Opportunities and Barriers of Calibrating Residential Building Performance Simulation Models Using Monitored and Survey-Based Occupant Behavioural Data: A Case Study in Northern Spain
Abstract
1. Introduction
- How does the calibrated model improve upon the standardised model?
- What limitations discern the calibration of social and collective housing buildings?
2. Methodology
2.1. Data Collection
2.1.1. Envelope Factors (E)
2.1.2. Outdoor Factors (O)
2.1.3. Indoor Factors (I)
2.2. Energy Modelling and Building Performance Simulation
2.3. Comparative Analysis
- NMBE—Normalised mean bias error (Equation (1)): It provides the normalised mean bias error between the real data (r) and the simulated data (s) in percentage. The null value is the maximum accuracy of the simulated data concerning the real data, being positive or negative values as overestimated or underestimated predictions of the simulation data.
- CV-RMSE—Coefficient of variation of the root mean square error (Equation (2)): It provides the coefficient of error variability between the real data and simulated data normalised by the mean value. The null value is the maximum accuracy of the simulated data, rendering only positive values.
- CIF—Calibration improvement factor (Equation (3)): It provides the improvement ratio of the CM concerning the NM according to each of the two previous statistical p parameters (NMBE, CV-RMSE). The CIF indicates the gradient between the p statistical parameters (NMBE, CV-RMSE) of the NM and the CM in percentage. The positive value means an increase in the calibration accuracy, while the negative value means a decrease.
3. Results
3.1. Data Collection
3.1.1. Envelope Factors (E)
3.1.2. Outdoor Factors (O)
3.1.3. Indoor Factors (I)
3.2. Energy Modelling and Building Performance Simulation
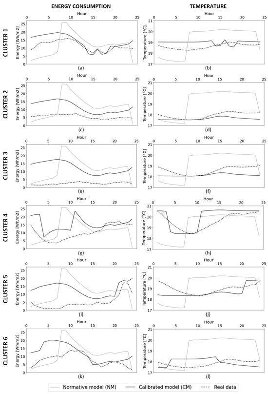
3.3. Comparative Analysis
4. Discussion
5. Conclusions
Author Contributions
Funding
Institutional Review Board Statement
Data Availability Statement
Acknowledgments
Conflicts of Interest
References
- Pan, Y.; Zhu, M.; Lv, Y.; Yang, Y.; Liang, Y.; Yin, R.; Yang, Y.; Jia, X.; Wang, X.; Zeng, F.; et al. Building energy simulation and its application for building performance optimization: A review of methods, tools, and case studies. Adv. Appl. Energy 2023, 10, 100135. [Google Scholar] [CrossRef]
- European Union. Directive (EU). 2024/1275 of the European Parliament and of the Council of 24 of April 2024. Available online: https://eur-lex.europa.eu/legal-content/EN/TXT/?uri=OJ:L_202401275&pk_keyword=Energy&pk_content=Directive (accessed on 1 June 2023).
- Chong, A.; Gu, Y.; Jia, H. Calibrating building energy simulation models: A review of the basics to guide future work. Energy Build. 2021, 253, 111533. [Google Scholar] [CrossRef]
- Winkelmann, F.C.; Birdsall, B.E.; Buhl, W.F.; Ellington, K.L.; Erdem, A.E.; Hirsch, J.J.; Gates, S. DOE-2 Supplement: Version 2.1E; Lawrence Berkeley National Lab. (LBNL): Berkeley, CA, USA; Hirsch (James J.) and Associates: Camarillo, CA, USA, 1993. [CrossRef]
- Crawley, D.B.; Lawrie, L.K.; Winkelmann, F.C.; Buhl, W.F.; Huang, Y.J.; Pedersen, C.O.; Strand, R.K.; Liesen, R.J.; Fisher, D.E.; Witte, M.J.; et al. EnergyPlus: Creating a new-generation building energy simulation program. Energy Build. 2001, 33, 319–331. [Google Scholar] [CrossRef]
- Klein, S.A.; Beckman, W.A. TRNSYS 16: A Transient System Simulation program: Mathematical Reference—Volume 5. Trnsys 2007, 5, 389–396. [Google Scholar]
- ESRU. The ESP-r System for Building Energy Simulation: User Guide Version 10 Series; University of Strathclyde: Glasgow, Scotland, 2002; p. 63. [Google Scholar]
- Coleman, S.; Touchie, M.F.; Robinson, J.B.; Peters, T. Rethinking performance gaps: A regenerative sustainability approach to built environment performance assessment. Sustainability 2018, 10, 4829. [Google Scholar] [CrossRef]
- Sunikka-Blank, M.; Galvin, R. Introducing the prebound effect: The gap between performance and actual energy consumption. Build. Res. Inf. 2012, 40, 260–273. [Google Scholar] [CrossRef]
- Cozza, S.; Chambers, J.; Deb, C.; Scartezzini, J.L.; Schlüter, A.; Patel, M.K. Do energy performance certificates allow reliable predictions of actual energy consumption and savings? Learning from the Swiss national database. Energy Build. 2020, 224, 110235. [Google Scholar] [CrossRef]
- Cuerda, E.; Guerra-Santin, O.; Sendra, J.J.; Neila, F.J. Understanding the performance gap in energy retrofitting: Measured input data for adjusting building simulation models. Energy Build. 2020, 209, 109688. [Google Scholar] [CrossRef]
- Coakley, D.; Raftery, P.; Keane, M. A review of methods to match building energy simulation models to measured data. Renew. Sustain. Energy Rev. 2014, 37, 123–141. [Google Scholar] [CrossRef]
- ASHRAE. Measurement of Energy, Demand, and Water Savings. In ASHRAE Guideline 14-2014; ASHRAE: Peachtree Corners, GA, USA, 2014. [Google Scholar]
- Bhandari, M.; Shrestha, S.; New, J. Evaluation of weather datasets for building energy simulation. Energy Build. 2012, 49, 109–118. [Google Scholar] [CrossRef]
- ANSI; ASHRAE. ASHRAE Guideline 14—2002 Measurement of Energy and Demand Savings. Ashrae 2002, 8400, 170. [Google Scholar]
- Ruiz, G.; Bandera, C. Validation of Calibrated Energy Models: Common Errors. Energies 2017, 10, 1587. [Google Scholar] [CrossRef]
- Efficiency Valuation Organization. International Performance Measurement and Verification Protocol; Efficiency Valuation Organization (EVO): Washington, DC, USA, 2023. [Google Scholar]
- US Department of Energy. M&V Guidelines: Measurement and Verification for Federal Energy Projects Version 2.2; Lawrence Berkeley National Laboratory: Berkeley, CA, USA, 2008.
- Chen, S.; Zhang, G.; Xia, X.; Chen, Y.; Setunge, S.; Shi, L. The impacts of occupant behavior on building energy consumption: A review. Sustain. Energy Technol. Assess. 2021, 45, 101212. [Google Scholar] [CrossRef]
- Charlier, D. Explaining the energy performance gap in buildings with a latent profile analysis. Energy Policy 2021, 156, 112480. [Google Scholar] [CrossRef]
- van den Brom, P.; Meijer, A.; Visscher, H. Performance gaps in energy consumption: Household groups and building characteristics. Build. Res. Inf. 2018, 46, 54–70. [Google Scholar] [CrossRef]
- D’Oca, S.; Gunay, H.B.; Gilani, S.; O’Brien, W. Critical review and illustrative examples of office occupant modelling formalisms. Build. Serv. Eng. Res. Technol. 2019, 40, 732–757. [Google Scholar] [CrossRef]
- Guerra-Santin, O.; Bosch, H.; Budde, P.; Konstantinou, T.; Boess, S.; Klein, T.; Silvester, S. Considering user profiles and occupants’ behaviour on a zero energy renovation strategy for multi-family housing in the Netherlands. Energy Effic. 2018, 11, 1847–1870. [Google Scholar] [CrossRef]
- Cuerda, E.; Guerra-Santin, O.; Sendra, J.J.; Neila González, F.J. Comparing the impact of presence patterns on energy demand in residential buildings using measured data and simulation models. Build. Simul. 2019, 12, 985–998. [Google Scholar] [CrossRef]
- Salvia, G.; Morello, E.; Rotondo, F.; Sangalli, A.; Causone, F.; Erba, S.; Pagliano, L. Performance gap and occupant behavior in building retrofit: Focus on dynamics of change and continuity in the practice of indoor heating. Sustainability 2020, 12, 5820. [Google Scholar] [CrossRef]
- Mahecha Zambrano, J.; Filippi Oberegger, U.; Salvalai, G. Towards integrating occupant behaviour modelling in simulation-aided building design: Reasons, challenges and solutions. Energy Build. 2021, 253, 111498. [Google Scholar] [CrossRef]
- Eurostat. Disaggregated Final Energy Consumption in Households—Quantities. Available online: https://ec.europa.eu/eurostat/databrowser/view/nrg_d_hhq/default/table?lang=en (accessed on 31 August 2023).
- Design Builder. Design Builder Simulation Tool. 2022. Available online: https://designbuilder.co.uk/ (accessed on 1 June 2023).
- U.S. Department of Energy’s (DOE) Building Technologies Office (BTO). Energy Plus Energy Simulation Tool. 2001. Available online: https://energyplus.net/ (accessed on 1 June 2023).
- ASHRAE. International Weather Files for Energy Calculations 2.0 (IWEC2). 2012. Available online: https://www.ashrae.org/technical-resources/bookstore/ashrae-international-weather-files-for-energy-calculations-2-0-iwec2 (accessed on 1 June 2023).
- Ministerio de Transportes Movilidad y Agenda Urbana. Gobierno de España. CTE—Código Técnico de la Edificación. 2019. Available online: https://www.codigotecnico.org/ (accessed on 1 June 2023).
- Perez-Bezos, S.; Guerra-Santin, O.; Grijalba, O.; Hernandez-Minguillon, R.J. Occupants’ behavioural diversity regarding the indoor environment in social housing. Case study in Northern Spain. J. Build. Eng. 2023, 77, 107290. [Google Scholar] [CrossRef]
- Ciulla, G.; D’Amico, A. Building energy performance forecasting: A multiple linear regression approach. Appl. Energy 2019, 253, 113500. [Google Scholar] [CrossRef]
- Yun, K.; Luck, R.; Mago, P.J.; Cho, H. Building hourly thermal load prediction using an indexed ARX model. Energy Build. 2012, 54, 225–233. [Google Scholar] [CrossRef]
- Chae, Y.T.; Horesh, R.; Hwang, Y.; Lee, Y.M. Artificial neural network model for forecasting sub-hourly electricity usage in commercial buildings. Energy Build. 2016, 111, 184–194. [Google Scholar] [CrossRef]
- Yezioro, A.; Dong, B.; Leite, F. An applied artificial intelligence approach towards assessing building performance simulation tools. Energy Build. 2008, 40, 612–620. [Google Scholar] [CrossRef]
- ASHRAE. Guideline 14-2014: Measurement of Energy, Demand, and Water Savings. 2014. Available online: https://webstore.ansi.org/standards/ashrae/ashraeguideline142014 (accessed on 1 June 2023).
- IPMVP. Concepts and Options for Determining Energy and Water Savings. 2002. Available online: https://www.nrel.gov/docs/fy02osti/31505.pdf (accessed on 1 June 2023).
- FEMP. M&V Guidelines: Measurement and Verification for Performance-Based Contracts. 2015. Available online: https://www.energy.gov/node/1413841 (accessed on 1 June 2023).
- Beck, H.E.; Zimmermann, N.E.; McVicar, T.R.; Vergopolan, N.; Berg, A.; Wood, E.F. Present and future Köppen-Geiger climate classification maps at 1-km resolution. Sci. Data 2018, 5, 180214. [Google Scholar] [CrossRef] [PubMed]
- Lawrence Berkeley National Laboratory. Therm 7 Software; version 7; U.S. Department of Energy National Laboratory: Livermore, CA, USA, 2017.
- Basque Government. Open Data Euskadi. 2023. Available online: https://opendata.euskadi.eus/ (accessed on 4 August 2023).
- Li, G.; Xiong, J.; Sun, S.; Chen, J. Validation of virtual sensor-assisted Bayesian inference-based in-situ sensor calibration strategy for building HVAC systems. Build. Simul. 2023, 16, 185–203. [Google Scholar] [CrossRef]
- Zhang, Z.; Chong, A.; Pan, Y.; Zhang, C.; Lam, K.P. Whole building energy model for HVAC optimal control: A practical framework based on deep reinforcement learning. Energy Build. 2019, 199, 472–490. [Google Scholar] [CrossRef]
- Palaić, D.; Štajduhar, I.; Ljubic, S.; Wolf, I. Development, Calibration, and Validation of a Simulation Model for Indoor Temperature Prediction and HVAC System Fault Detection. Buildings 2023, 13, 1388. [Google Scholar] [CrossRef]
- Manfren, M.; James, P.A.; Tronchin, L. Data-driven building energy modelling—An analysis of the potential for generalisation through interpretable machine learning. Renew. Sustain. Energy Rev. 2022, 167, 112686. [Google Scholar] [CrossRef]
- Aparicio-Fernández, C.; Vivancos, J.-L.; Cosar-Jorda, P.; Buswell, R.A. Energy Modelling and Calibration of Building Simulations: A Case Study of a Domestic Building with Natural Ventilation. Energies 2019, 12, 3360. [Google Scholar] [CrossRef]
- Bansal, P.; Vineyard, E.; Abdelaziz, O. Advances in household appliances—A review. Appl. Therm. Eng. 2011, 31, 3748–3760. [Google Scholar] [CrossRef]
- Nishimwe, A.M.R.; Reiter, S. Building heat consumption and heat demand assessment, characterization, and mapping on a regional scale: A case study of the Walloon building stock in Belgium. Renew. Sustain. Energy Rev. 2021, 135, 110170. [Google Scholar] [CrossRef]
- Mahdavi, A.; Berger, C.; Amin, H.; Ampatzi, E.; Andersen, R.K.; Azar, E.; Barthelmes, V.M.; Favero, M.; Hahn, J.; Khovalyg, D.; et al. The Role of Occupants in Buildings’ Energy Performance Gap: Myth or Reality? Sustainability 2021, 13, 3146. [Google Scholar] [CrossRef]
- Ratajczak, K.; Michalak, K.; Narojczyk, M.; Amanowicz, Ł. Real Domestic Hot Water Consumption in Residential Buildings and Its Impact on Buildings’ Energy Performance—Case Study in Poland. Energies 2021, 14, 5010. [Google Scholar] [CrossRef]







| Parameter Group | Input Parameter | Normative Model (NM) | Calibrated Model (CM) |
|---|---|---|---|
| Envelope factors (E) | Thermal envelope features | Building data | Building data |
| Internal partition | Building data | Building data | |
| Geometry | Building data | Building data | |
| Outdoor factors (O) | Weather file | Standard weather data | Weather real data |
| Indoor factors (I) | Occupation—Density | Normative data (TBC) | OB real data |
| Occupation—Schedule | Normative data (TBC) | OB real data | |
| Heating—Setpoint /Setback | Normative data (TBC) | OB real data | |
| Heating—Schedule | Normative data (TBC) | OB real data | |
| Ventilation | Normative data (TBC) | Normative data (TBC) | |
| Internal gains | Normative data (TBC) | Normative data (TBC) |
| Element | Thickness [m] | U [W/(m2·K)] |
|---|---|---|
| Façade F1 | 0.235 | 0.382 |
| Façade F2 | 0.245 | 0.397 |
| Roof | 0.445 | 0.454 |
| Exterior floor | 0.395 | 0.810 |
| Window frame | 0.070 | 5.014 |
| Window glass | 0.020 | 2.782 |
| Joint | Ψ [W/(m·K)] |
|---|---|
| Façade F1—Slab | 0.551 |
| Façade F1—Window–Lintel | 0.401 |
| Façade F2—Slab | 0.308 |
| Façade F2—Window-Lintel | 0.372 |
| Parameter Group | NM | CM-c1 | CM-c2 | CM-c3 | CM-c4 | CM-c5 | CM-c6 |
|---|---|---|---|---|---|---|---|
| Envelope factors (E) | (Building data according to the as-built project. Same values for all models as detailed in Table 2) (1) | ||||||
| Outdoor factors (O) | |||||||
| Weather file (.epw) | Vitoria-Gasteiz standard file (2) | Created with data from the weather station in Vitoria-Gasteiz (42.8604, −2.68899) (3) | |||||
| Indoor factors (I) | |||||||
| Occupation—Density [no. people/m2] | 0.0300 (4) | 0.0301 (5) | 0.0286 (5) | 0.0415 (5) | 0.0321 (5) | 0.0455 (5) | 0.0237 (5) |
| Heating—Setpoint [°C] | 20.00 (4) | 19.02 (5) | 18.32 (5) | 19.00 (5) | 20.54 (5) | 19.72 (5) | 18.24 (5) |
| Heating—Setback [°C] | 17.00 (4) | 18.27 (5) | 17.51 (5) | 18.05 (5) | 18.42 (5) | 18.35 (5) | 17.43 (5) |
| Ventilation flow [ren/h] | 3.00 (4) | 3.00 (4) | 3.00 (4) | 3.00 (4) | 3.00 (4) | 3.00 (4) | 3.00 (4) |
| Lighting gains [W/m2] | 3.40 (4) | 3.40 (4) | 3.40 (4) | 3.40 (4) | 3.40 (4) | 3.40 (4) | 3.40 (4) |
| Internal gains [W/m2] | 4.40 (4) | 4.40 (4) | 4.40 (4) | 4.40 (4) | 4.40 (4) | 4.40 (4) | 4.40 (4) |
| Occupation—Schedule (hourly occupancy rate) | 00-06: 1.00 07-14: 0.35 15-23: 0.95 (4) | 00-06: 1.00 07-14: 0.33 15-23: 0.95 (5) | 00-06: 1.00 07-14: 0.33 15-23: 0.92 (5) | 00-06: 1.00 07-14: 0.30 15-23: 0.87 (5) | 00-06: 0.92 07-14: 0.52 15-23: 0.92 (5) | 00-06: 1.00 07-14: 0.17 15-23: 0.65 (5) | 00-06: 1.00 07-14: 0.29 15-23: 0.96 (5) |
| Heating—Schedule (hourly heating use rate) | 00-06: 0.50 07-22: 1.00 23-23: 0.50 (4) | 00-12: 1.00 13-14: 0.50 15-15: 1.00 16-17: 0.50 18-23: 1.00 (5) | 00-23: 0.50 (5) | 00-23: 0.50 (5) | 00-02: 1.00 03-09: 0.50 10-23: 1.00 (5) | 00-19: 0.50 20-23: 1.00 (5) | 00-02: 0.50 03-13: 1.00 14-23: 0.50 (5) |
| Model | Mean Energy [Wh/m2] | Min. Energy [Wh/m2] | Max. Energy [Wh/m2] | STD Energy | Mean Temp. [°C] | Min. Temp. [°C] | Max. Temp. [°C] | SD Temp. |
|---|---|---|---|---|---|---|---|---|
| NM | 13.68 | 0.02 | 24.88 | 5.87 | 18.99 | 18.27 | 20.72 | 0.28 |
| CM-c1 | 11.54 | 0.06 | 21.89 | 5.02 | 17.63 | 17.51 | 19.76 | 0.27 |
| Real-data c1 | 11.24 | 0.00 | 406.78 | 17.24 | 18.62 | 14.32 | 24.86 | 1.56 |
| CM-c2 | 12.37 | 0.16 | 22.80 | 5.14 | 18.15 | 18.05 | 20.10 | 0.24 |
| Real-data c2 | 5.51 | 0.00 | 262.09 | 12.81 | 17.93 | 11.87 | 23.51 | 1.12 |
| CM-c3 | 15.20 | 1.73 | 29.97 | 5.68 | 19.95 | 18.42 | 21.57 | 0.96 |
| Real-data c3 | 2.55 | 0.00 | 328.23 | 11.17 | 18.57 | 12.41 | 24.65 | 1.44 |
| CM-c4 | 13.17 | 0.14 | 26.82 | 5.46 | 18.67 | 18.35 | 20.39 | 0.53 |
| Real-data c4 | 10.28 | 0.00 | 476.29 | 20.63 | 19.61 | 11.48 | 25.64 | 1.63 |
| CM-c5 | 12.03 | 0.00 | 25.85 | 6.35 | 17.94 | 17.43 | 20.03 | 0.44 |
| Real-data c5 | 4.88 | 0.00 | 318.69 | 17.08 | 18.96 | 14.51 | 25.48 | 1.25 |
| CM-c6 | 11.58 | 0.00 | 33.13 | 7.87 | 19.19 | 17.00 | 21.54 | 1.28 |
| Real-data c6 | 7.80 | 0.00 | 457.36 | 17.02 | 17.82 | 14.33 | 22.60 | 0.83 |
Disclaimer/Publisher’s Note: The statements, opinions and data contained in all publications are solely those of the individual author(s) and contributor(s) and not of MDPI and/or the editor(s). MDPI and/or the editor(s) disclaim responsibility for any injury to people or property resulting from any ideas, methods, instructions or products referred to in the content. |
© 2024 by the authors. Licensee MDPI, Basel, Switzerland. This article is an open access article distributed under the terms and conditions of the Creative Commons Attribution (CC BY) license (https://creativecommons.org/licenses/by/4.0/).
Share and Cite
Arbulu, M.; Perez-Bezos, S.; Figueroa-Lopez, A.; Oregi, X. Opportunities and Barriers of Calibrating Residential Building Performance Simulation Models Using Monitored and Survey-Based Occupant Behavioural Data: A Case Study in Northern Spain. Buildings 2024, 14, 1911. https://doi.org/10.3390/buildings14071911
Arbulu M, Perez-Bezos S, Figueroa-Lopez A, Oregi X. Opportunities and Barriers of Calibrating Residential Building Performance Simulation Models Using Monitored and Survey-Based Occupant Behavioural Data: A Case Study in Northern Spain. Buildings. 2024; 14(7):1911. https://doi.org/10.3390/buildings14071911
Chicago/Turabian StyleArbulu, Markel, Silvia Perez-Bezos, Anna Figueroa-Lopez, and Xabat Oregi. 2024. "Opportunities and Barriers of Calibrating Residential Building Performance Simulation Models Using Monitored and Survey-Based Occupant Behavioural Data: A Case Study in Northern Spain" Buildings 14, no. 7: 1911. https://doi.org/10.3390/buildings14071911
APA StyleArbulu, M., Perez-Bezos, S., Figueroa-Lopez, A., & Oregi, X. (2024). Opportunities and Barriers of Calibrating Residential Building Performance Simulation Models Using Monitored and Survey-Based Occupant Behavioural Data: A Case Study in Northern Spain. Buildings, 14(7), 1911. https://doi.org/10.3390/buildings14071911

