Next Article in Journal
Dam Deformation Prediction Considering the Seasonal Fluctuations Using Ensemble Learning Algorithm
Previous Article in Journal
An Assessment of the Seismic Performance of EC8-Compliant CBFs Taking into Account the Role of Soil: A Case Study
 
 
Font Type:
Arial Georgia Verdana
Font Size:
Aa Aa Aa
Line Spacing:
Column Width:
Background:
Article

High-Temperature Stirring Pretreatment of Waste Rubber Particles Enhances the Interfacial Bonding and Mechanical Properties of Rubberized Concrete

1
College of Civil Engineering, Qingdao University of Technology, Qingdao 266000, China
2
Multidisciplinary Center for Infrastructure Engineering, Shenyang University of Technology, Shenyang 110870, China
3
College of Electromechanical Engineering, Qingdao University of Science and Technology, Qingdao 266061, China
*
Authors to whom correspondence should be addressed.
Buildings 2024, 14(7), 2162; https://doi.org/10.3390/buildings14072162
Submission received: 17 June 2024 / Revised: 27 June 2024 / Accepted: 11 July 2024 / Published: 14 July 2024
(This article belongs to the Section Building Materials, and Repair & Renovation)

Abstract

This paper innovatively proposes a method of 180 °C high-temperature stirring pretreatment for waste rubber particles and compares this method with untreated, NaOH-treated, and silane coupling agent KH570-treated waste rubber particles. Fourier-transform infrared spectroscopy, X-ray diffraction analysis, water contact angle measurement, scanning electron microscopy, and energy-dispersive X-ray study are used to investigate the effects and mechanisms of different pretreatment methods on waste rubber particles. The results indicate that compared to NaOH-treated and KH570-treated waste rubber particles, the 180 °C high-temperature-stirred pretreated waste rubber particles show significantly improved cleanliness and form a hard oxide film. The study also investigates the effects of different pretreatment methods on the mechanical properties and interface binding performance of rubber concrete made from pretreated waste rubber particles. The results demonstrate that rubber concrete prepared using 180 °C high-temperature-stirred pretreated waste rubber particles substituting 20% fine aggregate exhibits the best mechanical properties and interface bonding performance. The compressive strength recovery rates after 7 and 28 days are 41.6% and 37.3%, respectively; the split tensile strength recovery rates are 47.3% and 60.6%; the axial compressive strength recovery rates are 34.1% and 18.8%; and the static compression moduli of elasticity recovery rates are 46.8% and 26.3%. High-temperature stirring pretreatment of waste rubber particles is simple to operate and suitable for scaled production. Its pretreatment effect is superior to those of the KH570 and NaOH methods, providing a reference value for the scalable application of waste rubber particles as a substitute for fine aggregate in rubber concrete.

1. Introduction

In recent years, the preparation of green concrete using waste materials as substitutes for sand, such as scrap rubber, waste glass, polyvinyl chloride, and other recycled aggregates, has received wide research attention [1]. The main components of waste tire rubber are natural rubber, synthetic rubber, carbon black, metal, nylon fiber, and additives. It is difficult to degrade under natural conditions; improper disposal can lead to severe “black pollution” [2]. Although many countries have implemented measures to promote the recycling of waste rubber, the recycling rate is much lower than the production rate. This leads to a continuous increase in the global stockpile of waste rubber. It is estimated that by 2030, 5 billion tires will be discarded annually worldwide [3,4]. Large amounts of discarded tires, left outdoors, buried or incinerated without any treatment, pose substantial threats to human health and the natural environment. The sensible recycling and reuse of these materials play an essential role in addressing black pollution and promoting the circular economy.
Despite the benefits of rubberized concrete, such as low density, good toughness, and strong vibration resistance, many studies have shown that waste rubber particles significantly weaken the strength of the concrete. This is a significant obstacle for practical applications of rubberized concrete [5,6,7]. The loss of strength is mainly due to the low rigidity of rubber (the elastic modulus of rubber is only 105–106 Pa) and the poor bond between “rubber particles and the base material of the concrete” [8,9,10].
To mitigate the strength loss caused by replacing fine aggregates with waste rubber particles, researchers have tried numerous pretreatment methods. These can generally be categorized into physical methods [11] (water cleaning, precoating), chemical methods [12] (NaOH pretreatment, silane coupling agent pretreatment), and two-stage methods (NaOH pretreatment–precoating) [13]. For example, Mohammadi et al. [14] report that after treating rubber for 24 h, soaking in sodium hydroxide solution and water restored strength by 28% and 11.2%, respectively. However, with the same rubber content, Youssf et al. [15] show a strength recovery of 22.3% after soaking rubber for 24 h. Najim and Hall [16] washed rubber with water and demonstrated a 6.8% strength recovery at a 38% rubber content. Huang et al. [17] suggest a two-stage method to enhance the performance of rubber-pretreated cement composites. They treated the surfaces of rubber particles with a silane coupling agent, followed by a cement coating. Subsequently, Dong et al. [18] further improved this method by developing a cement coating around the rubber particles combined with a silane coupling agent, observing strength recoveries of 21% and 36.7% at 15% and 30% rubber contents, respectively. Although these treatment methods can improve the mechanical properties of rubberized concrete to some extent, they often suffer from instability, low efficiency, complexity, and difficulties in scaling up production [19,20].
This article introduces a novel pre-processing method for rubber, involving the high-temperature stirring of waste rubber particles at 180 °C. The research hypothesizes that under high-temperature stirring, the rubber hydrocarbons on the surfaces of waste rubber particles react with oxygen in the stirring tank to form an oxide film, increasing their hardness. Low-molecular-weight compounds will volatilize under high temperatures, and loose impurities on the rubber surface will be removed due to friction between particles, thereby cleaning the surface of the waste rubber particles [21]. This study employs a series of microscopic characterization techniques to investigate the effects of different pretreatment methods on waste rubber particles. It observes the impacts of different pretreatment methods on the apparent morphology of waste rubber particles through scanning electron microscopy (SEM). This study analyzes changes in chemical bonds (such as C-O and Si-O-Si bonds) on the surfaces of waste rubber particles through Fourier-transform infrared spectroscopy (FT-IR) and X-ray diffraction (XRD). By using energy-dispersive X-ray spectroscopy (EDS), it measures the contents of oxygen, zinc, and magnesium on the surfaces of waste rubber particles, determining the mechanisms by which different pretreatment methods affect waste rubber particles. Rubber concrete has been prepared using waste rubber particles as 20% aggregate substitutes to test their working performances, macro-mechanical properties and micro-interface bonding properties under various pre-processing conditions. The recoverability rates of strength in the mixed rubber concrete are calculated and compared. Compared to traditional methods, high-temperature stirring pretreatment generates no wastewater, has a simple production process, effectively cleans the surfaces of waste rubber particles, and can form an oxide film on the surface, enhancing its stiffness. Consequently, this improves the mechanical strength and interface bonding performance of rubber concrete. This helps to reduce pollution and produce environmentally friendly building materials, contributing to a society that can sustain development and generating both economic and environmental benefits.

2. Materials and Programs

2.1. Test Raw Materials

The benchmark concrete refers to a mix proportion design of C40. The cement used in the test was P.O42.5 ordinary Portland cement. The coarse aggregate chosen was crushed stone with a continuous particle size of 5–16 mm. The fine aggregate selected was medium sand with a fineness modulus of 2.7 and a bulk density of 2688 kg/m3. The water-reducing agent supplied by Shandong Yinsida New Material Co., Ltd. in Dongying, Shandong, China, was a high-performance type. The waste rubber particles were provided by Guangrao Changguan Renewable Resources Co., Ltd., in Dongying, Shandong, China, with a mesh size of 20 and a bulk density of 1100 kg/m3. The KH570 used was a light yellow transparent liquid supplied by Dongying Ruichite Technology Co., Ltd. in Dongying, Shandong, China, with a boiling point of 255 °C and a purity of ≥97%.

2.2. Test Fit Ratio

According to this study, the mix proportion design of the benchmark concrete was based on the Chinese National Standard GB 50007-2011 [22] “Code for Design of Concrete Mix Proportion”, determined after numerous experiments, with a design strength grade of LC40. Rubber particles replaced 20% of the fine aggregate by volume. The experimental mix ratios are shown in Table 1. Ten groups of 150 mm × 150 mm × 150 mm specimens (three samples per group) were prepared for cube compressive tests and split tensile tests. Ten groups of 150 mm × 150 mm × 300 mm specimens (three samples per group) were prepared for axial compressive tests and static compression modulus of elasticity tests.

2.3. Specimen Preparation

2.3.1. Pretreatment Specimen of Waste Rubber Granules

Surface pretreatment of waste rubber particles was conducted using three methods sequentially: NaOH pretreatment, silane coupling agent KH570 pretreatment, and high-temperature stirring pretreatment at 180 °C. For the preparation of NaOH-treated waste rubber particles, a 5% sodium hydroxide solution was prepared with solid sodium hydroxide and deionized water. Sodium hydroxide solution and waste rubber particles were mixed at a volume ratio of 2:1 and stirred for 30 min. After the particles fully saturated and floated on the solution surface, the mixture was left at room temperature for 24 h. It was then dried in an oven at 45 °C for 48 h and set aside. In the process of preparing KH570 silane coupling agent-treated waste rubber particles, a 2% KH570 solution was prepared using KH570 and anhydrous ethanol. The KH570 solution and waste rubber particles were mixed at a 2:1 volume ratio and stirred for 30 min. Following the complete soaking and floating of the particles on the surface, the mixture was left at room temperature for 24 h, then dried in an oven at 45 °C for 48 h and set aside. For preparing high-temperature-stirred waste rubber particles, a specific amount of waste rubber particles was poured into a high-temperature stirring tank (the SHR-1 type high-temperature mixing tank is produced by Sheng Machinery and Electrical Equipment Manufacturing Factory in Leyu Town, Zhangjiagang City, China), heated at 180 °C with a stirring speed of 700 rpm, and stirred for 15 min. The material was then removed, cooled, and left to sit for 24 h until needed. The waste rubber pretreatment process is illustrated in Figure 1.

2.3.2. Concrete Specimens

In the specimen preparation process using a no-pre-mixing method, pre-weighed coarse aggregate, fine aggregate, rubber particles, cement, water, and water-reducing agent were added into a mixer and mixed for 6 min. The mixture was poured into molds in three layers, vibrated on a vibrating table, and then leveled. The specimens were then placed in a curing box maintained at a temperature of 20 ± 2 °C and 92% relative humidity for curing over a period of 28 days before testing.

2.4. Test Methods

Thermogravimetric Analysis (TGA) was performed with a Mettler TGA2 instrument (Mettler Toledo, Greifensee, Switzerland) within a temperature range of 70 °C to 650 °C. Nitrogen and oxygen were fed in stages for the quantitative analysis of waste rubber granule components. An increment test was carried out by drying a weighed bottle at a constant temperature of 80 ± 2 °C until it reached a constant weight. Two grams of sample were placed in the weighed bottle and dried in the same conditions. Acetone extract was determined following method A of the Chinese National Standard GB/T 3516-2006 [23], using acetone as a solvent and a Sohxlet extractor; polyisoprene content was determined by following the Chinese National Standard GB/T 15904-2018 [24]. Fourier-transform infrared spectroscopy (FT-IR) was performed using the Vector70 Fourier infrared spectrometer (Bruker, Bremen, Germany). The treated waste rubber granules were mixed with KBr at a ratio of 100:1 for characterization analysis. Scanning electron microscopy (SEM) was carried out using the JSM-7500F scanning electron microscope (JEOL Ltd., Akishima, Japan), supplemented with energy-dispersive X-ray spectroscopy (EDS) by Bruker (Germany).
The slump and air content of the concrete mix were determined by complying with the Chinese National Standard ‘Methods of testing the performance of ordinary concrete mixes’ (GB/T 50080-2002) [25]. The slump meter and steel ruler evaluated the workability status, while the CA-3 direct-reading concrete air content tester examined the air content in rubber aggregate concrete. Cube compressive strength and split tensile strength tests were performed according to the Chinese National Standard ‘Test methods for mechanical properties of ordinary concrete’ (GB/T50081-2016) [26] with 150 mm × 150 mm × 150 mm specimens. The compressive strength tests used the WAW31000 computer-controlled hydraulic universal testing machine (Tianjin Metis, Tianjin, China), and the split tensile strength tests used the YA-300 automatic pressure testing machine (Tianjin Metis, China). The axial compressive strength and static compression modulus tests followed the same standard with 150 mm × 150 mm × 300 mm specimens. The fracture site microstructure of the rubber concrete was observed using the JSM-7500F scanning electron microscope (JEOL Ltd., Japan).

3. Results Analysis

3.1. Waste Rubber Particle Analysis

3.1.1. Composition Analysis of Waste Rubber Particles

To test the composition changes in waste rubber particles, Thermal Gravimetric Analysis (TGA), Soxhlet extraction, and the titration method are used to determine the contents of rubber hydrocarbons, polyisoprene, acetone extracts, carbon black, and ash.
As Figure 2 shows, the Thermal Gravimetric Analysis (TGA) of untreated waste rubber particles is carried out in two stages in N2 and O2 atmospheres (organic matter in waste rubber particles can be pyrolyzed under N2 atmosphere, while carbon black needs to be pyrolyzed under O2 atmosphere to determine its mass loss). In the first stage, N2 is injected as a protective gas (to prevent the combustion of organic matter in waste rubber particles at high temperatures). The temperature is heated from 70 °C to 300 °C at a rate of 10 K/min. After holding at 300 °C for 10 min, a mass loss stage occurs, with a mass loss of 16.4572%, indicating the mass loss of small volatile organic compounds, generally oil substances and volatile impurities. Then, the temperature heats from 300 °C to 550 °C at a rate of 20 K/min; after holding at 550 °C for 15 min, another mass loss stage occurs, with a mass loss of 53.3177%, indicating organic matter mass loss, generally in the form of rubber hydrocarbons. At this point, the first stage ends, completing the pyrolysis of organic matter in waste rubber particles. In the second stage, the temperature is firstly lowered to 300 °C at a cooling rate of 30 K/min. O2 is injected and the temperature rises from 300 °C to 650 °C at a heating rate of 20 K/min. A mass loss stage occurs, with a mass loss of 24.5153%, indicating the mass loss of carbon black. After holding at 650 °C for 15 min, no mass loss stage appears, and the remaining matter is ash.
The thermogravimetric analysis of waste rubber particles, pretreated using the same method with NaOH, KH570, and stirring at a high temperature of 180 °C, is carried out, as shown in Figure 3.
According to the thermogravimetric analysis, the proportions of low-molecular-weight organics, other organics, carbon black, and ash in untreated waste rubber particles and those prepared using three different pretreatment methods are shown in Table 2. The data indicate that compared to untreated waste rubber particles, the content of low-molecular-weight organics decreases in those pretreated with NaOH, KH570, and, in particular, stirring at 180 °C, where the reduction is the largest at 57.48%. This significant decrease is due to the volatilization of low-molecular-weight organics from the surface of the waste rubber particles at high temperatures [27]. The slight reductions observed with NaOH and KH570 pretreatments are attributed to the cleaning action of the solutions, which remove some of the low-molecular-weight organics from the surfaces of the particles [28]. The removal of low-molecular-weight organics helps to clean the surface of the waste rubber, facilitating better bonding between the rubber particles and the concrete matrix materials [29].
To further determine the content of acetone extracts in waste rubber particles, the Soxhlet extraction method is used. The principle involves placing the weighed rubber sample into a Soxhlet extraction apparatus, where the solvent is removed by distillation or evaporation, followed by the drying and weighing of the extract. Firstly, the mass fraction of the heat-reduced sample is measured and calculated using Formula (1). After the extraction, the content of acetone extracts in the waste rubber particles is calculated using Formula (2), as shown in Table 3.
The heating decrement X1 is calculated according to Formula (1):
X 1 = m a m b m c × 100
X1: Heat decreases the mass fraction, %;
ma: Sample mass before drying (including weighing bottle), g;
mb: Sample mass after drying (including weighing bottle), g;
mc: Quality of sample, g.
X = m 1 m 2 m 1 × 100 X 1
X: Acetone extract content, %;
m1: The quality of the sample before acetone extraction, g;
m2: After the acetone is extracted, the sample is dried for quality, g;
X1: Heat decreases the mass fraction, %
The polyisoprene content is determined via the titration method. The principle is that the polyisoprene in the sample is digested by heating the mixture of sulfuric acid and chromic acid, the acetic acid is distilled by steam, and the carbon dioxide in the distilled liquid is removed by pumping gas. The acetic acid is then titrated with sodium hydroxide solution. Under the specified test conditions, the yield of isoprene unit oxidation to acetic acid is 75%, according to which the chemical constant 0.0908 is obtained. According to Formula (3), the polyethylene diene content of waste rubber particles is 27.24%, as shown in Table 4.
W p = 0.0908 × ( V 1 V 2 ) × c m × 100 %
Wp: Polyisoprene content, %;
V1: The volume of sodium hydroxide standard titration solution consumed by the titration test solution, mL;
V2: The volume of sodium hydroxide standard titration solution consumed by the titration blank, mL;
c: The actual concentration of the sodium hydroxide standard titrant, mol/L.
m: The quality of the sample, g.
0.0908: Under the specified experimental conditions, the yield of isoprene unit oxidation to acetic acid is 75%, according to which the chemical calculation constant is obtained.
For the tests conducted above, the contents of acetone extracts, polyisoprene, other rubber hydrocarbons, carbon black, and ash in untreated waste rubber particles, as well as those pretreated with NaOH, KH570, and high-temperature stirring at 180 °C, are as shown in Table 5.
Acetone extracts primarily consist of oily substances from waste rubber particles. As shown in Table 5, the content of acetone extracts in waste rubber particles decreases by 17.9% after high-temperature stirring pretreatment at 180 °C due to the volatilization of oily substances under high temperatures. The content decreases by 7.6% following NaOH pretreatment because NaOH saponifies the oily substances [30], removing them from the surfaces of the rubber particles. The decrease is not significant with KH570 pretreatment, indicating its lower efficacy in removing oily substances. Reducing the surface oily substances of waste rubber particles can enhance the interfacial binding with concrete matrix materials [31]. Polyisoprene, the main component of natural rubber, shows no significant change in content in untreated, NaOH-pretreated, and KH570-pretreated waste rubber particles. However, its content decreases after 180 °C high-temperature stirring pretreatment due to oxidation and thermal degradation at high temperatures, forming a harder oxidation film [32]. This is confirmed by the C-O stretching peak in FT-IR spectroscopy analysis and the change in O in EDS analysis. The formation of the oxidation film increases the elastic modulus of the waste rubber particles, positively affecting the strength of rubber concrete [33]. The content of other rubber hydrocarbons remains relatively stable in untreated, NaOH-pretreated, and KH570-pretreated waste rubber particles but decreases in those pretreated by high-temperature stirring at 180 °C, following the same principle as used in the polyisoprene content reduction. Carbon black, the primary filler in rubber, varies within a range of 5% in all samples, indicating uneven dispersion during the rubber production process and showing local content variations [34] unrelated to the treatments in this study. The ash content fluctuates within a 3% range in untreated, NaOH-pretreated, and KH570-pretreated waste rubber particles. However, it doubles in those pretreated by high-temperature stirring at 180 °C, likely due to the volatilization and oxidation of small-molecule organic substances or oils in the stirring tank, eventually settling as deposits [35].

3.1.2. Fourier-Transform Infrared (FT-IR) Spectral Analysis

Further characterizing the chemical reactions occurring during the pretreatment of waste rubber particles using different methods, Fourier-transform infrared (FT-IR) spectroscopy was conducted on untreated waste rubber particles, NaOH-pretreated waste rubber particles, KH570-pretreated waste rubber particles, and waste rubber particles pretreated by stirring at high temperature (180 °C). As shown in Figure 4, in untreated waste rubber particles, NaOH-pretreated waste rubber particles, and KH570-pretreated waste rubber particles, the C-H stretching vibration peak appears at 840 cm−1 and 2960 cm−1 [36]; the peak at this place is weaker in waste rubber particles pretreated by 180 °C high-temperature stirring due to the low dissociation energy of C-H bond leading to partial C-H rupture under high temperatures. In the NaOH-pretreated waste rubber particles, a strong -CO3 stretching vibration peak is present at 1450 cm−1 [37], implying that sodium bicarbonate is generated from the esterification reaction between NaOH and an oily substance on the surfaces of waste rubber particles. In KH570-pretreated waste rubber particles, a Si-O-Si stretching vibration peak emerges at 1170 cm−1 [38], signifying the attachment of KH570 to the surfaces of waste rubber particles. In waste rubber particles prepared through 180 °C high-temperature stirring, there is a C-O vibration peak appearing at 1030 cm−1 [38,39], indicating that polyisoprene or other rubber hydrocarbons in the waste rubber particles have undergone oxidation reaction. It is evident that compared to untreated waste rubber particles, NaOH-pretreated waste rubber particles, and KH570-pretreated waste rubber particles, the high-temperature-stirred pretreated waste rubber particles show no significant peak at 1560 cm−1. This can be attributed to the breaking of C=C bonds under the influence of high temperature [40].

3.1.3. X-ray Diffraction Analysis Utilizes

The XRD spectra analysis, as shown in Figure 5, reveals that the untreated waste rubber particles, as well as those pretreated with NaOH and KH570, exhibit similar trends in the characteristic peaks of carbon, calcium oxide, zinc oxide, and magnesium oxide. However, for the waste rubber particles treated at 180 °C, the peaks for calcium oxide, zinc oxide, and magnesium oxide become smoother and lower, indicating material loss during the pretreatment process. This observation aligns with the subsequent EDS tests, which show a consistent trend in the variation in these elements.

3.1.4. Scanning Electron Microscopy (SEM) Analysis

Figure 6 demonstrates the apparent morphology of waste rubber particles prepared through different pre-processing methods, as studied under a scanning electron microscope with scales of 100 μm, 10 μm, 2 μm, and 1 μm.
Figure 6A displays untreated waste rubber particles with an uneven and rough appearance, with many loose particles scattered across their surfaces. This is because during the crushing process of waste rubber particles, mechanical force leads to the peeling off of tire fillers such as carbon black, silica, zinc oxide, magnesium oxide, and oil-based substances [41,42] that adhere to the surfaces of the waste rubber particles that fall under the category of impurities. These loose impurities hinder the integration of waste rubber particles with the concrete interface, introduce a significant amount of gas, and increase the air content in the concrete mixture, which results in a reduction in the quality of rubber concrete.
In Figure 6B, we can see NaOH-pre-processed waste rubber particles. Compared to untreated ones, the cleanliness has improved significantly, but there are still some granular impurities on the surface. This is because NaOH removes fats from the surface and cleans the powder, eliminating loose impurities from the surface, but it cannot completely remove them.
Figure 6C shows the surface appearance of KH570-pre-processed waste rubber particles, featuring fewer surface impurities and roughness. The roughness comes from the hydrolysis reaction of KH570, forming si-o-si bonds on the surfaces of waste rubber particles, consistent with the aforementioned FTIR (Fourier-transform infrared spectroscopy) test results.
Figure 6D illustrates the appearance of waste rubber particles pretreated via high-temperature stirring at 180 °C. As shown in the figure, the surface smoothness of the waste rubber particles is high due to the volatilization of small-molecule organics on the particle surface at this temperature and the granular particles’ removal of the loose impurities on their surface under frictions and pressures in the agitation tank. Furthermore, the rubber hydrocarbons on the surface react with the oxygen in the air to form oxides that create a hard oxide film on the surface, further confirming the FTIR CO stretch vibration peak value and the change in the oxygen element in subsequent EDS (energy-dispersive spectroscopy) tests. The increased cleanliness and formation of the oxide film have a positive impact on the strength of rubber concrete. A clean surface allows for better bonding between the waste rubber particles and concrete, while the formation of the oxide film on the surfaces of waste rubber particles increases their modulus of elasticity, reducing the impact of the waste rubber particles’ low modulus of elasticity on the strength loss of rubber concrete [33].

3.1.5. Energy-Dispersive X-ray (EDS) Analysis

EDS element scanning of the orange marked points (S1, S2, S3, S4, S5) in the scanning electron microscope image, as shown in Figure 7, reveals that the main elements on the surfaces of waste rubber particles are carbon, oxygen, sulfur, zinc, magnesium, silicon, calcium, and iron. Carbon mainly originates from small organic molecules, carbon black, and rubber hydrocarbons in the rubber [43]. Oxygen primarily comes from atmospheric oxygen adsorbed on the surfaces of waste rubber particles or from oxide films formed during high-temperature stirring and pretreatment [44]. Sulfur primarily derives from its use as a vulcanizing agent in rubber [45]. Zinc, magnesium, and calcium mainly come from rubber additives such as zinc oxide, magnesium oxide, and calcium oxide [46]. Silicon mainly comes from silica used as a rubber filler [47]. Iron primarily originates from the steel wire fabrics in tires, which produce powder during the crushing process [48,49,50,51]. The smaller particle sizes of zinc oxide and magnesium oxide make them easily adsorbable on the surfaces of waste rubber particles, severely affecting the bonding interface between waste rubber particles and the concrete matrix. Here, these two elements are identified as impurities on the surfaces of waste rubber particles.
Based on the elemental content data from Figure 7, a statistical analysis was conducted on the surface elements of waste rubber granules, including oxygen, impurities (zinc oxide and magnesium oxide), and silicon, as shown in Figure 8. It is observed that the surface oxygen contents in untreated waste rubber granules, NaOH-treated granules, and granules treated with other pretreatments are below 3.5%. The oxygen content in KH570-pretreated waste rubber granules reaches 5.4% due to the hydrolysis reaction of the silane coupling agent forming Si-O-Si bonds. For waste rubber granules pretreated at 180 °C with high-temperature stirring, two points were scanned; the highest value (S4) is 9.9%, which is three times the surface oxygen content of untreated granules, and the lowest value (S5) is 5.8%, 1.8 times higher than that of untreated granules. The increased surface oxygen content in granules pretreated at 180 °C is attributed to the oxidation reaction between the rubber hydrocarbons and atmospheric oxygen, leading to the formation of an oxidative film on the granule surface. This is corroborated by the C-O stretching vibration peak data tested with the Fourier-transform infrared spectroscopy procedure mentioned earlier.
It should be noted that there is a significant difference between two selected points (S4, S5) in the pretreatment of waste rubber granules at 180 °C due to the fact that the oxide film cannot completely cover the waste rubber granules, resulting in discrepancy in oxygen content. A magnified image of this SEM is shown in Figure 6. The surface of point S4 is smooth and covered by an oxide film, while point S5 presents a spicule shape, with the oxide film not fully covering it. These minor rough points from uncovered areas afford the formation of friction adhesion between the waste rubber particles and the concrete base, enhancing the strength of rubberized concrete.

3.1.6. Mechanistic Analysis

Based on the above microscopic test results, an analysis of the mechanism of waste rubber granules pretreated with 180 °C high-temperature stirring, NaOH pretreatment, and KH570 pretreatment is conducted, as shown in Figure 9.
The pretreatment of waste rubber particles with NaOH leads to a reaction with stearic acid present on their surfaces, forming sodium stearate, as shown in chemical Equation (4). Sodium stearate has a crystalline structure and is easily removed under the action of solution washing [52]. The removal of stearic acid, being a greasy substance, increases the hydrophilicity of the waste rubber particle surface. Additionally, polyisobutylene in the waste rubber particles undergoes an esterification reaction with sodium hydroxide under alkaline conditions, resulting in the formation of sodium acetate. Subsequently, sodium acetate may react with carbon dioxide in the atmosphere in an acid–base reaction, leading to the production of sodium bicarbonate (NaHCO3), as illustrated in chemical Equations (5) and (6). This is consistent with the -CO3 stretching vibration peak displayed in the Fourier-transform infrared spectroscopy.
C17H35COOH + NaOH → C17H35COONa + H2O
2NaOH + C3H6O → Na2C3H5O2 + 2H2O
Na2C3H5O2 + CO2 + H2O → 2NaHCO3 + C3H6O
During the treatment of waste rubber particles with KH570, Fourier-transform infrared spectroscopy (FTIR) exhibits a Si-O-Si stretching vibration peak, while EDS tests reveal an increase in Si elements on the surfaces of the waste rubber particles [53]. This is because KH570, which is gamma-methacryloxypropyltrimethoxysilane, undergoes a hydrolysis reaction, leading to the formation of Si-O-Si bonds, as shown in chemical Equation (7).
2 ( CH 3 O ) 3 Si ( CH 2 ) 2 NH 2 + 3 Si ( OH ) 4 ( CH 3 O ) 3 Si ( CH 2 ) 2 Si ( OH ) 2 Si ( CH 2 ) 2 Si ( OCH 3 ) 3 + 3 H 2 O
Under the action of high-temperature stirring at 180 °C, the waste rubber particles are squeezed and rubbed against each other, removing some impurities. At this temperature, the surface rubber hydrocarbons exhibit a viscous flow state, beginning to envelop surface impurities. Simultaneously, under the temperature and stirring action, the rubber hydrocarbons undergo oxidation reaction with oxygen in the air, gradually forming an oxide film. However, at this temperature, this oxidation reaction does not completely cover the surfaces of the waste rubber particles, resulting in the formation of partial protrusions. The process of forming oxide film on waste rubber particles during pretreatment is shown in Figure 10.
The oxidation process proceeds as follows: we assume that RH represents the rubber hydrocarbon molecules, and the oxidation process occurs in the following three stages. The first stage is the initiation stage, where high temperatures reduce the dissociation energy of the C-H bonds on the rubber hydrocarbons [54], leading to the breaking of C-H bonds (as shown by the change in the C-H stretching vibration peak in the Fourier-transform infrared spectroscopy shown in Figure 4). In the second stage, the oxidation reaction occurs, producing complex dihydroperoxides (as indicated by the change in oxygen content measured by EDS in Figure 7), while the decomposition of ROOH generates free radicals [55,56]. During the third stage, some rubber hydrocarbon molecular chains undergo cross-linking, while others preserve the oxides, forming an oxide film. The chemical equations are as follows:
First   stage :   RH R * Second   stage :   R * + O 2 RO 2 ; RO 2 + RH ROOH + R * ; ROOH RO * + ROO * Third   stage :   2 R * R - R ; R * + ROO * ROOR ; 2 ROO * non - free   radical product
The oxidation process on the surfaces of waste rubber particles results in chemical changes on the surface, leading to the formation of an oxide film. The creation of the oxide film causes the surfaces of waste rubber particles to harden, which increases the stiffness of the waste rubber particles themselves and enhances the strength of the rubber concrete. This enhancement is corroborated by subsequent mechanical property tests of the rubber concrete.

3.2. Analysis of Rubberized Concrete Performance

3.2.1. Working Performance Analysis

Slump and air content are indicators commonly used to evaluate the workability of concrete. Higher slump values indicate the better flowability and mixability of the concrete mixture. Higher air content improves the flowability of the concrete mixture, but excessive air pockets can lead to honeycombing and pockmarks on the concrete surface, affecting its strength [57]. Figure 11 shows slump and air content data for different pretreatment methods. In the figure, it is evident that the concrete mixture prepared without added rubber has the highest slump at 64 mm, indicating reduced flowability in mixtures prepared with rubber due to poor adhesion between the rubber particles and cement paste, which weakens the cohesion of the concrete, making it more viscous and harder to flow. The slump of concrete mixtures prepared with pretreated waste rubber particles is slightly lower than that of mixtures made with untreated waste rubber particles, likely related to the air content of the mixture. Untreated waste rubber particles have rough surfaces that introduce more air, wrapping around the rubber particle surfaces and reducing the friction between them and the concrete, thus increasing the slump. Furthermore, the figure indicates that the concrete mixture prepared without rubber has the lowest air content, being 47.2% lower compared to mixtures prepared with untreated waste rubber particles, suggesting that waste rubber particles introduce air. Concrete containing rubber prepared with 180 °C high-temperature-stirred pretreated waste rubber particles has a 20.7% lower air content compared to the mixture with untreated waste rubber particles because the pretreatment improves the cleanliness of the rubber particle surfaces, reducing air introduction.

3.2.2. Analysis of Mechanical Properties

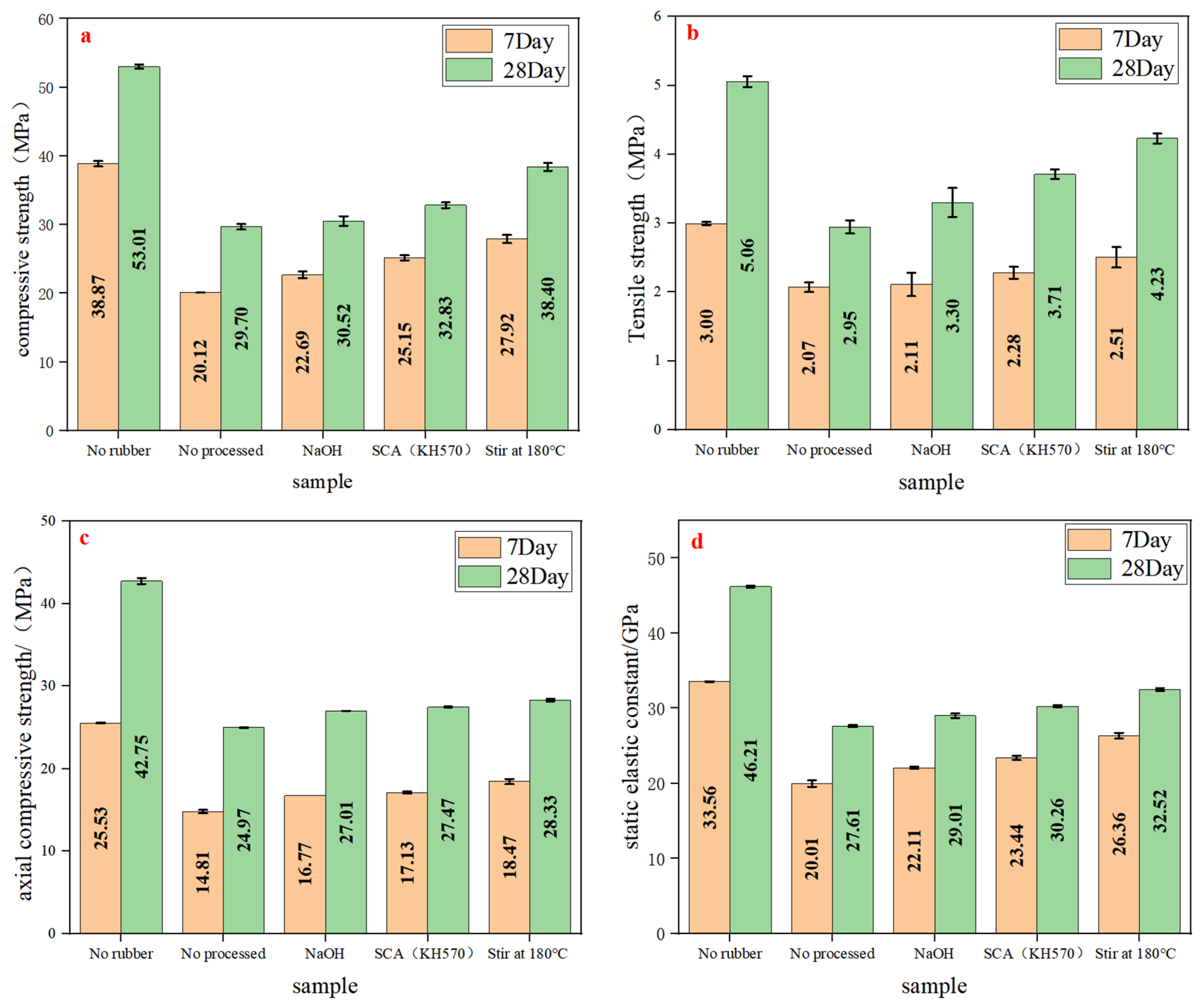
To further research the impact of the high-temperature stirring pretreatment of waste rubber particles on the mechanical properties of rubberized concrete, tests are conducted on the cube compressive strength, splitting tensile strength, axial compressive strength, and static compression modulus of elasticity, as shown in Figure 12.
As shown in Figure 12a, the cube compressive strength of rubberized concrete cured for 7 and 28 days is presented. In the figure, it is observed that in comparison to rubberized concrete prepared without waste rubber particles, the addition of untreated waste rubber particles results in reductions in cube compressive strength of 48.23% and 43.97% at 7 and 28 days, respectively. The compressive strength of rubberized concrete prepared with pretreated waste rubber particles through three different methods is higher than that made with untreated particles. Specifically, the concrete made with waste rubber pretreated at 180 °C through high-temperature stirring exhibits the highest cube compressive strength at both 7 and 28 days, with strength recovery rates of 41.6% and 37.3%, respectively. The concrete using NaOH-pretreated waste rubber particles shows strength recovery rates of 13.8% and 3.5% for 7 and 28 days, respectively. Conversely, the concrete with KH570-pretreated waste rubber particles reveals recovery rates of 26.8% and 13.4% over the same periods. This suggests that pretreatment of waste rubber particles at 180 °C is the most effective, followed by KH570, with NaOH being the least effective. Waste rubber particles prepared at 180 °C under high-temperature stirring possess smooth surfaces free of impurities, enhancing the interfacial bonding between the waste rubber particles and the concrete matrix. The high temperature and stirring also create a hard oxidized film on the surface of the rubber particles, increasing their rigidity and improving the compressive strength of the rubberized concrete. In the KH570 pretreatment process, the addition of Si-O-Si groups on the surface of the waste rubber particles enhances their bond with the concrete matrix. NaOH pretreatment removes oily substances from the surfaces of the waste rubber particles and cleanses impurities, moderately promoting the interface combination between the waste rubber particles and the concrete matrix.
As depicted in Figure 12b, it showcases the split tensile strength of rubberized concrete after 7 and 28 days of curing. It can be seen from the graph that compared to the rubberized concrete prepared without waste rubber particles, the rubberized concrete with untreated waste rubber particles showed decreases in split tensile strength of 31% and 41.6% for 7 and 28 days, respectively. Rubberized concrete prepared with waste rubber particles treated by the three pre-processing techniques all demonstrated higher tensile strength than those prepared with untreated waste rubber particles. Among them, the rubberized concrete prepared with 180 °C high-temperature mixed treatment of waste rubber exhibited the highest split tensile strength at both 7 and 28 days, with recovery rates of 47.3% and 60.6%, respectively. The rubberized concrete made with NaOH-pretreated waste rubber particles accounted for strength recovery rates of 4.3% and 16.5%, respectively, at 7 and 28 days. The strength recovery rates of rubberized concrete prepared using KH570-pretreated waste rubber particles were 22.5% and 36%, respectively, at 7 and 28 days. These data suggest that the pre-processing of waste rubber particles at 180 °C proves most effective, followed by KH570 treatment, with NaOH treatment being the least effective. The mechanism behind this phenomenon is consistent with the mechanism of cubic compressive strength.
As depicted in Figure 12c, the axial compressive strength of rubberized concrete maintained for 7 days and 28 days positively correlates with the cubic compressive strength, which serves as a reference value during structural design. The graph indicates that the axial compressive strength of rubberized concrete made with untreated waste rubber particles decreases by 41.9% and 41.5% after 7 and 28 days, respectively, compared to rubberized concrete without waste rubber particles. Conversely, rubberized concretes prepared with the three pretreatment methods exhibit stronger axial compressive strengths than those prepared with untreated waste rubber particles. Notably, rubberized concrete made with 180 °C high-temperature-stirred waste rubber yields the highest 7-day and 28-day axial compressive strengths, showing recovery rates of 34.1% and 18.8%, respectively. Rubberized concrete made with NaOH-prepared waste rubber shows recovery rates of 18.3% and 11.4% at 7 days and 28 days, respectively. Similarly, with KH570-prepared waste rubber, the recovery rates are 21.7% and 14% at 7 days and 28 days, respectively. These findings suggest that the 180 °C pretreatment of waste rubber particles has the superior effect, followed by KH570 pretreatment, with NaOH pretreatment being the least effective. The mechanisms contributing to these phenomena align with those observed in cubic compressive strength.
Figure 12d shows the static compressive elastic moduli of rubberized concrete after 7 and 28 days of curing. The elastic modulus, a critical mechanical parameter of concrete, represents the relationship between the stress endured and the strain produced under load. Similar to the trend observed with the static compressive elastic modulus, rubberized concrete made with untreated waste rubber particles experienced decreases in elastic modulus of 40.3% and 40.25% after 7 and 28 days, respectively. Rubberized concrete samples prepared with waste rubber particles treated by the three different pretreatment methods exhibit higher split tensile strengths compared to those made with untreated rubber particles. Among these, rubberized concrete prepared using rubber particles pretreated at 180 °C presents the highest axial compressive strength after 7 and 28 days, with elastic modulus recovery rates of 46.8% and 26.3%, respectively. Rubberized concrete made with NaOH-pretreated rubber particles shows elastic modulus recovery rates of 15.4% after 7 days and 7.5% after 28 days. Those prepared with KH570-pretreated rubber particles have recovery rates of 25.3% after 7 days and 14.2% after 28 days. These results indicate that pretreatment at 180 °C is the most effective option, followed by KH570, while NaOH pretreatment is the least effective option. This phenomenon aligns with the mechanism of cubic compressive strength.

3.2.3. SEM Analysis

As illustrated in Figure 13, the scanning electron micrograph of the rubber concrete fracture debris shows various properties. In Figure 13A, it can be observed that the rubber concrete produced with untreated waste rubber particles has a poor interface binding with the cement-based concrete, displaying significant cracks. This occurs because the loose impurities on the surface of the unmodified waste rubber particles affect its interfacial adhesion, resulting in a substantial loss of the mechanical properties of the rubber concrete.
As shown in Figure 13B, the rubber concrete made from NaOH-pretreated waste rubber particles demonstrates better interface than that made with untreated waste rubber particles. This is because the pretreatment with NaOH reduces surface impurities and increases hydrophilicity, optimizing its interface bonding.
Figure 13C shows that the rubber concrete formulated with KH570-pretreated waste rubber particles has an even better interfacial combination. This is attributed to the Si-O-Si groups attached to the surface of the waste rubber particles, strengthening the organic–inorganic interface.
As depicted in Figure 13D, the interfacial combination of the rubber concrete made with waste rubber particles pretreated via high-temperature stirring at 180 °C is optimal, showing intermittent interface cracks. This might be associated with the highly clean surface of the heat-treated waste rubber particles and the formation of an oxide film.
Overall, the best-to-worst interfacial bindings between the waste rubber particles and cement-based concrete are as follows: 180 °C high-temperature stirring pretreatment, KH570 pretreatment, NaOH pretreatment, and untreated waste rubber particles. This trend aligns with the static mechanical properties of the respective rubber concretes that they produce.

4. Conclusions

This study proposed a high-temperature stirring pretreatment method for waste rubber particles to improve the static mechanical properties of rubberized concrete. This paper evaluated the untreated, NaOH-pretreated, KH570-pretreated, and high-temperature-stirred pretreated waste rubber particles in terms of their micro and molecular structure changes. It also carried out theoretical analyses and measured the static mechanical properties of rubberized concrete prepared by replacing 20% of the fine aggregate with waste rubber particles. Furthermore, electron microscopy scanning was used to microscopically characterize the debris at the fracture sites of the rubberized concrete to test the effectiveness of the proposed method. The conclusions are summarized as follows:
  • The high-temperature stirring pretreatment of waste rubber particles at 180 °C removed surface impurities through friction and extrusion. Under the effect of temperature, the rubber hydrocarbons underwent oxidation reactions, forming an oxidation film, which enhanced the surface stiffness of the waste rubber particles and improved the strength and interfacial bonding performance of the rubberized concrete.
  • Compared to rubberized concrete without added rubber, the rubberized concrete prepared by replacing fine aggregate with waste rubber particles experienced varying degrees of strength loss. This strength loss, from smallest to largest, was observed in concrete prepared with waste rubber particles that underwent high-temperature stirring pretreatment, KH570 pretreatment, NaOH pretreatment, and no treatment. The compressive strength recovery rates of the rubberized concrete prepared with high-temperature-stirred pretreated rubber particles were 41.6% at 7 days and 37.3% at 28 days, the split tensile strength recovery rates were 47.3% at 7 days and 60.6% at 28 days, the axial compressive strength recovery rates were 34.1% at 7 days and 18.8% at 28 days, and the static modulus of elasticity recovery rates were 46.8% at 7 days and 26.3% at 28 days. The strength recovery rate of the rubberized concrete obtained by this method is higher than that of rubberized concrete prepared using other pretreatment methods reported in most studies (such as water washing, acid–base solution, the two-stage method, etc.).
  • Although the high-temperature stirring pretreatment of waste rubber particles could not completely compensate for the strength loss caused by the incorporation of waste rubber particles into the concrete, the process is simple, adaptable, and environmentally friendly and involves low strength loss. Therefore, it can be applied in scenarios that do not require high-strength concrete, such as civil construction and ground paving.
  • Although the NaOH and KH570 pretreatment of waste rubber particles can improve the mechanical properties of rubberized concrete to a certain extent, the generation of wastewater and the complexity of the process due to the need for drying limit its application scope.
  • The high-temperature stirring pretreatment of waste rubber particles generates no wastewater and does not require a drying step, so it has great potential for industrialization. However, waste gas is produced during the process. Moreover, although the oxide film formed on the surfaces of waste rubber particles by high-temperature stirring pretreatment can improve the strength of rubberized concrete to a certain extent, the oxidized waste rubber particles may have some impact on the durability of rubberized concrete. At the same time, fluctuations in pretreatment temperature and variations in stirring time may cause differences in the formation of oxide films on the surfaces of waste rubber particles, thereby affecting the effectiveness of the pretreatment. Therefore, future researchers can investigate the effects of different temperatures and stirring times on pretreated waste rubber particles to determine their optimal process conditions.

Author Contributions

Y.J.: Conceptualization; Data curation; Funding acquisition; Investigation; Writing—review & editing; Writing—original draft; C.Z.: Conceptualization;Resources; A.A.: Conceptualization; Data curation; G.L.: Conceptualization;Funding acquisition; M.Z.: Data curation; Writing—review & editing. All authors have read and agreed to the published version of the manuscript.

Funding

This work was supported by the Key Research and Development Plan of Shandong Province (Major Scientific and Technological Innovation Project, 2020CXGC010312).

Data Availability Statement

The data that support the findings of this study are available within this article.

Conflicts of Interest

The authors declare that they have no conflicts of interest.

References

  1. El-Seidy, E.; Chougan, M.; Sambucci, M.; Al-Kheetan, M.J.; Biblioteca, I.; Valente, M.; Ghaffar, S.H. Lightweight alkali-activated materials and ordinary Portland cement composites using recycled polyvinyl chloride and waste glass aggregates to fully replace natural sand. Constr. Build. Mater. 2023, 368, 130399. [Google Scholar] [CrossRef]
  2. Tian, X.; Zhuang, Q.; Han, S.; Li, S.; Liu, H.; Li, L.; Bian, H. A novel approach of reapplication of carbon black recovered from waste tyre pyrolysis to rubber composites. J. Clean. Prod. 2021, 280, 124460. [Google Scholar] [CrossRef]
  3. Grammelis, P.; Margaritis, N.; Dallas, P.; Rakopoulos, D.; Mavrias, G. A review on management of end of life tires (ELTs) and alternative uses of textile fibers. Energies 2021, 14, 571. [Google Scholar] [CrossRef]
  4. Mutalib, N.A.; Mokhatar, S.N.; Budiea, A.M.; Jaini, Z.M.; Kamarudin, A.F.; Noh, M.M. A review: Study on waste rubber as construction material. IOP Conf. Ser. Mater. Sci. Eng. 2021, 1144, 012003. [Google Scholar] [CrossRef]
  5. Thomas, B.S.; Gupta, R.C. Properties of high strength concrete containing scrap tire rubber. J. Clean. Prod. 2016, 113, 86–92. [Google Scholar] [CrossRef]
  6. Liu, H.; Wang, X.; Jiao, Y.; Sha, T. Experimental investigation of the mechanical and durability properties of crumb rubber concrete. Materials 2016, 9, 172. [Google Scholar] [CrossRef]
  7. Du, T.; Yang, Y.; Cao, H.; Si, N.; Kordestani, H.; Sktani, Z.D.I.; Arab, A.; Zhang, C. Rubberized Concrete: Effect of the Rubber Size and Content on Static and Dynamic Behavior. Buildings 2024, 14, 1541. [Google Scholar] [CrossRef]
  8. Jie, X.U.; Yao, Z.; Yang, G.; Han, Q. Research on crumb rubber concrete: From a multi-scale review. Constr. Build. Mater. 2020, 232, 117282. [Google Scholar]
  9. Chen, Z.; Li, L.; Xiong, Z. Investigation on the interfacial behaviour between the rubber-cement matrix of the rubberized concrete. J. Clean. Prod. 2019, 209, 1354–1364. [Google Scholar] [CrossRef]
  10. Zhang, Z.; Wang, S.; Feng, J. Frictional behaviour of the interface between concrete and rubber: Laboratory shear test and its elastoplastic model. Eng. Fract. Mech. 2018, 197, 192–205. [Google Scholar] [CrossRef]
  11. Roychand, R.; Gravina, R.J.; Zhuge, Y.; Ma, X.; Youssf, O.; Mills, J.E. A comprehensive review on the mechanical properties of waste tire rubber concrete. Constr. Build. Mater. 2020, 237, 117651. [Google Scholar] [CrossRef]
  12. Roychand, R.; Gravina, R.J.; Zhuge, Y.; Ma, X.; Mills, J.E.; Youssf, O. Practical rubber pre-treatment approch for concrete use—An experimental study. J. Compos. Sci. 2021, 5, 143. [Google Scholar] [CrossRef]
  13. Awan, H.H.; Javed, M.F.; Yousaf, A.; Aslam, F.; Alabduljabbar, H.; Mosavi, A. Experimental evaluation of untreated and pretreated crumb rubber used in concrete. Crystals 2021, 11, 558. [Google Scholar] [CrossRef]
  14. Mohammadi, I.; Khabbaz, H.; Vessalas, K. Enhancing mechanical performance of rubberised concrete pavements with sodium hydroxide treatment. Mater. Struct. 2016, 49, 813–827. [Google Scholar] [CrossRef]
  15. Youssf, O.; Mills, J.E.; Hassanli, R. Assessment of the mechanical performance of crumb rubber concrete. Constr. Build. Mater. 2016, 125, 175–183. [Google Scholar] [CrossRef]
  16. Najim, K.B.; Hall, M.R. Crumb rubber aggregate coatings/pre-treatments and their effects on interfacial bonding, air entrapment and fracture toughness in self-compacting rubberised concrete (SCRC). Mater. Struct. 2013, 46, 2029–2043. [Google Scholar] [CrossRef]
  17. Huang, B.; Shu, X.; Cao, J. A two-staged surface treatment to improve properties of rubber modified cement composites. Constr. Build. Mater. 2013, 40, 270–274. [Google Scholar] [CrossRef]
  18. Dong, Q.; Huang, B.; Shu, X. Rubber modified concrete improved by chemically active coating and silane coupling agent. Construct. Build. Mater. 2013, 48 (Suppl. C), 116–123. [Google Scholar] [CrossRef]
  19. Turatsinze, A.; Garros, M. On the modulus of elasticity and strain capacity of self-compacting concrete incorporating rubber aggregates. Resour. Conserv. Recycl. 2008, 52, 1209–1215. [Google Scholar]
  20. Kara De Maeijer, P.; Craeye, B.; Blom, J.; Bervoets, L. Crumb rubber in concrete—The barriers for application in the construction industry. Infrastructures 2021, 6, 116. [Google Scholar]
  21. Abd-Elaal, E.S.; Araby, S.; Mills, J.E.; Youssf, O.; Roychand, R.; Ma, X.; Zhuge, Y.; Gravina, R.J. Novel approach to improve crumb rubber concrete strength using thermal treatment. Constr. Build. Mater. 2019, 229, 116901. [Google Scholar] [CrossRef]
  22. National Standard of the People’s Republic of China. GB 50007-2011; Code for Design of Building Foundations and Basements. China Building Material Industry Publishing House: Beijing, China, 2011.
  23. National Standard of the People’s Republic of China. GB/T 3516-2006; Determination of Solvent Extracts in Rubber. Standards Press of China: Beijing, China, 2006.
  24. National Standard of the People’s Republic of China. GB/T 15904-2018; Determination of Polyisoprene Content in Rubber. Standards Press of China: Beijing, China, 2018.
  25. National Standard of the People’s Republic of China. GB/T 50080-2002; Standard for Test Methods of Performance on Ordinary Fresh Concrete. Standards Press of China: Beijing, China, 2002.
  26. National Standard of the People’s Republic of China. GB/T 50081-2016; Standard for Test Methods of Mechanical Properties of Ordinary Concrete. Standards Press of China: Beijing, China, 2016.
  27. Fazli, A.; Rodrigue, D. Recycling waste tires into ground tire rubber (GTR)/rubber compounds: A review. J. Compos. Sci. 2020, 4, 103. [Google Scholar] [CrossRef]
  28. Feng, L.Y.; Chen, A.J.; Liu, H.D. Effect of waste tire rubber particles on concrete abrasion resistance under high-speed water flow. Int. J. Concr. Struct. Mater. 2021, 15, 37. [Google Scholar] [CrossRef]
  29. Medina, N.F.; Garcia, R.; Hajirasouliha, I.; Pilakoutas, K.; Guadagnini, M.; Raffoul, S. Composites with recycled rubber aggregates: Properties and opportunities in construction. Constr. Build. Mater. 2018, 188, 884–897. [Google Scholar] [CrossRef]
  30. Baptista, M.; Martins, I.; Conceição, T.; Reis, P. Multiple representations in the development of students’ cognitive structures about the saponification reaction. Chem. Educ. Res. Pract. 2019, 20, 760–771. [Google Scholar] [CrossRef]
  31. Li, Y.; Zhang, X.; Wang, R.; Lei, Y. Performance enhancement of rubberised concrete via surface modification of rubber: A review. Constr. Build. Mater. 2019, 227, 116691. [Google Scholar] [CrossRef]
  32. Taourit, S.; Le Gac, P.Y.; Bourdet, A.; Van Elslander, A.; Robin, C.; Fayolle, B. Changes in natural rubber mechanical behavior during oxidation: Relationship with oxygen consumption. Polym. Degrad. Stab. 2024, 225, 110787. [Google Scholar] [CrossRef]
  33. Li, G.Y.; Koenig, J.L. A review of rubber oxidation. Rubber Chem. Technol. 2005, 78, 355–390. [Google Scholar]
  34. Xiao, Y.; Huang, Y.; Li, B.; Xu, Y.; Wang, H.; Wang, C.; Bian, H. Wet continuous mixing technology and extrusion rheological properties of carbon black/natural rubber composites. Polym. Eng. Sci. 2024, 64, 1222–1234. [Google Scholar]
  35. Wattana, W.; Phetklung, S.; Jakaew, W.; Chumuthai, S.; Sriam, P.; Chanurai, N. Characterization of mixed biomass pellet made from oil palm and para-rubber tree residues. Energy Procedia 2017, 138, 1128–1133. [Google Scholar] [CrossRef]
  36. Wang, X.; Hong, L.; Wu, H.; Liu, H.; Jia, D. Grafting waste rubber powder and its application in asphalt. Constr. Build. Mater. 2021, 271, 121881. [Google Scholar] [CrossRef]
  37. Dong, R.; Zhao, M. Research on the pyrolysis process of crumb tire rubber in waste cooking oil. Renew. Energy 2018, 125, 557–567. [Google Scholar] [CrossRef]
  38. Sánchez-Olmos, L.A.; Medina-Valtierra, J.; Sathish-Kumar, K.; Sánchez Cardenas, M. Sulfonated char from waste tire rubber used as strong acid catalyst for biodiesel production. Environ. Prog. Sustain. Energy 2017, 36, 619–626. [Google Scholar] [CrossRef]
  39. Zhang, Z.; Li, J.; Wan, C.; Zhang, Y.; Wang, S. Understanding H2O2-induced thermo-oxidative reclamation of vulcanized styrene butadiene rubber at low temperatures. ACS Sustain. Chem. Eng. 2021, 9, 2378–2387. [Google Scholar] [CrossRef]
  40. Williams, D. An application of infrared spectroscopy to rubber chemistry. Physics 1936, 7, 399–402. [Google Scholar] [CrossRef]
  41. Sattayanurak, S.; Sahakaro, K.; Kaewsakul, W.; Dierkes, W.K.; Reuvekamp, L.A.; Blume, A.; Noordermeer, J.W. Synergistic effect by high specific surface area carbon black as secondary filler in silica reinforced natural rubber tire tread compounds. Polym. Test. 2020, 81, 106173. [Google Scholar] [CrossRef]
  42. Grunert, F.; Wehmeier, A.; Blume, A. New insights into the morphology of silica and carbon black based on their different dispersion behavior. Polymers 2020, 12, 567. [Google Scholar] [CrossRef] [PubMed]
  43. Robertson, C.G.; Hardman, N.J. Nature of carbon black reinforcement of rubber: Perspective on the original polymer nanocomposite. Polymers 2021, 13, 538. [Google Scholar] [CrossRef] [PubMed]
  44. Tran, T.Q.; Thomas, B.S.; Zhang, W.; Ji, B.; Li, S.; Brand, A.S. A comprehensive review on treatment methods for end-of-life tire rubber used for rubberized cementitious materials. Constr. Build. Mater. 2022, 359, 129365. [Google Scholar] [CrossRef]
  45. Wręczycki, J.; Bieliński, D.M.; Anyszka, R. Sulfur/organic copolymers as curing agents for rubber. Polymers 2018, 10, 870. [Google Scholar] [CrossRef] [PubMed]
  46. Alam, M.N.; Kumar, V.; Potiyaraj, P.; Lee, D.J.; Choi, J. Synergistic activities of binary accelerators in presence of magnesium oxide as a cure activator in the vulcanization of natural rubber. J. Elastomers Plast. 2022, 54, 123–144. [Google Scholar] [CrossRef]
  47. Kopylov, V.M.; Kostyleva, E.I.; Kostylev, I.M.; Koviazin, A.V. Silica fillers for silicone rubber. Int. Polym. Sci. Technol. 2011, 38, 35–47. [Google Scholar] [CrossRef]
  48. Rácz, L.; Solti, S.; Gresits, I.; Tölgyesi, S.; Benedek, D.; Valentínyi, N.; Mizsey, P. Measurement of rarely investigated trace elements As, P, Sr, Zr, Rb and Y in waste tires. Period. Polytech. Chem. Eng. 2016, 60, 78–84. [Google Scholar] [CrossRef]
  49. Huang, L.; Yu, F.; Liu, Y.; Lu, A.; Song, Z.; Liu, W.; Zhu, C. Structural analyses of the bound rubber in silica-filled silicone rubber nanocomposites reveal mechanisms of filler-rubber interaction. Compos. Sci. Technol. 2023, 233, 109905. [Google Scholar] [CrossRef]
  50. Liu, X.; Zhao, S.; Zhang, X.; Li, X.; Bai, Y. Preparation, structure, and properties of solution-polymerized styrene-butadiene rubber with functionalized end-groups and its silica-filled composites. Polymer 2014, 55, 1964–1976. [Google Scholar] [CrossRef]
  51. Thaiyasuit, P.; Pianthong, K.; Worapun, I. Acid esterification-alkaline transesterification process for methyl ester production from crude rubber seed oil. J. Oleo Sci. 2012, 61, 81–88. [Google Scholar] [CrossRef]
  52. Yassaroh, Y.; Nurhaini, F.F.; Woortman, A.J.; Loos, K. Physicochemical properties of heat-moisture treated, sodium stearate complexed starch: The effect of sodium stearate concentration. Carbohydr. Polym. 2021, 269, 118263. [Google Scholar] [CrossRef] [PubMed]
  53. Zheng, T.; Zheng, X.; Zhan, S.; Zhou, J.; Liao, S. Study on the ozone aging mechanism of Natural Rubber. Polym. Degrad. Stab. 2021, 186, 109514. [Google Scholar] [CrossRef]
  54. Liu, J.; Li, X.; Xu, L.; Zhang, P. Investigation of aging behavior and mechanism of nitrile-butadiene rubber (NBR) in the accelerated thermal aging environment. Polym. Test. 2016, 54, 59–66. [Google Scholar] [CrossRef]
  55. Liu, L.; Wang, C.; Liang, Q.; Chen, F.; Zhou, X. A state-of-the-art review of rubber modified cement-based materials: Cement stabilized base. J. Clean. Prod. 2023, 392, 136270. [Google Scholar] [CrossRef]
  56. Liu, Y.; Lin, Q.; Chen, J.; Shao, Y.; Wang, Y.; Wang, J. PDMS-OH and nano-SiO2 Modified KH570-TEOS silica-sol coating and protective effect on concrete. Colloids Surf. A Physicochem. Eng. Asp. 2022, 648, 129279. [Google Scholar] [CrossRef]
  57. Thiedeitz, M.; Kränkel, T.; Kartal, D.; Timothy, J.J. The Slump Flow of Cementitious Pastes: Simulation vs. Experiments. Materials 2024, 17, 532. [Google Scholar] [CrossRef]
Figure 1. Pretreatment process of waste rubber particles ((A) NaOH; (B) KH570; (C) Stir at 180 °C).
Figure 1. Pretreatment process of waste rubber particles ((A) NaOH; (B) KH570; (C) Stir at 180 °C).
Buildings 14 02162 g001
Figure 2. TGA of untreated waste rubber particles.
Figure 2. TGA of untreated waste rubber particles.
Buildings 14 02162 g002
Figure 3. TGA of pretreated waste rubber particles ((a) NaOH; (b) KH570; (c) stirring at 180 °C).
Figure 3. TGA of pretreated waste rubber particles ((a) NaOH; (b) KH570; (c) stirring at 180 °C).
Buildings 14 02162 g003
Figure 4. FT-IR of waste rubber particles.
Figure 4. FT-IR of waste rubber particles.
Buildings 14 02162 g004
Figure 5. XRD analysis of waste rubber particles.
Figure 5. XRD analysis of waste rubber particles.
Buildings 14 02162 g005
Figure 6. SEM of waste rubber particles ((A) No processed; (B) NaOH; (C) KH570; (D) stirred at 180 °C).
Figure 6. SEM of waste rubber particles ((A) No processed; (B) NaOH; (C) KH570; (D) stirred at 180 °C).
Buildings 14 02162 g006
Figure 7. EDS analysis of waste rubber particles.
Figure 7. EDS analysis of waste rubber particles.
Buildings 14 02162 g007
Figure 8. Trend of element changes.
Figure 8. Trend of element changes.
Buildings 14 02162 g008
Figure 9. Waste rubber granule pretreatment mechanism diagram.
Figure 9. Waste rubber granule pretreatment mechanism diagram.
Buildings 14 02162 g009
Figure 10. Mechanism diagram of oxide film formation on waste rubber particles.
Figure 10. Mechanism diagram of oxide film formation on waste rubber particles.
Buildings 14 02162 g010
Figure 11. Analyses of the slump and air content of rubber concrete.
Figure 11. Analyses of the slump and air content of rubber concrete.
Buildings 14 02162 g011
Figure 12. Mechanical properties of rubberized concrete ((a) cubic compressive strength; (b) splitting tensile strength; (c) axial compressive strength; (d) static elastic modulus).
Figure 12. Mechanical properties of rubberized concrete ((a) cubic compressive strength; (b) splitting tensile strength; (c) axial compressive strength; (d) static elastic modulus).
Buildings 14 02162 g012
Figure 13. SEM of the bond between the concrete matrix and rubber particles ((A) not processed; (B) NaOH; (C) KH570; (D) stirred at 180 °C).
Figure 13. SEM of the bond between the concrete matrix and rubber particles ((A) not processed; (B) NaOH; (C) KH570; (D) stirred at 180 °C).
Buildings 14 02162 g013
Table 1. Concrete test mix ratios.
Table 1. Concrete test mix ratios.
SamplesMethodsWaste Rubber Granules (kg)Sand (kg)Stone (kg)Cement (kg)Water-Reducing Agent (kg)
0No rubber-67211734203.7
1No processed55537.611734203.7
2NaOH55537.611734203.7
3KH57055537.611734203.7
4Stir at 180 °C55537.611734203.7
Table 2. Waste rubber particle composition analysis.
Table 2. Waste rubber particle composition analysis.
SamplesWeight Loss(%)
ComponentWeight Loss under N2 Atmosphere (Total Organic Content)Weight Loss under O2 Atmosphere (Total Carbon Black Content)Ash Content
Low-Molecular-Weight OrganicsRubber Hydrocarbons
No processed16.452753.317724.51535.7143
NaOH12.250155.366125.31717.0667
KH57013.366156.251126.3314.0518
Stir at 180 °C7.000152.317829.034911.6472
Table 3. Calculation table of acetone extract from waste rubber particles.
Table 3. Calculation table of acetone extract from waste rubber particles.
Samplem1 (g)m2 (g)X1 (%)X (%)
No processed0.99870.92390.00367.4861
NaOH0.99300.92380.00376.9163
KH5700.89810.83240.00367.3118
Stir at 180 °C0.99100.93010.00346.1419
Table 4. Calculation of polyisoprene content.
Table 4. Calculation of polyisoprene content.
SampleV1 (mL)V1 (mL)C (mol/L)M (g)Wp (%)
Not processed100880.050.227.24
NaOH100870.050.229.51
KH570100880.050.227.24
Stirred at 180 °C100890.050.224.97
Table 5. Components of waste rubber particles (mass fraction %).
Table 5. Components of waste rubber particles (mass fraction %).
SampleAcetone ExtractPolyisopreneOther Rubber HydrocarbonCarbon BlackAsh
No processed7.486127.2435.044324.51535.7143
NaOH6.916329.5131.189925.31717.0667
KH5707.311827.2434.056426.3314.0518
Stir at 180 °C6.141924.9728.20629.034911.6472
Disclaimer/Publisher’s Note: The statements, opinions and data contained in all publications are solely those of the individual author(s) and contributor(s) and not of MDPI and/or the editor(s). MDPI and/or the editor(s) disclaim responsibility for any injury to people or property resulting from any ideas, methods, instructions or products referred to in the content.

Share and Cite

MDPI and ACS Style

Jing, Y.; Zhang, C.; Arab, A.; Lin, G.; Zhao, M. High-Temperature Stirring Pretreatment of Waste Rubber Particles Enhances the Interfacial Bonding and Mechanical Properties of Rubberized Concrete. Buildings 2024, 14, 2162. https://doi.org/10.3390/buildings14072162

AMA Style

Jing Y, Zhang C, Arab A, Lin G, Zhao M. High-Temperature Stirring Pretreatment of Waste Rubber Particles Enhances the Interfacial Bonding and Mechanical Properties of Rubberized Concrete. Buildings. 2024; 14(7):2162. https://doi.org/10.3390/buildings14072162

Chicago/Turabian Style

Jing, Yuan, Chunwei Zhang, Ali Arab, Guangyi Lin, and Meng Zhao. 2024. "High-Temperature Stirring Pretreatment of Waste Rubber Particles Enhances the Interfacial Bonding and Mechanical Properties of Rubberized Concrete" Buildings 14, no. 7: 2162. https://doi.org/10.3390/buildings14072162

APA Style

Jing, Y., Zhang, C., Arab, A., Lin, G., & Zhao, M. (2024). High-Temperature Stirring Pretreatment of Waste Rubber Particles Enhances the Interfacial Bonding and Mechanical Properties of Rubberized Concrete. Buildings, 14(7), 2162. https://doi.org/10.3390/buildings14072162

Note that from the first issue of 2016, this journal uses article numbers instead of page numbers. See further details here.

Article Metrics

Back to TopTop