and ridges. This research provides an essential reference for designing large-span flat roofs to resist downbursts. Pan Feng et al. [114] investigated the multi-modal random wind-induced responses of large-span roofs under downbursts, revealing the non-uniform distribution of load wind effect coefficients and displacement wind effect coefficients on the roofs, offering insights for assessing the impact wind-induced responses of large-span roofs. Wang Zhisong et al. [115] analyzed the variation patterns of extreme wind pressures on large-span roofs at different radial distances through rigid model wind tunnel pressure tests. Additionally, scholars have conducted studies on other types of large-span roofs. Chen Yong et al. [116,117] studied wind pressure on large-span roofs with varying rise-to-span ratios under downbursts, finding that larger ratios increase positive pressure on the windward side and negative pressure on the leeward side, raising the risk of roof damage. Yao Yong et al. [118] found that in flat terrain, wind pressure on double-sided spherical roofs shifts from positive to negative with distance, while in sloping terrain, it remains negative and increases. Chu Yunpeng et al. [119,120] discovered that wind pressures on circular and diamond-shaped roofs initially increase and then decrease with radial distance, with diamond-shaped roofs experiencing slightly higher pressures due to their shape.
Figure 11.
Contour plots of mean wind pressure coefficient distribution for large-span structure.
In summary, scholars, both domestically and internationally, have conducted partial research on the effects of wind on low-rise building roofs under downburst conditions through various methods such as wind tunnel tests and numerical simulations. This research primarily focuses on different types of common roof structures, including flat roofs and gable roofs, while considering multiple factors such as building shapes, roof slopes, distances between buildings and the thunderstorm center, and the incoming flow direction. Preliminary analyses have been performed on characteristics such as wind pressure distribution and dynamic responses on roof surfaces. However, due to the non-stationarity of downburst wind fields and the diversity of roof structures, there is an urgent need to develop more accurate wind load models and design methodologies to ensure the safety and reliability of roof structures under extreme wind loads.
5. Wind Effect of Tall Buildings under Downburst
Scholars from both domestic and international communities have conducted in-depth investigations into the impacts of downbursts on tall buildings through wind tunnel tests, numerical simulations, and other methodologies, with a particular emphasis on dynamic response and wind pressure distribution characteristics.
In terms of dynamic response, Chen et al. [121] examined the along-wind response of tall buildings during thunderstorms, introducing the concept of Maximum Dynamic Magnification Factor, which they found crucial for measuring and comparing the effects of non-stationary downbursts on tall buildings. Following this, Kim et al. [122,123] further compared the impacts of downbursts with those of large-scale, steady strong winds on tall buildings, revealing that downbursts induce more intense wind-induced vibration responses, manifesting as pronounced vibrations and displacement variations in structures. Le et al. [124,125] employed the wavelet-Galerkin method to investigate the coupled dynamic response of tall buildings subjected to thunderstorm winds, developing a computational model capable of simulating the instantaneous dynamic response of tall buildings during thunderstorms.
Regarding wind pressure distribution, Ji et al. [126] analyzed and found that downbursts significantly increase wind pressure on the surfaces of tall buildings, particularly on the windward and lateral faces, while also revealing the non-uniformity of wind pressure distribution. Wang and their colleagues [127,128] first simulated downburst wind fields using a stationary impulsive jet apparatus, analyzing the time-domain and frequency-domain responses of local and overall wind loads on tall buildings at different radial positions. Subsequently, incorporating the factor of hillside terrain, they unveiled the influence patterns of slope angles on the temporal variation of building drag coefficients. Huang et al. [129] analyzed the effects of both stationary and moving downbursts on tall buildings through numerical simulations, discovering that while moving downbursts enhance wind speeds in the direction of motion, they reduce speeds in the opposite direction, significantly increasing the wind pressure coefficients on building surfaces. Fang et al. [130], by conducting pressure measurement tests on tall building models with varying depth-to-width ratios under thunderstorm impulsive winds, analyzed the amplitude characteristics of wind pressure under downbursts. They found that the wind pressure on the windward, lateral, and leeward faces of buildings is significantly influenced by depth-to-width ratio and radial position and differs markedly from that induced by large-scale, steady strong winds. Consequently, they recommended appropriately amplifying wind load values in certain areas during the design of tall buildings, considering thunderstorm-impulsive winds. Additionally, Miguel [131] analyzed wind loads on tall buildings subjected to downbursts, combining experimental and theoretical studies to propose a risk assessment method for tall buildings.
In summary, existing research has confirmed that downbursts significantly increase wind loads on the windward and lateral faces of tall buildings and has preliminarily established models for wind pressure distribution and wind-induced structural responses. However, due to the non-stationarity of downburst wind fields and the wind pressure interference between building groups, current studies are still limited in their ability to deeply analyze the interference effects and the influence laws of complex terrain on building wind effects. Therefore, further exploration of the effects of wind on tall buildings in different downburst scenarios and complex environments is needed to enhance the adaptability and safety of building designs.
6. Wind Effect of Other Structures under Downburst
In addition to the extensive analysis of conventional structures mentioned above, scholars have also conducted relevant research on other specialized structures. Wang et al. [132] proposed an improved hybrid model and verified its capability to predict the influence of downbursts on lattice tower structures with relatively high accuracy. Li et al. [133], through numerical simulations and wind tunnel tests, revealed the structural response characteristics of an extra-large cooling tower under downburst conditions, clarified failure modes under various wind speeds and directions, and analyzed its collapse mechanism and failure criteria. Han et al. [134] employed both experiments and numerical simulations to investigate the impact of downbursts on the wind pressure distribution around cooling towers, discovering an instantaneous maximum wind pressure in the windward region at the lower area of the tower, which is 65.22% higher than that under normal wind conditions.
Liu et al. [135], based on field measurement data, analyzed the characteristics of downburst wind fields and their influence on wind loads on tall masts, finding that the peak wind pressure on the windward side of tall structures was significantly higher than observations under normal wind conditions. Yang and Li et al. [136] utilized wind tunnel tests to assess the safety performance of high-speed trains operating under downburst conditions, discovering that track types and jet angles significantly impacted the aerodynamic wind loads on trains.
In summary, existing research has preliminarily analyzed the wind effects of various specialized structures, including cooling towers and masts, under downburst conditions. However, due to the complexity of downburst wind fields, which exhibit non-stationary and non-Gaussian characteristics, further research is urgently needed with the establishment of high-precision wind field models. This research should deepen the understanding of wind loads and wind-induced vibration responses of specialized structures under complex wind field conditions, develop more accurate wind-resistant design and optimization methods, and ultimately enhance the safety and reliability of structures under extreme wind conditions.
7. Conclusions and Recommendations for Future Work
As extreme wind with short duration, high impulsiveness, and peak wind speeds, downbursts pose significant threats to the safety of building structures. Currently, the influence of downburst wind loads is not considered in domestic building structural design codes, leading to potentially dangerous design outcomes. Therefore, intensifying research into the characteristics of downburst wind fields and the effects of wind on building structures under their influence is crucial for enhancing the wind resistance reliability of building structures. Further research in the future can apply deep learning and intelligent optimization technology to the field of extreme winds to explore its wind field characteristics.
Scholars worldwide have conducted preliminary studies on the characteristics of downburst wind fields using field measurements, wind tunnel tests, and numerical simulations. However, there are still limitations in understanding the similarities and differences in wind field characteristics across different regions, the non-stationary features of wind fields, and the analysis of downbursts under complex terrain conditions. Therefore, it is necessary to apply intelligent technology to the traditional wind engineering field, conduct corresponding statistical modeling, realize intelligent identification of multiple types of storms, and establish a more accurate and universal theoretical model of the downburst wind field.
Research on the wind effects of transmission line towers and various roof structures under downburst conditions has revealed the complexity and diversity of their wind loads. Nevertheless, most studies focus on the impact of stationary downbursts, with relatively few investigations into the wind pressure characteristics under moving downbursts, particularly in flat terrain. Consequently, there is an urgent need for more in-depth research into the dynamic behavior of roofs and transmission lines-towers under extreme wind conditions and in complex terrain. The adoption of intelligent structural health monitoring methods can be utilized to ascertain their damage conditions, thereby enhancing their wind resistance capabilities.
Although progress has been made in studying the wind effects caused by downbursts on high-rise buildings and other building structures, research on the interference effects between adjacent buildings and the coupling of wind and structures remains inadequate. Therefore, it is necessary to comprehensively consider these factors and conduct more comprehensive wind resistance research. Dynamic tracking of wind resistance of building structures is carried out, and then big data analysis is performed to achieve wind effect prediction, so as to improve the overall safety and sustainability of building structures.
Author Contributions
Conceptualization, S.Z.; methodology, S.Z. and Q.Y.; software, K.G. and X.X.; validation, X.X.; formal analysis, K.G.; data curation, S.Z.; writing—original draft preparation, S.Z. and K.G.; writing—review and editing, Q.Y. and X.X. supervision, Q.Y. All authors have read and agreed to the published version of the manuscript.
Funding
This research was supported by Beijing Natural Science Foundation (Grant No. 8222013), National Natural Science Foundation of China (Grant Nos. 52108431 and 52308334) and the Pyramid Talent Training Project of Beijing University of Civil Engineering and Architecture (Grant No. JDYC20220806). The authors acknowledge the support of Open Project Fund of Beijing’s Key Laboratory of Structural Wind Engineering and Urban Wind Environment (2024-1), Special Funds for Cultivating Projects of Beijing University of Civil Engineering and Architecture (X24021) and Science and technology research and development project of China Railway Construction Group Co., Ltd. (22-55c). Any opinions, findings, conclusions, or recommendations expressed in this article are those of the authors and do not necessarily reflect the views of the sponsors.
Conflicts of Interest
Author Xiaoda Xu was employed by the company Central Research Institute of Building and Construction Co., Ltd. MCC. The remaining authors declare that the research was conducted in the absence of any commercial or financial relationships that could be construed as a potential conflict of interest.
References
- Fujita, T.T. Downbursts: Meteorological features and wind field characteristics. J. Wind Eng. Ind. Aerodyn. 1990, 36, 75–86. [Google Scholar] [CrossRef]
- Holmes, J.D.; Oliver, S. An empirical model of a downburst. Eng. Struct. 2000, 22, 1167–1172. [Google Scholar] [CrossRef]
- Hjelmfelt, M.R. Structure and life cycle of microburst outflows observed in Colorado. J. Appl. Meteorol. Climatol. 1988, 27, 900–927. [Google Scholar] [CrossRef]
- Choi, E.C. Extreme wind characteristics over Singapore–an area in the equatorial belt. J. Wind Eng. Ind. Aerodyn. 1999, 83, 61–69. [Google Scholar] [CrossRef]
- Choi, E.C.C. Wind characteristics of tropical thunderstorms. J. Wind Eng. Ind. Aerodyn. 2000, 84, 215–226. [Google Scholar] [CrossRef]
- Tao, T.; Deng, P.; Wang, H.; Shi, P. Intelligent Prediction of Buffeting Responses of Long-span Bridge Under the Action of Thunderstorm Winds. China J. Highw. Transp. 2023, 36, 87–95. (In Chinese) [Google Scholar]
- Trautner, C.; Ojdrovic, R.; Schafer, B.W.; Jones, N.P. An investigation of the collapse of the Dallas Cowboys Practice Facility. In Forensic Engineering: Gateway to a Safer Tomorrow; American Society of Civil Engineers: Reston, VA, USA, 2012; pp. 1268–1277. [Google Scholar]
- Xie, Q.; Zhang, Y.; Li, J. Investigation on Tower Collapses of 500 kV Renshang 5237 Transmission Line Caused by Downburst. Power Syst. Technol. 2006, 30, 59–63. (In Chinese) [Google Scholar]
- Zhang, Y.; Tian, F.; Meng, Z.; Xue, M.; Yao, D.; Bai, L.; Zhou, X.; Mao, X.; Wang, M. Survey and Multi-Scale Characteristics of Wind Damage Caused by Convective Storms in the Surrounding Area of the Capsizing Accident of Cruise Ship “Dongfangzhixing”. Meteorol. Mon. 2016, 42, 1–13. (In Chinese) [Google Scholar]
- Peduzzi, P.; Dao, H.; Herold, C.; Mouton, F. Assessing global exposure and vulnerability towards natural hazards: The Disaster Risk Index. J. Nat. Hazards Earth Syst. Sci. 2009, 9, 1149–1159. [Google Scholar]
- AS/NZS 1170.2-2011; Joint Technical Committee BD-006. Australian/New Zealand Standard Structural Design Actions. SAI Global Limited: Canberra, Australia, 2011.
- ASCE NO. 74-2009; American Society of Civil Engineers. Guidelines for Electrical Transmission Line Structural Loading. Library of Congress Cataloging-in-Publication Data: Reston, VA, USA, 2009.
- ISO 4354-2009; International Organization for Standardization. Wind Action on Structures. ISO Copyright Office: Zurich, Switzerland, 2009.
- Fujita, T.T. Objectives, operation, and results of Project NIMROD. In Proceedings of the Preprints 11th Conf on Severe Local Storms, Kansas City, MO, USA, 2–5 October 1979. [Google Scholar]
- Fujita, T.T. The Downburst: Microburst and Macroburst: Report of Projects NIMROD and JAWS; Satellite and Mesometeorology Research Project; Department of the Geophysical Sciences, University of Chicago: Chicago, IL, USA, 1985. [Google Scholar]
- Wilson, J.W.; Roberts, R.D.; Kessinger, C.; McCarthy, J. Microburst wind structure and evaluation of Doppler radar for airport wind shear detection. J. Appl. Meteorol. Climatol. 1984, 23, 898–915. [Google Scholar] [CrossRef]
- Fujita, T.T. Tornadoes and downbursts in the context of generalized planetary scales. J. Atmos. Sci. 1981, 38, 1511–1534. [Google Scholar] [CrossRef]
- Wolfson, M.M. The FLOWS automatic weather station network. J. Atmos. Ocean. Technol. 1989, 6, 307–326. [Google Scholar] [CrossRef]
- Atkins, N.T.; Wakimoto, R.M. Wet microburst activity over the southeastern United States: Implications for forecasting. Weather Forecast. 1991, 6, 470–482. [Google Scholar] [CrossRef]
- Chen, L.; Letchford, C.W. Numerical simulation of extreme winds from thunderstorm downbursts. J. Wind Eng. Ind. Aerodyn. 2007, 95, 977–990. [Google Scholar] [CrossRef]
- Lombardo, F.T.; Mason, M.S.; Alab, A.Z.D. Investigation of a downburst loading event on a full-scale low-rise building. J. Wind Eng. Ind. Aerodyn. 2018, 182, 272–285. [Google Scholar] [CrossRef]
- Solari, G.; Repetto, M.P.; Burlando, M.; Gaetano, P.D.; Pizzo, M.; Tizzi, M.; Parodi, M. The wind forecast for safety management of port areas. J. Wind Eng. Ind. Aerodyn. 2012, 104–106, 266–277. [Google Scholar] [CrossRef]
- Gaetano, P.D.; Repetto, M.P.; Repetto, T.; Solari, G. Separation and classification of extreme wind events from anemometric records. J. Wind Eng. Ind. Aerodyn. 2014, 126, 132–143. [Google Scholar] [CrossRef]
- Solari, G.; Burlando, M.; Repetto, M.P. Characteristics of thunderstorms relevant to the wind loading of structures. Wind Struct. 2015, 20, 763–791. [Google Scholar] [CrossRef]
- Solari, G.; Gaetano, P.D. Dynamic response of structures to thunderstorm outflows: Response spectrum technique vs time-domain analysis. Eng. Struct. 2018, 176, 188–207. [Google Scholar] [CrossRef]
- Zhang, S.; Solari, G.; Burlando, M.; Yang, Q. Directional decomposition and properties of thunderstorm outflows. J. Wind Eng. Ind. Aerodyn. 2019, 189, 71–90. [Google Scholar] [CrossRef]
- Burlando, M.; Zhang, S.; Solari, G. Monitoring, cataloguing, and weather scenarios of thunderstorm outflows in the northern Mediterranean. Nat. Hazards Earth Syst. Sci. 2018, 18, 2309–2330. [Google Scholar] [CrossRef]
- Zhang, S.; Solari, G.; Gaetano, P.D.; Burlando, M.; Repetto, M.P. A refined analysis of thunderstorm outflow characteristics relevant to the wind loading of structures. Probabilistic Eng. Mech. 2018, 54, 9–24. [Google Scholar] [CrossRef]
- Zhang, S.; Solari, G.; Yang, Q.; Repetto, M.P. Extreme wind speed distribution in a mixed wind climate. J. Wind Eng. Ind. Aerodyn. 2018, 176, 239–253. [Google Scholar] [CrossRef]
- Roncallo, L.; Solari, G. An evolutionary power spectral density model of thunderstorm outflows consistent with real-scale time-history records. J. Wind Eng. Ind. Aerodyn. 2020, 203, 104204. [Google Scholar] [CrossRef]
- Canepa, F.; Burlando, M.; Solari, G. Vertical profile characteristics of thunderstorm outflows. J. Wind Eng. Ind. Aerodyn. 2020, 206, 104332. [Google Scholar] [CrossRef]
- Yu, X.; Zhang, A.; Zheng, Y.; Fang, C.; Zhu, H.; Wu, L. Doppler Radar Analysis on a Series of Downburst Events. J. Appl. Meteorol. Science 2006, 17, 385–393. (In Chinese) [Google Scholar]
- Li, H.; Ou, J. Spatiotemporal distribution characteristics of downburst in China. J. Nat. Disasters 2015, 24, 9–18. (In Chinese) [Google Scholar]
- Huang, G.; Peng, L.; Liao, H.; Li, M. Field Measurement Study on Wind Characteristics at Puli Great Bridge Site in Mountainous Area. J. Southwest Jiaotong Univ. 2016, 29, 349–356. (In Chinese) [Google Scholar]
- Huang, G.; Jiang, Y.; Peng, L.; Solari, G.; Liao, H.; Li, M. Characteristics of intense winds in mountain area based on field measurement: Focusing on thunderstorm winds. J. Wind Eng. Ind. Aerodyn. 2019, 190, 166–182. [Google Scholar] [CrossRef]
- Zhang, S.; Yang, Q.; Solari, G.; Li, B.; Huang, G. Characteristics of thunderstorm outflows in Beijing urban area. J. Wind Eng. Ind. Aerodyn. 2019, 195, 104011. [Google Scholar] [CrossRef]
- Zhang, S.; Li, B.; Solari, G.; Zhang, X.; Xu, X. A Refined Study of Atmospheric Wind Properties in the Beijing Urban Area Based on a 325 m Meteorological Tower. Atmosphere 2021, 12, 786. [Google Scholar] [CrossRef]
- Zhang, S.; Yang, Q.; Xu, X. Spatial and temporal statistical characteristics of the wind field of thunderstorm outflows based on measured date in beijing urban area. Eng. Mech. 2023, 40, 193–203. (In Chinese) [Google Scholar]
- Liu, M.; Hu, J.; Pan, Y.; Zhang, C.; Yu, X.; Xie, Z. wind field characteristics of dowbvurst based on field measurement. Eng. Mech. 2023, 40, 1–8. (In Chinese) [Google Scholar]
- Liu, M.G.; Pan, Y.P.; Hu, J.K.; Zhang, C.; Yu, X.; Xie, Z. Field measurement study of intense thunderstorm outflows characteristics based on 356 m high meteorological tower. J. Wind Eng. Ind. Aerodyn. 2023, 242, 105590. [Google Scholar] [CrossRef]
- Huang, M.; Zhang, J.; Li, J. Damage identification of steel bridge based on data augmentation and adaptive optimization neural network. Struct. Health Monit. 2024, 14759217241255042. [Google Scholar] [CrossRef]
- Bakke, P. An experimental investigation of a wall jet. J. Fluid Mech. 1957, 2, 467–472. [Google Scholar] [CrossRef]
- Poreh, M.; Tsuei, Y.; Cermak, J.E. Investigation of a turbulent radial wall jet. J. Appl. Mech. 1967, 34, 457–463. [Google Scholar] [CrossRef]
- Lin, W.; Orf, L.; Savory, E.; Novacco, C. Proposed large-scale modelling of the transient features of a downburst outflow. Wind Struct. 2007, 10, 315–346. [Google Scholar] [CrossRef]
- Lin, W.; Savory, E. Physical modelling of a downdraft outflow with a slot jet. Wind Struct. 2010, 13, 385–412. [Google Scholar] [CrossRef]
- Zhong, Y.; Yan, Z.; You, Y.; Zhao, S. Numerical Simulation of Mean Wind Pressure Distribution on Building Surface under Plane Wall Jet Wind Field. J. Hunan Univ. Nat. Sci. 2019, 46, 47–54. (In Chinese) [Google Scholar]
- Zhong, Y.; Yan, Z.; Wang, Z.; Fang, Z. A study of translational incremental effect of downburst and wall jet method with co-flow. J. Build. Struct. 2021, 42, 15–24. (In Chinese) [Google Scholar]
- Holmes, J. Physical modelling of thunderstorm downdrafts by wind tunnel jet. In Proceedings of the 2nd AWES Workshop, Melbourne, VIC, Australia, 20–21 February 1992; Monash University: Clayton, VIC, Australia, 1992; pp. 21–22. [Google Scholar]
- Cassar, R. Simulation of a thunderstorm downdraft by a wind tunnel jet. Summer Vacat. Rep. DBCE 1992, 92, 22. [Google Scholar]
- Wood, G.S.; Kwok, K.C.S.; Motteram, N.A.; Fletcher, D.F. Physical and numerical modelling of thunderstorm downbursts. J. Wind Eng. Ind. Aerodyn. 2001, 89, 535–552. [Google Scholar] [CrossRef]
- Xu, Z.; Hangan, H. Scale, boundary and inlet condition effects on impinging jets. J. Wind Eng. Ind. Aerodyn. 2008, 96, 2383–2402. [Google Scholar] [CrossRef]
- Xu, T.; Chen, Y.; Peng, Z.; Lou, W.; Sun, B. Wind tunnel design and steady flow field measurement for thunderstorm downburst experiment. J. Exp. Mech. 2009, 24, 505–512. (In Chinese) [Google Scholar]
- Li, B.; Li, R.; Tian, Y.; Li, P.; Yang, Q. Downburst outflow under different angles of jet tilt based on physical simulation. J. Vib. Shock 2023, 42, 215–222. (In Chinese) [Google Scholar]
- Duan, M.; Xie, Z.; Shi, B. Experimental study on simulation of downburst in atmospheric boundary layer wind tunnel. J. Build. Struct. 2012, 33, 126–131. (In Chinese) [Google Scholar]
- Richter, A.; Ruck, B.; Mohr, S.; Kunz, M. Interaction of severe convective gusts with a street canyon. Urban Clim. 2018, 23, 71–90. [Google Scholar] [CrossRef]
- Junayed, C.; Jubayer, C.; Parvu, D.; Romanic, D.; Hangan, H. Flow field dynamics of large-scale experimentally produced downburst flows. J. Wind Eng. Ind. Aerodyn. 2019, 188, 61–79. [Google Scholar] [CrossRef]
- Zhao, Y.; Cao, S.; Tamura, Y.; Duan, Z.; Ozono, S. Study on the Simulation of Downburst and Its Loads by Wind Tunnel Test. J. Vib. Shock 2009, 28, 1–3. (In Chinese) [Google Scholar]
- Yuan, Y.; Yan, B.; Zhou, X.; Li, X.; Yang, Q.; Zhou, X.; Shu, Z. An active-controlled multi-blade facility to generate 2-D downburst-like outflows in the boundary layer wind tunnel. J. Wind Eng. Ind. Aerodyn. 2024, 248, 105713. [Google Scholar] [CrossRef]
- Chay, M.; Letchford, C. Pressure distributions on a cube in a simulated thunderstorm downburst—Part A: Stationary downburst observations. J. Wind Eng. Ind. Aerodyn. 2002, 90, 711–732. [Google Scholar] [CrossRef]
- Letchford, C.; Chay, M. Pressure distributions on a cube in a simulated thunderstorm downburst. Part B: Moving downburst observations. J. Wind Eng. Ind. Aerodyn. 2002, 90, 733–753. [Google Scholar] [CrossRef]
- Chen, Y.; Liu, G.; Xu, T.; Yu, S. Time Histories of Horizontal Wind Velocity of Moving Thunderstorms and Pheno menological Model. J. Tongji Univ. Nat. Sci. 2012, 40, 0022–0026. (In Chinese) [Google Scholar]
- Wang, Z.; Wu, Y.; Fang, Z. Downburst wind field characteristics under moving effect. J. Vib. Shock 2019, 38, 32–38. (In Chinese) [Google Scholar]
- Zhang, S.; Zhong, H.; Zhang, A.; Tian, Y.; Zhou, D.; Zhang, X. Wind load characteristics of the long-span light steel structure plant under moving downburst. J. Build. Struct. 2024, 45, 191–200. (In Chinese) [Google Scholar]
- Oseguera, R.M.; Bowles, R.L. A Simple, Analytic 3-Dimensional Downburst Model Based on Boundary Layer Stagnation Flow. NASA Technical Memorandum No. NASA-TM-100632; NASA: Washington, DC, USA, 1988.
- Vicroy, D.D. A Simple, Analytical, Axisymmetric Microburst Model for Downdraft Estimation; National Aeronautics and Space Administration, Langley Research Center: Hampton, VA, USA, 1991.
- Wood, G.; Kwok, K. An empirically derived estimate for the mean velocity profile of a thunderstorm downburst. In Proceedings of the 7th Australian Wind Engineering Society Workshop, Auckland, New Zealand, 28–29 September 1998. [Google Scholar]
- Qu, W.; Ji, B.; Wang, J. Numerical simulation of downburst wind loads based on modified OBV model. Earthq. Eng. Eng. Dyn. 2009, 29, 146–152. (In Chinese) [Google Scholar]
- Selvam, R.P.; Holmes, J. Numerical simulation of thunderstorm downdrafts. J. Wind Eng. Ind. Aerodyn. 1992, 44, 2817–2825. [Google Scholar] [CrossRef]
- Sengupta, A.; Sarkar, P.P. Experimental measurement and numerical simulation of an impinging jet with application to thunderstorm microburst winds. J. Wind Eng. Ind. Aerodyn. 2007, 96, 345–365. [Google Scholar] [CrossRef]
- Chay, M.T.; Albermani, F.; Wilson, R. Numerical and analytical simulation of downburst wind loads. Eng. Struct. 2005, 28, 240–254. [Google Scholar] [CrossRef]
- Abd, E.S.; Mills, J.E.; Ma, X. A coupled parametric-CFD study for determining ages of downbursts through investigation of different field parameters. J. Wind Eng. Ind. Aerodyn. 2013, 123, 30–42. [Google Scholar]
- Aboshosha, H.; Bitsuamlak, G.; Damatty, A.E. Turbulence characterization of downbursts using LES. J. Wind Eng. Ind. Aerodyn. 2015, 136, 44–61. [Google Scholar] [CrossRef]
- Ji, B.; Qu, W.; Wang, Y.; Wang, L. Study on time varying characteristics of downburst vertical wind profile. J. Wuhan Univ. Technol. 2013, 35, 86–91. (In Chinese) [Google Scholar]
- Lou, W.; Wang, J.; Yang, L.; Chen, Y. Simulation of three-dimensional fluctuating wind velocity field upon thunderstorm downburst. J. Zhejiang Univ. Eng. Sci. 2014, 48, 1162–1169. (In Chinese) [Google Scholar]
- Orf, L.; Kantor, E.; Savory, E. Simulation of a downburst-producing thunderstorm using a very high-resolution three-dimensional cloud model. J. Wind Eng. Ind. Aerodyn. 2012, 104–106, 547–557. [Google Scholar] [CrossRef]
- Mason, M.S.; Fleftcher, D.F.; Wood, G.S. Numerical simulation of idealised three-dimensional downburst wind fields. Eng. Struct. 2010, 32, 3558–3570. [Google Scholar] [CrossRef]
- Sengupta, A.; Haan, F.L.; Sarkar, P.P.; Balaramudu, V. Transient loads on buildings in microburst and tornado winds. J. Wind Eng. Ind. Aerodyn. 2008, 96, 2173–2187. [Google Scholar] [CrossRef]
- Li, J.; Wu, C.; Chen, S. Simulation of non-stationary fluctuating wind velocity in downburst. J. Vib. Shock 2014, 33, 54–60. (In Chinese) [Google Scholar]
- Fang, Z.; Li, Z.; Wang, Z. Study on effect of storm movement on wind field characteristics of downburst. J. Build. Struct. 2019, 40, 166–174. (In Chinese) [Google Scholar]
- Mengistu, M.T.; Orlando, A.; Repetto, M.P. Wind and structural response monitoring of a lighting pole for the study of downburst effects on structures. J. Wind Eng. Ind. Aerodyn. 2023, 240, 105447. [Google Scholar] [CrossRef]
- Savory, E.; Parke, G.A.R.; Zeinoddini, M.; Toy, N.; Disney, P. Modelling of tornado and microburst-induced wind loading and failure of a lattice transmission tower. Eng. Struct. 2001, 23, 365–375. [Google Scholar] [CrossRef]
- Shehata, A.Y.; Damatty, A.A.E.; Savory, E. Finite element modeling of transmission line under downburst wind loading. Finite Elem. Anal. Des. 2005, 42, 71–89. [Google Scholar] [CrossRef]
- Shehata, A.Y.; Nassef, A.O.; Damatty, A.A.E. A coupled finite element-optimization technique to determine critical microburst parameters for transmission towers. Finite Elem. Anal. Des. 2008, 45, 1–12. [Google Scholar] [CrossRef]
- Aboshosha, H.; Damatty, A.E. Effective technique to analyze transmission line conductors under high intensity winds. Wind Struct. 2014, 18, 235–252. [Google Scholar] [CrossRef]
- Aboshosha, H.; Elawady, A.; Ansary, A.E.; Damatty, A.E. Review on dynamic and quasi-static buffeting response of transmission lines under synoptic and non-synoptic winds. Eng. Struct. 2016, 112, 23–46. [Google Scholar] [CrossRef]
- Elawady, A.; Damatty, A.E. Longitudinal force on transmission towers due to non-symmetric downburst conductor loads. Eng. Struct. 2016, 127, 206–226. [Google Scholar] [CrossRef]
- Yang, F.; Zhang, H. Two case studies on structural analysis of transmission towers under downburst. Wind Struct. 2016, 22, 685–701. [Google Scholar] [CrossRef]
- Darwish, M.M.; Damatty, A.A.E.; Hangan, H. Dynamic characteristics of transmission line conductors and behaviour under turbulent downburst loading. Wind Struct. 2010, 13, 327–346. [Google Scholar] [CrossRef]
- Darwish, M.M. Characteristics and Design of Downburst Loaded Transmission Lines. Ph.D. Thesis, The University of Western Ontario, London, ON, Canada, 2010. [Google Scholar]
- Aboshosha, H.; Damatty, A.E. Dynamic response of transmission line conductors under downburst and synoptic winds. Wind Struct. 2015, 21, 241–272. [Google Scholar] [CrossRef]
- Elawany, A.; Aboshosha, H.; Damatty, A.E.; Bitsuamlak, G.; Hangan, H.; Elatar, A. Aero-elastic testing of multi-spanned transmission line subjected to downbursts. J. Wind Eng. Ind. Aerodyn. 2017, 169, 194–216. [Google Scholar] [CrossRef]
- Wu, Z.; Iida, Y.; Uematsu, Y. The flow fields generated by stationary and travelling downbursts and resultant wind load effects on transmission line structural system. J. Wind Eng. Ind. Aerodyn. 2021, 210, 104521. [Google Scholar] [CrossRef]
- Wang, X.; Lou, W.; Li, H.; Chen, Y. Wind-induced dynamic response of high-rise transmission tower under downburst wind load. J. Zhejiang Univ. Eng. Sci. 2009, 43, 1520–1525. (In Chinese) [Google Scholar]
- Wang, F.; Xu, Y.; Qu, W. Multi-scale failure analysis of transmission towers under downburst loading. Int. J. Struct. Stab. Dyn. 2018, 18, 1850029. (In Chinese) [Google Scholar] [CrossRef]
- Li, C.; Li, J.; Yu, Z. Wind-resistant design theories and future directions of transmission tower-line systems. J. Vib. Shock 2009, 28, 15–25. (In Chinese) [Google Scholar]
- Qu, W.; Liang, Z.; Wang, L.; Ji, B. Downburst’s characteristics and its effect on wind-induced collapse of transmission tower. Earthq. Eng. Eng. Dyn. 2010, 30, 120–126. (In Chinese) [Google Scholar]
- Liu, M.; Huang, L.; Zou, Y. Experimental investigation on dynamic response of transmission tower under downburst winds. J. Exp. Mech. 2018, 33, 869–876. (In Chinese) [Google Scholar]
- Wei, W.; Zhou, X.; Deng, C.; Ji, B. Research on Failure and Collapse of Transmission Tower Line System Under Downburst Action Based on Energy Method. J. Archit. Civ. Eng. 2020, 37, 73–80. (In Chinese) [Google Scholar]
- Bi, W.; Tian, L. Study on the collapse failure of transmission tower-line system under downburst. Eng. Mech. 2022, 39 (Suppl. S1), 78–83. (In Chinese) [Google Scholar]
- Zhao, Y.; Sun, Q.; Song, Z.; Wang, D.; Wang, X. A dynamic responses and evaluation method of the downburst wind loads effect on a transmission tower. J. Vib. Shock 2021, 40, 179–188. (In Chinese) [Google Scholar]
- Wang, D.; Wang, G.; Wang, X.; Sun, Q.; Yang, Q.; Huang, G.; Yang, J. Frequency domain method for dynamic responses of transmission tower under downburst. Eng. Mech. 2023, 40, 152–163. (In Chinese) [Google Scholar]
- Chen, Q.; Wang, D.; Xiang, Y.; Sun, Q.; Yang, Q.; Huang, G.; Yang, J. Study on critical load cases for transmission lines under downburst. J. Disaster Prev. Mitig. Eng. 2024, 44, 90–98. (In Chinese) [Google Scholar]
- Haines, M.; Taylor, I. Numerical investigation of the flow field around low rise buildings due to a downburst event using large eddy simulation. J. Wind Eng. Ind. Aerodyn. 2018, 172, 12–30. [Google Scholar] [CrossRef]
- Jubayer, C.; Elatar, A.; Hangan, H. Pressure distributions on a low-rise building in a laboratory simulated downburst. In Proceedings of the 8th International Colloquium on Bluff Body Aerodynamics and Applications, Boston, MA, USA, 7–11 June 2016. [Google Scholar]
- Chen, Y.; Liu, G.G.; Sun, B.N. Dynamic Response of Flat Roofs Subjected to Non-Stationary Moving Microbursts. Eng. Appl. Comput. Fluid Mech. 2013, 7, 519–532. [Google Scholar] [CrossRef]
- Chen, B.; Jia, L.; Tian, C. CFD numerical simulation of downburst wind effect on flat roofs. J. Beijing Jiaotong Univ. 2013, 37, 140–144. (In Chinese) [Google Scholar]
- Asano, K.; Iida, Y.; Uematsu, Y. Laboratory study of wind loads on a low-rise building in a downburst using a moving pulsed jet simulator and their comparison with other types of simulators. J. Wind Eng. Ind. Aerodyn. 2019, 184, 313–320. [Google Scholar] [CrossRef]
- Zhang, Y.; Hu, H.; Sarkar, P.P. Comparison of microburst-wind loads on low-rise structures of various geometric shapes. J. Wind Eng. Ind. Aerodyn. 2014, 133, 181–190. [Google Scholar] [CrossRef]
- Jesson, M.; Sterling, M.; Letchford, C.; Baker, C. Aerodynamic forces on the roofs of low-, mid- and high-rise buildings subject to transient winds. J. Wind Eng. Ind. Aerodyn. 2015, 143, 42–49. [Google Scholar] [CrossRef]
- Wang, Z.; Chen, Y.; Fang, Z.; Deng, J. Experimental study on wind load characteristics of low-rise buildings under downburst. J. Huazhong Univ. Sci. Technol. Nat. Sci. Ed. 2019, 47, 120–126. (In Chinese) [Google Scholar]
- Wang, Z.; Deng, J.; Fang, Z.; Chen, Y. Large eddy simulation of wind load on low-rise buildings subjected to downburst. J. ZheJiang Univ. Eng. Sci. 2020, 54, 512–520. (In Chinese) [Google Scholar]
- Ji, B.; Qiu, P.; Liu, G.; Qu, W. Study on Wind Pressure Characteristics of Low-rise Gable-roof Buildings Under Downburst. J. Basic Sci. Eng. 2023, 31, 865–875. (In Chinese) [Google Scholar]
- Xie, Z.; Ni, Z.; Shi, B. Experimental Investigation on Characteristics of Wind Load on Large Span Roof. J. Build. Struct. 2001, 22, 23–28. (In Chinese) [Google Scholar]
- Pan, F.; Sun, B.; Lou, W.; Chen, Y. Random wind-induced dynamic response of long-span roof to thunderstorm downbursts in the time domain. Acta Aerodyn. Sin. 2008, 26, 119–125. (In Chinese) [Google Scholar]
- Wang, Z.; Xiang, M.; Jiang, S.; Tang, Y. Extreme wind pressure analysis for large-span flat roof under downburst. J. Vib. Shock 2022, 41, 83–89. (In Chinese) [Google Scholar]
- Chen, Y.; Cui, B.; Yu, S.; Lou, W.; Sun, B. Experimental investigation of spherical roof subjected to thunderstorm downbursts. J. Build. Struct. 2011, 32, 26–33. (In Chinese) [Google Scholar]
- Chen, Y.; Cui, B.; Yu, S.; Guan, S.; Lou, W. Experimental study on the pressure distribution over arch-roof subjected to stationary downburst. Eng. Mech. 2013, 30, 91–99. (In Chinese) [Google Scholar]
- Yao, Y.; Su, L.; Li, M.; Chu, Y.; Huang, H. Wind load characteristics of double-sided spherical shell roof under downburst. J. Jilin Univ. Eng. Technol. Ed. 2022, 52, 615–625. (In Chinese) [Google Scholar]
- Chu, Y.; Sun, X.; Li, M.; Yao, Y.; Huang, H. Wind pressures on a circular hyperbolic-paraboloid roof subjected to a simulated downburst. J. Jilin Univ. Eng. Technol. Ed. 2022, 52, 1826–1833. (In Chinese) [Google Scholar]
- Chu, Y.; Sun, X.; Li, M.; Yao, Y.; Huang, H. Wind pressures on a large-span hyperbolic-paraboloid roof subjected to a simulated downburst. Eng. Mech. 2022, 39, 182–192. (In Chinese) [Google Scholar]
- Chen, L.; Letchford, C.W. Parametric study on the along-wind response of the CAARC building to downbursts in the time domain. J. Wind Eng. Ind. Aerodyn. 2004, 92, 703–724. [Google Scholar] [CrossRef]
- Kim, J. Downburst induced dynamic responses of tall building. In Proceedings of the 10th Americas Conference on Wind Engineering, Baton Rouge, LA, USA, 31 May–4 June 2005. [Google Scholar]
- Kim, J.; Hangan, H.; Eric, H.T. Downburst versus boundary layer induced wind loads for tall buildings. Wind Struct. 2007, 10, 481–494. [Google Scholar] [CrossRef]
- Le, T.H.; Caracoglia, L.J.E.S. Wavelet-Galerkin analysis to study the coupled dynamic response of a tall building against transient wind loads. Eng. Struct. 2015, 100, 763–778. [Google Scholar] [CrossRef]
- Le, T.H.; Caracoglia, L.J.C. Structures. Computer-based model for the transient dynamics of a tall building during digitally simulated Andrews AFB thunderstorm. Comput. Struct. 2017, 193, 44–72. [Google Scholar] [CrossRef]
- Ji, B.; Qu, W. Mean wind pressure distribution characteristics on tall building under downburst. J. Huazhong Univ. Sci. Technol. Nat. Sci. Ed. 2012, 40, 89–94. (In Chinese) [Google Scholar]
- Zhou, X.; Wang, Z.; Li, Z. Experimental study on the wind load characteristics of high-rise building in stationary downbursts. J. Hunan Univ. Nat. Sci. 2016, 43, 29–36. (In Chinese) [Google Scholar]
- Wang, Z.; Zou, Q.; Tang, W.; Liu, Y.; Li, Z. Wind load characteristics for high-rise building on flat terrain and slope under steady-state impinging jet. J. Build. Struct. 2017, 38, 103–110. (In Chinese) [Google Scholar]
- Li, Y.; Huang, G.; Cheng, X.; Zhao, L. The numerical simulation of moving downburst and their induced wind load on high-rise buildings. Eng. Mech. 2020, 37, 176–187. (In Chinese) [Google Scholar]
- Fang, Z.; Wang, Z.; Li, Z. Study on wind pressure amplitude characteristics of high-rise buildings under thunderstorm downburst. J. Build. Struct. 2019, 40, 19–26. (In Chinese) [Google Scholar]
- Miguel, L.F.F.; Riera, J.D.; Miguel, L.F.F. Assessment of downburst wind loading on tall structures. J. Wind Eng. Ind. Aerodyn. 2018, 174, 252–259. [Google Scholar] [CrossRef]
- Wang, D.; Huang, G.; Chang, G.; Peng, L. Response analysis of lattice tower based on a modified hybrid model of thunderstorm downburst. In Proceedings of the International Conference on Structural Engineering; Springer: Cham, Switzerland, 2021; Volume 10, pp. 100–120. [Google Scholar]
- Li, W.; Ke, S.; Han, G.; Yang, J.; Ren, H. Research on Collapse Mechanism and Failure Criterion of Superlarge Cooling Tower under Downburst Effect. J. Struct. Eng. 2022, 148, 04022160. [Google Scholar] [CrossRef]
- Han, G.; Ke, S.; Yang, J.; Li, W.; Ren, H. Wind field driving mechanism and extreme wind load model of a super-large cooling tower under downburst. J. Vib. Shock 2022, 41, 23–32. (In Chinese) [Google Scholar]
- Liu, M.; Hu, J.; Yu, X.; Zhang, C.; Xie, Z.; Zhang, L.; Yang, Y. Observational study of wind characteristics of thunderstorm and dynamic effects on high-rise masts. J. Build. Struct. 2023, 44, 157–166. (In Chinese) [Google Scholar]
- Li, B.; Chen, W.; Yang, Q.; Tian, Y.; Li, R. Evaluatine the safety of high-speed trains at the action of downburst. Eng. Mech. 2021, 38, 248–256. (In Chinese) [Google Scholar]
Disclaimer/Publisher’s Note: The statements, opinions and data contained in all publications are solely those of the individual author(s) and contributor(s) and not of MDPI and/or the editor(s). MDPI and/or the editor(s) disclaim responsibility for any injury to people or property resulting from any ideas, methods, instructions or products referred to in the content. |
© 2024 by the authors. Licensee MDPI, Basel, Switzerland. This article is an open access article distributed under the terms and conditions of the Creative Commons Attribution (CC BY) license (https://creativecommons.org/licenses/by/4.0/).










