Analyzing Critical Influencing Factors of the Maturity of Smart Construction Site Applications
Abstract
1. Introduction
2. Literature Review
2.1. Smart Construction Sites
2.2. Application of Smart Construction Sites
2.3. Maturity Models
2.4. Critical Influencing Factors of the Maturity of Smart Construction Site Applications
3. Methodology
3.1. Research Framework
3.2. Questionnaire Design
3.2.1. Expert Interviews
3.2.2. Questionnaire Design
3.3. Exploratory Factor Analysis (EFA) and Confirmatory Factor Analysis (CFA)
4. Data Collection and Results
4.1. Data Collection
4.2. Data Screening
4.3. Exploratory Factor Analysis (EFA)
4.4. Confirmatory Factor Analysis (CFA)
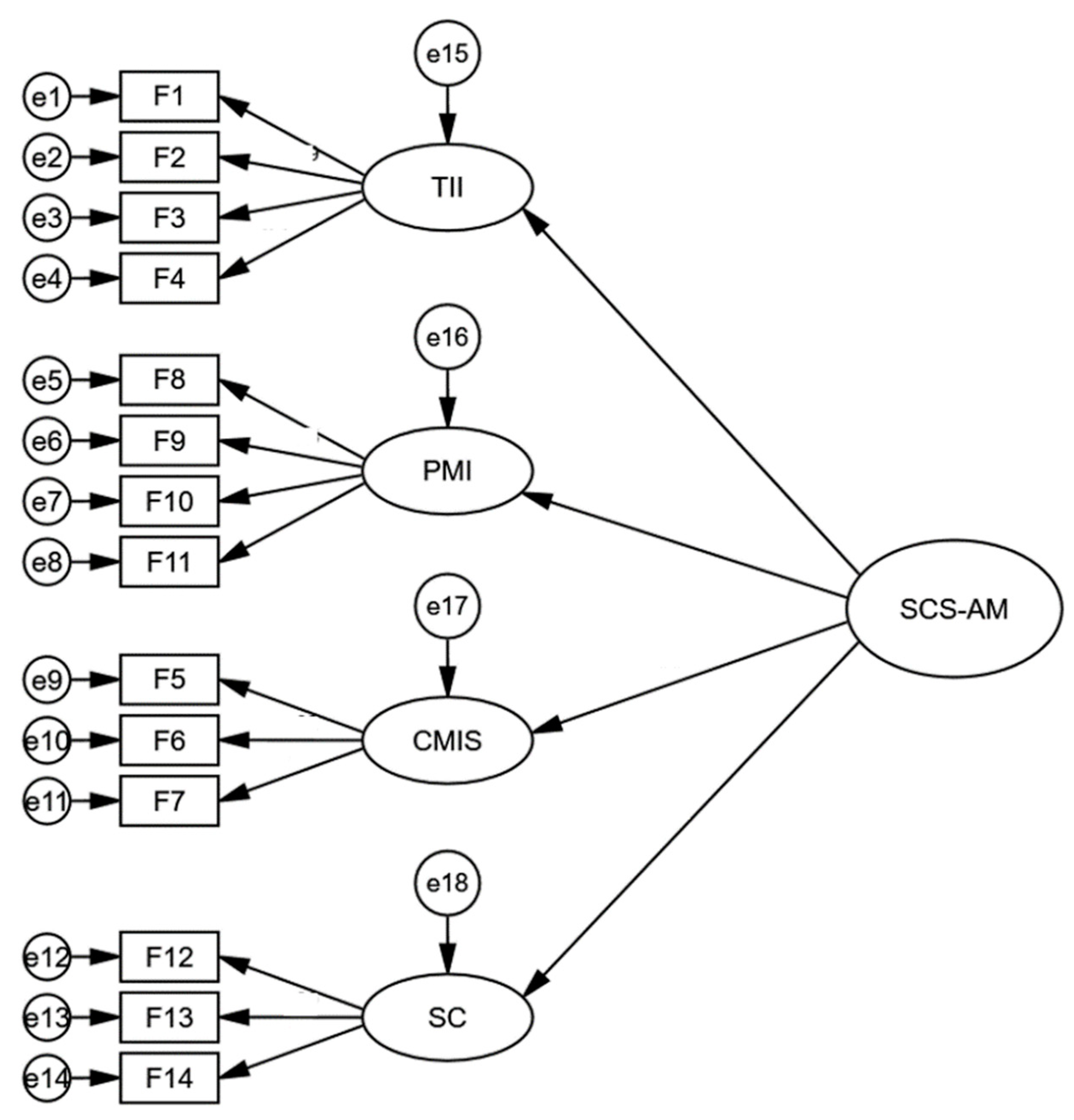
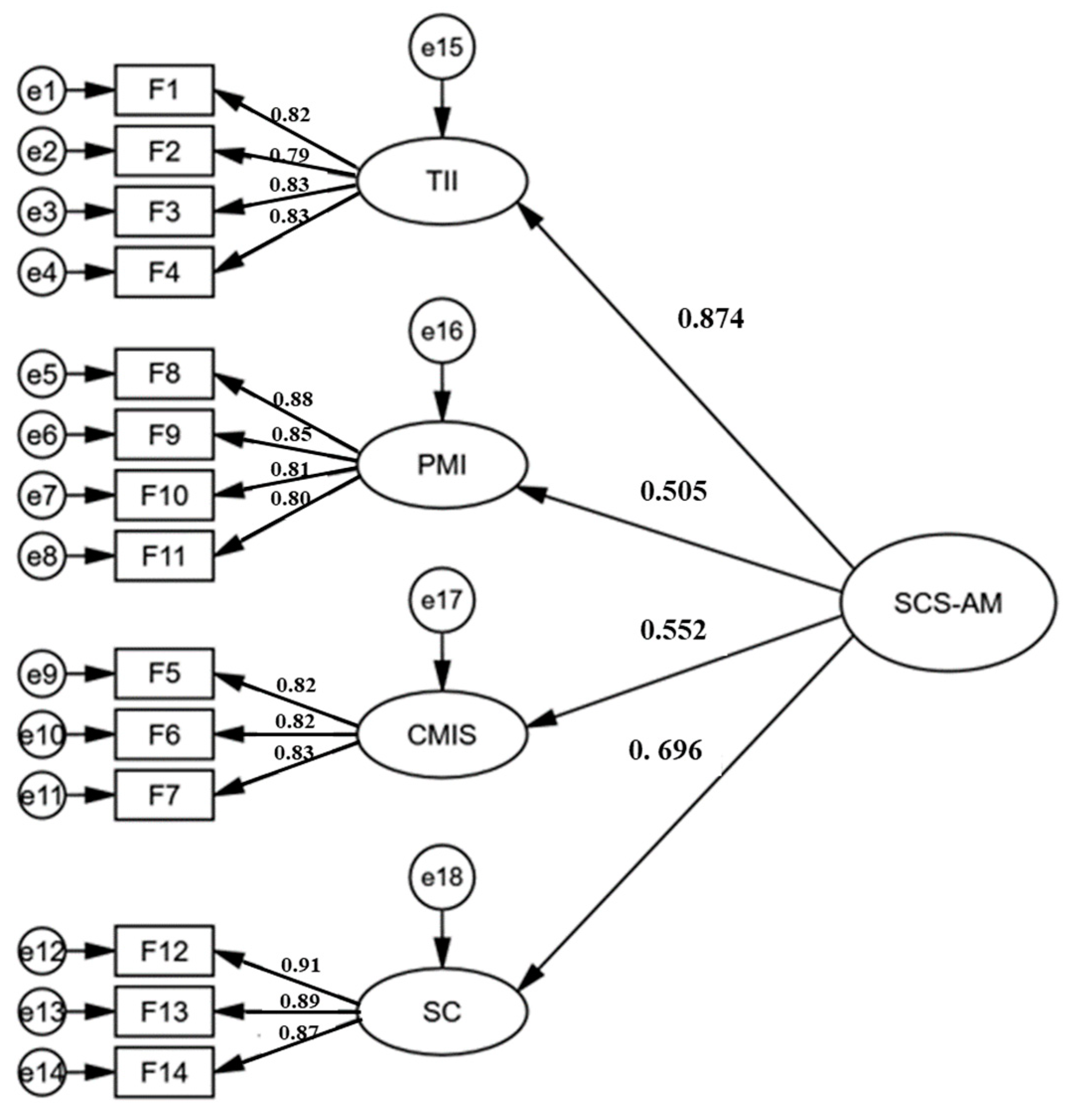
- (1).
- First-order Confirmatory Factor Analysis
- The responses to the SCS-AM measurement tool can be explained by four factors, namely, TII, PMI, CMIS, and SC.
- These factors are interrelated.
- Each observed variable is associated with only one factor, and the error terms associated with each observed variable are uncorrelated.
- (2).
- Second-order Confirmatory Factor Analysis
- The response to the SCS-AM tool can be explained through the four first-order factors, namely, TII, PMI, CMIS, and SC, and one second-order factor (SCS-AM).
- Each observed variable is associated with only one first-order factor.
- The error terms of each observed variable are uncorrelated.
- The covariation among the four first-order factors is entirely explained by their regression relationships with the second-order factor (SCS-AM).
5. Discussions
5.1. Construction of the Analytical Framework for the Influencing Factors of SCS-AM
5.2. Analyzing the Critical Influencing Factors of SCS-AM
6. Conclusions and Implications
6.1. Conclusions
6.2. Implications
7. Limitations
Author Contributions
Funding
Data Availability Statement
Conflicts of Interest
References
- Yue, A.B.; Yin, X.P. Measuring Comprehensive Production Efficiency of the Chinese Construction Industry: A Bootstrap-DEA-Malmquist Approach. Buildings 2023, 13, 834. [Google Scholar] [CrossRef]
- Oti-Sarpong, K.; Pärn, E.A.; Burgess, G.; Zaki, M. Transforming the construction sector: An institutional complexity perspective. Constr. Innov. 2022, 22, 361–387. [Google Scholar] [CrossRef]
- McNamara, A.J.; Sepasgozar, S.M.E. Intelligent contract adoption in the construction industry: Concept development. Autom. Constr. 2021, 122, 103452. [Google Scholar] [CrossRef]
- Wu, W.; Ji, Z.; Liang, H. The Impact of New infrastructure Construction on Optimization and Upgrading of Industrial Structure. Buildings 2023, 13, 2580. [Google Scholar] [CrossRef]
- Peng, S.; Wang, J.; Sun, H.; Guo, Z. How Does the Spatial Misallocation of Land Resources Affect Urban Industrial Transformation and Upgrading? Evidence from China. Land 2022, 11, 1630. [Google Scholar] [CrossRef]
- Wu, P. An Analysis on Performance Evaluation and Coordination Strategies of Transformation and Upgrading of Manufacturing Small and Micro Enterprises: An Empirical Study Based on AHP-Regression. Tob. Regul. Sci. 2021, 7, 3586–3602. [Google Scholar] [CrossRef]
- Prabhakar, V.V.; Belarmin Xavier, C.S.; Abubeker, K.M. A Review on Challenges and Solutions in the Implementation of Ai, IoT and Blockchain in Construction Industry. Mater. Today Proc. 2023. [Google Scholar] [CrossRef]
- Yang, R.; Wakefield, R.; Lyu, S.N.; Jayasuriya, S.; Han, F.L.; Yi, X.; Yang, X.C.; Amarasinghe, G.; Chen, S.P. Public and private blockchain in construction business process and information integration. Autom. Constr. 2020, 118, 103276. [Google Scholar] [CrossRef]
- Hunhevicz, J.J.; Hall, D.M. Do you need a blockchain in construction? Use case categories and decision framework for DLT design options. Adv. Eng. Inform. 2020, 45, 101094. [Google Scholar] [CrossRef]
- Mahmudnia, D.; Arashpour, M.; Yang, R.B.C. Blockchain in construction management: Applications, advantages and limitations. Autom. Constr. 2022, 140, 104379. [Google Scholar] [CrossRef]
- Mogilensky, J. Approaches to upgrading software process maturity. In Proceedings of the Seventh Washington Ada Symposium on Ada, McLean, VA, USA, 4–9 November 2002; pp. 23–28. [Google Scholar]
- Aragao, F.V.; Chiroli, D.M.D.; Zola, F.C.; Aragao, E.V.; Marinho, L.H.N.; Correa, A.L.C.; Colmenero, J.C. Smart Cities Maturity Model-A Multicriteria Approach. Sustainability 2023, 15, 6695. [Google Scholar] [CrossRef]
- Sundararajan, A.; Hernandez, A.S.; Sarwat, A. Adapting big data standards, maturity models to smart grid distributed generation: Critical review. Iet Smart Grid 2020, 3, 508–519. [Google Scholar] [CrossRef]
- Doss, D.A.; Henley, R.; McElreath, D.H.; Mallory, S.L.; Gokaraju, B.; Tesiero, R.; Hong, Q.; Taylor, L.N. The Capability Maturity Model Integrated as a Market Engineering Maturity Model. Int. J. Serv. Sci. Manag. Eng. Technol. 2021, 12, 175–196. [Google Scholar] [CrossRef]
- Keshta, I. A model for defining project lifecycle phases: Implementation of CMMI level 2 specific practice. J. King Saud Univ.-Comput. Inf. Sci. 2022, 34, 398–407. [Google Scholar] [CrossRef]
- Guo, F.; Peng, X.J.; Gu, J.L. Promotion Strategy of Smart Construction Site Based on Stakeholder: An Evolutionary Game Analysis. Buildings 2022, 12, 585. [Google Scholar] [CrossRef]
- Farahsari, P.S.; Farahzadi, A.; Rezazadeh, J.; Bagheri, A. A Survey on Indoor Positioning Systems for IoT-Based Applications. Ieee Internet Things J. 2022, 9, 7680–7699. [Google Scholar] [CrossRef]
- Sarker, I.H.; Khan, A.I.; Abushark, Y.B.; Alsolami, F. Internet of Things (IoT) Security Intelligence: A Comprehensive Overview, Machine Learning Solutions and Research Directions. Mob. Netw. Appl. 2023, 28, 296–312. [Google Scholar] [CrossRef]
- Wang, M.; Wang, C.C.; Sepasgozar, S.; Zlatanova, S. A Systematic Review of Digital Technology Adoption in Off-Site Construction: Current Status and Future Direction towards Industry 4.0. Buildings 2020, 10, 204. [Google Scholar] [CrossRef]
- Wu, C.K.; Li, X.; Guo, Y.J.; Wang, J.; Ren, Z.L.; Wang, M.; Yang, Z.L. Natural language processing for smart construction: Current status and future directions. Autom. Constr. 2022, 134, 104059. [Google Scholar] [CrossRef]
- Pan, Y.; Zhang, L.M. Integrating BIM and AI for Smart Construction Management: Current Status and Future Directions. Arch. Comput. Methods Eng. 2023, 30, 1081–1110. [Google Scholar] [CrossRef]
- Wei, Z.Q.; Zhu, M.Y.; Zhang, N.; Wang, L.; Zou, Y.Y.; Meng, Z.Y.; Wu, H.C.; Feng, Z.Y. UAV-Assisted Data Collection for Internet of Things: A Survey. Ieee Internet Things J. 2022, 9, 15460–15483. [Google Scholar] [CrossRef]
- Lv, Z.H.; Chen, D.L.; Lv, H.B. Smart City Construction and Management by Digital Twins and BIM Big Data in COVID-19 Scenario. Acm Trans. Multimed. Comput. Commun. Appl. 2022, 18, 1–21. [Google Scholar] [CrossRef]
- Márquez-Sánchez, S.; Campero-Jurado, I.; Robles-Camarillo, D.; Rodríguez, S.; Corchado-Rodríguez, J.M. BeSafe B2.0 Smart Multisensory Platform for Safety in Workplaces. Sensors 2021, 21, 3372. [Google Scholar] [CrossRef]
- Jiang, W.G.; Ding, L.Y.; Zhou, C. Cyber physical system for safety management in smart construction site. Eng. Constr. Archit. Manag. 2021, 28, 788–808. [Google Scholar] [CrossRef]
- Jin, R.; Zhang, H.; Liu, D.H.; Yan, X.Z. IoT-based detecting, locating and alarming of unauthorized intrusion on construction sites. Autom. Constr. 2020, 118, 103278. [Google Scholar] [CrossRef]
- Lee, C.; Park, J.; Seol, S. Development and demonstration of smart construction safety technology using drones. Forum Public Saf. Cult. 2023, 24, 93–105. [Google Scholar] [CrossRef]
- Gökalp, E.; Martinez, V. Digital transformation maturity assessment: Development of the digital transformation capability maturity model. Int. J. Prod. Res. 2022, 60, 6282–6302. [Google Scholar] [CrossRef]
- Paulk, M.C.; Curtis, B.; Chrissis, M.B.; Weber, C.V. Capability Maturity Model, Version 1.1. IEEE Softw. 1993, 10, 18–27. [Google Scholar] [CrossRef]
- Wendler, R. The maturity of maturity model research: A systematic mapping study. Inf. Softw. Technol. 2012, 54, 1317–1339. [Google Scholar] [CrossRef]
- Andersen, E.S.; Jessen, S.A. Project maturity in organisations. Int. J. Proj. Manag. 2003, 21, 457–461. [Google Scholar] [CrossRef]
- Demirdögen, G.; Diren, N.S.; Aladag, H.; Isik, Z. Lean Based Maturity Framework Integrating Value, BIM and Big Data Analytics: Evidence from AEC Industry. Sustainability 2021, 13, 10029. [Google Scholar] [CrossRef]
- Das, P.; Perera, S.; Senaratne, S.; Osei-Kyei, R. A smart modern construction enterprise maturity model for business scenarios leading to Industry 4.0. Smart Sustain. Built Environ. 2023. [Google Scholar] [CrossRef]
- Gharaibeh, L.; Matarneh, S.; Eriksson, K.; Lantz, B. Digital transformation of the wood construction supply chain through building information modelling: Current state of practice. Constr. Innov. 2023, 24, 273–291. [Google Scholar] [CrossRef]
- Lin, C.; Hu, Z.Z.; Yang, C.; Deng, Y.C.; Zheng, W.; Lin, J.R. Maturity Assessment of Intelligent Construction Management. Buildings 2022, 12, 1742. [Google Scholar] [CrossRef]
- Rossi, A.; Vila, Y.; Lusiani, F.; Barsotti, L.; Sani, L.; Ceccarelli, P.; Lanzetta, M. Embedded smart sensor device in construction site machinery. Comput. Ind. 2019, 108, 12–20. [Google Scholar] [CrossRef]
- Edirisinghe, R. Digital skin of the construction site Smart sensor technologies towards the future smart construction site. Eng. Constr. Archit. Manag. 2019, 26, 184–223. [Google Scholar] [CrossRef]
- Sepasgozar, S.M.E.; Loosemore, M.; Davis, S.R. Conceptualising information and equipment technology adoption in construction A critical review of existing research. Eng. Constr. Archit. Manag. 2016, 23, 158–176. [Google Scholar] [CrossRef]
- Loo, B.P.Y.; Wong, R.W.M. Towards a Conceptual Framework of Using Technology to Support Smart Construction: The Case of Modular Integrated Construction (MiC). Buildings 2023, 13, 372. [Google Scholar] [CrossRef]
- Zhou, J.X.; Shen, G.Q.; Yoon, S.H.; Jin, X. Customization of on-site assembly services by integrating the internet of things and BIM technologies in modular integrated construction. Autom. Constr. 2021, 126, 103663. [Google Scholar] [CrossRef]
- Zambom Santana, E.F.; Chaves Steinmacher, A.P.; Gerosa, M.A.; Kon, F.; Milojicic, D. Software Platforms for Smart Cities: Concepts, Requirements, Challenges, and a Unified Reference Architecture. ACM Comput. Surv. 2016, 50, 1–37. [Google Scholar] [CrossRef]
- Halfawy, M.; Froese, T. Building integrated architecture/engineering/construction systems using smart objects: Methodology and implementation. J. Comput. Civ. Eng. 2005, 19, 172–181. [Google Scholar] [CrossRef]
- Xiahou, X.E.; Wu, Y.F.; Duan, T.L.; Lin, P.; Li, F.N.; Qu, X.J.; Liu, L.; Li, Q.M.; Liu, J.X. Analyzing Critical Factors for the Smart Construction Site Development: A DEMATEL-ISM Based Approach. Buildings 2022, 12, 116. [Google Scholar] [CrossRef]
- Liu, H.L.; Song, J.L.; Wang, G.B. A Scientometric Review of Smart Construction Site in Construction Engineering and Management: Analysis and Visualization. Sustainability 2021, 13, 8860. [Google Scholar] [CrossRef]
- Pradhananga, N.; Teizer, J. Automatic spatio-temporal analysis of construction site equipment operations using GPS data. Autom. Constr. 2013, 29, 107–122. [Google Scholar] [CrossRef]
- Matinaro, V.; Liu, Y. Towards increased innovativeness and sustainability through organizational culture: A case study of a Finnish construction business. J. Clean. Prod. 2017, 142, 3184–3193. [Google Scholar] [CrossRef]
- Han, H.; Hawken, S. Introduction: Innovation and identity in next-generation smart cities. City Cult. Soc. 2018, 12, 1–4. [Google Scholar] [CrossRef]
- Zeng, Y.W.; Zhang, Z.H.; Ye, Z.; Li, L.L. Regional innovation effect of smart city construction in China. PLoS ONE 2023, 18, e0281862. [Google Scholar] [CrossRef] [PubMed]
- Silverio-Fernández, M.A.; Renukappa, S.; Suresh, S. Strategic framework for implementing smart devices in the construction industry. Constr. Innov. 2021, 21, 218–243. [Google Scholar] [CrossRef]
- Zhang, J.P.; Liu, Q.; Hu, Z.Z.; Lin, J.R.; Yu, F.Q. A multi-server information-sharing environment for cross-party collaboration on a private cloud. Autom. Constr. 2017, 81, 180–195. [Google Scholar] [CrossRef]
- Lee, D.; Lee, S.H.; Masoud, N.; Krishnan, M.S.; Li, V.C. Integrated digital twin and blockchain framework to support accountable information sharing in construction projects. Autom. Constr. 2021, 127, 103688. [Google Scholar] [CrossRef]
- Gai, K.K.; She, Y.F.; Zhu, L.H.; Choo, K.K.R.; Wan, Z.G. A Blockchain-Based Access Control Scheme for Zero Trust Cross-Organizational Data Sharing. Acm Trans. Internet Technol. 2023, 23, 1–25. [Google Scholar] [CrossRef]
- Chen, K.; Ding, L. Development of Key Domain-Relevant Technologies for Smart Construction in China. Strateg. Study CAE 2021, 23, 64–70. [Google Scholar] [CrossRef]
- Lu, W.S.; Li, X.; Xue, F.; Zhao, R.; Wu, L.P.F.; Yeh, A.G.O. Exploring smart construction objects as blockchain oracles in construction supply chain management. Autom. Constr. 2021, 129, 103816. [Google Scholar] [CrossRef]
- Amici, C.; Rotilio, M.; De Berardinis, P.; Cucchiella, F. Framework for Computerizing the Processes of a Job and Automating the Operational Management on Site-A Case Study of Demolition and Reconstruction Construction Site. Buildings 2022, 12, 800. [Google Scholar] [CrossRef]
- Panteli, C.; Kylili, A.; Fokaides, P.A. Building information modelling applications in smart buildings: From design to commissioning and beyond A critical review. J. Clean. Prod. 2020, 265, 121766. [Google Scholar] [CrossRef]
- Liu, Z.; Chi, Z.Y.; Osmani, M.; Demian, P. Blockchain and Building Information Management (BIM) for Sustainable Building Development within the Context of Smart Cities. Sustainability 2021, 13, 2090. [Google Scholar] [CrossRef]
- Rey, R.O.; de Melo, R.R.S.; Costa, D.B. Design and implementation of a computerized safety inspection system for construction sites using UAS and digital checklists—Smart Inspecs. Saf. Sci. 2021, 143, 105430. [Google Scholar] [CrossRef]
- Kochovski, P.; Stankovski, V. Building applications for smart and safe construction with the DECENTER Fog Computing and Brokerage Platform. Autom. Constr. 2021, 124, 103562. [Google Scholar] [CrossRef]
- Asah-Kissiedu, M.; Manu, P.; Booth, C.A.; Mahamadu, A.M.; Agyekum, K. An Integrated Safety, Health and Environmental Management Capability Maturity Model for Construction Organisations: A Case Study in Ghana. Buildings 2021, 11, 645. [Google Scholar] [CrossRef]
- Hong, J.; Kang, H.; An, J.; Choi, J.; Hong, T.; Park, S.; Lee, D.E. Towards environmental sustainability in the local community: Future insights for managing the hazardous pollutants at construction sites. J. Hazard. Mater. 2021, 403, 123804. [Google Scholar] [CrossRef]
- Araújo, A.G.; Carneiro, A.M.P.; Palha, R.P. Sustainable construction management: A systematic review of the literature with meta-analysis. J. Clean. Prod. 2020, 256, 120350. [Google Scholar] [CrossRef]
- Balasubramanian, S.; Shukla, V.; Islam, N.; Manghat, S. Construction Industry 4.0 and Sustainability: An Enabling Framework. IEEE Trans. Eng. Manag. 2021, 71, 1–19. [Google Scholar] [CrossRef]
- Zhang, J.X.; Ouyang, Y.; Ballesteros-Perez, P.; Li, H.; Philbin, S.P.; Li, Z.L.; Skitmore, M. Understanding the impact of environmental regulations on green technology innovation efficiency in the construction industry. Sustain. Cities Soc. 2021, 65, 102647. [Google Scholar] [CrossRef]
- Wu, X.G.; Liu, Q.; Zhang, L.M.; Skibniewski, M.J.; Wang, Y.H. Prospective safety performance evaluation on construction sites. Accid. Anal. Prev. 2015, 78, 58–72. [Google Scholar] [CrossRef] [PubMed]
- Finch, W.H. Using Fit Statistic Differences to Determine the Optimal Number of Factors to Retain in an Exploratory Factor Analysis. Educ. Psychol. Meas. 2020, 80, 217–241. [Google Scholar] [CrossRef]
- Jackson, D.L.; Gillaspy, J.A.; Purc-Stephenson, R. Reporting Practices in Confirmatory Factor Analysis: An Overview and Some Recommendations. Psychol. Methods 2009, 14, 6–23. [Google Scholar] [CrossRef] [PubMed]
- Harerimana, A.; Mtshali, N.G. Using Exploratory and Confirmatory Factor Analysis to understand the role of technology in nursing education. Nurse Educ. Today 2020, 92, 104490. [Google Scholar] [CrossRef]
- MacCallum, R.C.; Widaman, K.F.; Zhang, S.; Hong, S. Sample size in factor analysis. Psychol. Methods 1999, 4, 84–99. [Google Scholar] [CrossRef]
- Nunes, A.F.; Monteiro, P.L.; Nunes, A.S. Factor structure of the convergence insufficiency symptom survey questionnaire. PLoS ONE 2020, 15, e0229511. [Google Scholar] [CrossRef]
- Chen, Y.; Dib, H.; Cox, R. A measurement model of building information modelling maturity. Constr. Innov. 2014, 14, 186–209. [Google Scholar] [CrossRef]
- Kim, J.H. Multicollinearity and misleading statistical results. Korean J. Anesth. 2019, 72, 558–569. [Google Scholar] [CrossRef]
- Montoya, A.K.; Edwards, M.C. The Poor Fit of Model Fit for Selecting Number of Factors in Exploratory Factor Analysis for Scale Evaluation. Educ. Psychol. Meas. 2021, 81, 413–440. [Google Scholar] [CrossRef]
- Tabachnick, B.; Fidell, L.S. Using Multivarite Statistics; Pearson: Boston, MA, USA, 2007; Volume 3, p. 980. [Google Scholar]
- Zhao, S.; Zhang, P.; Li, W. A Study on Evaluation of Influencing Factors for Sustainable Development of Smart Construction Enterprises: Case Study from China. Buildings 2021, 11, 221. [Google Scholar] [CrossRef]
- Wernicke, B.; Stehn, L.; Sezer, A.A.; Thunberg, M. Introduction of a digital maturity assessment framework for construction site operations. Int. J. Constr. Manag. 2023, 23, 898–908. [Google Scholar] [CrossRef]
- Ustun, T.S.; Hussain, S.M.S.; Kirchhoff, H.; Ghaddar, B.; Strunz, K.; Lestas, I. Data Standardization for Smart Infrastructure in First-Access Electricity Systems. Proc. IEEE 2019, 107, 1790–1802. [Google Scholar] [CrossRef]
- Ren, C.; Wu, G. Research on Standardization System of Smart Site for Nuclear Power Plant Construction. In Proceedings of the 2022 29th International Conference on Nuclear Engineering, Shenzhen, China, 8–12 August 2022. [Google Scholar]
- Yang, Z.H.; Wang, Y.W.; Sun, C.S. Emerging Information Technology Acceptance Model for the Development of Smart Construction System. J. Civ. Eng. Manag. 2018, 24, 457–468. [Google Scholar] [CrossRef]
- Lin, J.R.; Wu, D.P. An approach to twinning and mining collaborative network of construction projects. Autom. Constr. 2021, 125, 103643. [Google Scholar] [CrossRef]






| NO. | Key Factor | Description | References |
|---|---|---|---|
| F1 | Advanced Technology Adoption and Application | The incorporation and utilization of cutting-edge technology enable enhanced efficiency, productivity, and quality in SCS-AM | [19,25,36,37,38] |
| F2 | Technology Platform Integration Capacity | The seamless integration of various technology platforms ensures optimal functionality and interoperability in SCS-AM | [36,39,40,41,42] |
| F3 | Data Processing and Analysis Technology | Efficient data handling and interpretation facilitate real-time decision making and problem solving in SCS-AM | [36,43,44,45] |
| F4 | Technological Innovation Atmosphere | A culture that encourages technological innovation to drive the continuous improvement and adoption of advanced methods in SCS-AM | [46,47,48] |
| F5 | Leadership in Smart Construction Site Strategy | Strong leadership provides vision and guidance for the effective implementation and scaling of smart construction technologies in SCS-AM | [16,44,49] |
| F6 | Multi-Party Information and Data Sharing | Effective data-sharing systems promote collaboration and efficiency among stakeholders in SCS-AM projects | [50,51,52] |
| F7 | Smart Construction Site Technical Talent Development | Developing professionals skilled in smart construction technologies ensures successful adoption and innovation in SCS-AM | [43,53,54] |
| F8 | Project Management Processes | Standardized management processes enhance the efficiency and reliability of smart construction projects in SCS-AM | [39,55,56] |
| F9 | Quality Control Processes | Robust quality control processes ensure that the outputs of smart construction consistently meet the required standards in SCS-AM | [16,25,43,57] |
| F10 | Safety Management Processes | Effective safety management ensures the well-being of workers and minimizes accidents in SCS-AM | [25,58,59,60] |
| F11 | Environment Management Processes | Implementing environmental protection measures reduces the negative impact of construction activities on the environment in SCS-AM | [60,61,62] |
| F12 | Laws and Regulations | Adherence to legal frameworks ensures the compliance and smooth operation of SCS-AM projects | [60,63,64] |
| F13 | Workflow and Technology Application Standardization | Standardizing workflows and tech applications ensures consistency and reliability across SCS-AM | [25,36,44] |
| F14 | System Evaluation and Improvement | Continuous assessment and enhancement mechanisms ensure the effectiveness and advancement of SCS-AM systems | [25,43,65] |
| Category | Sub-Category | Percentage |
|---|---|---|
| Duration of Participation in Work or Academic Research | 0–5 years | 54% |
| 5–10 years | 34% | |
| Over 10 years | 12% | |
| Type of Employment | Owner | 5% |
| Construction enterprise | 62% | |
| Design enterprise | 11% | |
| Supervision enterprise | 5% | |
| Consulting enterprise | 4% | |
| Software enterprise | 2% | |
| Government regulatory department | 4% | |
| Universities and other scientific institutions | 5% | |
| Others | 2% | |
| Professional Rank | None | 14% |
| Junior | 27% | |
| Intermediate | 38% | |
| Senior | 21% | |
| Number of Smart Construction-Related Projects in Which They Were Involved | 3–5 | 55% |
| 5–10 | 34% | |
| More than 10 | 11% |
| KMO Value | 0.846 | |
|---|---|---|
| Bartlett’s Test of Sphericity | Approximate Chi-Square | 1859.412 |
| df | 91 | |
| p-value | 0 | |
| Name | Factor Loading Coefficient | Commonalities | |||
|---|---|---|---|---|---|
| TII | PMI | CMIS | SC | ||
| F1 | 0.831 | 0.145 | 0.080 | 0.161 | 0.743 |
| F2 | 0.802 | 0.022 | 0.179 | 0.199 | 0.715 |
| F3 | 0.847 | 0.115 | 0.098 | 0.140 | 0.759 |
| F4 | 0.798 | 0.019 | 0.060 | 0.146 | 0.661 |
| F8 | 0.034 | 0.888 | 0.125 | 0.112 | 0.817 |
| F9 | 0.148 | 0.879 | 0.001 | 0.075 | 0.800 |
| F10 | 0.066 | 0.857 | 0.122 | 0.038 | 0.756 |
| F11 | 0.046 | 0.844 | 0.139 | 0.094 | 0.743 |
| F5 | 0.111 | 0.204 | 0.850 | 0.190 | 0.812 |
| F6 | 0.102 | 0.099 | 0.871 | 0.123 | 0.793 |
| F7 | 0.147 | 0.060 | 0.869 | 0.078 | 0.786 |
| F12 | 0.212 | 0.112 | 0.116 | 0.895 | 0.873 |
| F13 | 0.190 | 0.121 | 0.101 | 0.899 | 0.869 |
| F14 | 0.221 | 0.069 | 0.196 | 0.866 | 0.842 |
| Path | M.I. | Par Change | ||
|---|---|---|---|---|
| F14 | ↔ | F3 | 3.235 | 0.142 |
| F8 | ↔ | F4 | 9.853 | −0.251 |
| F5 | ↔ | F4 | 5.219 | −0.19 |
| F5 | ↔ | F8 | 3.924 | 0.105 |
| F6 | ↔ | F9 | 4.11 | −0.124 |
| F14 | ↔ | F5 | 4.955 | 0.136 |
| F14 | ↔ | F3 | 3.235 | 0.142 |
| F8 | ↔ | F4 | 9.853 | −0.251 |
| Path | M.I. | Par Change | ||
|---|---|---|---|---|
| e14 | <--> | e17 | 4.282 | 0.172 |
| e9 | <--> | e16 | 6.462 | 0.207 |
| e9 | <--> | e14 | 4.907 | 0.136 |
| e6 | <--> | e17 | 6.226 | −0.185 |
| e6 | <--> | e15 | 4.377 | 0.182 |
| e6 | <--> | e10 | 4.090 | −0.124 |
| e4 | <--> | e9 | 5.178 | −0.190 |
| e4 | <--> | e5 | 9.800 | −0.251 |
Disclaimer/Publisher’s Note: The statements, opinions and data contained in all publications are solely those of the individual author(s) and contributor(s) and not of MDPI and/or the editor(s). MDPI and/or the editor(s) disclaim responsibility for any injury to people or property resulting from any ideas, methods, instructions or products referred to in the content. |
© 2024 by the authors. Licensee MDPI, Basel, Switzerland. This article is an open access article distributed under the terms and conditions of the Creative Commons Attribution (CC BY) license (https://creativecommons.org/licenses/by/4.0/).
Share and Cite
Liu, J.; Zhang, S.; Hou, Y.; Xiahou, X.; Li, Q. Analyzing Critical Influencing Factors of the Maturity of Smart Construction Site Applications. Buildings 2024, 14, 1910. https://doi.org/10.3390/buildings14071910
Liu J, Zhang S, Hou Y, Xiahou X, Li Q. Analyzing Critical Influencing Factors of the Maturity of Smart Construction Site Applications. Buildings. 2024; 14(7):1910. https://doi.org/10.3390/buildings14071910
Chicago/Turabian StyleLiu, Jianzhao, Shuolin Zhang, Yonghui Hou, Xiaer Xiahou, and Qiming Li. 2024. "Analyzing Critical Influencing Factors of the Maturity of Smart Construction Site Applications" Buildings 14, no. 7: 1910. https://doi.org/10.3390/buildings14071910
APA StyleLiu, J., Zhang, S., Hou, Y., Xiahou, X., & Li, Q. (2024). Analyzing Critical Influencing Factors of the Maturity of Smart Construction Site Applications. Buildings, 14(7), 1910. https://doi.org/10.3390/buildings14071910
