A Numerical Investigation of the Influence of Diffuser Vane Height on Hydraulic Loss in the Volute for a Centrifugal Water Supply Pump
Abstract
1. Introduction
2. Numerical Setup and Validation
2.1. Parameters and Mesh Refinement
2.2. Experimental Analysis and Numerical Methods Validation
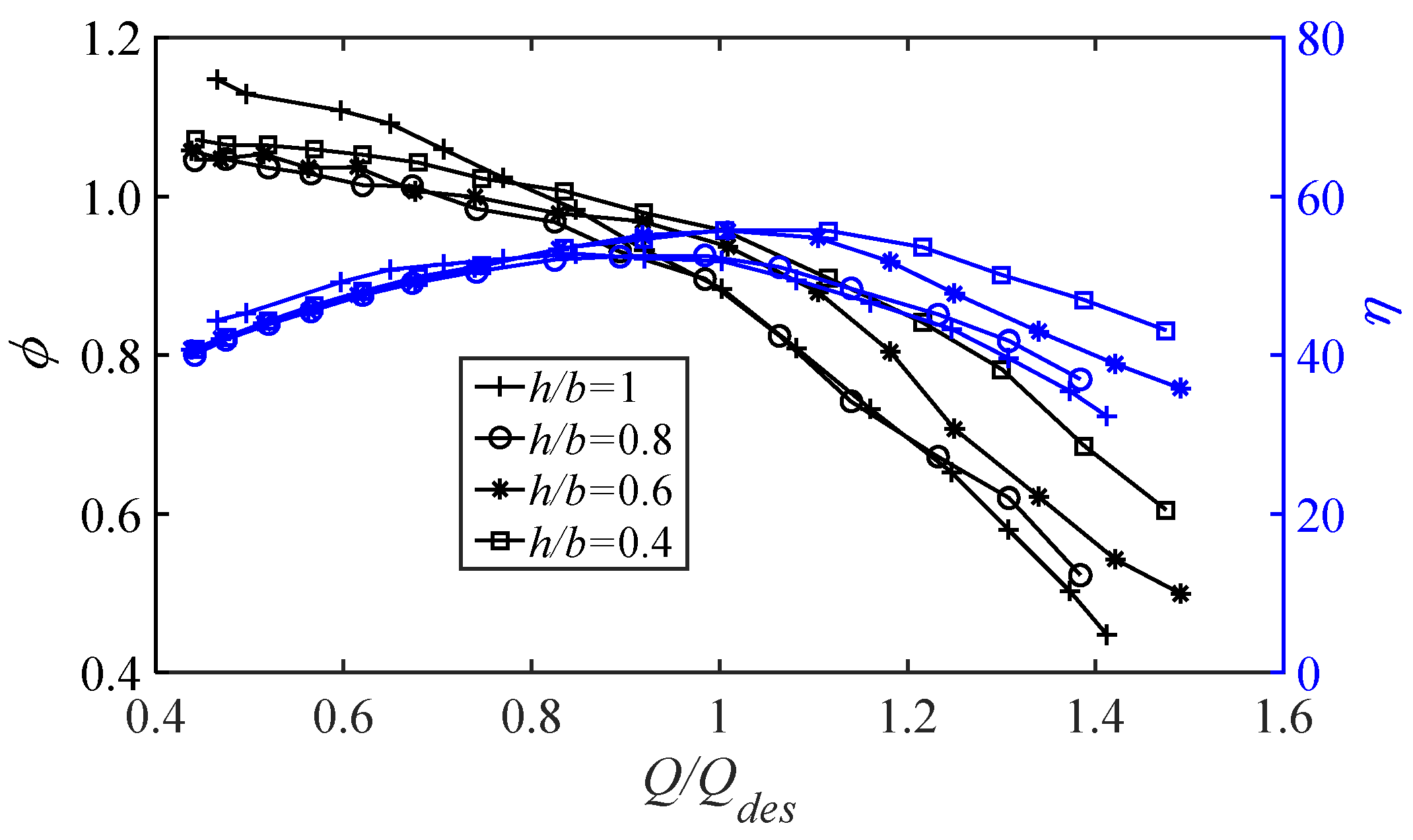
3. Results and Discussion
4. Conclusions
Author Contributions
Funding
Data Availability Statement
Conflicts of Interest
Nomenclature
| A2 | area of impeller outlet, m2 |
| Cp | pressure coefficient |
| CPSDV | standard deviation of pressure |
| H | head, m |
| Hdes | head at design flow rate, m |
| M | torque, N·m |
| P | pressure, Pa |
| PP | pressure at pressure side, Pa |
| PS | pressure at suction side, Pa |
| Q | volume flow rate, m3/h |
| Qdes | volume flow rate at design point, m3/h |
| head coefficient | |
| ρ | density, kg/m3 |
| θr | angular coordinate, ° |
| υ | dynamic viscosity, Pa·s |
| b | vane height, mm |
| g | gravitational acceleration, m/s2 |
| h | vane width, mm |
| ns | specific speed |
| n | rotation speed, rpm |
| u2 | velocity of impeller trailing edge, m/s |
| vr | radial velocity, m/s |
| vc | circumferential velocity, m/s |
| ε | energy dissipation, m2/s3 |
| ψ | energy loss, N/(m2·s) |
References
- Shimizu, Y.; Toyosada, K.; Yoshitaka, M.; Sakaue, K. Creation of carbon credits by water saving. Water 2012, 4, 533–544. [Google Scholar] [CrossRef]
- Wong, L.T.; Mui, K.; Lau, C.; Zhou, Y. Pump efficiency of water supply systems in buildings of Hong Kong. Energy Procedia 2014, 61, 335–338. [Google Scholar] [CrossRef]
- Cheng, C.-L. Study of the inter-relationship between water use and energy conservation for a building. Energy Build. 2002, 34, 261–266. [Google Scholar] [CrossRef]
- Plappally, A. Energy requirements for water production, treatment, end use, reclamation, and disposal. Renew. Sustain. Energy Rev. 2012, 16, 4818–4848. [Google Scholar] [CrossRef]
- Cheung, C.; Mui, K.W.; Wong, L.T. Energy efficiency of elevated water supply tanks for high-rise buildings. Appl. Energy 2013, 103, 685–691. [Google Scholar] [CrossRef]
- Volk, M. Pump Characteristics and Applications; Taylor&Francis Group CRC Press: Boca Raton, FL, USA, 2013. [Google Scholar]
- Zhu, X.; Xie, C.; Jiang, W.; Li, G. Numerical investigation of clocking effect on irreversible energy loss in volute for centrifugal pump with vaned diffuser based on entropy generation method. Proc. Inst. Mech. Eng. Part C J. Mech. Eng. Sci. 2023, 237, 3430–3443. [Google Scholar] [CrossRef]
- Feng, J.; Ge, Z.; Yang, H.; Zhu, G.; Li, C.; Luo, X. Rotating stall characteristics in the vaned diffuser of a centrifugal pump. Ocean Eng. 2021, 229, 108955. [Google Scholar] [CrossRef]
- Li, D.; Zhang, N.; Jiang, J.; Gao, B.; Alubokin, A.A.; Zhou, W.; Shi, J. Numerical investigation on the unsteady vortical structure and pressure pulsations of a centrifugal pump with the vaned diffuser. Int. J. Heat Fluid Flow 2022, 98, 109050. [Google Scholar] [CrossRef]
- Posa, A. LES investigation on the dependence of the flow through a centrifugal pump on the diffuser geometry. Int. J. Heat Fluid Flow 2021, 87, 108750. [Google Scholar] [CrossRef]
- Alubokin, A.A.; Gao, B.; Ning, Z.; Yan, L.; Jiang, J.; Quaye, E.K. Numerical simulation of complex flow structures and pressure fluctuation at rotating stall conditions within a centrifugal pump. Energy Sci. Eng. 2022, 10, 2146–2169. [Google Scholar] [CrossRef]
- Takamine, T.; Watanabe, S. Numerical investigation of radial thrust fluctuation caused by diffuser rotating stall in a centrifugal pump. J. Phys. Conf. Ser. 2022, 2217, 012031. [Google Scholar] [CrossRef]
- Takao, S.; Konno, S.; Ejiri, S.; Miyabe, M. Suppression of Diffuser Rotating Stall in A Centrifugal Pump by Use of Slit Vane. In Fluids Engineering Division Summer Meeting; American Society of Mechanical Engineers: New York City, NY, USA, 2021. [Google Scholar] [CrossRef]
- Takao, S.; Konno, S.; Ejiri, S.; Miyabe, M. Effect of diffuser vane slit on rotating stall behavior and pump performance in a centrifugal pump. J. Phys. Conf. Ser. 2022, 2217, 012054. [Google Scholar] [CrossRef]
- Vermunt, E.; Bruurs, K.A.J.; Van Der Schoot, M.S.; Van Esch, B.P.M. Part load instability and rotating stall in a multistage low specific speed pump. In Fluids Engineering Division Summer Meeting; American Society of Mechanical Engineers: New York City, NY, USA, 2020. [Google Scholar] [CrossRef]
- Zeng, Y.; Yao, Z.; Tao, R.; Liu, W.; Xiao, R. Effects of lean mode of blade trailing edge on pressure fluctuation characteristics of a vertical centrifugal pump with vaned diffuser. J. Fluids Eng. 2021, 143, 111201. [Google Scholar] [CrossRef]
- Ye, W.; Geng, C.; Ikuta, A.; Hachinota, S.; Miyagawa, K.; Luo, X. Investigation on the impeller-diffuser interaction on the unstable flow in a mixed-flow pump using a modified partially averaged Navier-Stokes model. Ocean Eng. 2021, 238, 109756. [Google Scholar] [CrossRef]
- Goto, A.; Zangeneh, M. Hydrodynamic design of pump diffuser using inverse design method and CFD. J. Fluids Eng. 2002, 124, 319–328. [Google Scholar] [CrossRef]
- Wu, T.; Wu, D.; Ren, Y.; Song, Y.; Gu, Y.; Mou, J. Multi-objective optimization on diffuser of multistage centrifugal pump base on ANN-GA. Struct. Multidiscip. Optim. 2022, 65, 182. [Google Scholar] [CrossRef]
- Wang, W.; Yuan, S.Q.; Pei, J.; Zhang, J.F. Optimization of the diffuser in a centrifugal pump by combining response surface method with multi-island genetic algorithm. Proc. Inst. Mech. Eng. Part E J. Process Mech. Eng. 2017, 231, 191–201. [Google Scholar] [CrossRef]
- Gülich, J.F. Centrifugal Pumps; Springer: Heidelberg, Germany, 2014. [Google Scholar]
- Cubas, J.; Stel, H.; Ofuchi, E.M.; Neto, M.A.M.; Morales, R.E. Visualization of two-phase gas-liquid flow in a radial centrifugal pump with a vaned diffuser. J. Pet. Sci. Eng. 2020, 187, 106848. [Google Scholar] [CrossRef]
- Shim, H.-S.; Kim, S.-H.; Kim, K.-Y. Analysis and optimization of staggered partial diffuser vanes in a centrifugal pump. J. Fluids Eng. 2020, 142, 051207. [Google Scholar] [CrossRef]
- Zhu, X.; Li, G.; Jiang, W.; Fu, L. Experimental and numerical investigation on application of half vane diffusers for centrifugal pump. Int. Commun. Heat Mass Transf. 2016, 79, 114–127. [Google Scholar] [CrossRef]
- Fu, L.; Zhu, X.; Jiang, W.; Li, G. Numerical investigation on influence of diffuser vane height of centrifugal pump. Int. Commun. Heat Mass Transf. 2017, 82, 114–124. [Google Scholar] [CrossRef]
- Moffat, R.J. Describing the uncertainties in experimental results. Exp. Therm. Fluid Sci. 1988, 1, 3–17. [Google Scholar] [CrossRef]
- Li, D.; Wang, H.; Qin, Y.; Han, L.; Wei, X.; Qin, D. Entropy production analysis of hysteresis characteristic of a pump-turbine model. Energy Convers. Manag. 2017, 149, 175–191. [Google Scholar] [CrossRef]
- Li, X.; Jiang, Z.; Zhu, Z.; Si, Q.; Li, Y. Entropy generation analysis for the cavitating head-drop characteristic of a centrifugal pump. Proc. Inst. Mech. Eng. Part E J. Process Mech. Eng. 2018, 232, 4637–4646. [Google Scholar] [CrossRef]

















| Flow Rate Qdes (m3/s) | Head Hdes (m) | Blade Number Zb | Vane Number Zv | Rotational Speed n (rpm) |
|---|---|---|---|---|
| 1.11 × 10−2 | 55 | 6 | 5 | 2900 |
| Abxolute Pressure Sensor | Gague Pressure Sensor | |
|---|---|---|
| Measurement location | Pump inlet | Other pressure probe |
| Minimum value/MPa | 0.0922 | 0.0934 |
| Uncertainty/% | 0.3421 | 0.8293 |
Disclaimer/Publisher’s Note: The statements, opinions and data contained in all publications are solely those of the individual author(s) and contributor(s) and not of MDPI and/or the editor(s). MDPI and/or the editor(s) disclaim responsibility for any injury to people or property resulting from any ideas, methods, instructions or products referred to in the content. |
© 2024 by the authors. Licensee MDPI, Basel, Switzerland. This article is an open access article distributed under the terms and conditions of the Creative Commons Attribution (CC BY) license (https://creativecommons.org/licenses/by/4.0/).
Share and Cite
Liu, Z.; Zhu, X.; Liu, J.; Kim, M.K.; Jiang, W. A Numerical Investigation of the Influence of Diffuser Vane Height on Hydraulic Loss in the Volute for a Centrifugal Water Supply Pump. Buildings 2024, 14, 2296. https://doi.org/10.3390/buildings14082296
Liu Z, Zhu X, Liu J, Kim MK, Jiang W. A Numerical Investigation of the Influence of Diffuser Vane Height on Hydraulic Loss in the Volute for a Centrifugal Water Supply Pump. Buildings. 2024; 14(8):2296. https://doi.org/10.3390/buildings14082296
Chicago/Turabian StyleLiu, Zhen, Xiangyuan Zhu, Jiying Liu, Moon Keun Kim, and Wei Jiang. 2024. "A Numerical Investigation of the Influence of Diffuser Vane Height on Hydraulic Loss in the Volute for a Centrifugal Water Supply Pump" Buildings 14, no. 8: 2296. https://doi.org/10.3390/buildings14082296
APA StyleLiu, Z., Zhu, X., Liu, J., Kim, M. K., & Jiang, W. (2024). A Numerical Investigation of the Influence of Diffuser Vane Height on Hydraulic Loss in the Volute for a Centrifugal Water Supply Pump. Buildings, 14(8), 2296. https://doi.org/10.3390/buildings14082296

