Derivation and Application of Analytical Coupling Loss Coefficient by Transfer Function in Soil–Building Vibration
Abstract
1. Introduction
2. Theoretical Study of the Transfer Function Method
2.1. Propagation Law of Rayleigh Waves
2.2. Equation Derivation of Coupling Loss Coefficients
3. Verification of the Derived Results for the Coupling Loss Coefficient
- Shear wave velocity: Cs1 = 150 m/s
- Poisson’s ratio: ν = 0.35
- Density: ρ = 1900 kg/m³
- Shear modulus: G1 = 42.75 MPa
- Elastic modulus: E = 115.425 MPa
- Shear wave velocity: Cs2 = 2236.08 m/s
- Poisson’s ratio: ν′ = 0.2
- Density: ρ′ = 2500 kg/m³
- Shear modulus: G2 = 125 GPa
- Elastic modulus: E′ = 30 GPa
- Building foundation side length: Bf = 1.5 m
- Thickness: h = 0.6 m
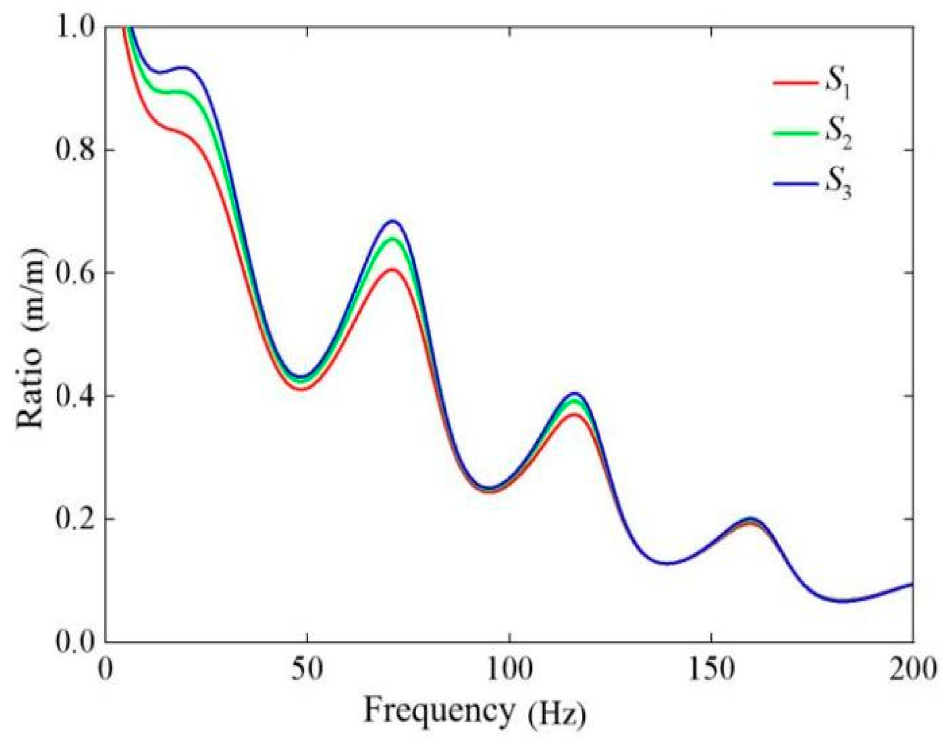
3.1. Effect of Different Parameters on Coupling Loss Coefficient
- Shear wave velocity: Cs1 = 150 m/s
- Poisson’s ratio: ν = 0.35
- Density: ρ = 1900 kg/m³
- Shear modulus: G1 = 42.75 MPa
- Elastic modulus: E = 115.425 MPa
- Shear wave velocity: Cs2 = 2236.08 m/s
- Poisson’s ratio: ν′ = 0.2
- Density: ρ′ = 2500 kg/m³
- Shear modulus: G2 = 125 GPa
- Elastic modulus: E′ = 30 GPa
- Building foundation side length: Bf = 1.5 m
- Thickness: h = 0.6 m
3.2. Angle Effect on Coupling Loss Coefficient
3.3. Effect of Building Foundation Parameters on Coupling Loss Coefficient
3.3.1. Effect of Building Foundation Size
3.3.2. Effect of Building Foundation Density
3.3.3. Effect of Elastic Modulus of Building Foundation
3.4. Effect of Soil Parameter Variation on Coupling Loss Coefficient
3.4.1. Effect of Soil Mass Elastic Modulus E on Coupling Loss Coefficient
3.4.2. Effect of Soil Mass Density on Coupling Loss Coefficient
3.4.3. Effect of Soil Poisson’s Ratio on Coupling Loss Coefficient
4. Case Study: Building Foundation Response under Ricker Pulse
4.1. Solution of Vertical Displacement Response of Free Field under Ricker Pulse
4.2. Solution for the Coupling Loss Coefficient of Building Foundation
4.3. Solution of Vertical Displacement of Building Foundation
5. Application Case: Prediction of High-Speed Train-Induced Soil–Structure Vibration
6. Conclusions
Author Contributions
Funding
Data Availability Statement
Conflicts of Interest
References
- Krylov, V.V. On the Theory of Railway-Induced Ground Vibrations. J. De Phys. IV 1994, 4, 769–772. [Google Scholar] [CrossRef]
- Krylov, V.V. Generation of Ground Vibrations by Superfast Trains. Appl. Acoust. 1995, 44, 149–164. [Google Scholar] [CrossRef]
- Krylov, V.V. Effects of Track Properties on Ground Vibrations Generated by High-Speed Trains. Acust.-Acta Acust. 1998, 84, 78–90. [Google Scholar]
- Kurzweil, L.; Cobb, W.; Dinning, M. Urban Rail Noise Abatement Program: A Description; Urban Mass Transportation Administration: Washington, DC, USA, 1980. [Google Scholar]
- Hirokazu, T.; Taro, U.; Satoshi, F. Component modal synthesis method for 3D seismic response analysis of subground-foundation-superstructure systems. World Earthq. Eng. 1988, 4, 43–47. [Google Scholar]
- Yue, J. Measurement and Numerical Simulation Analysis of building vibration caused by subway traffic. J. Petrol. Geophys. 2020, 41, 2756–2764. [Google Scholar]
- Lei, F. Research on Prediction Method of Environmental Vibration Caused by High-Speed Train Based on Random Forest Algorithm; Beijing Jiaotong University: Beijing, China, 2020. [Google Scholar]
- Colaço, A.; Costa, P.A.; Amado-Mendes, P.; Calçada, R. Vibrations induced by railway traffic in buildings: Experimental validation of a sub-structuring methodology based on 2.5D FEM-MFS and 3D FEM. Eng. Struct. 2021, 240, 112381. [Google Scholar] [CrossRef]
- Colaço, A.; Costa, P.A.; Castanheira-Pinto, A.; Amado-Mendes, P.; Calçada, R. Experimental Validation of a simplified soil-structure interaction approach for the prediction of vibrations in buildings due to railway traffic. Soil Dyn. Earthq. Eng. 2021, 141, 106499. [Google Scholar] [CrossRef]
- Colaço, A.; Barbosa, D.; Costa, P.A. Hybrid soil-structure interaction approach for the assessment of vibrations in buildings due to railway traffic. Transp. Geotech. 2022, 32, 100691. [Google Scholar] [CrossRef]
- Sadeghi, J.; Vasheghani, M. Safety of buildings against train induced structure borne noise. Build. Environ. 2021, 197, 107784. [Google Scholar] [CrossRef]
- Farahani, M.V.; Sadeghi, J.; Jahromi, S.G.; Sahebi, M.M. Modal based method to predict subway train-induced vibration in buildings. Structures 2023, 47, 557–572. [Google Scholar] [CrossRef]
- Sadeghi, J.; Vasheghani, M. Improvement of current codes in design of concrete frame buildings: Incorporating train-induced structure borne noise. J. Build. Eng. 2022, 58, 104955. [Google Scholar] [CrossRef]
- Ibrahim, Y.E.; Nabil, M. Finite element analysis of multistory structures subjected to train induced vibrations considering soil-structure in-teraction. Case Stud. Constr. Mater. 2021, 15, 100592. [Google Scholar]
- ISO 14837-1; Mechanical Vibration–Groundborne Noise and Vibration Arising from Rail Systems—Part 1: General Guidance. International Organization for Standardization: Geneva, Switzerland, 2005.
- Richart, F.E., Jr.; Hall, J.R., Jr.; Woods, R.D. Vibration of Soil and Foundation; Prentice-Hall: Saddle River, NJ, USA, 1970. [Google Scholar]
- Zhao, R. Theoretical Research and Numerical Analysis of Effects of Filling Ditch on Environmental Vibration Caused by Running Trains; Beijing Jiaotong University: Beijing, China, 2017. [Google Scholar]
- Du, X.-L. Theories and Methods of Wave Motion for Engineering; Science Press: Beijing, China, 2009. (In Chinese) [Google Scholar]
- Maurice, J.Y. The reflection and transmission of Rayleigh waves. Univ. Appl. Phys. 2012, 112, 103520. [Google Scholar]
- Lapwood, E.R. The Transmission of a Rayleigh Pulse round a corner. Geophys. J. R. Astron. Soc. 1961, 4, 174–196. [Google Scholar] [CrossRef]
- Asadi Jafari, M.H.; Zarastvand, M.; Zhou, J. Doubly curved truss core composite shell system for broadband diffuse acoustic insulation. J. Vib. Control 2023. [Google Scholar] [CrossRef]
- Qiu, Y.; Zou, C.; Hu, J.; Chen, J. Prediction and mitigation of building vibrations caused by train operations on concrete floors. Appl. Acoust. 2024, 219, 109941. [Google Scholar] [CrossRef]
- Hu, J.; Zou, C.; Liu, Q.; Li, X.; Tao, Z. Floor vibration predictions based on train-track-building coupling model. J. Build. Eng. 2024, 89, 109340. [Google Scholar] [CrossRef]
- He, L.; Tao, Z. Building Vibration Measurement and Prediction during Train Operations. Buildings 2024, 14, 142. [Google Scholar] [CrossRef]
- Ma, M.; Xu, L.H.; Liu, W.F.; Tan, X. Semi-analytical solution of a coupled tunnel-soil periodic model with a track slab under a moving train load. Appl. Math. Model. 2024, 128, 588–608. [Google Scholar] [CrossRef]
- Bucinskas, P.; Andersen, L.V. Semi-analytical approach to modelling the dynamic behaviour of soil excited by embedded foundations. Procedia Eng. 2017, 199, 2621–2626. [Google Scholar] [CrossRef]
- Bucinskas, P.; Andersen, L.V. Dynamic response of vehicle–bridge–soil system using lumped parameter models for structure–soil interaction. Comput. Struct. 2020, 238, 106270. [Google Scholar] [CrossRef]
- Persson, P.; Andersen, L.; Persson, K.; Bucinskas, P. Effect of structural design on traffic-induced building vibrations. Procedia Eng. 2017, 199, 2711–2716. [Google Scholar] [CrossRef]
- Bucinskas, P.; Ntotsios, E.; Thompson, D.J.; Andersen, L.V. Modelling train-induced vibration of structures using a mixed-frame-of-reference approach. J. Sound Vib. 2021, 491, 115575. [Google Scholar] [CrossRef]
- Bucinskas, P.; Persson, K. Numerical modelling of ground vibration caused by elevated high-speed railway lines considering structure-soil-structure interaction. Inst. Noise Control Eng. 2016, 253, 7017–7028. [Google Scholar]





























| Type | Elastic Modulus E/MPa | Poisson | Density (kg/m3) | Thickness (m) |
|---|---|---|---|---|
| Backfill | 29 | 0.4 | 1700 | 1 |
| Sand clay | 127 | 0.33 | 1880 | 3 |
| Coarse sand | 150 | 0.33 | 1918 | 4 |
| Gravel sand | 430 | 0.29 | 1211 | 40 |
Disclaimer/Publisher’s Note: The statements, opinions and data contained in all publications are solely those of the individual author(s) and contributor(s) and not of MDPI and/or the editor(s). MDPI and/or the editor(s) disclaim responsibility for any injury to people or property resulting from any ideas, methods, instructions or products referred to in the content. |
© 2024 by the authors. Licensee MDPI, Basel, Switzerland. This article is an open access article distributed under the terms and conditions of the Creative Commons Attribution (CC BY) license (https://creativecommons.org/licenses/by/4.0/).
Share and Cite
Yao, J.; Wu, Z.; Cao, X.; Wu, N.; Zhang, N. Derivation and Application of Analytical Coupling Loss Coefficient by Transfer Function in Soil–Building Vibration. Buildings 2024, 14, 1933. https://doi.org/10.3390/buildings14071933
Yao J, Wu Z, Cao X, Wu N, Zhang N. Derivation and Application of Analytical Coupling Loss Coefficient by Transfer Function in Soil–Building Vibration. Buildings. 2024; 14(7):1933. https://doi.org/10.3390/buildings14071933
Chicago/Turabian StyleYao, Jinbao, Zhaozhi Wu, Xiaofeng Cao, Nianping Wu, and Nan Zhang. 2024. "Derivation and Application of Analytical Coupling Loss Coefficient by Transfer Function in Soil–Building Vibration" Buildings 14, no. 7: 1933. https://doi.org/10.3390/buildings14071933
APA StyleYao, J., Wu, Z., Cao, X., Wu, N., & Zhang, N. (2024). Derivation and Application of Analytical Coupling Loss Coefficient by Transfer Function in Soil–Building Vibration. Buildings, 14(7), 1933. https://doi.org/10.3390/buildings14071933

