Abstract
This research examines the fresh properties, strength performance, and morphological analysis of self-compacting coconut shell concrete (SCCSC) blended with crushed coconut shell and manufactured sand (M-sand). Crushed coconut shell (CS) was used as a coarse aggregate (CA), and M-sand replaced river sand (R-sand) at 25%, 50%, 75%, and 100%. The study focused on the workability characteristics, mechanical behavior, and microstructural analysis of SCCSC. Experiments were performed on fresh and mechanical characteristics, including slump flow diameter, T500 slump flow time, L-Box blocking ratio, V-funnel and a wet sieving stability test. Mechanical characteristics include compressive, split tensile, flexural, impact resistance and bond strength. Utilizing M-sand develops the mechanical performance of SCCSC. The morphological characteristics, using scanning electron microscopy (SEM), energy-dispersive spectroscopy (EDS), Fourier transform infrared (FTIR) and the X-ray diffraction (XRD) technique, were studied in this research work. The findings show that the addition of M-sand increases the concrete strength. The microstructural analysis demonstrates that adding different amounts of M-sand to SCCSC reduced the porosity and anhydrous cement percentage, although it increased calcium hydroxide and hydration products. The substitution of 100% M-sand at 28 days increased compressive strength by 3.79% relative to the reference SCCSC. Based on the findings, the mechanical strength of SCCSC containing M-sand significantly improved compared to the concrete with river sand.
1. Introduction
In the construction industry, concrete is the most widely used construction material due to its high strength and stability [1,2]. No construction project can be envisaged without concrete. Due to the flexibility of concrete constituents, concrete technology is developing rapidly in the construction field [3,4,5]. Various concrete types have been studied to enhance their characteristics and quality. Concrete technology has been revolutionized by the invention of self-compacting concrete (SCC). The primary reason for developing SCC was to create durable structures [6,7,8,9]. Self-compacting concrete is becoming increasingly popular due to its versatility, durability, seamless flowability, and ability to achieve complete compaction quickly. In addition to reduced labor costs and noise pollution, it has numerous benefits, including adaptable design options, easy installation, a uniform concrete matrix, and the elimination of honeycombing issues [10,11,12,13,14].
In SCC production, aggregate is the most natural resource. However, natural resources are depleted due to their rapid use. Alternative materials must be found to reduce the use of natural aggregates. A sustainable development approach requires acquiring coarse aggregates from natural sources [15,16,17,18]. Fast industrialization and population growth also contribute to an increase in daily garbage production due to unmanaged disposal. In the agricultural sector, approximately 1.78 million hectares of coconuts are cultivated in India, the third largest producer of coconuts. Coconuts are grown in over 93 countries, especially India and Sri Lanka. About 7562 million nuts are produced each year in tropical countries. The coconut industry produces an estimated 62 million tons of solid waste made chiefly of coconut shells yearly [19,20,21,22,23]. Therefore, this research uses coconut shell (CS) as the coarse aggregate instead of stone aggregate [24,25,26]. Aziz et al. [19] identified that the dry shrinkage of a mixture of 25% bagasse ash and 50% CS is considerably more significant than that of conventional normal-weight concrete (NWC). Mahalakshmi et al. [27] focused on the SCC with M-sand instead of R-sand, adding 5% of silica fume and improving its segregation resistance and filling ability.
Adebakin et al. [28] observed that the self-compacting lightweight concrete, utilizing crushed coconut shell (CS) as the coarse aggregate, exhibited satisfactory flowability, viscosity, and passing ability. Blends incorporating 15% and 20% cement substitution with fly ash yielded highly favorable outcomes. Krishnan et al. [29] assessed the strength behavior of concrete with a 100% replacement of M-sand in fine aggregate. A significant improvement of 6.27% in compressive strength and 14.65% in split tensile strength was noted upon substituting river sand entirely with M-sand. Umamaheswaran et al. [30] proved that including alccofine and M-sand achieved a higher target strength of 2, enhancing the concrete matrix split tensile and flexural behavior. S. Kalirajan et al. [31] reported that self-compacting concrete, utilizing M-sand as a complete substitution for R-sand in the fine aggregate, demonstrated consistency and self-compatibility, compacting effectively under its weight without needing vibration. Yerramala Ramachandrudu et al. [32] concluded that the CS addition decreases workability, while fly ash addition or replacement for cement increases the workability of CS concrete. An increased percentage of CS decreased concrete densities.
Nahla Naji Hilal et al. [33] analyzed the lightweight self-compacting concrete replacing natural aggregate with walnut shell (WS) volume fractions from 5% to 50%. It has been concluded that the slump flow diameter reached 560 mm, compressive strength was 35 MPa and bond strength measured 6.55 MPa, which was observed at a 35% ratio of WS. Gunasekaran et al. [34] studied that the CS fine-cement composite required more water to make the standard consistent paste. The test of compressive strength reveals that cement quantity needs to be increased to attain the strength, and they suggested that no pre-treatment is required for CS. The findings showed that particles of CS can be used as an aggregate in concrete production.
There is a higher demand for river sand in many world regions. However, mining river sand from riverbeds has caused several environmental issues. A replacement for river sand is desperately needed to remedy the problem above. M-sand is the most cost-effective and feasible choice, as it is a refined fine aggregate derived from various rock sources. The combination of M-sand and coconut shell in producing SCCC is minimal. Therefore, this study focused on utilizing M-sand to partially replace river sand and CS in a 100% replacement of coarse aggregate manufacturing in SCC. An understanding of the use of M-sand in SCCSC requires comparing its mechanical and microstructural properties with river sand for further studies.
The primary purpose is to investigate the impact of coconut shell and M-sand on the strength performance of SCC. In the earlier literature, various materials such as coconut shell and river sand and their combinations have been studied by numerous researchers in multiple variations, and their use in the concrete industry is also widespread today. Despite this, the addition of M-sand to self-compacting concrete and the combined effect of coconut shells and M-sand in concrete construction has not yet been investigated. Therefore, an attempt was undertaken to investigate the combined impact of these two materials on various strength features of SCC.
2. Research Significance
With the development of the construction realm, self-compacting concrete is becoming increasingly important when vibration techniques are considered, which are not feasible in all industries. With the rapid improvement of concrete technology, the manufacturing of sustainable SCC becomes essential. Since the utilization of natural resources is more prevalent in SCC, attempts were made to employ coconut shells and M-sand in this study. Considerable experimental research has been conducted on SCC with coconut shells and M-sand in varying amounts. The rheology and mechanical properties of SCCSC were investigated.
3. Material Properties and Mix Proportions
3.1. Materials Used
First, 53-grade ordinary Portland cement (OPC) was used as a binder material, IS 12269:2013 [35]. This study used 4–12 mm size coconut shell (CS) as a coarse aggregate (CA). The CS was obtained at a local market and crushed in a specifically developed CS crusher available at SRM IST. Figure 1 and Figure 2 show the crusher machine and crushed coconut shell. Coarse aggregate with a size of 10–12 mm was employed. Below 4.75 mm sized natural sand and M-sand confirmed to zone-III grading per IS383:2016 [35] were utilized. M-sand is produced by crushing granite stones into fine particles and then grading them to the required proportions. Using M-sand is considered environmentally friendly as it helps to prevent the extraction of sand from riverbeds. Figure 3 and Figure 4 show the particle size distribution for fine and coarse aggregate, respectively. Table 1 represents the chemical properties of the material. Table 2 displays the physical properties of materials. Clean water with a pH between 7.0 and 8.5 was utilized for concrete mixing. Additionally, to improve workability performance, a water-reducing admixture (sulphonated naphthalene polymers type), SP430, was employed to generate SCC per IS 9103 [36] specifications.
Figure 1.
CS crusher machine.
Figure 2.
Crushed coconut shell.
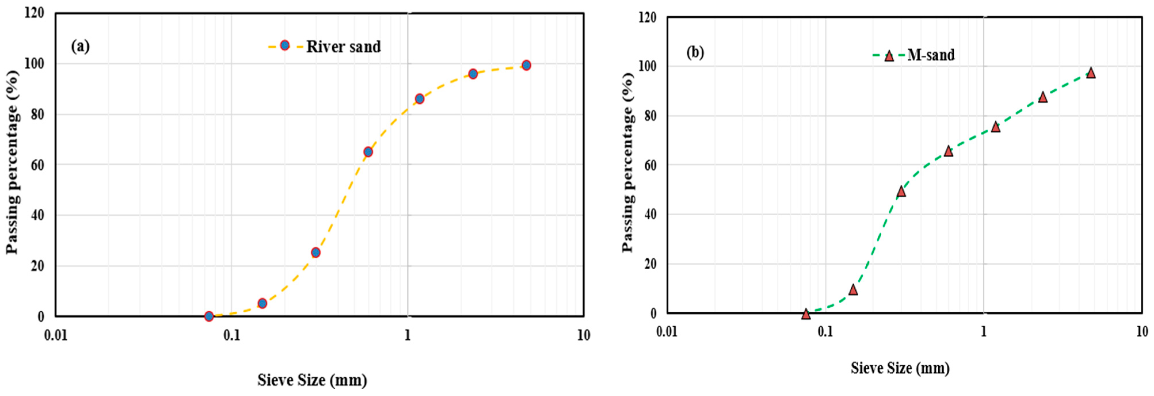
Figure 3.
Particle size distribution curve of fine aggregate (a) River sand (b) M-sand.
Figure 4.
Particle size distribution curve of coarse aggregate.
Table 1.
Chemical properties of cement and aggregate.
Table 2.
Properties of materials.
3.2. Mix Proportions
Self-compacting conventional concrete (SCCC) and self-compacting coconut shell concrete (SCCSC) made from R-sand were considered as control mixes with a strength target of 25 N/mm2. The mix proportions for SCCC were 1:2.22:3.66, and for SCCSC, they were 1:1.60:0.65, with respective cement contents of 320 kg/m3 and 510 kg/m3 and a water/cement ratio of 0.55 and 0.42, respectively. The mix details are depicted in Table 3.
Table 3.
Mix details (kg/m3).
4. Experimental Investigation
The following experiments examined the SCCC, SCCSC and SCCSCM with varying combinations of M-sand, including workability, compressive, splitting tensile, flexural, impact, bond strength and microstructural study.
4.1. Workability Test
Workability tests were studied per the standard EFNARC (2005) [37] slump flow diameter test to determine the flowing characteristics, and the T500 slump flow time experiment was also performed. The V-funnel was performed to measure the flow duration, and an L-box blocking ratio was used to measure the capability of SCC to pass through reinforcement bars and resist blocking. The wet sieving stability experiment was performed to discover the segregation resistance of SCC. Figure 5 illustrates the different workability tests.
Figure 5.
Test setup of (a) slump flow test, (b) L-Box blocking test, (c) V-funnel test, (d) wet sieving stability test.
4.2. Hardened Properties
The concrete strength properties, including compressive, split tensile and flexural strength, were assessed after 3, 7, and 28 days of water curing per Indian standards IS 516-2018 [38]. The impact experiment was also performed on cylindrical disc specimens measuring 63.5 mm in height and 152 mm in diameter at 28 days using ACI 544-2R [39] guidelines. Figure 6 illustrates the arrangement of the equipment used for the impact strength test. The bond strength experiment was examined on a 100 mm cube with 10 mm and 12 mm diameter bars inserted, as per IS 2770 (part I 1967) [40]. Figure 7 represents the equipment used for the pull-out test.
Figure 6.
Impact experiment: (a) Schematic view; (b) experimental setup (c) pattern of failure.
Figure 7.
Bond test: (a) Schematic view; (b) experimental setup (c) pattern of failure.
4.3. Microstructural Analysis
Microstructural analysis, including SEM, EDS, FTIR, and XRD, was conducted to contribute significantly to understanding concrete properties. A high-resolution scanning electron microscopy (HRSEM) study was performed using the Thermo Scientific (Waltham, MA, USA) Apreo S to examine the internal structure of the samples. FTIR analysis was carried out using the Alpha-T technique by Bruker (Billerica, MA, USA) to identify unknown materials. Using Panalytical’s X’pert PRO software 5.0, an XRD pattern was performed to determine the mineral phase of the composite. The concrete was crushed into powder and sieved through a 90-micron sieve before testing. The EDS analysis was employed to ascertain the elemental composition within the composite materials.
5. Results and Discussion
The following section discusses the results of all mixes of fresh, hardened, and microstructural characteristics.
5.1. Fresh Characteristics of SCC
Figure 8, Figure 9 and Figure 10 shows the different tests performed and the findings obtained from the results for SCCSC with different percentages of M-sand substitution. All the mixes used for this investigation can be categorized as slump flow class SF2, as they all fall within the parameters of EFNARC (2005) [37], which state that the range of slump flow diameter should be between 670 and 760 mm. The outcomes of the T500 and V-funnel tests were more significant than 2 and less than 25 but greater than 8, respectively. The flow diameter also increased as M-sand increased until 100% replacement, while the flow duration decreased. According to the literature, the rheological characteristics of SCCSC improved to some extent through the partial substitution of fine aggregate with M-sand. All six combinations studied can be classified as PA2 since their passing ability results were more significant than 0.8, as recommended by EFNARC. The wet screen stability test outcomes depicted that all mixes had better segregation resistance and stability as the M-sand replacement percentage increased. The segregation resistance for all the mixes was less than 15%. Therefore, it is clear that the produced mixes—SCCC, SCCSC, SCCSCM25, SCCSCM50, SCCSCM75, and SCCSCM100—meet the necessary criteria to be referred to as SCC and follow the standards.
Figure 8.
Density and slump of concrete.
Figure 9.
T500 (s and V-funnel time test results.
Figure 10.
Passing ability and segregation resistance test results.
5.2. Mechanical Properties
According to Indian standards IS 516-2018 [38], the concrete’s compressive strength, split tensile strength, and flexural strength were measured at ages 3, 7, and 28 days. Disc specimens with a diameter of 152 mm and a height of 63.5 mm were subjected to an impact strength test applying ACI 544-2R [39] after 3, 7, and 28 days. The bond characteristics were discovered on a 100 mm cube with distorted bars of 10 mm and 12 mm diameter by IS 2770 (Part-I 1967) [40] at ages of 3, 7, and 28 days.
5.2.1. Compressive Strength
Figure 11 illustrates the graphical representation of the compressive strength test outcomes. It emphasizes the influence of M-sand in self-compacting concrete with SCCSC. As seen in Figure 11, incorporating CS into SCCC reduces the compressive strength. The 28-day reduction in compressive strength for SCCSC mixes was about 12.29% compared to the SCCC, and the outcomes demonstrate that the SCCSCM100 mix attained a compressive strength of 27.40 N/mm2, surpassing the SCCSC mix’s 26.40 N/mm2 compressive strength. The concrete strength demonstrates an upward trend as M-sand partially replaces natural sand, peaking at 100% replacement. Using M-sand instead of R-sand does not compromise the strength of concrete mixes. The sharp-edged, angular particles of M-sand enhance particle-to-particle interlocking, improving the bond with cement mortar and thereby increasing strength. Additionally, the traditional strength development over time applies equally to M-sand-containing mixes, ensuring no doubts about their strength progression.
Figure 11.
Compressive strength results of concrete.
5.2.2. Split Tensile Strength
A comparison of the split tensile strengths of SCCSC and SCCSCM mixes is depicted in Figure 12. The 28-day split tensile strength of SCCSCM100 was determined to be 2.81 N/mm2, representing nearly 10% of the compressive strength. M-sand significantly increases the stability based on the interfacial area, resulting from mixing smooth-surfaced CS coarse aggregates with cement paste. With fine aggregate replacement percentages of 25%, 50%, 75%, and 100%, the tensile characteristics of the mixes improved. The split tensile strength of the SCCSCM ranged between 1.54 and 2.03 N/mm2 for 3 days, 1.82 and 2.25 N/mm2 for 7 days, and 2.63 and 2.81 N/mm2 for 28 days. Relative to SCCSC, SCCSCM100 offered a 7.66% increase in split tensile capacity after 28 days of curing. It was found that the split tensile strength values for both concrete mixes are approximately 10% of the compressive strength values. This indicates that using M-sand instead of river sand also enhances the splitting tensile strength of the concrete.
Figure 12.
Split tensile strength results of concrete.
5.2.3. Flexural Strength Test
The outcomes showed that the SCCSCM100 mix achieved the highest flexural strength when 100% M-sand was substituted for river sand, as shown in Figure 13. For the 100% M-sand replacement, the flexural strength of the mix at 3, 7 and 28 days was 4.00 N/mm2, 5.60 N/mm2 and 8.00 N/mm2 respectively. The flexural strength was enhanced by 25% compared to SCCSC. The strength enhancement can be attributed to the rough surface of the CS and the particle size distribution of the M-sand, which provides strong packing between the mortar and CS.
Figure 13.
Flexural strength results of concrete.
5.2.4. Impact Strength Test
The impact strength of each mix type is shown in Figure 14, Figure 15 and Figure 16. After 16 blows, the SCCSC mix specimens cracked with a total energy of 363.2 N-m, followed by a final fracture after 19 blows with a total power of 431.3 N-m. Compared with other mixes, SCCSCM100 mix specimens produced significantly greater impact strength. For the initial crack, the specimen received 26 blows of 590.2 N-m; in the fracture, the specimen received 29 blows with a total energy of 658.3 N-m. With a 100% replacement of M-sand, the SCCSCM impact strength increases were 62.5% and 52.63% for initial and final cracks at 28 days, respectively, compared to SCCC. This research also demonstrates that the CS offers enhanced impact resistance due to its natural fibers.
Figure 14.
Impact strength results of 3 days.
Figure 15.
Impact strength results of 7 days.
Figure 16.
Impact strength results of 28 days.
5.2.5. Bond Strength
Based on IS 456-2000 [37] and BS 8110 [38], theoretical bond strength was found. According to IS 456-2000, the bond strength for concrete with plain bars is 1.4 N/mm2; for deformed bars, it is 2.24 N/mm2. The bond strength of the different mixes is shown in Figure 17. The concrete containing 100% M-sand replacement exhibits better bond strength. The bond strength increases by 2.67%, 4.95%, 16.95%, and 22.48% for 10 mm diameter bar M-sand replacement ratios of 25%, 50%, 75%, and 100%, respectively, compared to SCCSC. The bond strength also increases by 1.39%, 5.31%, 7.16%, and 19.86% for 12 mm diameter bar M-sand substitution percentages of 25%, 50%, 75%, and 100%, respectively, compared to SCCSC. Concerning M-sand replacement, 100% enhances bond strength more than other ratios. This phenomenon can be ascribed to the development of an optimal particle size distribution in M-sand, facilitating improved interlocking between CS, cement, and M-sand. Thus, better bond strength is achieved with this M-sand replacement.
Figure 17.
Bond strength test results of SCC.
6. Microstructural Analysis
Microstructure characterization of SCCSC with a full or partial substitution of natural sand with M-sand was performed using SEM, EDS, FTIR and XRD microstructure techniques. The mechanical properties of SCCSC were confirmed through microstructure analysis.
6.1. SEM and EDS Analysis
Six distinct SEM images were collected and examined to identify the internal microstructure of various samples. The SEM images of each mix (SCCC, SCCSC, SCCSCM 25, SCCSCM 50, SCCSCM 75, and SCCSCM 100) are shown in Figure 18, Figure 19, Figure 20, Figure 21, Figure 22 and Figure 23, respectively. The dark molecules in the photographs represent the non-hydrated fragments and pores in the composites. In comparison, the SCCSC mix has a greater volume of dark spaces than the SCCSCM100 matrix, which exhibits a denser matrix. This denser matrix may demonstrate that replacing M-sand in SCCSC increased the hydration process, creating C-S-H (calcium-silicate-hydrate) gel. The presence of C-S-H in the mixtures may exhibit that M-sand and portlandite had a pozzolanic reaction that produced an additional C-S-H phase [41,42,43,44]. Additionally, it should be mentioned that M-sand has various grading particles that can function as pore fillers. By comparing SEM results to those from EDS, the SEM results can be more clearly observed. Using EDS spectrum analysis, the constituent parts of the matrix are identified. The typical EDS spectra for each blend are displayed in Figure 24, Figure 25, Figure 26, Figure 27, Figure 28 and Figure 29. The atomic counts are usually generated automatically at the time of analysis, from which the Ca/Si ratio could be calculated. The EDS analysis confirms that the quantities of C-S-H in all the mixes depend on the pozzolanic reactions at different ages. Many studies have confirmed that a decrease in the Ca/Si ratio increases C-S-H gels and may lead to an increase in mechanical strength, which is consistent with higher compressive strengths measured in samples [44]. The M-sand replacement in SCCSC actively aids the cement hydration process. When comparing all the mixes, SCCSCM100 has a more significant amount of calcium, aluminum, and silicon, as seen from the EDS results. With M-sand integration in SCCSC, the concentrations of Si, Ca, and Al are increased, resulting in the more significant development of calcium silicate hydrate (C-S-H) gel. The C-S-H gel may account for the increased concrete strength attributed to M-sand.
Figure 18.
SEM image of SCCC.
Figure 19.
SEM image of SCCSC.
Figure 20.
SEM image of SCCSCM25.
Figure 21.
SEM image of SCCSCM50.
Figure 22.
SEM image of SCCSCM75.
Figure 23.
SEM image of SCCSCM100.
Figure 24.
EDS image SCCC.
Figure 25.
EDS image SCCSC.
Figure 26.
EDS image SCCSCM25.
Figure 27.
EDS image SCCSCM50.
Figure 28.
EDS image SCCSCM75.
Figure 29.
EDS image SCCSCM100.
6.2. X-ray Diffraction
XRD analysis was found to detect the main components in concrete. The measurements for the concrete samples were obtained by plotting a graph of intensity values versus 2 Theta. The peaks of calcite (CaCO3), portlandite (Ca(OH)2), quartz (SiO2), ettringite and calcium silicate hydrate (C-S-H) are shown in Figure 30, Figure 31, Figure 32, Figure 33, Figure 34 and Figure 35. The C-S-H gel, produced during the cement hydration reaction, is the most essential component of concrete that controls strength growth. Increasing C-S-H gel content creates a more vital interfacial transition zone (ITZ) layer, enhancing concrete compressive strength parameters. A similar finding was also reported by Abhishek Jain et al. [45]. Compared to the formation of the compound Ca(OH)2, C-S-H compound intensity counts are high, which shows that there is no interruption of the pozzolanic reactions, and this has a significant positive influence on the reduction of Ca(OH)2–(CH) in all the mixes, which is beneficial for the quality of concrete strength.
Figure 30.
XRD analysis of SCCC.
Figure 31.
XRD analysis of SCCSC.
Figure 32.
XRD analysis of SCCSCM25.
Figure 33.
XRD analysis of SCCSCM50.
Figure 34.
XRD analysis of SCCSCM75.
Figure 35.
XRD analysis of SCCSCM100.
6.3. FTIR Bond Analysis
The FTIR spectra for all mixes are shown in Figure 36, Figure 37, Figure 38, Figure 39, Figure 40 and Figure 41. Four sections can be distinguished from the FTIR spectrum. The ranges between these four sections are 3500–1600 cm−1, 1600–1400 cm−1, 1100–900 cm−1 and 800–400 cm−1. For SCCSC, the prominent peak was identified at 960.55 cm−1, indicating the SiO4. Another peak was identified at 1409.96 cm−1, indicating the C-O stretch. The observed band wave numbers for all the mixes are 3677.00, 3358.68, 3291.35, 3289.30, 3297.47, and 3587.00 cm−1, indicating the O–H bond or portlandite (Ca(OH)2). Similar results were also reported by [45]. Absorbance bands around the wave numbers of 530.53, 512.76, 540.74, 569.30, 544.82, and 534.61 cm−1 can be ascribed to quartz (SiO2). The presence of quartz bands in the present study might be due to M-sand particles. The peak wave numbers suggest that the mixture has a higher silica content. From Figure 36, Figure 37, Figure 38, Figure 39, Figure 40 and Figure 41, it can be seen that the FTIR patterns wavelength of R-sand and M-sand concrete are very similar to each other.
Figure 36.
FTIR image SCCC.
Figure 37.
FTIR image SCCSC.
Figure 38.
FTIR image SCCSCM25.
Figure 39.
FTIR image SCCSCM50.
Figure 40.
FTIR image SCCSCM75.
Figure 41.
FTIR image SCCSCM100.
7. Conclusions
The present investigation aims to assess the rheological properties, mechanical characteristics, and microstructural analysis of sustainable SCCSC made with different proportions of M-sand substitution. The following conclusions are drawn from the present study’s findings:
- By utilizing M-sand with 100% replacement for river sand, SCCSC has enhanced passing and filling capacities in every proportion. The fresh property tests reveal no indication of bleeding or component separation. Furthermore, the slump flow diameter, T500 slump flow time, L-Box blocking ratio, V-funnel, and wet sieving stability tests all yielded superior results and met the fresh property requirements for self-compacting concrete specified by EFNARC guidelines. Due to the size of CS and surface smoothness of the shells employed in this investigation, the workability of self-compacting coconut shell concrete with M-sand is improved.
- Adding 100% M-sand to SCCSC enhanced its mechanical performance, including axial compressive, split tensile, flexural performance, impact energy and bond strength. After 28 days, SCCSC compressive behavior was 3.79% better with 100% M-sand than SCCSC. The split tensile and flexural strength tests exhibited a similar pattern. The increased SiO2 concentration of M-sand is the primary cause of the more significant strength gain with increasing fineness.
- SEM images analysis show that a systematic hydration process takes place in both R-sand and M-sand mixes. Hence, it can be specified that the use of M-sand in place of R-sand does not affect the conventional cement hydration process.
- The XRD pattern analysis exhibited the mineral admixture properties of self-compacting concrete incorporating M-sand. Incorporating M-sand into SCC leads to better performance, evidenced by higher peak intensities than conventional self-compacting concrete.
- FTIR analysis indicated that there was no remarkable modification observed in the hydration product on the incorporation of M-sand in SCC matrix.
The study’s findings indicate that using 100% M-sand improves the mechanical properties of concrete. Nevertheless, further investigation is needed to assess the effects of incorporating chemically treated coconut shell into concrete. Moreover, it is important to examine how M-sand influences flexural strength and durability characteristics to gain a deeper understanding of its performance in concrete structures.
Author Contributions
S.P.: Conceptualization, Methodology, Data curation, Writing—Original draft preparation, Investigation: S.P.C.: Supervision, Reviewing and Editing, K.G.: Supervision and Reviewing. All authors have read and agreed to the published version of the manuscript.
Funding
This research received no external funding.
Data Availability Statement
The original contributions presented in the study are included in the article, further inquiries can be directed to the corresponding author.
Acknowledgments
I would like to thank SRM concrete technology laboratory, central instrumentation facility and NRC, Kattankulathur, for providing the microstructural characterization equipment, which the authors greatly acknowledge.
Conflicts of Interest
The authors declare no conflict of interest.
References
- Mhatre, P.; Gedam, V.; Unnikrishnan, S.; Verma, S. Circular economy in built environment—Literature review and theory development. J. Build. Eng. 2021, 35, 101995. [Google Scholar] [CrossRef]
- Liew, J.Y.R.; Chua, Y.S.; Dai, Z. Steel concrete composite systems for modular construction of high-rise buildings. In Structures; Elsevier: Amsterdam, The Netherlands, 2019; Volume 21, pp. 135–149. [Google Scholar] [CrossRef]
- Shetty, M.S. Concrete Technology: Theory and Practice; Tata McGraw-Hill Education: New York, NY, USA, 2005. [Google Scholar]
- Ganga, V.; Selvan, S.S. Influence of expansive cement on rheological, strength performance and morphological characteristics of self-compacting concrete. Constr. Build. Mater. 2023, 368, 130407. [Google Scholar] [CrossRef]
- Kowsalya, M.; Nachiar, S.S.; Sekar, A.; Ravichandran, P.T. Study on Mechanical and Microstructural Properties of Concrete with Fly Ash Cenosphere as Fine Aggregate—A Sustainable Approach. Buildings 2022, 12, 1679. [Google Scholar] [CrossRef]
- Ting, T.; Rahman, M.; Lau, H. Compressive Strength of OPS based Self-compacting Concrete Incorporated with Fly Ash under Elevated Temperature. IOP Conf. Ser. Mater. Sci. Eng. 2019, 495, 012086. [Google Scholar] [CrossRef]
- Nuruzzaman, M.; Casimiro, J.O.C.; Sarker, P.K. Fresh and hardened properties of high strength self-compacting concrete using by-product ferronickel slag fine aggregate. J. Build. Eng. 2020, 32, 101686. [Google Scholar] [CrossRef]
- Bouzar, B.; Mamindy-Pajany, Y. Manufacture and characterization of carbonated lightweight aggregates from waste paper fly ash. Powder Technol. 2022, 406, 117583. [Google Scholar] [CrossRef]
- Girish, S.; Ranganath, R.; Vengala, J. Influence of powder and paste on flow properties of SCC. Constr. Build. Mater. 2010, 24, 2481–2488. [Google Scholar] [CrossRef]
- Chandru, P.; Karthikeyan, J. Models to predict the mechanical properties of blended SCC containing recycled steel slag and crushed granite stone as coarse aggregate. Constr. Build. Mater. 2021, 302, 124342. [Google Scholar] [CrossRef]
- Meena, R.V.; Jain, J.K.; Beniwal, A.S.; Chouhan, H.S. Sustainable self-compacting concrete containing waste ceramic tile aggregates: Fresh, mechanical, durability, and microstructural properties. J. Build. Eng. 2022, 57, 104941. [Google Scholar] [CrossRef]
- Dey, S.; Kumar, V.V.P.; Goud, K.R.; Basha, S.K.J. State of art review on self compacting concrete using mineral admixtures. J. Build. Pathol. Rehabil. 2021, 6, 18. [Google Scholar] [CrossRef]
- Sandhu, R.K.; Siddique, R. Strength properties and microstructural analysis of self-compacting concrete incorporating waste foundry sand. Constr. Build. Mater. 2019, 225, 371–383. [Google Scholar] [CrossRef]
- Azunna, S.U.; Aziz, F.N.A.A.; Cun, P.M.; Elhibir, M.M.O. Characterization of lightweight cement concrete with partial replacement of coconut shell fine aggregate. SN Appl. Sci. 2019, 1, 649. [Google Scholar] [CrossRef]
- Cheboub, T.; Senhadji, Y.; Khelafi, H.; Escadeillas, G. Investigation of the engineering properties of environmentally-friendly self-compacting lightweight mortar containing olive kernel shells as aggregate. J. Clean. Prod. 2020, 249, 119406. [Google Scholar] [CrossRef]
- Bharathi, S.L.; Johnpaul, V.; Kumar, R.P.; Surya, R.; Kumar, T.V. WITHDRAWN: Experimental Investigation on Compressive Behaviour of Plastic Brick Using M Sand as Fine Aggregate; Elsevier: Amsterdam, The Netherlands, 2020. [Google Scholar] [CrossRef]
- Nachiar, S.S.; Sekar, A. Engineering Properties of Waste Badminton String Fiber. Fibers 2023, 11, 25. [Google Scholar] [CrossRef]
- Suriya, D.; Chandar, S.P.; Ravichandran, P.T. Impact of M-Sand on Rheological, Mechanical, and Microstructural Properties of Self-Compacting Concrete. Buildings 2023, 13, 1126. [Google Scholar] [CrossRef]
- Aziz, W.; Aslam, M.; Ejaz, M.F.; Ali, M.J.; Ahmad, R.; Raza, M.W.-U.; Khan, A. Mechanical properties, drying shrinkage and structural performance of coconut shell lightweight concrete. Structures 2022, 35, 26–35. [Google Scholar] [CrossRef]
- Vasanthi, P.; Selvan, S.S.; Murthi, P.; Reddy, I.R.; Poongodi, K. Impact of Partial Replacement of Cement by Coconut Shell Ash and Coarse Aggregate by Coconut Shell on Mechanical Properties of Concrete. IOP Conf. Ser. Mater. Sci. Eng. 2020, 981, 032080. [Google Scholar] [CrossRef]
- López-Alonso, M.; Martín-Morales, M.; Martínez-Echevarría, M.J.; Agrela, F.; Zamorano, M. Residual biomasses as aggregates applied in cement-based materials. In Waste and Byproducts in Cement-Based Materials; Woodhead Publishing: Sawston, UK, 2021. [Google Scholar] [CrossRef]
- Itam, Z.; Johar, A.D.; Syamsir, A.; Zainoodin, M.; Fadzil, S.M.M.S.A.; Beddu, S. Utilization of coconut shell as a supplementary cementitious material in concrete. Mater. Today Proc. 2022, 66, 2818–2823. [Google Scholar] [CrossRef]
- Tangadagi, R.B.; Manjunatha, M.; Seth, D.; Preethi, S. Role of mineral admixtures on strength and durability of high strength self compacting concrete: An experimental study. Materialia 2021, 18, 101144. [Google Scholar] [CrossRef]
- Kanojia, A.; Jain, S.K. Performance of coconut shell as coarse aggregate in concrete. Constr. Build. Mater. 2017, 140, 150–156. [Google Scholar] [CrossRef]
- Shaikh, F.A.; Raza, A.; Awais, M.; Abubakar, M. Comparative Study of the Compressive Strength of concrete by Partially Replacing Coarse Aggregate with Coconut Shell Aggregate. In International Conference on Sustainable Development in Civil Engineering; MUET: Sindh, Pakistan, 2019. [Google Scholar]
- Dharek, M.S.; Sunagar, P.; Harish, K.; Sreekeshava, K.S.; Naveen, S.U.; Bhanutej. Performance of Self-flowing Concrete Incorporated with Alumina Silicates Subjected to Elevated Temperature. Lect. Notes Civ. Eng. 2020, 74, 111–120. [Google Scholar] [CrossRef]
- Mahalakshmi, S.H.V.; Khed, V.C. Experimental study on M-sand in self-compacting concrete with and without silica fume. Mater. Today Proc. 2020, 27, 1061–1065. [Google Scholar] [CrossRef]
- Adebakin, I.H.; Gunasekaran, K.; Annadurai, R. Mix design and rheological properties of self-compacting coconut shell aggregate concrete. ARPN J. Eng. Appl. Sci. 2018, 13, 1465–1475. [Google Scholar]
- Sudha, C.; Krishnan, K.D.; Ravichandran, P.T.; Rajkumar, P.R.K. Strength characteristics of high strength concrete using M-sand. Indian J. Sci. Technol. 2016, 9, 41. [Google Scholar] [CrossRef]
- Umamaheswaran, V.; Sudha, C.; Ravichandran, P.T.; Rajkumar, P.R.K. Use of M Sand in High Strength and High Performance Concrete. Indian J. Sci. Technol. 2015, 8, 1–8. [Google Scholar] [CrossRef]
- Kalirajan, S.; Vishnuram, B.G. Development of Self Compacting Concrete Using Manufactured Sand. Artic. Int. J. Earth Sci. Eng. 2014, 7, 987–992. [Google Scholar]
- Yerramala, A.; Ramachandrudu, C. Properties of Concrete with Coconut Shells as Aggregate Replacement. Int. J. Eng. Invent. 2012, 1, 2278–7461. [Google Scholar]
- Hilal, N.N.; Sahab, M.F.; Ali, T.K.M. Fresh and hardened properties of lightweight self-compacting concrete containing walnut shells as coarse aggregate. J. King Saud Univ.-Eng. Sci. 2021, 33, 364–372. [Google Scholar] [CrossRef]
- Gunasekaran, K.; Kumar, P.; Lakshmipathy, M. Mechanical and bond properties of coconut shell concrete. Constr. Build. Mater. 2011, 25, 92–98. [Google Scholar] [CrossRef]
- IS 383; Coarse and Fine Aggregate for Concrete-Specification. Bureau of Indian Standard, BIS: New Delhi, India, 2016.
- IS 9103; Specification for Concrete Admixtures. Bureau of Indian Standards, BIS: New Dehli, India, 1999; pp. 1–22.
- EFNARC. The European Guidelines for Self-Compacting Concrete. 2005. Available online: http://www.efnarc.org/pdf/SCCGuidelinesMay2005.pdf (accessed on 1 May 2005).
- IS 516; Methods of Tests for Strength of Concrete. Bureau of Indian Standards: New Dehli, India, 2018; p. 25.
- ACI 544; 1R-82, State of the Art Report on Fiber Reinforced Concrete. ACI Committee 544: Farmington Hills, MI, USA, 1986; p. 22.
- IS: 2770; Methods of Testing Bond in Reinforced Concrete. Bureau of Indian Standards: New Delhi, India, 1967; p. 15.
- Bahrami, N.; Zohrabi, M.; Mahmoudy, S.A.; Akbari, M. Optimum recycled concrete aggregate and micro-silica content in self-compacting concrete: Rheological, mechanical and microstructural properties. J. Build. Eng. 2020, 31, 101361. [Google Scholar] [CrossRef]
- Li, Z.; Shang, H.; Xiao, S.; Yang, L.; Li, Z. Effect of thermal fatigue on mechanical properties and microstructure of concrete in constant ambient humidity. Constr. Build. Mater. 2023, 368, 130367. [Google Scholar] [CrossRef]
- Rajkohila, A.; Chandar, S.P.; Ravichandran, P.T. Influence of Natural Fiber Derived from Agricultural Waste on Durability and Micro-Morphological Analysis of High-Strength Concrete. Buildings 2023, 13, 1667. [Google Scholar] [CrossRef]
- Rajkohila, A.; Chandar, S.P.; Ravichandran, P.T. Assessing the effect of natural fiber on mechanical properties and microstructural characteristics of high strength concrete. Ain Shams Eng. J. 2024, 15, 102666. [Google Scholar] [CrossRef]
- Jain, A.; Chaudhary, S.; Gupta, R. Mechanical and microstructural characterization of fly ash blended self-compacting concrete containing granite waste. Constr. Build. Mater. 2021, 314, 125480. [Google Scholar] [CrossRef]
Disclaimer/Publisher’s Note: The statements, opinions and data contained in all publications are solely those of the individual author(s) and contributor(s) and not of MDPI and/or the editor(s). MDPI and/or the editor(s) disclaim responsibility for any injury to people or property resulting from any ideas, methods, instructions or products referred to in the content. |
© 2024 by the authors. Licensee MDPI, Basel, Switzerland. This article is an open access article distributed under the terms and conditions of the Creative Commons Attribution (CC BY) license (https://creativecommons.org/licenses/by/4.0/).








































